A Retrospective Cross-Sectional Analysis of Viral SARI in Pregnant Women in Southern Brazil
Abstract
1. Introduction
2. Materials and Methods
3. Results
3.1. Clinical–Epidemiological Characteristics
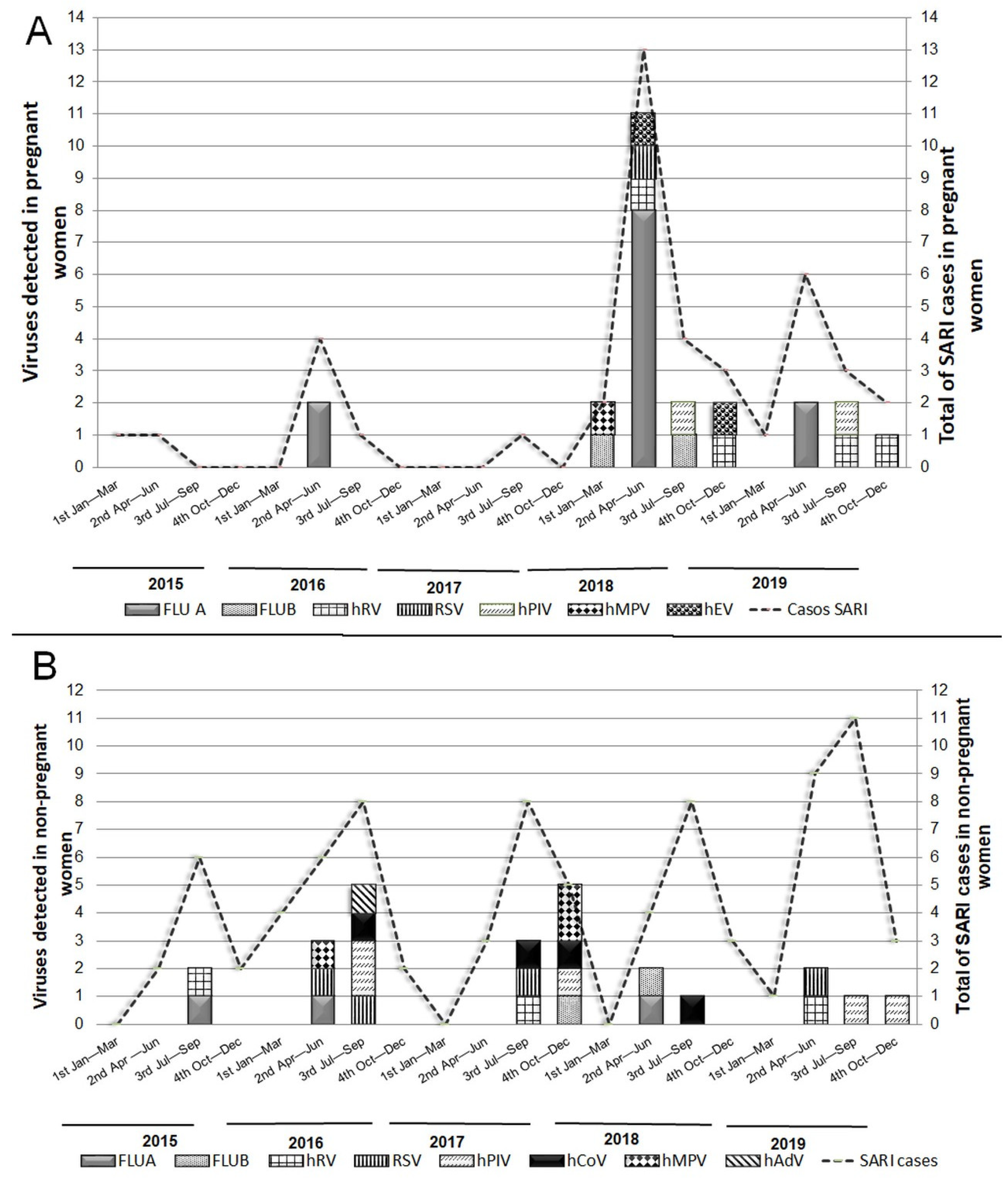
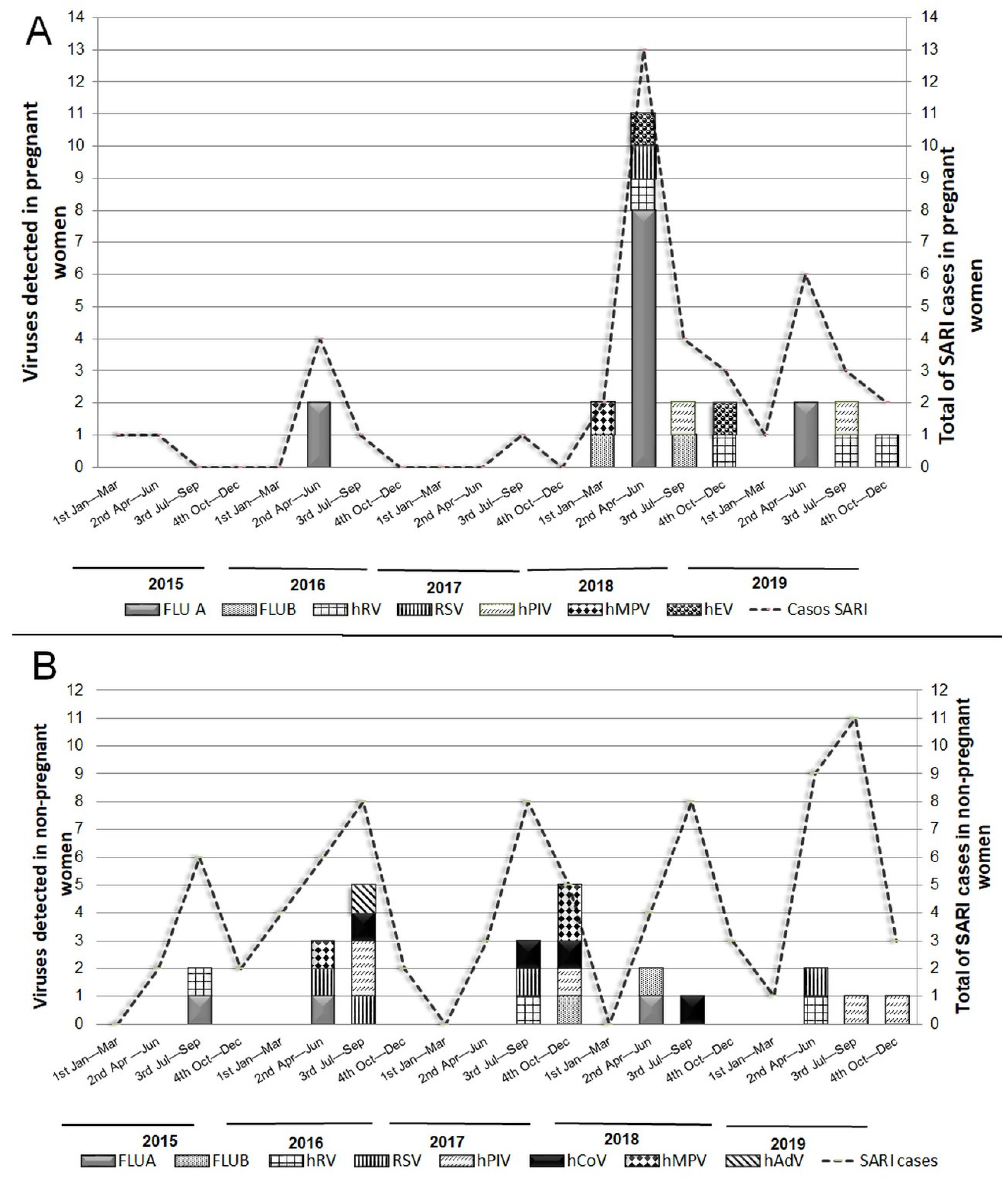
3.2. Impact of Viral SARI on PW and NPW
4. Discussion
5. Conclusions
Author Contributions
Funding
Data Availability Statement
Acknowledgments
Conflicts of Interest
References
- Alimi, Y.; Lim, W.; Lansbury, L.; Leonardi-Bee, J.; Nguyen-Van-Tam, J. Systematic review of respiratory viral pathogens identified in adults with community-acquired pneumonia in Europe. J. Clin. Virol. 2017, 95, 26–35. [Google Scholar] [CrossRef] [PubMed]
- Johnstone, J.; Majumdar, S.R.; Fox, J.D.; Marrie, T.J. Viral infection in adults hospitalized with community-acquired pneumonia. Chest 2008, 134, 1141–1148. [Google Scholar] [CrossRef] [PubMed]
- Fitzner, J.; Qasmieh, S.; Mounts, A.W.; Alexander, B.; Besselaar, T.; Briand, S.; Brown, C.; Clark, S.; Dueger, E.; Gross, D.; et al. Revision of clinical case definitions: Influenza-like illness and severe acute respiratory infection. Bull. World Health Organ. 2018, 96, 122–128. [Google Scholar] [CrossRef] [PubMed]
- MS—Ministério da Saúde do Brasil. Protocolo de Tratamento de Influenza 2017. Disponível em. Available online: https://bvsms.saude.gov.br/bvs/publicacoes/protocolo_tratamento_influenza_2017.pdf (accessed on 27 May 2022).
- Przybysz, T.M.; Heffner, A.C. Early Treatment of Severe Acute Respiratory Distress Syndrome. Emerg. Med. Clin. N. Am. 2016, 34, 1–14. [Google Scholar] [CrossRef] [PubMed]
- Matthay, M.A.; Zemans, R.L.; Zimmerman, G.A.; Arabi, Y.M.; Beitler, J.R.; Mercat, A.; Herridge, M.; Randolph, A.G.; Calfee, C.S. Acute respiratory distress syndrome. Nat. Rev. Dis. Prim. 2019, 5, 1–22. [Google Scholar] [CrossRef] [PubMed]
- Pavia, A.T. What is the role of respiratory viruses in community-acquired pneumonia?: What is the best therapy for influenza and other viral causes of community-acquired pneumonia? Infect. Dis. Clin. N. Am. 2013, 27, 157–175. [Google Scholar] [CrossRef] [PubMed]
- Rodriguez-Morales, A.J.; Cardona-Ospina, J.A.; Gutiérrez-Ocampo, E.; Villamizar-Peña, R.; Holguin-Rivera, Y.; Escalera-Antezana, J.P.; Alvarado-Arnez, L.E.; Bonilla-Aldana, D.K.; Franco-Paredes, C.; Henao-Martinez, A.F.; et al. Clinical, laboratory and imaging features of COVID-19: A systematic review and meta-analysis. Travel Med. Infect. Dis. 2020, 34, 101623. [Google Scholar] [CrossRef]
- Hause, A.M.; Avadhanula, V.; Maccato, M.L.; Pinell, P.M.; Bond, N.; Santarcangelo, P.; Ferlic-Stark, L.; Ye, X.; Iwuchukwu, O.; Maurer, L.; et al. Clinical characteristics and outcomes of respiratory syncytial virus infection in pregnant women. Vaccine 2019, 37, 3464–3471. [Google Scholar] [CrossRef]
- Leeper, C.; Lutzkanin, A., 3rd. Infections During Pregnancy. Prim. Care Clin. Off. Pr. 2018, 45, 567–586. [Google Scholar] [CrossRef]
- Badell, M.L.; Dude, C.M.; Rasmussen, S.A.; Jamieson, D. COVID-19 vaccination in pregnancy. BMJ 2022, 378, e069741. [Google Scholar] [CrossRef]
- Silverman, N.S.; Beigi, R. Influenza Vaccination During Pregnancy (Retracted article. See vol. 131, pg. 751, 2018). Obstet. Gynecol. 2018, 131, E109–E114. [Google Scholar] [CrossRef]
- Mendoza-Sassi, R.A.; Cesar, J.A.; Cagol, J.M.; Duarte, I.A.; Friedrich, L.M.; Santos, V.K.; Zhang, L. 2010 A(H1N1) vaccination in pregnant women in Brazil: Identifying coverage and associated factors. Cad Saude Publica 2015, 31, 1247–1256. [Google Scholar] [CrossRef][Green Version]
- Raboni, S.M.; Moura, F.E.; Caetano, B.C.; Avanzi, V.M.; A Pereira, L.; Nogueira, M.B.; Vidal, L.R.; Tavares, I.C.; Pradel, F.K.; Picot, V.S.; et al. Global Influenza Hospital-based Surveillance Network (GIHSN): Results of surveillance of influenza and other respiratory viruses in hospitalised patients in Brazil, 2015. BMJ Open 2018, 8, e017603. [Google Scholar] [CrossRef]
- Falavina, L.P.; Lentsck, M.H.; Mathias, T.A.d.F. Trend and spatial distribution of infectious diseases in pregnant women in the state of Paraná-Brazil. Rev. Latino-Am. Enferm. 2019, 27, e3160. [Google Scholar] [CrossRef]
- Borges, M.A.S.B.; Florentino, P.T.V.; Cerqueira-Silva, T.; de Carvalho, L.F.; Oliveira, V.d.A.; Aguilar, G.M.O.; Prado, R.d.S.; Soranz, D.; Werneck, G.L.; Pescarini, J.M.; et al. Factors associated with COVID-19 vaccination among pregnant women in Rio De Janeiro City, Brazil. Sci. Rep. 2023, 13, 1–9. [Google Scholar] [CrossRef]
- Sebghati, M.; Khalil, A. Uptake of vaccination in pregnancy. Best Pr. Res. Clin. Obstet. Gynaecol. 2021, 76, 53–65. [Google Scholar] [CrossRef]
- WHO—World Health Organization. Global Influenza Strategy 2019–2030; WHO: Geneva, Switzerland, 2019; Available online: http://apps.who.int/iris (accessed on 17 May 2024).
- Jarvis, J.; Dorey, R.; Warricker, F.; Alwan, N.; Jones, C. The effectiveness of influenza vaccination in pregnancy in relation to child health outcomes: Systematic review and meta-analysis. Vaccine 2020, 38, 1601–1613. [Google Scholar] [CrossRef]
- WHO—World Health Organization. Influenza (Seasonal). CDC Protocol of Realtime RTPCR for Influenza A (H1N1) Characterization of Swine Influenza (Version 2009); General Comments Control; WHO: Geneva, Switzerland, 2009. [Google Scholar]
- WHO—World Health Organization. Influenza (Seasonal), 4th ed.; WHO Information for the Molecular Detection of Influenza Viruses; WHO: Geneva, Switzerland, 2017. [Google Scholar]
- Creanga, A.A.; Johnson, T.F.; Graitcer, S.B.; Hartman, L.K.; Al-Samarrai, T.; Schwarz, A.G.; Chu, S.Y.P.; Sackoff, J.E.; Jamieson, D.J.; Fine, A.D.; et al. Severity of 2009 pandemic influenza A (H1N1) virus infection in pregnant women. Obstet. Gynecol. 2010, 115, 717–726. [Google Scholar] [CrossRef] [PubMed]
- Pfitscher, L.C.; Brazilian Network for Surveillance of Severe Maternal Morbidity Group; Cecatti, J.G.; Pacagnella, R.C.; Haddad, S.M.; Parpinelli, M.A.; Souza, J.P.; Quintana, S.M.; Surita, F.G.; Sousa, M.H.; et al. Severe maternal morbidity due to respiratory disease and impact of 2009 H1N1 influenza A pandemic in Brazil: Results from a national multicenter cross-sectional study. BMC Infect. Dis. 2016, 16, 220. [Google Scholar] [CrossRef] [PubMed]
- da Silva, A.A.; Ranieri, T.M.S.; Torres, F.D.; Vianna, F.S.L.; Paniz, G.R.; Sanseverino, P.B.; Picon, P.D.; de Azevedo, P.B.; Costa, M.H.; Schuler-Faccini, L.; et al. Impact on pregnancies in South Brazil from the influenza A (H1N1) pandemic: Cohort study. PLoS ONE 2014, 9, e88624. [Google Scholar] [CrossRef]
- Bastos, L.S.; Niquini, R.P.; Lana, R.M.; Villela, D.A.M.; Cruz, O.G.; Coelho, F.C.; Gomes, M.F.C. COVID-19 anda hospitalizations for SARI in Brazil: A comparison up to the 12th epidemiological week of 2020. Cad. Saude Publica 2020, 36, e00070120. [Google Scholar] [CrossRef]
- Niquini, R.P.; Lana, R.M.; Pacheco, A.G.; Cruz, O.G.; Coelho, F.C.; Carvalho, L.M.; Villela, D.A.M.; Gomes, M.F.d.C.; Bastos, L.S. Description and comparison of demographic characteristics and comorbidities in SARI from COVID-19, SARI from influenza, and the Brazilian general population. Cad. Saude Publica 2020, 36, e00149420. [Google Scholar] [CrossRef]
- Leal, L.F.; Merckx, J.; Fell, D.B.; Kuchenbecker, R.; Miranda, A.E.; de Oliveira, W.K.; Platt, R.W.; Antunes, L.; Silveira, M.F.; Barbieri, N.B. Characteristics and outcomes of pregnant women with SARS-CoV-2 infection and other severe acute respiratory infections (SARI) in Brazil from January to November 2020. Braz. J. Infect. Dis. 2021, 25, 101620. [Google Scholar] [CrossRef]
- Li, Y.; Reeves, R.M.; Wang, X.; Bassat, Q.; Brooks, W.A.; Cohen, C.; Moore, D.P.; Nunes, M.; Rath, B.; Campbell, H.; et al. Global patterns in monthly activity of influenza virus, respiratory syncytial virus, parainfluenza virus, and metapneumovirus: A systematic analysis. Lancet Glob. Health 2019, 7, e1031–e1045. [Google Scholar] [CrossRef]
- Paño-Pardo, J.R.; Martínez-Sánchez, N.; Martín-Quirós, A.; Romero-Gómez, M.P.; Muñoz-Muñiz, M.; Sánchez-Pastor, M.; Ruiz, G.; San-José, B.; Prados, M.C.; Mora-Rillo, M.; et al. Influenza-like illness in pregnant women during summertime: Clinical, epidemiological and microbiological features. Eur. J. Clin. Microbiol. Infect. Dis. 2011, 30, 1497–1502. [Google Scholar] [CrossRef]
- Azziz-Baumgartner, E.; Veguilla, V.; Calvo, A.; Franco, D.; Dominguez, R.; Rauda, R.; Armero, J.; Hall, A.J.; Pascale, J.M.; González, R. Incidence of influenza and other respiratory viruses among pregnant women: A multi-country, multiyear cohort. Int. J. Gynecol. Obstet. 2021, 158, 359–367. [Google Scholar] [CrossRef]
- Irving, S.A.; Ball, S.W.; Booth, S.M.; Regan, A.K.; Naleway, A.L.; Buchan, S.A.; Katz, M.A.; Effler, P.V.; Svenson, L.W.; Kwong, J.C.; et al. A multi-country investigation of influenza vaccine coverage in pregnant individuals, 2010–2016. Vaccine 2021, 39, 7598–7605. [Google Scholar] [CrossRef]
- PAHO—Pan American Health Organization. Evaluación multicéntrica de la efectividad de la vacuna de influenza estacional en América Latina y el Caribe. Rede REVELAC-i. 2018. Available online: https://www.paho.org/es/documentos/evaluacion-multicentrica-efectividad-vacuna-influenza-estacional-america-latina-caribe (accessed on 11 February 2021).
- Macias, A.E.; Precioso, A.R.; Falsey, A.R.; the Global Influenza Initiative. The Global Influenza Initiative recommendations for the vaccination of pregnant women against seasonal influenza. Influ. Other Respir. Viruses 2015, 9, 31–37. [Google Scholar] [CrossRef] [PubMed]
- Wang, R.; Yan, W.; Du, M.; Tao, L.; Liu, J. The effect of influenza virus infection on pregnancy outcomes: A systematic review and meta-analysis of cohort studies. Int. J. Infect. Dis. 2021, 105, 567–578. [Google Scholar] [CrossRef] [PubMed]
- MS—Ministério da Saúde. Secretaria de Vigilância em Saúde. Departamento de Vigilância das Doenças Transmissíveis. Protocolo de tratamento de Influenza: 2017 Brasília. 2018. Available online: http://bvsms.saude.gov.br/publicacoes/protocolo_tratamento_influenza_2017 (accessed on 11 February 2021).
- Kumari, R.; Sharma, S.D.; Kumar, A.; Ende, Z.; Mishina, M.; Wang, Y.; Falls, Z.; Samudrala, R.; Pohl, J.; Knight, P.R.; et al. Antiviral Approaches against Influenza Virus. Clin. Microbiol. Rev. 2023, 36, e0004022. [Google Scholar] [CrossRef]
- Jamieson, D.J.; A Honein, M.; A Rasmussen, S.; Williams, J.L.; Swerdlow, D.L.; Biggerstaff, M.S.; Lindstrom, S.; Louie, J.K.; Christ, C.M.; Bohm, S.R.; et al. H1N1 2009 influenza virus infection during pregnancy in the USA. Lancet 2009, 374, 451–458. [Google Scholar] [CrossRef]
- Mertz, D.; Kim, T.H.; Johnstone, J.; Lam, P.-P.; Science, M.; Kuster, S.P.; Fadel, S.A.; Tran, D.; Fernandez, E.; Bhatnagar, N.; et al. Populations at risk for severe or complicated influenza illness: Systematic review and meta-analysis. BMJ 2013, 347, f5061. [Google Scholar] [CrossRef]
- Mertz, D.; Lo, C.K.; Lytvyn, L.; Ortiz, J.R.; Loeb, M.; FLURISK-INVESTIGATORS. Pregnancy as a risk factor for severe influenza infection: An individual participant data meta-analysis. BMC Infect. Dis. 2019, 19, 1–10. [Google Scholar] [CrossRef]
- van Riel, D.; Mittrücker, H.-W.; Engels, G.; Klingel, K.; Markert, U.R.; Gabriel, G. Influenza pathogenicity during pregnancy in women and animal models. Semin. Immunopathol. 2016, 38, 719–726. [Google Scholar] [CrossRef]
- Littauer, E.Q.; Esser, E.S.; Antao, O.Q.; Vassilieva, E.V.; Compans, R.W.; Skountzou, I. H1N1 influenza virus infection results in adverse pregnancy outcomes by disrupting tissue-specific hormonal regulation. PLoS Pathog. 2017, 13, e1006757. [Google Scholar] [CrossRef]
- Dawood, F.S.; Garg, S.; Fink, R.V.; Russell, M.L.; Regan, A.K.; A Katz, M.; Booth, S.; Chung, H.; Klein, N.P.; Kwong, J.C.; et al. Epidemiology and Clinical Outcomes of Hospitalizations for Acute Respiratory or Febrile Illness and Laboratory-Confirmed Influenza among Pregnant Women during Six Influenza Seasons, 2010–2016. J. Infect. Dis. 2019, 221, 1703–1712. [Google Scholar] [CrossRef]
- Bansal, A.; Trieu, M.-C.; Mohn, K.G.I.; Cox, R.J. Safety, Immunogenicity, Efficacy and Effectiveness of Inactivated Influenza Vaccines in Healthy Pregnant Women and Children Under 5 Years: An Evidence-Based Clinical Review. Front. Immunol. 2021, 12, 744774. [Google Scholar] [CrossRef]
- Ortiz, J.R.; Perut, M.; Dumolard, L.; Wijesinghe, P.R.; Jorgensen, P.; Ropero, A.M.; Danovaro-Holliday, M.C.; Heffelfinger, J.D.; Tevi-Benissan, C.; Teleb, N.A.; et al. A global review of national influenza immunization policies: Analysis of the 2014 WHO/UNICEF Joint Reporting Form on immunization. Vaccine 2016, 34, 5400–5405. [Google Scholar] [CrossRef]
- Quach, T.H.T.; Mallis, N.A.; Cordero, J.F. Influenza Vaccine Efficacy and Effectiveness in Pregnant Women: Systematic Review and Meta-analysis. Matern. Child Health J. 2020, 24, 229–240. [Google Scholar] [CrossRef]
- Louie, J.K.; Acosta, M.; Jamieson, D.J.; Honein, M.A. Severe 2009 H1N1 influenza in pregnant and postpartum women in California. N. Engl. J. Med. 2010, 362, 27–35. [Google Scholar] [CrossRef]
- Chow, E.J.; Beigi, R.H.; E Riley, L.; Uyeki, T.M. Clinical Effectiveness and Safety of Antivirals for Influenza in Pregnancy. Open Forum Infect. Dis. 2021, 8, ofab138. [Google Scholar] [CrossRef]



| Pregnant Women n = 42 | Non-Pregnant Women n = 85 | p | aOR (95% IC) | p | |
|---|---|---|---|---|---|
| Gestational quarter n (%) | |||||
| 1st trimester | 13 (31) | NA | - | ||
| 2nd trimester | 16 (38) | NA | |||
| 3rd trimester | 13 (31) | NA | |||
| Age median—years (IQR) | 28 (22–32) | 31 (24–36) | 0.011 | ||
| Age group—years, n (%) | |||||
| 18–27 | 21 (50) | 26 (31) | 0.035 | ||
| 28–37 | 18 (43) | 40 (47) | |||
| 38–45 | 3 (7) | 19 (22) | |||
| Ethnic group n (%) | |||||
| Caucasian | 34 (81) | 77 (90) | 0.091 | ||
| African descendant | 8 (19) | 8 (10) | |||
| Influenza vaccine n (%) | |||||
| Yes | 19 (45) | 0 | - | ||
| No | 18 (43) | 85 (100) | |||
| Not described | 5 (12) | 0 | |||
| Underlying diseases n (%) | 5 (12) | 0 | - | ||
| Antiviral treatment n (%) | 37 (88) | 35 (41) | <0.0001 | ||
| Symptoms | |||||
| Fever | 31 (74) | 58 (68) | 0.545 | ||
| Cough | 37 (88) | 56 (66) | 0.010 | ||
| Sore throat | 14 (33) | 9 (11) | 0.459 | ||
| Dyspnea | 30 (71) | 57 (67) | 0.553 | ||
| Viral *SARI n (%) | 21 (50) | 24 (28) | 0.019 | 2.37 (1.02—5.48) | 0.044 |
| Pregnant Women n = (21/42) | Non-Pregnant Women n = (24/85) | p | aOR (95% IC) | p | |
|---|---|---|---|---|---|
| Median age—years (IQR) | 27 (24–33) | 31 (25–36) | 0.270 | ||
| Median time symptoms elapsed until hospitalization—days (IQR) | 2 (1.0–3.0) | 2 (1.0–6.5) | 0.417 | ||
| Viral coinfection n (%) | 3 (14) | 1 (4) | 0.318 | ||
| Viruses detected n (%) | |||||
| FLU (A and B) | 14 (67) | 5 (21) | 0.002 | 7.58 (1.53–37.66) | 0.013 |
| hMPV | 1 (5) | 3 (12) | 0.614 | ||
| hAdV | 0 | 1 (4) | - | ||
| hPIV (1,2,3, and 4) | 2 (10) | 5 (21) | 0.428 | ||
| hRV (A, B, and C) | 4 (19) | 3 (12) | 0.686 | ||
| RSV (A and B) | 1 (5) | 4 (17) | 0.357 | ||
| hCoV (HKU1/229E/OC43/NL63) | 0 | 4 (17) | 0.239 | ||
| hEV | 2 (10) | 0 | - | ||
| Primary outcomes | |||||
| Length of stay—days (IQR) | 3 (2–5) | 14 (5–20) | 0.0004 | 0.83 (0.73–0.95) | 0.006 |
| Ventilatory support n (%) | 8 (38) | 14 (58) | 0.236 | ||
| ICU admission n (%) | 1 (5) | 16 (67) | <0.0001 | 0.03 (0.00–0.25) | 0.001 |
| Death n (%) | 0 | 1 (4) | - |
Disclaimer/Publisher’s Note: The statements, opinions and data contained in all publications are solely those of the individual author(s) and contributor(s) and not of MDPI and/or the editor(s). MDPI and/or the editor(s) disclaim responsibility for any injury to people or property resulting from any ideas, methods, instructions or products referred to in the content. |
© 2024 by the authors. Licensee MDPI, Basel, Switzerland. This article is an open access article distributed under the terms and conditions of the Creative Commons Attribution (CC BY) license (https://creativecommons.org/licenses/by/4.0/).
Share and Cite
Lissa, S.M.; Lapinski, B.A.; Graf, M.E.; Reda, S.; Debur, M.d.C.; Presibella, M.; Pereira, L.A.; de Carvalho, N.S.; Carvalho de Oliveira, J.; Raboni, S.M.; et al. A Retrospective Cross-Sectional Analysis of Viral SARI in Pregnant Women in Southern Brazil. Microorganisms 2024, 12, 1555. https://doi.org/10.3390/microorganisms12081555
Lissa SM, Lapinski BA, Graf ME, Reda S, Debur MdC, Presibella M, Pereira LA, de Carvalho NS, Carvalho de Oliveira J, Raboni SM, et al. A Retrospective Cross-Sectional Analysis of Viral SARI in Pregnant Women in Southern Brazil. Microorganisms. 2024; 12(8):1555. https://doi.org/10.3390/microorganisms12081555
Chicago/Turabian StyleLissa, Sonia Maria, Bruna Amaral Lapinski, Maria Ester Graf, Somaia Reda, Maria do Carmo Debur, Mayra Presibella, Luciane Aparecida Pereira, Newton Sérgio de Carvalho, Jaqueline Carvalho de Oliveira, Sonia Mara Raboni, and et al. 2024. "A Retrospective Cross-Sectional Analysis of Viral SARI in Pregnant Women in Southern Brazil" Microorganisms 12, no. 8: 1555. https://doi.org/10.3390/microorganisms12081555
APA StyleLissa, S. M., Lapinski, B. A., Graf, M. E., Reda, S., Debur, M. d. C., Presibella, M., Pereira, L. A., de Carvalho, N. S., Carvalho de Oliveira, J., Raboni, S. M., & Nogueira, M. B. (2024). A Retrospective Cross-Sectional Analysis of Viral SARI in Pregnant Women in Southern Brazil. Microorganisms, 12(8), 1555. https://doi.org/10.3390/microorganisms12081555

