Novel Populations of Mycobacterium smegmatis Under Hypoxia and Starvation: Some Insights on Cell Viability and Morphological Changes
Abstract
1. Introduction
2. Materials and Methods
2.1. Bacterial Strain and Growth Conditions
2.2. Starvation Model of Dormancy
2.3. Hypoxic Model of Dormancy
2.4. Growth Measurements and Bacterial Viability Determinations
2.5. Flow Cytometry Analysis
2.6. Transmission Electron Microscopy
2.7. Scanning Electron Microscopy
2.8. RNA Isolation and cDNA Synthesis
2.9. Quantitative Real-Time PCR
2.10. Statistical Analyses
3. Results
3.1. Growth Measurements and Cell Viability of M. smegmatis
3.2. Multiparametric Analysis of Mycobacterial Growth Obtained by FCM
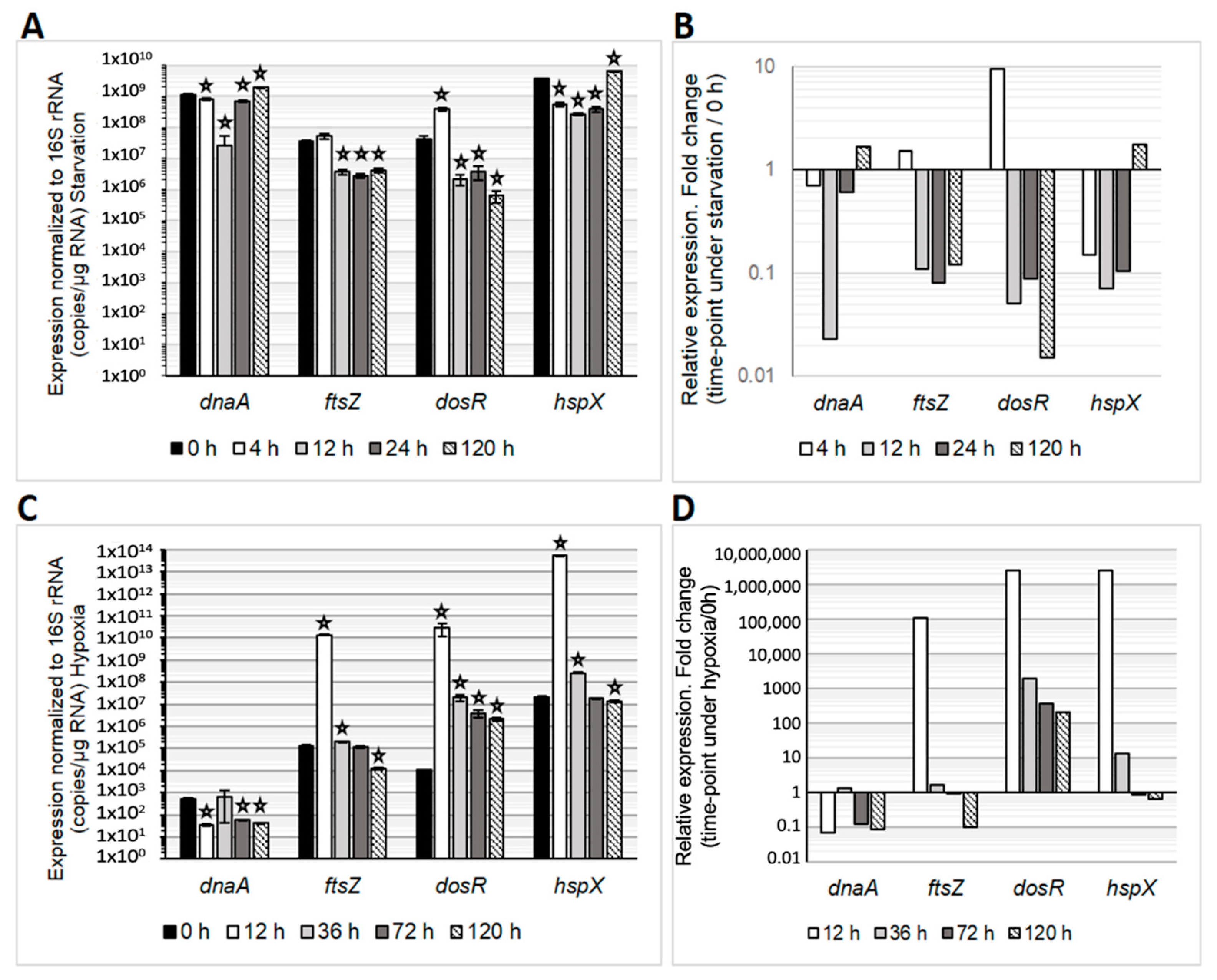
3.3. Gene Expression
3.4. Morphological Changes in Dormant M. smegmatis Examined by Electron Microscopy
4. Discussion
Supplementary Materials
Author Contributions
Funding
Data Availability Statement
Acknowledgments
Conflicts of Interest
References
- World Health Organization, (WHO). WHO, 2023: Global Tuberculosis Report; WHO: Geneva, Switzerland, 2023; Vol. t/malaria/; ISBN 9789240083851. [Google Scholar]
- Allocati, N.; Masulli, M.; Di Ilio, C.; De Laurenzi, V. Die for the Community: An Overview of Programmed Cell Death in Bacteria. Cell Death Dis. 2015, 6, e1609. [Google Scholar] [CrossRef] [PubMed]
- Manina, G.; McKinney, J.D. A Single-Cell Perspective on Non-Growing but Metabolically Active (NGMA) Bacteria. In Pathogenesis of Mycobacterium tuberculosis and Its Interaction with the Host Organism; Pieters, J., McKinney, J.D., Eds.; Springer: Berlin/Heidelberg, Germany, 2013; pp. 135–161. ISBN 978-3-642-40232-6. [Google Scholar]
- Wayne, L.G.; Hayes, L.G. An in Vitro Model for Sequential Study of Shiftdown of Mycobacterium Tuberculosis through Two Stages of Nonreplicating Persistence. Infect. Immun. 1996, 64, 2062–2069. [Google Scholar] [CrossRef] [PubMed]
- Bagramyan, K.; Kaprelyants, A.S.; Young, M.; Kell, D.B.; Telkov, M.V.; Mukamolova, G.V.; Shleeva, M.O. Formation and Resuscitation of ‘Non-Culturable’ Cells of Rhodococcus Rhodochrous and Mycobacterium Tuberculosis in Prolonged Stationary Phase. Microbiology 2002, 148, 1581–1591. [Google Scholar] [CrossRef]
- Betts, J.C.; Lukey, P.T.; Robb, L.C.; McAdam, R.A.; Duncan, K. Evaluation of a Nutrient Starvation Model of Mycobacterium Tuberculosis Persistence by Gene and Protein Expression Profiling. Mol. Microbiol. 2002, 43, 717–731. [Google Scholar] [CrossRef]
- Voskuil, M.I.I.; Visconti, K.C.C.; Schoolnik, G.K.K. Mycobacterium Tuberculosis Gene Expression during Adaptation to Stationary Phase and Low-Oxygen Dormancy. Tuberculosis 2004, 84, 218–227. [Google Scholar] [CrossRef]
- Adams, K.N.; Takaki, K.; Connolly, L.E.; Wiedenhoft, H.; Winglee, K.; Humbert, O.; Edelstein, P.H.; Cosma, C.L.; Ramakrishnan, L. Drug Tolerance in Replicating Mycobacteria Mediated by a Macrophage-Induced Efflux Mechanism. Cell 2011, 145, 39–53. [Google Scholar] [CrossRef]
- Keren, I.; Minami, S.; Rubin, E.; Lewis, K. Characterization and Transcriptome Analysis of Mycobacterium Tuberculosis Persisters. mBio 2011, 2, e00100-11. [Google Scholar] [CrossRef]
- Kapoor, N.; Pawar, S.; Sirakova, T.D.; Deb, C.; Warren, W.L.; Kolattukudy, P.E. Human Granuloma In Vitro Model, for TB Dormancy and Resuscitation. PLoS ONE 2013, 8, e53657. [Google Scholar] [CrossRef] [PubMed]
- Rodríguez, J.G.; Hernández, A.C.; Helguera-Repetto, C.; Aguilar Ayala, D.; Guadarrama-Medina, R.; Anzóla, J.M.; Bustos, J.R.; Zambrano, M.M.; González-y-Merchand, J.; García, M.J.; et al. Global Adaptation to a Lipid Environment Triggers the Dormancy-Related Phenotype of Mycobacterium Tuberculosis. mBio 2014, 5, e01125-14. [Google Scholar] [CrossRef]
- Ignatov, D.V.; Salina, E.G.; Fursov, M.V.; Skvortsov, T.A.; Azhikina, T.L.; Kaprelyants, A.S. Dormant Non-Culturable Mycobacterium Tuberculosis Retains Stable Low-Abundant MRNA. BMC Genom. 2015, 16, 954. [Google Scholar] [CrossRef]
- Aguilar-Ayala, D.A.; Cnockaert, M.; Vandamme, P.; Palomino, J.C.; Martin, A.; Gonzalez-Y-Merchand, J. Antimicrobial Activity against Mycobacterium Tuberculosis under in Vitro Lipid-Rich Dormancy Conditions. J. Med. Microbiol. 2018, 67, 282–285. [Google Scholar] [CrossRef] [PubMed]
- Vijay, S.; Hai, H.T.; Thu, D.D.A.; Johnson, E.; Pielach, A.; Phu, N.H.; Thwaites, G.E.; Thuong, N.T.T. Ultrastructural Analysis of Cell Envelope and Accumulation of Lipid Inclusions in Clinical Mycobacterium Tuberculosis Isolates from Sputum, Oxidative Stress, and Iron Deficiency. Front. Microbiol. 2017, 8, 2681. [Google Scholar] [CrossRef] [PubMed]
- Aguilar-Ayala, D.A.; Tilleman, L.; Van Nieuwerburgh, F.; Deforce, D.; Palomino, J.C.; Vandamme, P.; Gonzalez-Y-Merchand, J.A.; Martin, A. The Transcriptome of Mycobacterium Tuberculosis in a Lipid-Rich Dormancy Model through RNAseq Analysis. Sci. Rep. 2017, 7, 17665. [Google Scholar] [CrossRef] [PubMed]
- Gligonov, I.A.; Bagaeva, D.I.; Demina, G.R.; Vostroknutova, G.N.; Vorozhtsov, D.S.; Kaprelyants, A.S.; Savitsky, A.P.; Shleeva, M.O. The Accumulation of Methylated Porphyrins in Dormant Cells of Mycolicibacterium Smegmatis Is Accompanied by a Decrease in Membrane Fluidity and an Impede of the Functioning of the Respiratory Chain. Biochim. Biophys. Acta (BBA) Biomembr. 2024, 1866, 184270. [Google Scholar] [CrossRef]
- Zamakhaev, M.; Grigorov, A.; Bespyatykh, J.; Azhikina, T.; Goncharenko, A.; Shumkov, M. VapC Toxin Switches M. Smegmatis Cells into Dormancy through 23S RRNA Cleavage. Arch. Microbiol. 2023, 205, 28. [Google Scholar] [CrossRef]
- Markova, N.; Slavchev, G.; Michailova, L. Unique Biological Properties of Mycobacterium Tuberculosis L-Form Variants: Impact for Survival under Stress. Int. Microbiol. 2012, 15, 61–68. [Google Scholar] [CrossRef]
- Shleeva, M.O.; Kudykina, Y.K.; Vostroknutova, G.N.; Suzina, N.E.; Mulyukin, A.L.; Kaprelyants, A.S. Dormant Ovoid Cells of Mycobacterium Tuberculosis Are Formed in Response to Gradual External Acidification. Tuberculosis 2011, 91, 146–154. [Google Scholar] [CrossRef]
- Mouton, J.M.; Helaine, S.; Holden, D.W.; Sampson, S.L. Elucidating Population-Wide Mycobacterial Replication Dynamics at the Single-Cell Level. Microbiology 2016, 162, 966–978. [Google Scholar] [CrossRef]
- Orman, M.A.; Brynildsen, M.P. Dormancy Is Not Necessary or Sufficient for Bacterial Persistence. Antimicrob. Agents Chemother. 2013, 57, 3230–3239. [Google Scholar] [CrossRef]
- Dartois, V.; Saito, K.; Warrier, T.; Nathan, C. New Evidence for the Complexity of the Population Structure of Mycobacterium Tuberculosis Increases the Diagnostic and Biologic Challenges. Am. J. Respir. Crit. Care Med. 2016, 194, 1448–1451. [Google Scholar] [CrossRef]
- Gonzalez-y-Merchand, J.A.; Zaragoza-Contreras, R.; Guadarrama-Medina, R.; Helguera-Repetto, A.C.; Rivera-Gutierrez, S.; Cerna-Cortes, J.F.; Santos-Argumedo, L.; Cox, R.A. Evaluation of the Cell Growth of Mycobacteria Using Mycobacterium Smegmatis Mc2 155 as a Representative Species. J. Microbiol. 2012, 50, 419–425. [Google Scholar] [CrossRef] [PubMed]
- Dick, T. Oxygen Depletion Induced Dormancy in Mycobacterium Smegmatis. FEMS Microbiol. Lett. 1998, 163, 159–164. [Google Scholar] [CrossRef] [PubMed]
- Soto-Ramirez, M.D.; Aguilar-Ayala, D.A.; Garcia-Morales, L.; Rodriguez-Peredo, S.M.; Badillo-Lopez, C.; Rios-Muñiz, D.E.; Meza-Segura, M.A.; Rivera-Morales, G.Y.; Leon-Solis, L.; Cerna-Cortes, J.F.; et al. Cholesterol Plays a Larger Role during Mycobacterium Tuberculosis in Vitro Dormancy and Reactivation than Previously Suspected. Tuberculosis 2017, 103, 1–9. [Google Scholar] [CrossRef] [PubMed]
- Badillo-López, C.; González-Mejía, A.; Helguera-Repetto, A.C.; Salas-Rangel, L.P.; Rivera-Gutiérrez, S.; Cerna-Cortés, J.F.; González-y-Merchand, J.A. Differential Expression of DnaA and DosR Genes among Members of the Mycobacterium Tuberculosis Complex under Oxic and Hypoxic Conditions. Int. Microbiol. 2010, 13, 9–13. [Google Scholar] [CrossRef]
- Gonzalez-y-Merchand, J.A.; Colston, M.J.; Cox, R.A. Roles of Multiple Promoters in Transcription of Ribosomal DNA: Effects of Growth Conditions on Precursor RRNA Synthesis in Mycobacteria. J. Bacteriol. 1998, 180, 5756–5761. [Google Scholar] [CrossRef]
- Gonzalez-y-Merchand, J.; Estrada-Garcia, I.; Colston, J.M.; Cox, A.R. A Novel Method for the Isolation of Mycobacterial DNA. FEMS Microbiol. Lett. 1996, 135, 71–77. [Google Scholar] [CrossRef][Green Version]
- Kiran, M.; Maloney, E.; Lofton, H.; Chauhan, A.; Jensen, R.; Dziedzic, R.; Madiraju, M.; Rajagopalan, M. Mycobacterium Tuberculosis FtsZ Expression and Minimal Promoter Activity. Tuberculosis 2009, 89 (Suppl. 1), S60–S64. [Google Scholar] [CrossRef]
- Zawilak, A.; Kois, A.; Konopa, G.; Smulczyk-Krawczyszyn, A.; Zakrzewska-Czerwińska, J. Mycobacterium tuberculosis DnaA Initiator Protein: Purification and DNA-Binding Requirements. Biochem. J. 2004, 382, 247–252. [Google Scholar] [CrossRef]
- Reddy, P.V.; Puri, R.V.; Khera, A.; Tyagi, A.K. Iron Storage Proteins Are Essential for the Survival and Pathogenesis of Mycobacterium Tuberculosis in THP-1 Macrophages and the Guinea Pig Model of Infection. J. Bacteriol. 2012, 194, 567–575. [Google Scholar] [CrossRef]
- Helaine, S.; Holden, D.W. Heterogeneity of Intracellular Replication of Bacterial Pathogens. Curr. Opin. Microbiol. 2013, 16, 184–191. [Google Scholar] [CrossRef]
- Joshi, H.; Kandari, D.; Bhatnagar, R. Insights into the Molecular Determinants Involved in Mycobacterium Tuberculosis Persistence and Their Therapeutic Implications. Virulence 2021, 12, 2721–2749. [Google Scholar] [CrossRef] [PubMed]
- Smeulders, M.J.; Keer, J.; Speight, R.A.; Williams, H.D. Adaptation of Mycobacterium Smegmatis to Stationary Phase. J. Bacteriol. 1999, 181, 270–283. [Google Scholar] [CrossRef] [PubMed]
- Lewis, R.A.; Bignell, C.R.; Zeng, W.; Jones, A.C.; Thomas, C.M. Chromosome Loss from Par Mutants of Pseudomonas Putida Depends on Growth Medium and Phase of Growth. Microbiology 2002, 148, 537–548. [Google Scholar] [CrossRef] [PubMed]
- Markova, N.; Slavchev, G.; Michailova, L. Filterable Forms and L-Forms of Mycobacterium Bovis BCG. Hum. Vaccin. Immunother. 2012, 8, 759–764. [Google Scholar] [CrossRef] [PubMed]
- Wu, M.-L.; Gengenbacher, M.; Chung, J.C.S.; Chen, S.L.; Mollenkopf, H.-J.; Kaufmann, S.H.E.; Dick, T. Developmental Transcriptome of Resting Cell Formation in Mycobacterium Smegmatis. BMC Genom. 2016, 17, 837. [Google Scholar] [CrossRef]
- Daniel, J.; Maamar, H.; Deb, C.; Sirakova, T.D.; Kolattukudy, P.E. Mycobacterium Tuberculosis Uses Host Triacylglycerol to Accumulate Lipid Droplets and Acquires a Dormancy-like Phenotype in Lipid-Loaded Macrophages. PLoS Pathog. 2011, 7, e1002093. [Google Scholar] [CrossRef]
- Chien, A.-C.; Hill, N.S.; Levin, P.A. Cell Size Control in Bacteria. Curr. Biol. 2012, 22, R340–R349. [Google Scholar] [CrossRef]
- Stiefel, P.; Schmidt-Emrich, S.; Maniura-Weber, K.; Ren, Q. Critical Aspects of Using Bacterial Cell Viability Assays with the Fluorophores SYTO9 and Propidium Iodide. BMC Microbiol. 2015, 15, 36. [Google Scholar] [CrossRef]
- Sträuber, H.; Müller, S. Viability States of Bacteria--Specific Mechanisms of Selected Probes. Cytometry A 2010, 77, 623–634. [Google Scholar] [CrossRef]
- Minero, G.A.S.; Larsen, P.B.; Hoppe, M.E.; Meyer, R.L. Bacterial Efflux Pumps Excrete SYTOTM Dyes and Lead to False-Negative Staining Results. Analyst 2024, 149, 2232–2235. [Google Scholar] [CrossRef]
- Berney, M.; Hammes, F.; Bosshard, F.; Weilenmann, H.-U.; Egli, T. Assessment and Interpretation of Bacterial Viability by Using the LIVE/DEAD BacLight Kit in Combination with Flow Cytometry. Appl. Environ. Microbiol. 2007, 73, 3283–3290. [Google Scholar] [CrossRef] [PubMed]
- Davey, H.M. Life, Death, and in-between: Meanings and Methods in Microbiology. Appl. Environ. Microbiol. 2011, 77, 5571–5576. [Google Scholar] [CrossRef] [PubMed]
- Stocks, S.M. Mechanism and Use of the Commercially Available Viability Stain, BacLight. Cytometry A 2004, 61, 189–195. [Google Scholar] [CrossRef] [PubMed]
- Dietrich, J.; Roy, S.; Rosenkrands, I.; Lindenstrøm, T.; Filskov, J.; Rasmussen, E.M.; Cassidy, J.; Andersen, P. Differential Influence of Nutrient-Starved Mycobacterium Tuberculosis on Adaptive Immunity Results in Progressive Tuberculosis Disease and Pathology. Infect. Immun. 2015, 83, 4731–4739. [Google Scholar] [CrossRef]
- Boopathi, S.; Ramasamy, S.; Haridevamuthu, B.; Murugan, R.; Veerabadhran, M.; Jia, A.-Q.; Arockiaraj, J. Intercellular Communication and Social Behaviors in Mycobacteria. Front. Microbiol. 2022, 13, 9432789. [Google Scholar] [CrossRef]
- Del Portillo, P.; García-Morales, L.; Menéndez, M.C.; Anzola, J.M.; Rodríguez, J.G.; Helguera-Repetto, A.C.; Ares, M.A.; Prados-Rosales, R.; Gonzalez-y-Merchand, J.A.; García, M.J. Hypoxia Is Not a Main Stress When Mycobacterium Tuberculosis Is in a Dormancy-like Long-Chain Fatty Acid Environment. Front. Cell. Infect. Microbiol. 2019, 8, 449. [Google Scholar] [CrossRef]








| Period of Cell Culture Under Starvation (h) | Cell Length (µm) § | Morphology ‡ |
|---|---|---|
| * 0 | 3.83 ± 1.29 | Rods |
| 4 | 2.90 ± 0.79 | Rods |
| 12 | 2.11 ± 0.28 | Rods |
| 24 | 1.52 ± 0.34 | Rods with rough appearance |
| 120 | 1.41 ± 0.34 | All rods have a rough surface |
| Period Under Hypoxia | Cell Length (µm) § | Morphology ‡ (% of Fraction of Cells) | Pleomorphic + Rough Cells (%) | ||
|---|---|---|---|---|---|
| Rod-Shaped | Pleomorphic ▲ | Rough | |||
| * 0 h | 3.83 ± 1.29 | 100 | 0 | 0 | 0 |
| 12 h | 3.04 ± 0.91 | 75 | 25 | 0 | 25 |
| 36 h | 3.73 ± 1.42 | 16 | 79 | 5 | 84 |
| 72 h | 3.53 ± 1.76 | 18 | 67 | 15 | 82 |
| 120 h | 3.38 ± 0.73 | 16 | 56 | 28 | 84 |
Disclaimer/Publisher’s Note: The statements, opinions and data contained in all publications are solely those of the individual author(s) and contributor(s) and not of MDPI and/or the editor(s). MDPI and/or the editor(s) disclaim responsibility for any injury to people or property resulting from any ideas, methods, instructions or products referred to in the content. |
© 2024 by the authors. Licensee MDPI, Basel, Switzerland. This article is an open access article distributed under the terms and conditions of the Creative Commons Attribution (CC BY) license (https://creativecommons.org/licenses/by/4.0/).
Share and Cite
Zaragoza-Contreras, R.; Aguilar-Ayala, D.A.; García-Morales, L.; Ares, M.A.; Helguera-Repetto, A.C.; Cerna-Cortés, J.F.; León-Solis, L.; Suárez-Sánchez, F.; González-Y-Merchand, J.A.; Rivera-Gutiérrez, S. Novel Populations of Mycobacterium smegmatis Under Hypoxia and Starvation: Some Insights on Cell Viability and Morphological Changes. Microorganisms 2024, 12, 2280. https://doi.org/10.3390/microorganisms12112280
Zaragoza-Contreras R, Aguilar-Ayala DA, García-Morales L, Ares MA, Helguera-Repetto AC, Cerna-Cortés JF, León-Solis L, Suárez-Sánchez F, González-Y-Merchand JA, Rivera-Gutiérrez S. Novel Populations of Mycobacterium smegmatis Under Hypoxia and Starvation: Some Insights on Cell Viability and Morphological Changes. Microorganisms. 2024; 12(11):2280. https://doi.org/10.3390/microorganisms12112280
Chicago/Turabian StyleZaragoza-Contreras, Ruben, Diana A. Aguilar-Ayala, Lázaro García-Morales, Miguel A. Ares, Addy Cecilia Helguera-Repetto, Jorge Francisco Cerna-Cortés, Lizbel León-Solis, Fernando Suárez-Sánchez, Jorge A. González-Y-Merchand, and Sandra Rivera-Gutiérrez. 2024. "Novel Populations of Mycobacterium smegmatis Under Hypoxia and Starvation: Some Insights on Cell Viability and Morphological Changes" Microorganisms 12, no. 11: 2280. https://doi.org/10.3390/microorganisms12112280
APA StyleZaragoza-Contreras, R., Aguilar-Ayala, D. A., García-Morales, L., Ares, M. A., Helguera-Repetto, A. C., Cerna-Cortés, J. F., León-Solis, L., Suárez-Sánchez, F., González-Y-Merchand, J. A., & Rivera-Gutiérrez, S. (2024). Novel Populations of Mycobacterium smegmatis Under Hypoxia and Starvation: Some Insights on Cell Viability and Morphological Changes. Microorganisms, 12(11), 2280. https://doi.org/10.3390/microorganisms12112280

