Sequential Sampling of the Gastrointestinal Tract to Characterize the Entire Digestive Microbiome in Japanese Subjects
Abstract
1. Introduction
2. Materials and Methods
2.1. Sample Preparation
2.2. Extraction of Genomic Bacterial DNA
2.3. 16S rRNA Gene Amplification and Sequencing
2.4. Amplicon Sequence Variants
2.5. Statistics
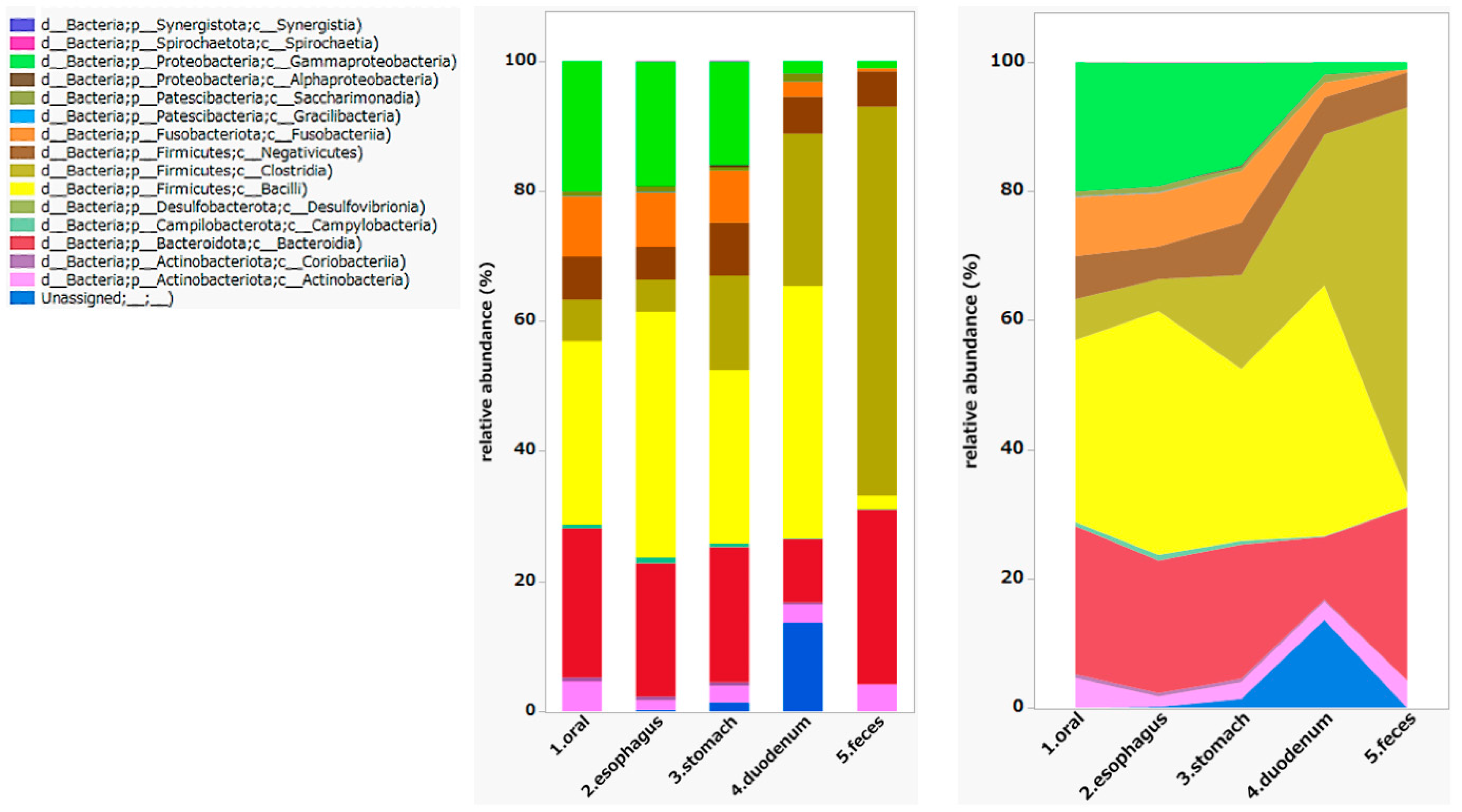
3. Results
4. Discussion
5. Conclusions
Supplementary Materials
Author Contributions
Funding
Data Availability Statement
Acknowledgments
Conflicts of Interest
References
- Li, J.; Jia, H.; Cai, X.; Zhong, H.; Feng, Q.; Sunagawa, S.; Arumugam, M.; Kultima, J.R.; Prifti, E.; Nielsen, T.; et al. An Integrated Catalog of Reference Genes in the Human Gut Microbiome. Nat. Biotechnol. 2014, 32, 834–841. [Google Scholar] [CrossRef] [PubMed]
- Almeida, A.; Mitchell, A.L.; Boland, M.; Forster, S.C.; Gloor, G.B.; Tarkowska, A.; Lawley, T.D.; Finn, R.D. A New Genomic Blueprint of the Human Gut Microbiota. Nature 2019, 568, 499–504. [Google Scholar] [CrossRef]
- Duvallet, C.; Gibbons, S.M.; Gurry, T.; Irizarry, R.A.; Alm, E.J. Meta-Analysis of Gut Microbiome Studies Identifies Disease-Specific and Shared Responses. Nat. Commun. 2017, 8, 1784. [Google Scholar] [CrossRef]
- Qin, J.; Li, R.; Raes, J.; Arumugam, M.; Burgdorf, K.S.; Manichanh, C.; Nielsen, T.; Pons, N.; Levenez, F.; Yamada, T.; et al. A Human Gut Microbial Gene Catalogue Established by Metagenomic Sequencing. Nature 2010, 464, 59–65. [Google Scholar] [CrossRef] [PubMed]
- Costello, E.K.; Lauber, C.L.; Hamady, M.; Fierer, N.; Gordon, J.I.; Knight, R. Bacterial Community Variation in Human Body Habitats Across Space and Time. Science 2009, 326, 1694–1697. [Google Scholar] [CrossRef] [PubMed]
- Turnbaugh, P.J.; Hamady, M.; Yatsunenko, T.; Cantarel, B.L.; Duncan, A.; Ley, R.E.; Sogin, M.L.; Jones, W.J.; Roe, B.A.; Affourtit, J.P.; et al. A Core Gut Microbiome in Obese and Lean Twins. Nature 2009, 457, 480–484. [Google Scholar] [CrossRef]
- Huttenhower, C.; Gevers, D.; Knight, R.; Abubucker, S.; Badger, J.H.; Chinwalla, A.T.; Creasy, H.H.; Earl, A.M.; FitzGerald, M.G.; Fulton, R.S.; et al. Structure, Function and Diversity of the Healthy Human Microbiome. Nature 2012, 486, 207–214. [Google Scholar] [CrossRef]
- Yatsunenko, T.; Rey, F.E.; Manary, M.J.; Trehan, I.; Dominguez-Bello, M.G.; Contreras, M.; Magris, M.; Hidalgo, G.; Baldassano, R.N.; Anokhin, A.P.; et al. Human Gut Microbiome Viewed across Age and Geography. Nature 2012, 486, 222–227. [Google Scholar] [CrossRef]
- Eckburg, P.B.; Bik, E.M.; Bernstein, C.N.; Purdom, E.; Dethlefsen, L.; Sargent, M.; Gill, S.R.; Nelson, K.E.; Relman, D.A. Diversity of the Human Intestinal Microbial Flora. Science 2005, 308, 1635–1638. [Google Scholar] [CrossRef]
- Vangay, P.; Johnson, A.J.; Ward, T.L.; Al-Ghalith, G.A.; Shields-Cutler, R.R.; Hillmann, B.M.; Lucas, S.K.; Beura, L.K.; Thompson, E.A.; Till, L.M.; et al. US Immigration Westernizes the Human Gut Microbiome. Cell 2018, 175, 962–972.e10. [Google Scholar] [CrossRef]
- Methé, B.A.; Nelson, K.E.; Pop, M.; Creasy, H.H.; Giglio, M.G.; Huttenhower, C.; Gevers, D.; Petrosino, J.F.; Abubucker, S.; Badger, J.H.; et al. A Framework for Human Microbiome Research. Nature 2012, 486, 215–221. [Google Scholar] [CrossRef]
- David, L.A.; Maurice, C.F.; Carmody, R.N.; Gootenberg, D.B.; Button, J.E.; Wolfe, B.E.; Ling, A.V.; Devlin, A.S.; Varma, Y.; Fischbach, M.A.; et al. Diet Rapidly and Reproducibly Alters the Human Gut Microbiome. Nature 2014, 505, 559–563. [Google Scholar] [CrossRef] [PubMed]
- Cho, I.; Blaser, M.J. The Human Microbiome: At the Interface of Health and Disease. Nat. Rev. Genet. 2012, 13, 260–270. [Google Scholar] [CrossRef] [PubMed]
- Guarner, F.; Malagelada, J.-R. Gut Flora in Health and Disease. Lancet 2003, 361, 512–519. [Google Scholar] [CrossRef]
- Dewhirst, F.E.; Chen, T.; Izard, J.; Paster, B.J.; Tanner, A.C.R.; Yu, W.-H.; Lakshmanan, A.; Wade, W.G. The Human Oral Microbiome. J. Bacteriol. 2010, 192, 5002–5017. [Google Scholar] [CrossRef]
- Mindrescu, N.M.; Guja, C.; Jinga, V.; Ispas, S.; Curici, A.; Twakor, A.N.; Stoian, A.M.P. Interactions between Gut Microbiota and Oral Antihyperglycemic Drugs: A Systematic Review. Int. J. Mol. Sci. 2024, 25, 3540. [Google Scholar] [CrossRef] [PubMed]
- Saito, S.; Aoki, Y.; Tamahara, T.; Goto, M.; Matsui, H.; Kawashima, J.; Danjoh, I.; Hozawa, A.; Kuriyama, S.; Suzuki, Y.; et al. Oral Microbiome Analysis in Prospective Genome Cohort Studies of the Tohoku Medical Megabank Project. Front. Cell. Infect. Microbiol. 2021, 10, 604596. [Google Scholar] [CrossRef]
- Yang, L.; Lu, X.; Nossa, C.W.; Francois, F.; Peek, R.M.; Pei, Z. Inflammation and Intestinal Metaplasia of the Distal Esophagus Are Associated with Alterations in the Microbiome. Gastroenterology 2009, 137, 588–597. [Google Scholar] [CrossRef]
- Bik, E.M.; Eckburg, P.B.; Gill, S.R.; Nelson, K.E.; Purdom, E.A.; Francois, F.; Perez-Perez, G.; Blaser, M.J.; Relman, D.A. Molecular Analysis of the Bacterial Microbiota in the Human Stomach. Proc. Natl. Acad. Sci. USA 2006, 103, 732–737. [Google Scholar] [CrossRef]
- Koren, O.; Goodrich, J.K.; Cullender, T.C.; Spor, A.; Laitinen, K.; Bäckhed, H.K.; Gonzalez, A.; Werner, J.J.; Angenent, L.T.; Knight, R.; et al. Host Remodeling of the Gut Microbiome and Metabolic Changes during Pregnancy. Cell 2012, 150, 470–480. [Google Scholar] [CrossRef]
- Spor, A.; Koren, O.; Ley, R. Unravelling the Effects of the Environment and Host Genotype on the Gut Microbiome. Nat. Rev. Microbiol. 2011, 9, 279–290. [Google Scholar] [CrossRef] [PubMed]
- Group, N.H.W.; Peterson, J.; Garges, S.; Giovanni, M.; McInnes, P.; Wang, L.; Schloss, J.A.; Bonazzi, V.; McEwen, J.E.; Wetterstrand, K.A.; et al. The NIH Human Microbiome Project. Genome Res. 2009, 19, 2317–2323. [Google Scholar] [CrossRef] [PubMed]
- Kawana, T.; Imoto, H.; Tanaka, N.; Tsuchiya, T.; Yamamura, A.; Saijo, F.; Maekawa, M.; Tamahara, T.; Shimizu, R.; Nakagawa, K.; et al. The Significance of Bile in the Biliopancreatic Limb on Metabolic Improvement After Duodenal-Jejunal Bypass. Obes. Surg. 2024, 34, 1665–1673. [Google Scholar] [CrossRef] [PubMed]
- Ikeda, H.; Ihara, E.; Takeya, K.; Mukai, K.; Onimaru, M.; Ouchida, K.; Hata, Y.; Bai, X.; Tanaka, Y.; Sasaki, T.; et al. The Interplay between Alterations in Esophageal Microbiota Associated with Th17 Immune Response and Impaired LC20 Phosphorylation in Achalasia. J. Gastroenterol. 2024, 59, 361–375. [Google Scholar] [CrossRef]
- Sundin, O.H.; Mendoza-Ladd, A.; Zeng, M.; Diaz-Arévalo, D.; Morales, E.; Fagan, B.M.; Ordoñez, J.; Velez, P.; Antony, N.; McCallum, R.W. The Human Jejunum Has an Endogenous Microbiota That Differs from Those in the Oral Cavity and Colon. BMC Microbiol. 2017, 17, 160. [Google Scholar] [CrossRef] [PubMed]
- Arumugam, M.; Raes, J.; Pelletier, E.; Paslier, D.L.; Yamada, T.; Mende, D.R.; Fernandes, G.R.; Tap, J.; Bruls, T.; Batto, J.-M.; et al. Enterotypes of the Human Gut Microbiome. Nature 2011, 473, 174–180. [Google Scholar] [CrossRef] [PubMed]
- Bolyen, E.; Rideout, J.R.; Dillon, M.R.; Bokulich, N.A.; Abnet, C.C.; Al-Ghalith, G.A.; Alexander, H.; Alm, E.J.; Arumugam, M.; Asnicar, F.; et al. Reproducible, Interactive, Scalable and Extensible Microbiome Data Science Using QIIME 2. Nat. Biotechnol. 2019, 37, 852–857. [Google Scholar] [CrossRef] [PubMed]
- Quast, C.; Pruesse, E.; Yilmaz, P.; Gerken, J.; Schweer, T.; Yarza, P.; Peplies, J.; Glöckner, F.O. The SILVA Ribosomal RNA Gene Database Project: Improved Data Processing and Web-Based Tools. Nucleic Acids Res. 2012, 41, D590–D596. [Google Scholar] [CrossRef] [PubMed]
- Zoetendal, E.G.; Rajilić-Stojanović, M.; de Vos, W.M. High-Throughput Diversity and Functionality Analysis of the Gastrointestinal Tract Microbiota. Gut 2008, 57, 1605. [Google Scholar] [CrossRef]
- Tap, J.; Mondot, S.; Levenez, F.; Pelletier, E.; Caron, C.; Furet, J.; Ugarte, E.; Muñoz-Tamayo, R.; Paslier, D.L.E.; Nalin, R.; et al. Towards the Human Intestinal Microbiota Phylogenetic Core. Environ. Microbiol. 2009, 11, 2574–2584. [Google Scholar] [CrossRef]
- Verdu, E.F.; Collins, S.M. Microbial-Gut Interactions in Health and Disease. Irritable Bowel Syndrome. Best Pract. Res. Clin. Gastroenterol. 2004, 18, 315–321. [Google Scholar] [CrossRef] [PubMed]
- Rieder, R.; Wisniewski, P.J.; Alderman, B.L.; Campbell, S.C. Microbes and Mental Health: A Review. Brain Behav. Immun. 2017, 66, 9–17. [Google Scholar] [CrossRef] [PubMed]
- Ley, R.E.; Turnbaugh, P.J.; Klein, S.; Gordon, J.I. Microbial Ecology: Human Gut Microbes Associated with Obesity. Nature 2006, 444, 1022–1023. [Google Scholar] [CrossRef] [PubMed]
- NIH. Human Microbiome Project Defines Normal Bacterial Makeup of the Body|National Institutes of Health (NIH). Available online: https://www.nih.gov/news-events/news-releases/nih-human-microbiome-project-defines-normal-bacterial-makeup-body (accessed on 20 June 2024).
- Yamaki, K.; Tamahara, T.; Washio, J.; Sato, T.; Shimizu, R.; Yamada, S. Intracanal Microbiome Profiles of Two Apical Periodontitis Cases in One Patient: A Comparison with Saliva and Plaque Profiles. Clin. Exp. Dent. Res. 2024, 10, e862. [Google Scholar] [CrossRef]







| Sample ID | Age | Gender | Disease Stats | Collection Site | DNA Concentration (ng/µL) | DNA 260/280 Ratio |
|---|---|---|---|---|---|---|
| Subject 1 | 42 | Male | health | oral | 31.5 | 2.45 |
| esophagus | 26.2 | 2.49 | ||||
| stomach | 10.7 | 2.7 | ||||
| duodenum | 52 | 1.99 | ||||
| feces | 24.8 | 2.3 | ||||
| Subject 2 | 52 | Male | health | oral | 38 | 2.14 |
| esophagus | 11 | 2.57 | ||||
| stomach | 12.6 | 2.3 | ||||
| duodenum | 12.4 | 2.29 | ||||
| feces | 97.7 | 2.01 | ||||
| Subject 3 | 54 | Male | health | oral | 44.4 | 2.11 |
| esophagus | 11.3 | 2.54 | ||||
| stomach | 12.2 | 2.28 | ||||
| duodenum | 10.3 | 2.6 | ||||
| feces | 96.2 | 2.1 | ||||
| Subject 4 | 50 | Male | health | oral | 25.9 | 2.23 |
| esophagus | 68.8 | 2.1 | ||||
| stomach | 13 | 2.67 | ||||
| duodenum | 12.9 | 2.58 | ||||
| feces | 59.4 | 2.01 | ||||
| Subject 5 | 41 | Female | health | oral | 39 | 2.12 |
| esophagus | 9.8 | 2.43 | ||||
| stomach | 8.8 | 2.29 | ||||
| duodenum | 25.2 | 2.05 | ||||
| feces | 19.9 | 1.53 |
Disclaimer/Publisher’s Note: The statements, opinions and data contained in all publications are solely those of the individual author(s) and contributor(s) and not of MDPI and/or the editor(s). MDPI and/or the editor(s) disclaim responsibility for any injury to people or property resulting from any ideas, methods, instructions or products referred to in the content. |
© 2024 by the authors. Licensee MDPI, Basel, Switzerland. This article is an open access article distributed under the terms and conditions of the Creative Commons Attribution (CC BY) license (https://creativecommons.org/licenses/by/4.0/).
Share and Cite
Ishizawa, K.; Tamahara, T.; Suzuki, S.; Hatayama, Y.; Li, B.; Abe, M.; Aoki, Y.; Arita, R.; Saito, N.; Ohsawa, M.; et al. Sequential Sampling of the Gastrointestinal Tract to Characterize the Entire Digestive Microbiome in Japanese Subjects. Microorganisms 2024, 12, 1324. https://doi.org/10.3390/microorganisms12071324
Ishizawa K, Tamahara T, Suzuki S, Hatayama Y, Li B, Abe M, Aoki Y, Arita R, Saito N, Ohsawa M, et al. Sequential Sampling of the Gastrointestinal Tract to Characterize the Entire Digestive Microbiome in Japanese Subjects. Microorganisms. 2024; 12(7):1324. https://doi.org/10.3390/microorganisms12071324
Chicago/Turabian StyleIshizawa, Kota, Toru Tamahara, Suguo Suzuki, Yutaka Hatayama, Bin Li, Michiaki Abe, Yuichi Aoki, Ryutaro Arita, Natsumi Saito, Minoru Ohsawa, and et al. 2024. "Sequential Sampling of the Gastrointestinal Tract to Characterize the Entire Digestive Microbiome in Japanese Subjects" Microorganisms 12, no. 7: 1324. https://doi.org/10.3390/microorganisms12071324
APA StyleIshizawa, K., Tamahara, T., Suzuki, S., Hatayama, Y., Li, B., Abe, M., Aoki, Y., Arita, R., Saito, N., Ohsawa, M., Kaneko, S., Ono, R., Takayama, S., Shimada, M., Kumada, K., Koike, T., Masamune, A., Onodera, K., Ishii, T., ... Kanno, T. (2024). Sequential Sampling of the Gastrointestinal Tract to Characterize the Entire Digestive Microbiome in Japanese Subjects. Microorganisms, 12(7), 1324. https://doi.org/10.3390/microorganisms12071324

