Inhibitory Effects of Natural Products on Germination, Outgrowth, and Vegetative Growth of Clostridium perfringens Spores in Laboratory Medium and Chicken Meat
Abstract
1. Introduction
2. Materials and Methods
2.1. Bacterial Strains and Growth Conditions
2.2. Spore Preparation and Purification
2.3. Preparation of Antibacterial Solutions
2.4. Screening Natural Product Activity Against C. perfringens
2.5. C. perfringens Spore Germination in the Presence of Natural Products
2.6. C. perfringens Spore Outgrowth in the Presence of Natural Products
2.7. C. perfringens Vegetative Growth in the Presence of Natural Products
2.8. C. perfringens Spore Growth in Cooked Meat in the Presence of Natural Products
2.9. Statistical Analysis
3. Results and Discussion
3.1. Screening Natural Product Activity Against C. perfringens
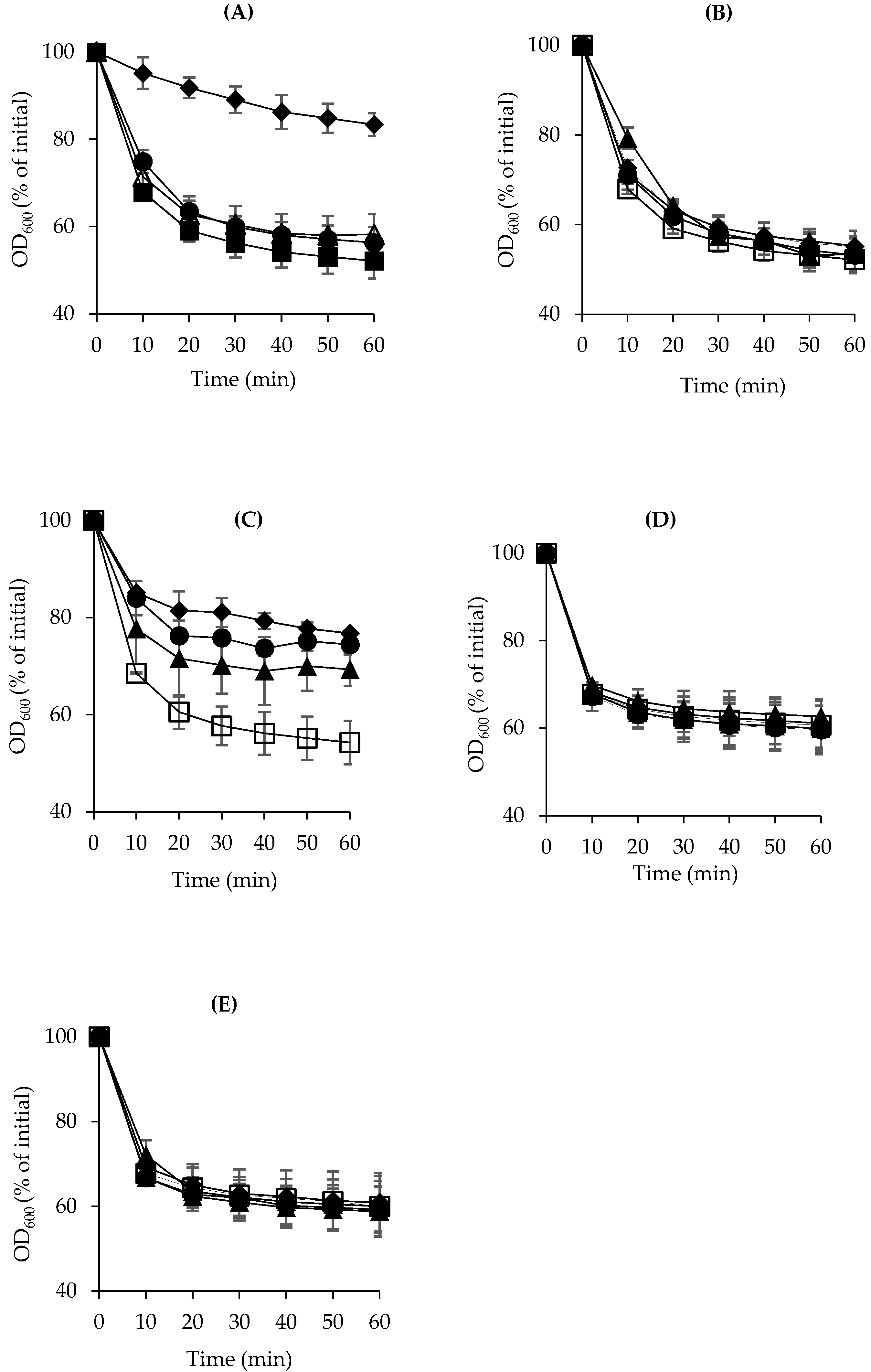
3.2. Inactivation Activity of Natural Products Against C. perfringens Spore Germination
3.3. Inhibitory Effect of Natural Products Against C. perfringens Spore Outgrowth
3.4. Inhibitory Effect of Natural Products Against C. perfringens Vegetative Cell Growth
3.5. Inhibitory Effects of Natural Products on C. perfringens Spore Growth in Chicken Meat
4. Conclusions
Author Contributions
Funding
Institutional Review Board Statement
Informed Consent Statement
Data Availability Statement
Conflicts of Interest
References
- Wang, W.; Mai, X.; Wang, D.; Zheng, Y.; Liu, F.; Sun, Z. Mathematical Modeling of Temperature and Natural Antimicrobial Effects on Germination and Outgrowth of Clostridium perfringens in Chilled Chicken. LWT 2023, 177, 114555. [Google Scholar] [CrossRef]
- Hu, W.-S.; Kim, H.; Koo, O.K. Molecular Genotyping, Biofilm Formation and Antibiotic Resistance of Enterotoxigenic Clostridium perfringens Isolated from Meat Supplied to School Cafeterias in South Korea. Anaerobe 2018, 52, 115–121. [Google Scholar] [CrossRef] [PubMed]
- Grass, J.E.; Gould, L.H.; Mahon, B.E. Epidemiology of Foodborne Disease Outbreaks Caused by Clostridium perfringens, United States, 1998–2010. Foodborne Pathog. Dis. 2013, 10, 131–136. [Google Scholar] [CrossRef] [PubMed]
- Petit, L.; Gibert, M.; Popoff, M.R. Clostridium perfringens: Toxinotype and Genotype. Trends Microbiol. 1999, 7, 104–110. [Google Scholar] [CrossRef] [PubMed]
- Gohari, I.M.; Navarro, M.A.; Li, J.; Shrestha, A.; Uzal, F.; McClane, B.A. Pathogenicity and Virulence of Clostridium perfringens. Virulence 2021, 12, 723–753. [Google Scholar] [CrossRef]
- Kiu, R.; Hall, L.J. An Update on the Human and Animal Enteric Pathogen Clostridium perfringens. Emerg. Microbes Infect. 2018, 7, 1–15. [Google Scholar] [CrossRef] [PubMed]
- Rood, J.I.; Adams, V.; Lacey, J.; Lyras, D.; McClane, B.A.; Melville, S.B.; Moore, R.J.; Popoff, M.R.; Sarker, M.R.; Songer, J.G.; et al. Expansion of the Clostridium perfringens Toxin-Based Typing Scheme. Anaerobe 2018, 53, 5–10. [Google Scholar] [CrossRef]
- Sarker, M.R.; Carman, R.J.; McClane, B.A. Inactivation of the Gene (cpe) Encoding Clostridium perfringens Enterotoxin Eliminates the Ability of Two cpe-positive Clostridium perfringens Type A Human Gastrointestinal Disease Isolates to Affect Rabbit Ileal Loops. Mol. Microbiol. 1999, 33, 946–958. [Google Scholar] [CrossRef]
- Lindström, M.; Heikinheimo, A.; Lahti, P.; Korkeala, H. Novel Insights into the Epidemiology of Clostridium perfringens Type A Food Poisoning. Food Microbiol. 2011, 28, 192–198. [Google Scholar] [CrossRef]
- Paredes-Sabja, D.; Gonzalez, M.; Sarker, M.R.; Torres, J.A. Combined Effects of Hydrostatic Pressure, Temperature, and pH on the Inactivation of Spores of Clostridium perfringens Type A and Clostridium sporogenes in Buffer Solutions. J. Food Sci. 2007, 72, M202–M206. [Google Scholar] [CrossRef] [PubMed]
- Li, J.; McClane, B.A. Comparative Effects of Osmotic, Sodium Nitrite-Induced, and pH-Induced Stress on Growth and Survival of Clostridium perfringens Type A Isolates Carrying Chromosomal or Plasmid-Borne Enterotoxin Genes. Appl. Environ. Microbiol. 2006, 72, 7620–7625. [Google Scholar] [CrossRef] [PubMed]
- Li, J.; McClane, B.A. Further Comparison of Temperature Effects on Growth and Survival of Clostridium perfringens Type A Isolates Carrying a Chromosomal or Plasmid-Borne Enterotoxin Gene. Appl. Environ. Microbiol. 2006, 72, 4561–4568. [Google Scholar] [CrossRef]
- McClane, B.A.; Robertson, S.L.; Li, J. Clostridium perfringens. In Food Microbiology; Doyle, M., Buchanan, R., Eds.; John Wiley & Sons, Ltd.: Hoboken, NJ, USA, 2012; pp. 465–489. ISBN 978-1-68367-058-2. [Google Scholar]
- Paredes-Sabja, D.; Torres, J.A.; Setlow, P.; Sarker, M.R. Clostridium perfringens Spore Germination: Characterization of Germinants and Their Receptors. J. Bacteriol. 2008, 190, 1190–1201. [Google Scholar] [CrossRef] [PubMed]
- Reddy Velugoti, P.; Rajagopal, L.; Juneja, V.; Thippareddi, H. Use of Calcium, Potassium, and Sodium Lactates to Control Germination and Outgrowth of Clostridium perfringens Spores during Chilling of Injected Pork. Food Microbiol. 2007, 24, 687–694. [Google Scholar] [CrossRef] [PubMed]
- Thippareddi, H.; Juneja, V.K.; Phebus, R.K.; Marsden, J.L.; Kastner, C.L. Control of Clostridium perfringens Germination and Outgrowth by Buffered Sodium Citrate during Chilling of Roast Beef and Injected Pork†. J. Food Prot. 2003, 66, 376–381. [Google Scholar] [CrossRef] [PubMed][Green Version]
- Park, H.J.; Park, K.-C.; Yoon, K.S. Effect of Rooibos (Aspalathus linearis) on Growth Control of Clostridium perfringens and Lipid Oxidation of Ready-to-Eat Jokbal (Pig’s Trotters). J. Food Sci. 2014, 79, M2507–M2515. [Google Scholar] [CrossRef] [PubMed]
- Juneja, V.K.; Osoria, M.; Purohit, A.S.; Golden, C.E.; Mishra, A.; Taneja, N.K.; Salazar, J.K.; Thippareddi, H.; Kumar, G.D. Predictive Model for Growth of Clostridium perfringens during Cooling of Cooked Pork Supplemented with Sodium Chloride and Sodium Pyrophosphate. Meat Sci. 2021, 180, 108557. [Google Scholar] [CrossRef]
- Juneja, V.K.; Baker, D.A.; Thippareddi, H.; Snyder, O.P.; Mohr, T.B. Growth Potential of Clostridium perfringens from Spores in Acidified Beef, Pork, and Poultry Products during Chilling†. J. Food Prot. 2013, 76, 65–71. [Google Scholar] [CrossRef] [PubMed]
- Angane, M.; Swift, S.; Huang, K.; Butts, C.A.; Quek, S.Y. Essential Oils and Their Major Components: An Updated Review on Antimicrobial Activities, Mechanism of Action and Their Potential Application in the Food Industry. Foods 2022, 11, 464. [Google Scholar] [CrossRef] [PubMed]
- Asbahani, A.E.; Miladi, K.; Badri, W.; Sala, M.; Addi, E.H.A.; Casabianca, H.; Mousadik, A.E.; Hartmann, D.; Jilale, A.; Renaud, F.N.R.; et al. Essential Oils: From Extraction to Encapsulation. Int. J. Pharm. 2015, 483, 220–243. [Google Scholar] [CrossRef]
- Num, S.M.; Useh, N.M. Botulism in Man and Animals. Bulg. J. Vet. Med. 2014, 17, 241–266. [Google Scholar]
- Jayasena, D.D.; Jo, C. Essential Oils as Potential Antimicrobial Agents in Meat and Meat Products: A Review. Trends Food Sci. Technol. 2013, 34, 96–108. [Google Scholar] [CrossRef]
- Seman, D.L.; Quickert, S.C.; Borger, A.C.; Meyer, J.D. Inhibition of Listeria monocytogenes Growth in Cured Ready-to-Eat Meat Products by Use of Sodium Benzoate and Sodium Diacetate. J. Food Prot. 2008, 71, 1386–1392. [Google Scholar] [CrossRef]
- Calo, J.R.; Crandall, P.G.; O’Bryan, C.A.; Ricke, S.C. Essential Oils as Antimicrobials in Food Systems—A Review. Food Control. 2015, 54, 111–119. [Google Scholar] [CrossRef]
- European Commission. Regulation (EC) No 1334/2008 of the European Parliament and of the Council of 16 December 2008 on Flavourings and Certain Food Ingredients with Flavouring Properties for Use in and on Foods and Amending Council Regulation (EEC) No 1601/91, Regulations (EC) No 2232/96 and (EC) No 110/2008 and Directive 2000/13/EC. 2008. Available online: https://eur-lex.europa.eu/eli/reg/2008/1334/oj (accessed on 1 December 2024).
- Carrasco, J.M.D.; Redondo, L.M.; Redondo, E.A.; Dominguez, J.E.; Chacana, A.P.; Miyakawa, M.E.F. Use of Plant Extracts as an Effective Manner to Control Clostridium perfringens Induced Necrotic Enteritis in Poultry. BioMed Res. Int. 2016, 2016, 1–15. [Google Scholar] [CrossRef]
- Dias, N.A.A.; de Siqueira Rodrigues, L.T.; Palhares, P.C.; Ramos, E.M.; Piccoli, R.H. Antimicrobial Activity of Essential Oils on Clostridium perfringens Type A Inoculated in Mortadella. J. Food Saf. 2015, 35, 466–472. [Google Scholar] [CrossRef]
- Zhao, Y.; Melville, S.B. Identification and Characterization of Sporulation-Dependent Promoters Upstream of the Enterotoxin Gene (Cpe) of Clostridium perfringens. J. Bacteriol. 1998, 180, 136–142. [Google Scholar] [CrossRef]
- Kokai-Kun, J.F.; Songer, J.G.; Czeczulin, J.R.; Chen, F.; McClane, B.A. Comparison of Western Immunoblots and Gene Detection Assays for Identification of Potentially Enterotoxigenic Isolates of Clostridium perfringens. J. Clin. Microbiol. 1994, 32, 2533–2539. [Google Scholar] [CrossRef] [PubMed]
- Duncan, C.L.; Strong, D.H. Ileal Loop Fluid Accumulation and Production of Diarrhea in Rabbits by Cell-Free Products of Clostridium perfringens. J. Bacteriol. 1969, 100, 86–94. [Google Scholar] [CrossRef] [PubMed]
- Duncan, C.L.; Strong, D.H. Improved Medium for Sporulation of Clostridium perfringens. Appl. Microbiol. 1968, 16, 82–89. [Google Scholar] [CrossRef]
- Roshan, N.; Riley, T.V.; Hammer, K.A. Antimicrobial Activity of Natural Products against Clostridium difficile in Vitro. J. Appl. Microbiol. 2017, 123, 92–103. [Google Scholar] [CrossRef] [PubMed]
- Cortezzo, D.E.; Setlow, B.; Setlow, P. Analysis of the Action of Compounds That Inhibit the Germination of Spores of Bacillus Species. J. Appl. Microbiol. 2004, 96, 725–741. [Google Scholar] [CrossRef]
- Alnoman, M.; Udompijitkul, P.; Paredes-Sabja, D.; Sarker, M.R. The Inhibitory Effects of Sorbate and Benzoate against Clostridium perfringens Type A Isolates. Food Microbiol 2015, 48, 89–98. [Google Scholar] [CrossRef] [PubMed]
- Alanazi, S.; Alnoman, M.; Banawas, S.; Saito, R.; Sarker, M.R. The Inhibitory Effects of Essential Oil Constituents against Germination, Outgrowth and Vegetative Growth of Spores of Clostridium perfringens Type A in Laboratory Medium and Chicken Meat. Food Microbiol. 2018, 73, 311–318. [Google Scholar] [CrossRef] [PubMed]
- Booyens, J.; Thantsha, M.S. Antibacterial Effect of Hydrosoluble Extracts of Garlic (Allium sativum) against Bifidobacterium Spp. and Lactobacillus acidophilus. Afr. J. Microbiol. Res. 2013, 7, 669–677. [Google Scholar]
- Valgas, C.; de Souza, S.M.; Smânia, E.F.A.; Smânia, A., Jr. Screening Methods to Determine Antibacterial Activity of Natural Products. Braz. J. Microbiol. 2007, 38, 369–380. [Google Scholar] [CrossRef]
- Hammer, K.A.; Carson, C.F.; Riley, T.V. Antimicrobial Activity of Essential Oils and Other Plant Extracts. J. Appl. Microbiol. 1999, 86, 985–990. [Google Scholar] [CrossRef] [PubMed]
- Boorn, K.L.; Khor, Y.-Y.; Sweetman, E.; Tan, F.; Heard, T.A.; Hammer, K.A. Antimicrobial Activity of Honey from the Stingless Bee Trigona carbonaria Determined by Agar Diffusion, Agar Dilution, Broth Microdilution and Time-kill Methodology. J. Appl. Microbiol. 2010, 108, 1534–1543. [Google Scholar] [CrossRef]
- Blank, G.; Al-Khayat, M.; Ismond, M.A.H. Germination and Heat Resistance of Bacillus subtilis Spores Produced on Clove and Eugenol Based Media. Food Microbiol. 1987, 4, 35–42. [Google Scholar] [CrossRef]
- Chaibi, A.; Ababouch, L.H.; Belasri, K.; Boucetta, S.; Busta, F.F. Inhibition of Germination and Vegetative Growth of Bacillus cereus T and Clostridium botulinum 62A Spores by Essential Oils. Food Microbiol. 1997, 14, 161–174. [Google Scholar] [CrossRef]
- Al-Khayat, M.A.; Blank, G. Phenolic Spice Components Sporostatic to Bacillus subtilis. J. Food Sci. 1985, 50, 971–974. [Google Scholar] [CrossRef]
- Nazzaro, F.; Fratianni, F.; De Martino, L.; Coppola, R.; De Feo, V. Effect of Essential Oils on Pathogenic Bacteria. Pharmaceuticals 2013, 6, 1451–1474. [Google Scholar] [CrossRef] [PubMed]
- Qian, W.; Sun, Z.; Wang, T.; Yang, M.; Liu, M.; Zhang, J.; Li, Y. Antimicrobial Activity of Eugenol against Carbapenem-Resistant Klebsiella pneumoniae and Its Effect on Biofilms. Microb. Pathog. 2020, 139, 103924. [Google Scholar] [CrossRef] [PubMed]
- Ashrafudoulla, M.; Mizan, M.F.R.; Ha, A.J.; Park, S.H.; Ha, S.-D. Antibacterial and Antibiofilm Mechanism of Eugenol against Antibiotic Resistance Vibrio parahaemolyticus. Food Microbiol. 2020, 91, 103500. [Google Scholar] [CrossRef]
- Raeisi, M.; Hashemi, M.; Ansarian, E.; Hejazi, J.; Hassanzad Azar, H.; Daneshamooz, S.; Jannat, B.; Aminzare, M. Antibacterial Effect of Mentha Piperita Essential Oil Against Foodborne Pathogens in Minced Meat During Storage at Abuse Refrigeration Temperature. Adv. Animal Vet. Sci. 2019, 7, 720–726. [Google Scholar]
- Xu, J.-G.; Liu, T.; Hu, Q.-P.; Cao, X.-M. Chemical Composition, Antibacterial Properties and Mechanism of Action of Essential Oil from Clove Buds against Staphylococcus Aureus. Molecules 2016, 21, 1194. [Google Scholar] [CrossRef]
- Goñi, P.; López, P.; Sánchez, C.; Gómez-Lus, R.; Becerril, R.; Nerín, C. Antimicrobial Activity in the Vapour Phase of a Combination of Cinnamon and Clove Essential Oils. Food Chem. 2009, 116, 982–989. [Google Scholar] [CrossRef]
- Ivanovic, J.; Dimitrijevic-Brankovic, S.; Misic, D.; Ristic, M.; Zizovic, I. Evaluation and Improvement of Antioxidant and Antibacterial Activities of Supercritical Extracts from Clove Buds. J. Funct. Foods 2013, 5, 416–423. [Google Scholar] [CrossRef]
- Lu, F.; Ding, Y.; Ye, X.; Ding, Y. Antibacterial Effect of Cinnamon Oil Combined with Thyme or Clove Oil. Agric. Sci. China 2011, 10, 1482–1487. [Google Scholar] [CrossRef]
- Jirovetz, L.; Buchbauer, G.; Bail, S.; Denkova, Z.; Slavchev, A.; Stoyanova, A.; Schmidt, E.; Geissler, M. Antimicrobial Activities of Essential Oils of Mint and Peppermint as Well as Some of Their Main Compounds. J. Essent. Oil Res. 2009, 21, 363–366. [Google Scholar] [CrossRef]
- Lahti, P.; Heikinheimo, A.; Johansson, T.; Korkeala, H. Clostridium perfringens Type A Strains Carrying a Plasmid-Borne Enterotoxin Gene (Genotype IS 1151—Cpe or IS 1470 -like- Cpe) as a Common Cause of Food Poisoning. J. Clin. Microbiol. 2008, 46, 371–373. [Google Scholar] [CrossRef] [PubMed]
- Khaleque, M.A.; Keya, C.A.; Hasan, K.N.; Hoque, M.M.; Inatsu, Y.; Bari, M.L. Use of Cloves and Cinnamon Essential Oil to Inactivate Listeria monocytogenes in Ground Beef at Freezing and Refrigeration Temperatures. LWT 2016, 74, 219–223. [Google Scholar] [CrossRef]
- Amariei, S.; Poroch-Seriţan, M.; Gutt, G.; Oroian, M.; Ciornei, E. Rosemary, Thyme and Organo Essential Oils Influnce on Physicochemical Properties and Microbiological Stability of Minced Meat. J. Microbiol. Biotechnol. Food Sci. 2016, 6, 670–676. [Google Scholar] [CrossRef]
- Chen, H.; Davidson, P.M.; Zhong, Q. Impacts of Sample Preparation Methods on Solubility and Antilisterial Characteristics of Essential Oil Components in Milk. Appl. Environ. Microbiol. 2014, 80, 907–916. [Google Scholar] [CrossRef] [PubMed]
- Drosinos, E.H.; Skandamis, P.N.; Mataragas, M. Antimicrobials Treatment. In Safety of Meat and Processed Meat; Toldrá, F., Ed.; Springer: New York, NY, USA, 2009; pp. 255–296. ISBN 978-0-387-89026-5. [Google Scholar]
- Burt, S. Essential Oils: Their Antibacterial Properties and Potential Applications in Foods—A Review. Int. J. Food Microbiol. 2004, 94, 223–253. [Google Scholar] [CrossRef] [PubMed]
- Voundi, S.O.; Nyegue, M.; Lazar, I.; Raducanu, D.; Ndoye, F.F.; Stamate, M.; Etoa, F.-X. Effect of Essential Oils on Germination and Growth of Some Pathogenic and Spoilage Spore-Forming Bacteria. Foodborne Pathog. Dis. 2015, 12, 551–559. [Google Scholar] [CrossRef] [PubMed]




| Raw Product (Powder or Juice) | Solvent | Inhibition Zone of C. perfringens SM101 (Mean ± SD; mm) |
|---|---|---|
| Onion juice (undiluted) | - | 15.9 ± 1.13 |
| Garlic juice (undiluted) | - | 29.6 ± 3.16 |
| Ginger juice (undiluted) | - | 0 ± 0 |
| Cinnamon powder (20% w/v) | SDW | 0 ± 0 |
| 20% DMSO | 11.75 ± 0.35 * | |
| Garlic powder (20% w/v) | SDW | 24.5 ± 0.5 |
| 20% DMSO | 25.75 ± 4.5 | |
| Turmeric powder (20% w/v) | SDW | 0 ± 0 |
| 20% DMSO | 9.1 ± 0.14 * | |
| Ginger powder (20% w/v) | SDW | 0 ± 0 |
| 20% DMSO | 0 ± 0 |
| Processed Products (Tablets, Capsules, and Oils) | Solvent | Inhibition Zone of C. perfringens SM101 (Mean ± SD; mm) |
|---|---|---|
| Garlic tablets (20% w/v) | SDW | 26.5 ± 0.70 |
| 20% DMSO | 26.25 ± 1.7 | |
| Turmeric capsules (20% w/v) | SDW | 0 ± 0 |
| 20% DMSO | 11 ± 1.4 * | |
| Ginger tablets (20% w/v) | SDW | 0 ± 0 |
| 20% DMSO | 0 ± 0 | |
| Cinnamon capsules 20% w/v) | SDW | 0 ± 0 |
| 20% DMSO | 13.4 ± 0.14 * | |
| Coconut oil | - | 0 ± 0 |
| Peppermint oil | 50% coconut oil | 21.3 ± 0.7 |
| Clove oil 50% | 50% coconut oil | 16.75 ± 0.5 |
| Rosemary oil 50% | 50% coconut oil | 15.75 ± 0.5 |
Disclaimer/Publisher’s Note: The statements, opinions and data contained in all publications are solely those of the individual author(s) and contributor(s) and not of MDPI and/or the editor(s). MDPI and/or the editor(s) disclaim responsibility for any injury to people or property resulting from any ideas, methods, instructions or products referred to in the content. |
© 2025 by the authors. Licensee MDPI, Basel, Switzerland. This article is an open access article distributed under the terms and conditions of the Creative Commons Attribution (CC BY) license (https://creativecommons.org/licenses/by/4.0/).
Share and Cite
Alfattani, S.Q.; Banawas, S.S.; Sarker, M.R. Inhibitory Effects of Natural Products on Germination, Outgrowth, and Vegetative Growth of Clostridium perfringens Spores in Laboratory Medium and Chicken Meat. Microorganisms 2025, 13, 72. https://doi.org/10.3390/microorganisms13010072
Alfattani SQ, Banawas SS, Sarker MR. Inhibitory Effects of Natural Products on Germination, Outgrowth, and Vegetative Growth of Clostridium perfringens Spores in Laboratory Medium and Chicken Meat. Microorganisms. 2025; 13(1):72. https://doi.org/10.3390/microorganisms13010072
Chicago/Turabian StyleAlfattani, Safa Q., Saeed S. Banawas, and Mahfuzur R. Sarker. 2025. "Inhibitory Effects of Natural Products on Germination, Outgrowth, and Vegetative Growth of Clostridium perfringens Spores in Laboratory Medium and Chicken Meat" Microorganisms 13, no. 1: 72. https://doi.org/10.3390/microorganisms13010072
APA StyleAlfattani, S. Q., Banawas, S. S., & Sarker, M. R. (2025). Inhibitory Effects of Natural Products on Germination, Outgrowth, and Vegetative Growth of Clostridium perfringens Spores in Laboratory Medium and Chicken Meat. Microorganisms, 13(1), 72. https://doi.org/10.3390/microorganisms13010072

