Hepatitis B Virus Prevalence among HIV-Uninfected People Living in Rural and Peri-Urban Areas in Botswana
Abstract
1. Introduction
2. Materials and Methods
2.1. Study Population
2.2. Ethical Approval
2.3. Serological Assays
2.3.1. Validation of the HBsAg Dilution Protocol
2.3.2. HBsAg Screening
2.4. Amplification and Sequencing
2.5. Data Analyses
2.6. Statistical Analysis
3. Results
3.1. HBV Prevalence (HBsAg Positivity)
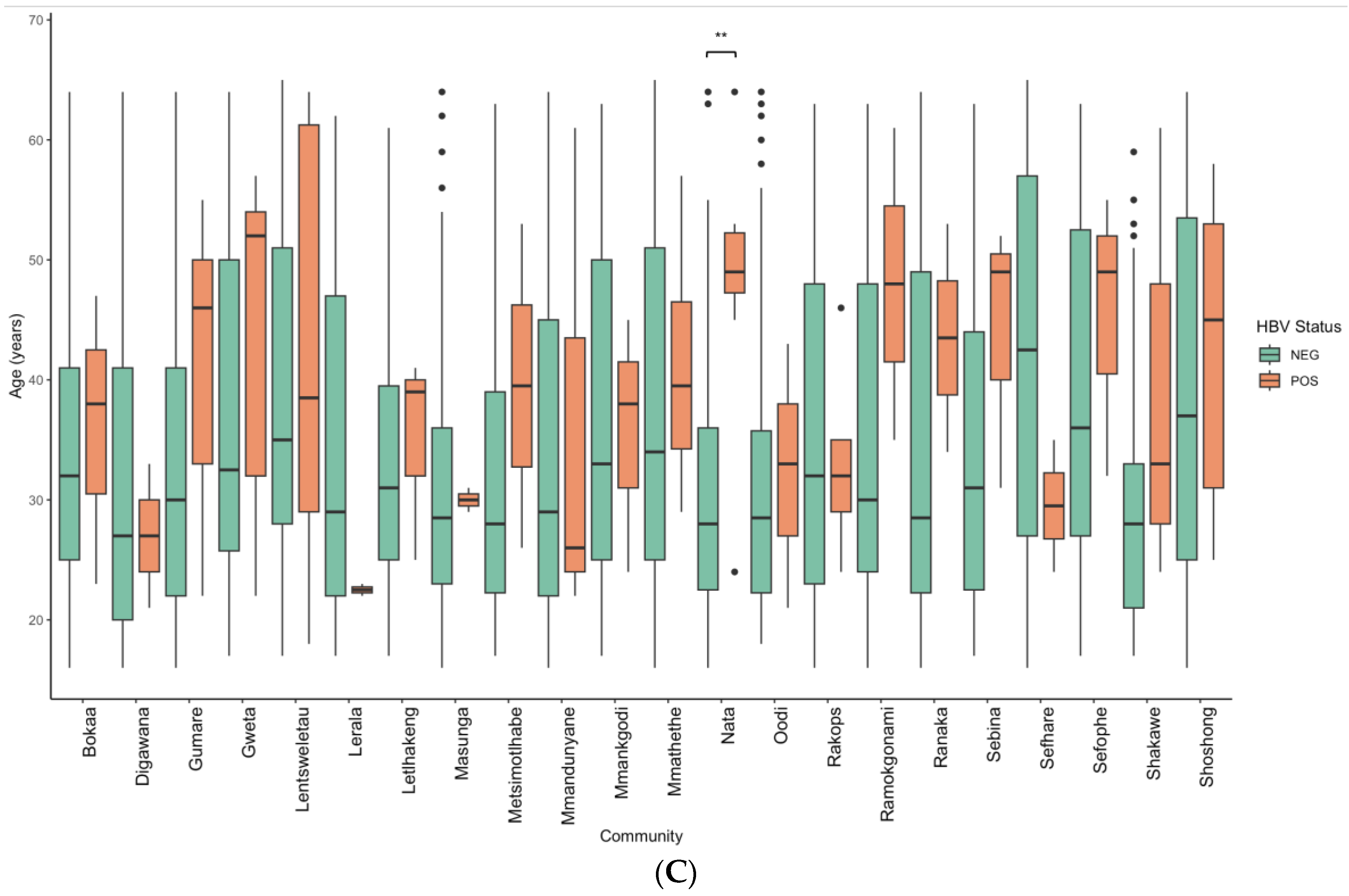
3.2. Age Distribution amongst the Communities
3.3. Prevalence by Vaccination Status
3.4. HBV Genetic Diversity
4. Discussion
5. Conclusions
Supplementary Materials
Author Contributions
Funding
Data Availability Statement
Acknowledgments
Conflicts of Interest
References
- WHO. Global Hepatitis Report 2024: Action for Access in Low- and Middle-Income Countries; World Health Organization: Geneva, Switzerland, 2024. [Google Scholar]
- Anderson, M.; Gaseitsiwe, S.; Moyo, S.; Thami, K.P.; Mohammed, T.; Setlhare, D.; Sebunya, T.K.; Powell, E.A.; Makhema, J.; Blackard, J.T.; et al. Slow CD4(+) T-Cell Recovery in Human Immunodeficiency Virus/Hepatitis B Virus-Coinfected Patients Initiating Truvada-Based Combination Antiretroviral Therapy in Botswana. Open Forum Infect. Dis. 2016, 3, ofw140. [Google Scholar] [CrossRef] [PubMed]
- Mbangiwa, T.; Kasvosve, I.; Anderson, M.; Thami, P.K.; Choga, W.T.; Needleman, A.; Phinius, B.B.; Moyo, S.; Leteane, M.; Leidner, J.; et al. Chronic and Occult Hepatitis B Virus Infection in Pregnant Women in Botswana. Genes 2018, 9, 259. [Google Scholar] [CrossRef] [PubMed]
- Phinius, B.B.; Anderson, M.; Gobe, I.; Mokomane, M.; Choga, W.T.; Mutenga, S.R.; Mpebe, G.; Pretorius-Holme, M.; Musonda, R.; Gaolathe, T.; et al. High Prevalence of Hepatitis B Virus Infection Among People With HIV in Rural and Periurban Communities in Botswana. Open Forum Infect. Dis. 2023, 10, ofac707. [Google Scholar] [CrossRef] [PubMed]
- Wester, C.W.; Bussmann, H.; Moyo, S.; Avalos, A.; Gaolathe, T.; Ndwapi, N.; Essex, M.; MacGregor, R.R.; Marlink, R.G. Serological evidence of HIV-associated infection among HIV-1-infected adults in Botswana. Clin. Infect. Dis. 2006, 43, 1612–1615. [Google Scholar] [CrossRef] [PubMed]
- Patel, P.; Davis, S.; Tolle, M.; Mabikwa, V.; Anabwani, G. Prevalence of hepatitis B and hepatitis C coinfections in an adult HIV centre population in Gaborone, Botswana. Am. J. Trop. Med. Hyg. 2011, 85, 390–394. [Google Scholar] [CrossRef] [PubMed]
- Greer, A.E.; Ou, S.S.; Wilson, E.; Piwowar-Manning, E.; Forman, M.S.; McCauley, M.; Gamble, T.; Ruangyuttikarn, C.; Hosseinipour, M.C.; Kumarasamy, N.; et al. Comparison of Hepatitis B Virus Infection in HIV-Infected and HIV-Uninfected Participants Enrolled in a Multinational Clinical Trial: HPTN 052. J. Acquir. Immune Defic. Syndr. 2017, 76, 388–393. [Google Scholar] [CrossRef] [PubMed]
- Choga, W.T.; Anderson, M.; Zumbika, E.; Moyo, S.; Mbangiwa, T.; Phinius, B.B.; Melamu, P.; Kayembe, M.K.; Kasvosve, I.; Sebunya, T.K.; et al. Molecular characterization of hepatitis B virus in blood donors in Botswana. Virus Genes 2019, 55, 33–42. [Google Scholar] [CrossRef]
- Adewumi, M.O.; Donbraye, E.; Sule, W.F.; Olarinde, O. HBV Infection Among HIV-Infected Cohort and HIV-Negative Hospital Attendees in South Western Nigeria. Afr. J. Infect. Dis. 2015, 9, 14–17. [Google Scholar] [CrossRef] [PubMed]
- Samsunder, N.; Ngcapu, S.; Lewis, L.; Baxter, C.; Cawood, C.; Khanyile, D.; Kharsany, A.B.M. Seroprevalence of hepatitis B virus: Findings from a population-based household survey in KwaZulu-Natal, South Africa. Int. J. Infect. Dis. 2019, 85, 150–157. [Google Scholar] [CrossRef]
- Kramvis, A. Genotypes and genetic variability of hepatitis B virus. Intervirology 2014, 57, 141–150. [Google Scholar] [CrossRef]
- Kramvis, A.; Kew, M.; Francois, G. Hepatitis B virus genotypes. Vaccine 2005, 23, 2409–2423. [Google Scholar] [CrossRef] [PubMed]
- Norder, H.; Courouce, A.M.; Coursaget, P.; Echevarria, J.M.; Lee, S.D.; Mushahwar, I.K.; Robertson, B.H.; Locarnini, S.; Magnius, L.O. Genetic diversity of hepatitis B virus strains derived worldwide: Genotypes, subgenotypes, and HBsAg subtypes. Intervirology 2004, 47, 289–309. [Google Scholar] [CrossRef] [PubMed]
- Kramvis, A. Molecular characteristics and clinical relevance of African genotypes and subgenotypes of hepatitis B virus. S. Afr. Med. J. 2018, 108, 17–21. [Google Scholar] [PubMed]
- Kramvis, A. The clinical implications of hepatitis B virus genotypes and HBeAg in pediatrics. Rev. Med. Virol. 2016, 26, 285–303. [Google Scholar] [CrossRef] [PubMed]
- Anderson, M.; Gaseitsiwe, S.; Moyo, S.; Wessels, M.J.; Mohammed, T.; Sebunya, T.K.; Powell, E.A.; Makhema, J.; Blackard, J.T.; Marlink, R.; et al. Molecular characterisation of hepatitis B virus in HIV-1 subtype C infected patients in Botswana. BMC Infect. Dis. 2015, 15, 335. [Google Scholar] [CrossRef] [PubMed]
- Sonderup, M.W.; Spearman, C.W. Global Disparities in Hepatitis B Elimination-A Focus on Africa. Viruses 2022, 14, 82. [Google Scholar] [CrossRef] [PubMed]
- WHO. Global Health Sector Strategy on Viral Hepatitis 2016–2021. Towards Ending Viral Hepatitis 2016. Available online: https://iris.who.int/bitstream/handle/10665/246177/WHO-HIV-2016.06-eng.pdf?sequence=1 (accessed on 15 April 2024).
- Makhema, J.; Wirth, K.E.; Pretorius Holme, M.; Gaolathe, T.; Mmalane, M.; Kadima, E.; Chakalisa, U.; Bennett, K.; Leidner, J.; Manyake, K.; et al. Universal Testing, Expanded Treatment, and Incidence of HIV Infection in Botswana. N. Engl. J. Med. 2019, 381, 230–242. [Google Scholar] [CrossRef] [PubMed]
- Gaolathe, T.; Wirth, K.E.; Holme, M.P.; Makhema, J.; Moyo, S.; Chakalisa, U.; Yankinda, E.K.; Lei, Q.; Mmalane, M.; Novitsky, V.; et al. Botswana’s progress toward achieving the 2020 UNAIDS 90-90-90 antiretroviral therapy and virological suppression goals: A population-based survey. Lancet HIV 2016, 3, e221–e230. [Google Scholar] [CrossRef] [PubMed]
- Anderson, M.; Choga, W.T.; Moyo, S.; Bell, T.G.; Mbangiwa, T.; Phinius, B.B.; Bhebhe, L.; Sebunya, T.K.; Lockman, S.; Marlink, R.; et al. Molecular Characterization of Near Full-Length Genomes of Hepatitis B Virus Isolated from Predominantly HIV Infected Individuals in Botswana. Genes 2018, 9, 453. [Google Scholar] [CrossRef]
- Ma, Y.; Ding, Y.; Juan, F.; Dou, X.G. Genotyping the hepatitis B virus with a fragment of the HBV DNA polymerase gene in Shenyang, China. Virol. J. 2011, 8, 315. [Google Scholar] [CrossRef]
- Larsson, A. AliView: A fast and lightweight alignment viewer and editor for large datasets. Bioinformatics 2014, 30, 3276–3278. [Google Scholar] [CrossRef] [PubMed]
- Nguyen, L.T.; Schmidt, H.A.; von Haeseler, A.; Minh, B.Q. IQ-TREE: A fast and effective stochastic algorithm for estimating maximum-likelihood phylogenies. Mol. Biol. Evol. 2015, 32, 268–274. [Google Scholar] [CrossRef] [PubMed]
- Svicher, V.; Cento, V.; Bernassola, M.; Neumann-Fraune, M.; Van Hemert, F.; Chen, M.; Salpini, R.; Liu, C.; Longo, R.; Visca, M.; et al. Novel HBsAg markers tightly correlate with occult HBV infection and strongly affect HBsAg detection. Antivir. Res. 2012, 93, 86–93. [Google Scholar] [CrossRef] [PubMed]
- Mello, F.C.; Martel, N.; Gomes, S.A.; Araujo, N.M. Expression of Hepatitis B Virus Surface Antigen Containing Y100C Variant Frequently Detected in Occult HBV Infection. Hepat. Res. Treat. 2011, 2011, 695859. [Google Scholar] [CrossRef]
- Biswas, S.; Candotti, D.; Allain, J.P. Specific amino acid substitutions in the S protein prevent its excretion in vitro and may contribute to occult hepatitis B virus infection. J. Virol. 2013, 87, 7882–7892. [Google Scholar] [CrossRef] [PubMed]
- Wang, J.; Liu, Y.; Liao, H.; Liu, L.; Chen, R.; Si, L.; Luo, D.; Huang, B.; Li, L.; Jiang, J.; et al. The sK122R mutation of hepatitis B virus (HBV) is associated with occult HBV infection: Analysis of a large cohort of Chinese patients. J. Clin. Virol. 2020, 130, 104564. [Google Scholar] [CrossRef] [PubMed]
- Wang, H.; Wang, M.; Huang, J.; Xu, R.; Liao, Q.; Shan, Z.; Zheng, Y.; Rong, X.; Tang, X.; Li, T.; et al. Novel hepatitis B virus surface antigen mutations associated with occult genotype B hepatitis B virus infection affect HBsAg detection. J. Viral. Hepat. 2020, 27, 915–921. [Google Scholar] [CrossRef] [PubMed]
- Martin, C.M.; Welge, J.A.; Rouster, S.D.; Shata, M.T.; Sherman, K.E.; Blackard, J.T. Mutations associated with occult hepatitis B virus infection result in decreased surface antigen expression in vitro. J. Viral. Hepat. 2012, 19, 716–723. [Google Scholar] [CrossRef]
- Luongo, M.; Critelli, R.; Grottola, A.; Gitto, S.; Bernabucci, V.; Bevini, M.; Vecchi, C.; Montagnani, G.; Villa, E. Acute hepatitis B caused by a vaccine-escape HBV strain in vaccinated subject: Sequence analysis and therapeutic strategy. J. Clin. Virol. 2015, 62, 89–91. [Google Scholar] [CrossRef]
- Ijaz, S.; Ferns, R.B.; Tedder, R.S. A ‘first loop’ linear epitope accessible on native hepatitis B surface antigen that persists in the face of ‘second loop’ immune escape. J. Gen. Virol. 2003, 84 Pt 2, 269–275. [Google Scholar] [CrossRef]
- Osasona, O.G.; Oguntoye, O.O.; Arowosaye, A.O.; Abdulkareem, L.O.; Adewumi, M.O.; Happi, C.; Folarin, O. Patterns of hepatitis b virus immune escape and pol/rt mutations across clinical cohorts of patients with genotypes a, e and occult hepatitis b infection in Nigeria: A multi-centre study. Virulence 2023, 14, 2218076. [Google Scholar] [CrossRef] [PubMed]
- Mirabelli, C.; Surdo, M.; Van Hemert, F.; Lian, Z.; Salpini, R.; Cento, V.; Cortese, M.F.; Aragri, M.; Pollicita, M.; Alteri, C.; et al. Specific mutations in the C-terminus domain of HBV surface antigen significantly correlate with low level of serum HBV-DNA in patients with chronic HBV infection. J. Infect. 2015, 70, 288–298. [Google Scholar] [CrossRef] [PubMed]
- Zhou, H.; Gewaily, D.; Ahn, S.H.; Preskill, C.; Wang, Y.; Zong, L.; Zhang, J.; Han, K.H.; Wands, J.; Li, J.; et al. Sequence analysis and functional characterization of full-length hepatitis B virus genomes from Korean cirrhotic patients with or without liver cancer. Virus Res. 2017, 235, 86–95. [Google Scholar] [CrossRef] [PubMed]
- Thi Cam Huong, N.; Trung, N.Q.; Luong, B.A.; Tram, D.B.; Vu, H.A.; Bui, H.H.; Pham Thi Le, H. Mutations in the HBV PreS/S gene related to hepatocellular carcinoma in Vietnamese chronic HBV-infected patients. PLoS ONE 2022, 17, e0266134. [Google Scholar] [CrossRef] [PubMed]
- Kalinina, T.; Riu, A.; Fischer, L.; Will, H.; Sterneck, M. A dominant hepatitis B virus population defective in virus secretion because of several S-gene mutations from a patient with fulminant hepatitis. Hepatology 2001, 34, 385–394. [Google Scholar] [CrossRef] [PubMed]
- Weinberger, K.M.; Bauer, T.; Bohm, S.; Jilg, W. High genetic variability of the group-specific a-determinant of hepatitis B virus surface antigen (HBsAg) and the corresponding fragment of the viral polymerase in chronic virus carriers lacking detectable HBsAg in serum. J. Gen. Virol. 2000, 81 Pt 5, 1165–1174. [Google Scholar] [CrossRef]
- Zheng, X.; Weinberger, K.M.; Gehrke, R.; Isogawa, M.; Hilken, G.; Kemper, T.; Xu, Y.; Yang, D.; Jilg, W.; Roggendorf, M.; et al. Mutant hepatitis B virus surface antigens (HBsAg) are immunogenic but may have a changed specificity. Virology 2004, 329, 454–464. [Google Scholar] [CrossRef]
- Coppola, N.; Onorato, L.; Minichini, C.; Di Caprio, G.; Starace, M.; Sagnelli, C.; Sagnelli, E. Clinical significance of hepatitis B surface antigen mutants. World J. Hepatol. 2015, 7, 2729–2739. [Google Scholar] [CrossRef] [PubMed]
- Joseph Davey, D.; Hsiao, N.Y.; Wendy Spearman, C.; Sonderup, M.; Hu, N.C.; Mashele, N.; Mvududu, R.; Myer, L. Low prevalence of hepatitis B virus infection in HIV-uninfected pregnant women in Cape Town, South Africa: Implications for oral pre-exposure prophylaxis roll out. BMC Infect. Dis. 2022, 22, 719. [Google Scholar] [CrossRef]
- Matthews, P.C.; Carlson, J.M.; Beloukas, A.; Malik, A.; Jooste, P.; Ogwu, A.; Shapiro, R.; Riddell, L.; Chen, F.; Luzzi, G.; et al. HLA-A is a Predictor of Hepatitis B e Antigen Status in HIV-Positive African Adults. J. Infect. Dis. 2016, 213, 1248–1252. [Google Scholar] [CrossRef]
- Amponsah-Dacosta, E.; Lebelo, R.L.; Rakgole, J.N.; Burnett, R.J.; Selabe, S.G.; Mphahlele, M.J. Evidence for a change in the epidemiology of hepatitis B virus infection after nearly two decades of universal hepatitis B vaccination in South Africa. J. Med. Virol. 2014, 86, 918–924. [Google Scholar] [CrossRef] [PubMed]
- Msomi, N.; Naidoo, K.; Yende-Zuma, N.; Padayatchi, N.; Govender, K.; Singh, J.A.; Abdool-Karim, S.; Abdool-Karim, Q.; Mlisana, K. High incidence and persistence of hepatitis B virus infection in individuals receiving HIV care in KwaZulu-Natal, South Africa. BMC Infect. Dis. 2020, 20, 847. [Google Scholar] [CrossRef] [PubMed]
- Phinius, B.B.; Anderson, M.; Bokete, R.; Mbangiwa, T.; Choga, W.T.; Baruti, K.; Makhema, J.; Musonda, R.; Blackard, J.T.; Essex, M.; et al. Incidence of hepatitis B virus infection among human immunodeficiency virus-infected treatment naive adults in Botswana. Medicine 2020, 99, e19341. [Google Scholar] [CrossRef] [PubMed]
- Yuen, M.F.; Yuan, H.J.; Wong, D.K.; Yuen, J.C.; Wong, W.M.; Chan, A.O.; Wong, B.C.; Lai, K.C.; Lai, C.L. Prognostic determinants for chronic hepatitis B in Asians: Therapeutic implications. Gut 2005, 54, 1610–1614. [Google Scholar] [CrossRef] [PubMed]
- Brown, R.; Goulder, P.; Matthews, P.C. Sexual Dimorphism in Chronic Hepatitis B Virus (HBV) Infection: Evidence to Inform Elimination Efforts. Wellcome Open Res. 2022, 7, 32. [Google Scholar] [CrossRef] [PubMed]
- King, R.E.; Kimotho, J.; Macharia, R.; Ndung’u, F.N.; Nzou, S.M.; Irekwa, R.M. Identification and Characterization of Hepatitis B Virus Immune Escape Mutants in Kenya. Am. J. Mol. Biol. 2023, 13, 1–17. [Google Scholar] [CrossRef]
- Mathew, A.; Ismael, N.; Meeds, H.; Vubil, A.; Zicai, A.F.; Mabunda, N.; Blackard, J.T. Hepatitis B virus genotypes and drug resistance mutations circulating in blood donors in Beira, Mozambique. PLoS ONE 2023, 18, e0281855. [Google Scholar] [CrossRef] [PubMed]
- Ismail, A.M.; Samuel, P.; Eapen, C.E.; Kannangai, R.; Abraham, P. Antiviral resistance mutations and genotype-associated amino acid substitutions in treatment-naive hepatitis B virus-infected individuals from the Indian subcontinent. Intervirology 2012, 55, 36–44. [Google Scholar] [CrossRef] [PubMed]
- Koyaweda, G.W.; Ongus, J.R.; Machuka, E.; Juma, J.; Macharia, R.; Komas, N.P.; Pelle, R. Detection of circulating hepatitis B virus immune escape and polymerase mutants among HBV-positive patients attending Institut Pasteur de Bangui, Central African Republic. Int. J. Infect. Dis. 2020, 90, 138–144. [Google Scholar] [CrossRef]
- Pacheco, S.R.; Dos Santos, M.; Stocker, A.; Zarife, M.A.S.; Schinoni, M.I.; Parana, R.; Dos Reis, M.G.; Silva, L.K. Genotyping of HBV and tracking of resistance mutations in treatment-naive patients with chronic hepatitis B. Infect. Drug Resist. 2017, 10, 201–207. [Google Scholar] [CrossRef]
- Mahmood, M.; Jameel, S.; Rahman, Z.U.; Anwar, M.A. Molecular Analysis of Hepatitis B Virus Reverse Transcriptase Domain for Mutations Associated with Viral Resistance in Pakistani Patients. Viral Hepat. J. 2021, 27, 153–158. [Google Scholar] [CrossRef]
- Singla, B.; Bhattacharyya, R.; Chakraborti, A.; Sharma, B.K.; Kapil, S.; Chawla, Y.K.; Arora, S.K.; Das, A.; Dhiman, R.K.; Duseja, A. Response to potent anti-HBV agents in chronic hepatitis B and combined effect of HBV reverse transcriptase mutations. Gene 2015, 567, 22–30. [Google Scholar] [CrossRef] [PubMed]
- Gohar, M.; Rehman, I.U.; Ullah, A.; Khan, M.A.; Yasmin, H.; Ahmad, J.; Butt, S.; Ahmad, A. Phylogenetic Analysis and Emerging Drug Resistance against Different Nucleoside Analogues in Hepatitis B Virus Positive Patients. Microorganisms 2023, 11, 2622. [Google Scholar] [CrossRef] [PubMed]
- Tan, J.; Degertekin, B.; Wong, S.N.; Husain, M.; Oberhelman, K.; Lok, A.S. Tenofovir monotherapy is effective in hepatitis B patients with antiviral treatment failure to adefovir in the absence of adefovir-resistant mutations. J. Hepatol. 2008, 48, 391–398. [Google Scholar] [CrossRef] [PubMed]
- Phinius, B.B.; Anderson, M.; Gobe, I.; Mokomane, M.; Choga, W.T.; Phakedi, B.; Ratsoma, T.; Mpebe, G.; Makhema, J.; Shapiro, R.; et al. High Prevalence of Hepatitis B Virus Drug Resistance Mutations to Lamivudine among People with HIV/HBV Coinfection in Rural and Peri-Urban Communities in Botswana. Viruses 2024, 16, 592. [Google Scholar] [CrossRef] [PubMed]
- Bubonja-Sonje, M.; Peruc, D.; Abram, M.; Mohar-Vitezic, B. Prevalence of occult hepatitis B virus infection and characterisation of hepatitis B surface antigen mutants among adults in western Croatia. Ann. Hepatol. 2024, 29, 101156. [Google Scholar] [CrossRef] [PubMed]
- Oluyinka, O.O.; Tong, H.V.; Bui Tien, S.; Fagbami, A.H.; Adekanle, O.; Ojurongbe, O.; Bock, C.T.; Kremsner, P.G.; Velavan, T.P. Occult Hepatitis B Virus Infection in Nigerian Blood Donors and Hepatitis B Virus Transmission Risks. PLoS ONE 2015, 10, e0131912. [Google Scholar] [CrossRef] [PubMed]
- Wang, L.; Liu, H.; Ning, X.; Gao, F. Sequence analysis of the S gene region in HBV DNA from patients positive for both HBsAg and HBsAb tests. Hepatol. Res. 2010, 40, 1212–1218. [Google Scholar] [CrossRef] [PubMed]
- Logoida, M.; Kristian, P.; Schreiberova, A.; Lenartova, P.D.; Bednarova, V.; Hatalova, E.; Hockickova, I.; Drazilova, S.; Jarcuska, P.; Janicko, M.; et al. Comparison of Two Diagnostic Methods for the Detection of Hepatitis B Virus Genotypes in the Slovak Republic. Pathogens 2021, 11, 20. [Google Scholar] [CrossRef]
- Hosseini, S.Y.; Sanaei, N.; Fattahi, M.R.; Malek-Hosseini, S.A.; Sarvari, J. Association of HBsAg mutation patterns with hepatitis B infection outcome: Asymptomatic carriers versus HCC/cirrhotic patients. Ann. Hepatol. 2019, 18, 640–645. [Google Scholar] [CrossRef] [PubMed]
- Kuhns, M.C.; Holzmayer, V.; Anderson, M.; McNamara, A.L.; Sauleda, S.; Mbanya, D.; Duong, P.T.; Dung, N.T.T.; Cloherty, G.A. Molecular and Serological Characterization of Hepatitis B Virus (HBV)-Positive Samples with Very Low or Undetectable Levels of HBV Surface Antigen. Viruses 2021, 13, 2053. [Google Scholar] [CrossRef] [PubMed]
- Malve, B.; Eschlimann, M.; Galgey, S.; Fenaux, H.; Zoulim, F.; Goehringer, F.; Rabaud, C.; May, T.; Jeulin, H.; Schvoerer, E. Impact of deletions and mutations in Hepatitis B virus envelope proteins on serological profile and clinical evolution. Virus Res. 2017, 238, 141–147. [Google Scholar] [CrossRef] [PubMed]
- Ijaz, S.; Szypulska, R.; Andrews, N.; Tedder, R.S. Investigating the impact of hepatitis B virus surface gene polymorphism on antigenicity using ex vivo phenotyping. J. Gen. Virol. 2012, 93 Pt 11, 2473–2479. [Google Scholar] [CrossRef] [PubMed]
- Enriquez-Navarro, K.; Maldonado-Rodriguez, A.; Rojas-Montes, O.; Torres-Ibarra, R.; Bucio-Ortiz, L.; De la Cruz, M.A.; Torres-Flores, J.; Xoconostle-Cazares, B.; Lira, R. Identification of mutations in the S gene of hepatitis B virus in HIV positive Mexican patients with occult hepatitis B virus infection. Ann. Hepatol. 2020, 19, 507–515. [Google Scholar] [CrossRef] [PubMed]
- Choga, W.T.; Anderson, M.; Zumbika, E.; Phinius, B.B.; Mbangiwa, T.; Bhebhe, L.N.; Baruti, K.; Kimathi, P.O.; Seatla, K.K.; Musonda, R.M.; et al. In Silico Prediction of Human Leukocytes Antigen (HLA) Class II Binding Hepatitis B Virus (HBV) Peptides in Botswana. Viruses 2020, 12, 731. [Google Scholar] [CrossRef] [PubMed]
- Panigrahi, R.; Biswas, A.; De, B.K.; Chakrabarti, S.; Chakravarty, R. Characterization of antiviral resistance mutations among the Eastern Indian Hepatitis B virus infected population. Virol. J. 2013, 10, 56. [Google Scholar] [CrossRef] [PubMed]
- Makondo, E.; Bell, T.G.; Kramvis, A. Genotyping and molecular characterization of hepatitis B virus from human immunodeficiency virus-infected individuals in southern Africa. PLoS ONE 2012, 7, e46345. [Google Scholar] [CrossRef]
- Quiros-Roldan, E.; Calabresi, A.; Lapadula, G.; Tirelli, V.; Costarelli, S.; Cologni, G.; Zaltron, S.; Puoti, M.; Carosi, G.; Torti, C. Evidence of long-term suppression of hepatitis B virus DNA by tenofovir as rescue treatment in patients coinfected by HIV. Antivir. Ther. 2008, 13, 341–348. [Google Scholar] [CrossRef]






| Village | Total Number of Participants | Tested (n = 2135) |
|---|---|---|
| Metsimotlhabe | 394 | 104 |
| Molapowabojang | 344 | 0 |
| Oodi | 377 | 101 |
| Digawana | 189 | 77 |
| Bokaa | 366 | 81 |
| Otse | 377 | 0 |
| Letlhakeng | 411 | 94 |
| Gumare | 399 | 103 |
| Rakops | 362 | 90 |
| Mmankgodi | 349 | 86 |
| Lentsweletau | 308 | 105 |
| Gweta | 356 | 89 |
| Shoshong | 329 | 68 |
| Tati Siding | 341 | 87 |
| Shakawe | 379 | 104 |
| Ranaka | 135 | 68 |
| Sebina | 190 | 42 |
| Mmadunyane | 222 | 56 |
| Masunga | 335 | 80 |
| Nata | 337 | 87 |
| Sefhare | 275 | 74 |
| Mmathethe | 277 | 74 |
| Ramokgonami | 244 | 67 |
| Mmadinare | 301 | 82 |
| Mathwangwane | 254 | 42 |
| Sefophe | 296 | 63 |
| Lerala | 317 | 73 |
| Nkange | 114 | 35 |
| Tsetsebjwe | 229 | 62 |
| Maunatlala | 167 | 41 |
| Characteristic | HBV+ (n = 86) | HBV− (n = 2049) | Univariate Logistic Regression | Multivariate Logistic Regression | ||
|---|---|---|---|---|---|---|
| OR (95% CI) | p-Value | aOR (95% CI) | p-Value | |||
| Sex, n (%) | ||||||
| Female | 49 (57.0) | 1311 (64.0) | Ref | Ref | ||
| Male | 37 (43.0) | 739 (36.0) | 1.34 (0.73–2.46) | 0.34 | 1.41 (0.77–2.58) | 0.27 |
| Age category, n (%) | ||||||
| <35 | 38 (44.2) | 1242 (60.6) | Ref | Ref | ||
| ≥35 | 48 (55.8) | 807 (39.4) | 1.94 (1.32–2.86) | 0.001 | 1.40 (1.76–2.58) | 0.28 |
| Marital status, n (%) | ||||||
| Single or never married | 58 (67.4) | 1557 (76.0) | Ref | Ref | ||
| Married | 26 (30.2) | 419 (20.5) | 1.67 (1.15–2.41) | 0.007 | 1.15 (0.68–1.92) | 0.61 |
| Widowed/Divorced/separated | 2 (2.3) | 73 (3.5) | 0.74 (0.9–2.87) | 0.66 | 0.43 (0.10–1.82) | 0.25 |
| Region, n (%) | ||||||
| South | 30 (34.9) | 760 (37.1) | Ref | |||
| Central | 23 (26.7) | 639 (31.2) | 0.91 (0.51–1.62) | 0.75 | ||
| North | 33 (38.4) | 650 (31.7) | 1.29 (0.74–2.24) | 0.38 | ||
| Number of lifetime sexual partners (n = 1952) | ||||||
| <10 | 68 (82.9) | 1608 (86.0) | Ref | |||
| ≥10 | 14 (17.1) | 262 (14.0) | 1.26 (0.64–2.48) | 0.50 | ||
| Education level, n (%) | ||||||
| Non-formal | 19 (22.1) | 216 (10.6) | Ref | Ref | ||
| Primary | 19 (22.1) | 335 (16.4) | 0.64 (0.29–1.42) | 0.28 | 0.64 (0.28–1.46) | 0.29 |
| Secondary | 37 (43.0) | 1133 (55.5) | 0.37 (0.17–0.81) | 0.012 | 0.45 (0.16–1.22) | 0.12 |
| Higher than senior secondary | 11 (12.8) | 359 (17.5) | 0.35 (0.14–0.88) | 0.025 | 0.41 (0.14–1.17) | 0.10 |
| Employment | ||||||
| Unemployed | 54 (62.8) | 1444 (70.5) | Ref | |||
| Employed | 32 (37.2) | 605 (29.5) | 1.41(0.88–2.31) | 0.17 | ||
| Circumcised (n = 775) | ||||||
| No | 29 (78.4) | 495 (67.1) | Ref | |||
| Yes | 8 (21.6) | 241 (32.7) | 0.57 (0.29–1.12) | 0.10 | ||
| Inconsistent condom use (n = 1632) | ||||||
| Yes | 48 (73.9) | 943 (60.2) | Ref | |||
| No | 17 (26.2) | 624 (39.8) | 0.54 (0.28–1.04) | 0.06 | ||
| Age at First Sex | ||||||
| <18 | 22 (31.9) | 487 (29.7) | Ref | |||
| ≥18 | 47 (68.1) | 1155 (70.34) | 0.90 (0.58–1.40) | 0.64 | ||
| Sample ID | Genotype | Substitution rt | Substitution S |
|---|---|---|---|
| MA1 | E | ||
| MA2 | A | rtS109P, rtM129L, rtW153R, rtV163I | sS193L, sS207N |
| MA3 | A | rtS109P, rtN122H, rtM129L, rtV163I | sA194V, sS207N |
| MA4 | D | rtL115V, rtF122L, rtQ130P, rtY135S, rtG210R | sT127P, sW201 * |
| MA5 | A | rtI103V, rtS109P, rtN122H, rtM129L, rtW153R, rtV163I | sA194V, sS207N |
| MA6 | A | rtS109P, rtN122H, rtM129L, rtV163I | sA194V, sS207N |
| MA7 | A | rtI103V, rtS109P, rtN122H, rtM129L, rtW153R, rtV163I | sA194V, sP203R, sS207N |
| MA8 | D | rtV103I, rtL115V, rtF122L, rtQ130P, rtY135S, rtS213T | sT127P, sS204R |
| MA9 | A | rtS105T, rtR110G, rtM129L, rtV163I | sS193L, sA194V, sI195T, sM197T, sS204N, Ss207N |
| MA10 | E | rtH100M, rtS109P | sI92C, sS140L |
| MA11 | E | rtL132M | sP188L |
| MA12 | A | rtS109P, rtN122H, rtN124H, rtM129L, rtN131D, rtV163I | sK122R, sA194V, sS207N |
| MA13 | D | rtL115V, rtF122L, rtQ130P, rtY135S, rtL164M, rtV214E | sY100S, sT127P, sE164G, sY206N |
| Mutation | Genotype | Clinical Significance |
|---|---|---|
| rtH100M | E | Not characterized |
| rtI103V | A | Not characterized |
| rtV103I | D | Not characterized |
| rtS105T | A | Not characterized |
| rtS109P | A, E | Not characterized |
| rtR110G | A | Not characterized |
| rtL115V | D | Not characterized |
| rtN122H | A | Not characterized |
| rtF122L | D | Not characterized |
| rtN124H | A | Not characterized |
| rtM129L | A | Not characterized |
| rtQ130P | D | Not characterized |
| rtN131D | A | Not characterized |
| rtL132M | E | Not characterized |
| rtY135S | D | Partly linked to drug resistance |
| rtW153R | A | Not characterized |
| rtV163I | A | Not characterized |
| rtL164M | D | Not characterized |
| rtS213T | D | Not characterized |
| rtG210R | D | Not characterized |
| rtV214E | D | Not characterized |
| sI92C | E | Not characterized |
| sY100S | D | Impair production and secretion of HBsAg, associated with OBI [25,26,27] |
| sK122R | A | Immune escape, Associated with OBI [28,29,30] |
| sT127P | D | Immune escape [31,32] |
| sS140L | E | Immune escape [33] |
| sE164G | D | Not characterized |
| sP188L | E | Not characterized |
| sS193L | A | Not characterized |
| sA194V | A | Not characterized |
| sI195T | A | Not characterized |
| sM197T | A | Correlate with low HBV viral load [34] |
| sW201 * | D | Reduces intracellular HBsAg [35] |
| sP203R | A | Associated with HCC [36] |
| sS204R | D | Reduces HBsAg secretion [37] |
| sS204N | A | Correlate with low HBV viral load [34] |
| sY206N | D | Not characterized |
| sS207N | A | Immune escape [38,39,40] |
Disclaimer/Publisher’s Note: The statements, opinions and data contained in all publications are solely those of the individual author(s) and contributor(s) and not of MDPI and/or the editor(s). MDPI and/or the editor(s) disclaim responsibility for any injury to people or property resulting from any ideas, methods, instructions or products referred to in the content. |
© 2024 by the authors. Licensee MDPI, Basel, Switzerland. This article is an open access article distributed under the terms and conditions of the Creative Commons Attribution (CC BY) license (https://creativecommons.org/licenses/by/4.0/).
Share and Cite
Anderson, M.; Mangogola, T.; Phinius, B.B.; Mpebe, G.; Aimakhu, C.O.; Choga, W.T.; Phakedi, B.; Bhebhe, L.N.; Ditshwanelo, D.; Baruti, K.; et al. Hepatitis B Virus Prevalence among HIV-Uninfected People Living in Rural and Peri-Urban Areas in Botswana. Microorganisms 2024, 12, 1207. https://doi.org/10.3390/microorganisms12061207
Anderson M, Mangogola T, Phinius BB, Mpebe G, Aimakhu CO, Choga WT, Phakedi B, Bhebhe LN, Ditshwanelo D, Baruti K, et al. Hepatitis B Virus Prevalence among HIV-Uninfected People Living in Rural and Peri-Urban Areas in Botswana. Microorganisms. 2024; 12(6):1207. https://doi.org/10.3390/microorganisms12061207
Chicago/Turabian StyleAnderson, Motswedi, Thabo Mangogola, Bonolo B. Phinius, Gorata Mpebe, Christopher O. Aimakhu, Wonderful T. Choga, Basetsana Phakedi, Lynnette N. Bhebhe, Doreen Ditshwanelo, Kabo Baruti, and et al. 2024. "Hepatitis B Virus Prevalence among HIV-Uninfected People Living in Rural and Peri-Urban Areas in Botswana" Microorganisms 12, no. 6: 1207. https://doi.org/10.3390/microorganisms12061207
APA StyleAnderson, M., Mangogola, T., Phinius, B. B., Mpebe, G., Aimakhu, C. O., Choga, W. T., Phakedi, B., Bhebhe, L. N., Ditshwanelo, D., Baruti, K., Mpofu-Dobo, L., Othusitse, L., Ratsoma, T., Gaolathe, T., Makhema, J., Shapiro, R., Lockman, S., Moyo, S., & Gaseitsiwe, S. (2024). Hepatitis B Virus Prevalence among HIV-Uninfected People Living in Rural and Peri-Urban Areas in Botswana. Microorganisms, 12(6), 1207. https://doi.org/10.3390/microorganisms12061207

