Antibacterial and Antibiofilm Effect of Unifloral Honeys against Bacteria Isolated from Chronic Wound Infections
Abstract
1. Introduction
2. Materials and Methods
2.1. Origin of Honey Samples
2.2. Melissopalynological Analysis and Color Determination
2.3. Cultivation of Test Bacteria
2.4. Determination of Minimum Inhibitory Concentrations (MIC)
2.5. Antibiofilm Capacity and Cell Viability Test
2.6. Scanning Electron Microscopy (SEM)
2.7. Membrane Degradation Study
2.8. Anti-Quorum Sensing Effect
2.9. Statistical Analysis
3. Results
3.1. Pollen Analysis and Sensory Characteristics of Honey Samples
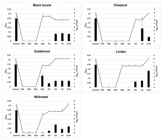
3.2. MIC Determination
3.3. Antibiofilm Capacity and Cell Viability
3.4. Scanning Electron Microscopy (SEM)
3.5. Membrane Degradation
3.6. Anti-Quorum Sensing Effect
4. Discussion
5. Conclusions
Author Contributions
Funding
Data Availability Statement
Acknowledgments
Conflicts of Interest
References
- Lazarus, G.S.; Cooper, D.M.; Knighton, D.R.; Margolis, D.J.; Percoraro, R.E.; Rodeheaver, G.; Robson, M.C. Definitions and Guidelines for Assessment of Wounds and Evaluation of Healing. Wound Repair Regen. 1994, 2, 165–170. [Google Scholar] [CrossRef] [PubMed]
 - Mustoe, T.A.; O’shaughnessy, K.; Kloeters, O. Chronic Wound Pathogenesis and Current Treatment Strategies: A Unifying Hypothesis. Plast. Reconstr. Surg. 2006, 117, 35S–41S. [Google Scholar] [CrossRef] [PubMed]
 - Lewis, K.I.M. Riddle of Biofilm Resistance. Antimicrob. Agents Chemother. 2001, 45, 999–1007. [Google Scholar] [CrossRef] [PubMed]
 - Hall, C.W.; Mah, T.-F. Molecular Mechanisms of Biofilm-Based Antibiotic Resistance and Tolerance in Pathogenic Bacteria. FEMS Microbiol. Rev. 2017, 41, 276–301. [Google Scholar] [CrossRef]
 - Sutherland, I.W. Biofilm Exopolysaccharides: A Strong and Sticky Framework. Microbiology 2001, 147, 3–9. [Google Scholar] [CrossRef]
 - Leid, J.G. Bacterial Biofilms Resist Key Host Defenses. Microbe 2009, 4, 66–70. [Google Scholar]
 - Flemming, H.-C.; Wingender, J. The Biofilm Matrix. Nat. Rev. Microbiol. 2010, 8, 623–633. [Google Scholar] [CrossRef]
 - Fuqua, W.C.; Winans, S.C.; Greenberg, E.P. Quorum Sensing in Bacteria: The LuxR-LuxI Family of Cell Density-Responsive Transcriptional Regulators. J. Bacteriol. 1994, 176, 269–275. [Google Scholar] [CrossRef]
 - Fetzner, S. Quorum Quenching Enzymes. J. Biotechnol. 2015, 201, 2–14. [Google Scholar] [CrossRef]
 - Liu, L.; Zeng, X.; Zheng, J.; Zou, Y.; Qiu, S.; Dai, Y. AHL-Mediated Quorum Sensing to Regulate Bacterial Substance and Energy Metabolism: A Review. Microbiol. Res. 2022, 262, 127102. [Google Scholar] [CrossRef]
 - Rodis, N.; Tsapadikou, V.K.; Potsios, C.; Xaplanteri, P. Resistance Mechanisms in Bacterial Biofilm Formations: A Review. J. Emerg. Intern. Med. 2020, 4, 30. [Google Scholar]
 - Parsek, M.R.; Singh, P.K. Bacterial Biofilms: An Emerging Link to Disease Pathogensis. Annu. Rev. Microbiol. 2003, 57, 677. [Google Scholar] [CrossRef]
 - Chioro, A.; Coll-Seck, A.M.; Høie, B.; Moeloek, N.; Motsoaledi, A.; Rajatanavin, R.; Touraine, M. Antimicrobial Resistance: A Priority for Global Health Action. Bull. World Health Organ. 2015, 93, 439. [Google Scholar] [CrossRef] [PubMed]
 - Abdula, N.; Macharia, J.; Motsoaledi, A.; Swaminathan, S.; VijayRaghavan, K. National Action for Global Gains in Antimicrobial Resistance. Lancet 2016, 387, e3–e5. [Google Scholar] [CrossRef] [PubMed]
 - Vestby, L.K.; Grønseth, T.; Simm, R.; Nesse, L.L. Bacterial Biofilm and Its Role in the Pathogenesis of Disease. Antibiotics 2020, 9, 59. [Google Scholar] [CrossRef]
 - Høiby, N. A Personal History of Research on Microbial Biofilms and Biofilm Infections. Pathog. Dis. 2014, 70, 205–211. [Google Scholar] [CrossRef]
 - Dibartola, A.C.; Swearingen, M.C.; Granger, J.F.; Stoodley, P.; Dusane, D.H. Biofilms in Orthopedic Infections: A Review of Laboratory Methods. Apmis 2017, 125, 418–428. [Google Scholar] [CrossRef]
 - Percival, S.L.; Hill, K.E.; Williams, D.W.; Hooper, S.J.; Thomas, D.W.; Costerton, J.W. A Review of the Scientific Evidence for Biofilms in Wounds. Wound Repair Regen. 2012, 20, 647–657. [Google Scholar] [CrossRef]
 - Shariati, A.; Azimi, T.; Ardebili, A.; Chirani, A.S.; Bahramian, A.; Pormohammad, A.; Sadredinamin, M.; Erfanimanesh, S.; Bostanghadiri, N.; Shams, S. Insertional Inactivation of OprD in Carbapenem-Resistant Pseudomonas Aeruginosa Strains Isolated from Burn Patients in Tehran, Iran. New Microbes New Infect. 2018, 21, 75–80. [Google Scholar] [CrossRef]
 - Pál, T. Az Orvosi Mikrobiológia Tankönyve. Med. Könyvkiadó Bp. Zrt 2012, 3.3, 257–324. [Google Scholar]
 - Stewart, P.S.; Costerton, J.W. Antibiotic Resistance of Bacteria in Biofilms. Lancet 2001, 358, 135–138. [Google Scholar] [CrossRef] [PubMed]
 - Chegini, Z.; Khoshbayan, A.; Moghadam, M.T.; Farahani, I.; Jazireian, P.; Shariati, A. Bacteriophage Therapy against Pseudomonas Aeruginosa Biofilms: A Review. Ann. Clin. Microbiol. Antimicrob. 2020, 19, 45. [Google Scholar] [CrossRef] [PubMed]
 - Byrd, A.L.; Belkaid, Y.; Segre, J.A. The Human Skin Microbiome. Nat. Rev. Microbiol. 2018, 16, 143–155. [Google Scholar] [CrossRef] [PubMed]
 - Saffari, F.; Widerström, M.; Gurram, B.K.; Edebro, H.; Hojabri, Z.; Monsen, T. Molecular and Phenotypic Characterization of Multidrug-Resistant Clones of Staphylococcus Epidermidis in Iranian Hospitals: Clonal Relatedness to Healthcare-Associated Methicillin-Resistant Isolates in Northern Europe. Microb. Drug Resist. 2016, 22, 570–577. [Google Scholar] [CrossRef]
 - Knafl, D.; Tobudic, S.; Cheng, S.C.; Bellamy, D.R.; Thalhammer, F. Dalbavancin Reduces Biofilms of Methicillin-Resistant Staphylococcus Aureus (MRSA) and Methicillin-Resistant Staphylococcus Epidermidis (MRSE). Eur. J. Clin. Microbiol. Infect. Dis. 2017, 36, 677–680. [Google Scholar] [CrossRef]
 - Hiramatsu, K. Vancomycin-Resistant Staphylococcus Aureus: A New Model of Antibiotic Resistance. Lancet Infect. Dis. 2001, 1, 147–155. [Google Scholar] [CrossRef]
 - Que, Y.-A. Staphylococcus Aureus (Including Staphylococcal Toxic Shock). Princ. Pract. Infect. Dis. 2010, 2543–2578. Available online: https://cir.nii.ac.jp/crid/1570009751465587968 (accessed on 10 February 2023).
 - Taha, E.-K.A.; Al-Kahtani, S.; Taha, R. Comparison of the Physicochemical Characteristics of Sidr (Ziziphus Spp.) Honey Produced by Apis Florea, F. and Apis mellifera, L. J. Apic. Res. 2021, 60, 470–477. [Google Scholar] [CrossRef]
 - Lusby, P.E.; Coombes, A.L.; Wilkinson, J.M. Bactericidal Activity of Different Honeys against Pathogenic Bacteria. Arch. Med. Res. 2005, 36, 464–467. [Google Scholar] [CrossRef]
 - Bucekova, M.; Jardekova, L.; Juricova, V.; Bugarova, V.; Di Marco, G.; Gismondi, A.; Leonardi, D.; Farkasovska, J.; Godocikova, J.; Laho, M. Antibacterial Activity of Different Blossom Honeys: New Findings. Molecules 2019, 24, 1573. [Google Scholar] [CrossRef]
 - Mandal, M.D.; Mandal, S. Honey: Its Medicinal Property and Antibacterial Activity. Asian Pac. J. Trop. Biomed. 2011, 1, 154–160. [Google Scholar] [CrossRef]
 - Scepankova, H.; Combarros-Fuertes, P.; Fresno, J.M.; Tornadijo, M.E.; Dias, M.S.; Pinto, C.A.; Saraiva, J.A.; Estevinho, L.M. Role of Honey in Advanced Wound Care. Molecules 2021, 26, 4784. [Google Scholar] [CrossRef] [PubMed]
 - Bazaid, A.S.; Aldarhami, A.; Patel, M.; Adnan, M.; Hamdi, A.; Snoussi, M.; Qanash, H.; Imam, M.; Monjed, M.K.; Khateb, A.M. The Antimicrobial Effects of Saudi Sumra Honey against Drug Resistant Pathogens: Phytochemical Analysis, Antibiofilm, Anti-Quorum Sensing, and Antioxidant Activities. Pharmaceuticals 2022, 15, 1212. [Google Scholar] [CrossRef] [PubMed]
 - Gemiarto, A.T.; Ninyio, N.N.; Lee, S.W.; Logis, J.; Fatima, A.; Chan, E.W.C.; Lim, C.S.Y. Isoprenyl Caffeate, a Major Compound in Manuka Propolis, Is a Quorum-Sensing Inhibitor in Chromobacterium Violaceum. Antonie Van Leeuwenhoek 2015, 108, 491–504. [Google Scholar] [CrossRef] [PubMed]
 - Liaqat, I.; Gulab, B.; Hanif, U.; Sultan, A.; Sadiqa, A.; Zafar, U.; Afzaal, M.; Naseem, S.; Akram, S.; Saleem, G. Honey Potential as Antibiofilm, Antiquorum Sensing and Dispersal Agent against Multispecies Bacterial Biofilm. J. Oleo Sci. 2021, 71, 425–434. [Google Scholar] [CrossRef]
 - Combarros-Fuertes, P.; Fresno, J.M.; Estevinho, M.M.; Sousa-Pimenta, M.; Tornadijo, M.E.; Estevinho, L.M. Honey: Another Alternative in the Fight against Antibiotic-Resistant Bacteria? Antibiotics 2020, 9, 774. [Google Scholar] [CrossRef]
 - Hewett, S.R.; Crabtrey, S.D.; Dodson, E.E.; Rieth, C.A.; Tarkka, R.M.; Naylor, K. Both Manuka and Non-Manuka Honey Types Inhibit Antibiotic Resistant Wound-Infecting Bacteria. Antibiotics 2022, 11, 1132. [Google Scholar] [CrossRef]
 - Von Der Ohe, W.; Oddo, L.P.; Piana, M.L.; Morlot, M.; Martin, P. Harmonized Methods of Melissopalynology. Apidologie 2004, 35, S18–S25. [Google Scholar] [CrossRef]
 - Beretta, G.; Granata, P.; Ferrero, M.; Orioli, M.; Facino, R.M. Standardization of Antioxidant Properties of Honey by a Combination of Spectrophotometric/Fluorimetric Assays and Chemometrics. Anal. Chim. Acta 2005, 533, 185–191. [Google Scholar] [CrossRef]
 - Hindler, J.A.; Jorgensen, J.H. Susceptibility Test Methods: Fastidious Bacteria. In Manual of Clinical Microbiology; Versalovic, J., Ed.; ASM: Washington, DC, USA, 2011; Volume 1. [Google Scholar]
 - Peeters, E.; Nelis, H.J.; Coenye, T. Comparison of Multiple Methods for Quantification of Microbial Biofilms Grown in Microtiter Plates. J. Microbiol. Methods 2008, 72, 157–165. [Google Scholar] [CrossRef]
 - Bennis, S.; Chami, F.; Chami, N.; Bouchikhi, T.; Remmal, A. Surface Alteration of Saccharomyces Cerevisiae Induced by Thymol and Eugenol. Lett. Appl. Microbiol. 2004, 38, 454–458. [Google Scholar] [CrossRef]
 - He, Z.; Huang, Z.; Jiang, W.; Zhou, W. Antimicrobial Activity of Cinnamaldehyde on Streptococcus Mutans Biofilms. Front. Microbiol. 2019, 10, 2241. [Google Scholar] [CrossRef] [PubMed]
 - Oh, Y.J.; Hong, J. Application of the MTT-Based Colorimetric Method for Evaluating Bacterial Growth Using Different Solvent Systems. LWT 2022, 153, 112565. [Google Scholar] [CrossRef]
 - Kerekes, E.-B.; Deák, É.; Takó, M.; Tserennadmid, R.; Petkovits, T.; Vágvölgyi, C.; Krisch, J. Anti-Biofilm Forming and Anti-Quorum Sensing Activity of Selected Essential Oils and Their Main Components on Food-Related Micro-Organisms. J. Appl. Microbiol. 2013, 115, 933–942. [Google Scholar] [CrossRef] [PubMed]
 - Choo, J.C.; Koh, R.Y.; Ling, A.P.K. Medicinal Properties of Pitaya: A Review. Spatula DD 2016, 6, 69–76. [Google Scholar] [CrossRef]
 - Zambrano, C.; Kerekes, E.B.; Kotogán, A.; Papp, T.; Vágvölgyi, C.; Krisch, J.; Takó, M. Antimicrobial Activity of Grape, Apple and Pitahaya Residue Extracts after Carbohydrase Treatment against Food-Related Bacteria. LWT 2019, 100, 416–425. [Google Scholar] [CrossRef]
 - Hammer, Ø.; Harper, D.A.; Ryan, P.D. PAST: Paleontological Statistics Software Package for Education and Data Analysis. Palaeontol. Electron. 2001, 4, 9. [Google Scholar]
 - Farkas, Á.; Balázs, V.L.; Kõszegi, T.; Csepregi, R.; Kerekes, E.; Horváth, G.; Szabó, P.; Gaál, K.; Kocsis, M. Antibacterial and Biofilm Degradation Effects of Hungarian Honeys Linked with Botanical Origin, Antioxidant Capacity and Mineral Content. Front. Nutr. 2022, 9, 953470. [Google Scholar] [CrossRef]
 - Balázs, V.L.; Nagy-Radványi, L.; Filep, R.; Kerekes, E.; Kocsis, B.; Kocsis, M.; Farkas, Á. In Vitro Antibacterial and Antibiofilm Activity of Hungarian Honeys against Respiratory Tract Bacteria. Foods 2021, 10, 1632. [Google Scholar] [CrossRef]
 - Albaridi, N.A. Antibacterial Potency of Honey. Int. J. Microbiol. 2019, 2019, 2464507. [Google Scholar] [CrossRef]
 - Truchado, P.; Gil-Izquierdo, A.; Tomas-Barberan, F.; Allende, A. Inhibition by Chestnut Honey of N-Acyl-L-Homoserine Lactones and Biofilm Formation in Erwinia Carotovora, Yersinia Enterocolitica, and Aeromonas Hydrophila. J. Agric. Food Chem. 2009, 57, 11186–11193. [Google Scholar] [CrossRef]
 - Oliveira, A.; Sousa, J.C.; Silva, A.C.; Melo, L.D.; Sillankorva, S. Chestnut Honey and Bacteriophage Application to Control Pseudomonas Aeruginosa and Escherichia Coli Biofilms: Evaluation in an Ex Vivo Wound Model. Front. Microbiol. 2018, 9, 1725. [Google Scholar] [CrossRef] [PubMed]
 - Sevin, S.; Yarsan, E. Investigation of the Effects of Pine and Chestnut Honey on Wound Healing. Ank. Univ. Vet. Fak. Derg. 2022, 69, 319–328. [Google Scholar] [CrossRef]
 - Matzen, R.D.; Leth-Espensen, J.Z.; Jansson, T.; Nielsen, D.S.; Lund, M.N.; Matzen, S. The Antibacterial Effect in Vitro of Honey Derived from Various Danish Flora. Dermatol. Res. Pract. 2018, 2018, 7021713. [Google Scholar] [CrossRef] [PubMed]
 - Farkasovska, J.; Bugarova, V.; Godocikova, J.; Majtan, V.; Majtan, J. The Role of Hydrogen Peroxide in the Antibacterial Activity of Different Floral Honeys. Eur. Food Res. Technol. 2019, 245, 2739–2744. [Google Scholar] [CrossRef]
 - Sakač, M.; Jovanov, P.; Marić, A.; Četojević-Simin, D.; Novaković, A.; Plavšić, D.; Škrobot, D.; Kovač, R. Antioxidative, Antibacterial and Antiproliferative Properties of Honey Types from the Western Balkans. Antioxidants 2022, 11, 1120. [Google Scholar] [CrossRef] [PubMed]
 - Ranzato, E.; Martinotti, S.; Burlando, B. Honey Exposure Stimulates Wound Repair of Human Dermal Fibroblasts. Burn. Trauma 2013, 1, 2321–3868. [Google Scholar] [CrossRef]
 - Bodó, A.; Radványi, L.; Kőszegi, T.; Csepregi, R.; Nagy, D.U.; Farkas, Á.; Kocsis, M. Quality Evaluation of Light- and Dark-Colored Hungarian Honeys, Focusing on Botanical Origin, Antioxidant Capacity and Mineral Content. Molecules 2021, 26, 2825. [Google Scholar] [CrossRef]
 - Qiao, J.; Chen, L.; Kong, L.; Dong, J.; Zhou, Z.; Zhang, H. Characteristic Components and Authenticity Evaluation of Rape, Acacia, and Linden Honey. J. Agric. Food Chem. 2020, 68, 9776–9788. [Google Scholar] [CrossRef]
 - Leyva-Jimenez, F.J.; Lozano-Sanchez, J.; Borras-Linares, I.; de la Luz Cadiz-Gurrea, M.; Mahmoodi-Khaledi, E. Potential Antimicrobial Activity of Honey Phenolic Compounds against Gram Positive and Gram Negative Bacteria. LWT 2019, 101, 236–245. [Google Scholar] [CrossRef]
 - Ronsisvalle, S.; Lissandrello, E.; Fuochi, V.; Petronio, G.P.; Straquadanio, C.; Crascì, L.; Panico, A.; Milito, M.; Cova, A.M.; Tempera, G. Antioxidant and Antimicrobial Properties of Casteanea Sativa Miller Chestnut Honey Produced on Mount Etna (Sicily). Nat. Prod. Res. 2019, 33, 843–850. [Google Scholar] [CrossRef]
 - Alandejani, T.; Marsan, J.; Ferris, W.; Slinger, R.; Chan, F. Effectiveness of Honey on Staphylococcus Aureus and Pseudomonas Aeruginosa Biofilms. Otolaryngol. Head Neck Surg. 2009, 141, 114–118. [Google Scholar] [CrossRef] [PubMed]
 - Combarros-Fuertes, P.; Estevinho, L.M.; Teixeira-Santos, R.; Rodrigues, A.G.; Pina-Vaz, C.; Fresno, J.M.; Tornadijo, M.E. Evaluation of Physiological Effects Induced by Manuka Honey Upon Staphylococcus Aureus and Escherichia Coli. Microorganisms 2019, 7, 258. [Google Scholar] [CrossRef]
 - Combarros-Fuertes, P.; Estevinho, L.M.; Teixeira-Santos, R.; Rodrigues, A.G.; Pina-Vaz, C.; Fresno, J.M.; Tornadijo, M.E. Antibacterial Action Mechanisms of Honey: Physiological Effects of Avocado, Chestnut, and Polyfloral Honey upon Staphylococcus Aureus and Escherichia Coli. Molecules 2020, 25, 1252. [Google Scholar] [CrossRef] [PubMed]
 - Brudzynski, K.; Sjaarda, C. Antibacterial Compounds of Canadian Honeys Target Bacterial Cell Wall Inducing Phenotype Changes, Growth Inhibition and Cell Lysis That Resemble Action of β-Lactam Antibiotics. PLoS ONE 2014, 9, e106967. [Google Scholar] [CrossRef] [PubMed]
 



| Nr. | Honey Type, Plant Name | Sensory Characteristics  (Color, Odor and Consistency)  | ABS450–720 (mAU)  | 
|---|---|---|---|
| 1 | Black locust, Robinia pseudoacacia | Pale, yellowish green, weak odor, liquid, viscous | 83.3 ± 14.2 a | 
| 2 | Chestnut, Castanea sativa | Amber with reddish tone, strong odor, liquid, viscous | 413.0 ± 21.2 b | 
| 3 | Goldenrod, Solidago gigantea | Amber, moderately intense odor, semisolid, fine granulated | 412.3 ± 13.0 b | 
| 4 | Linden, Tilia spp. | Light amber, strong odor, fine granulated, semisolid | 284.0 ± 9.2 c | 
| 5 | Milkweed, Asclepias syriaca | Light yellowish amber, intense flower-like odor, viscous | 119.0 ± 17.8 d | 
| Honey  Type  | Castanea | Robinia | Solidago | Tilia | Asteraceae | Brassica | Other | 
|---|---|---|---|---|---|---|---|
| black locust | - | 64.2 | 11.2 | 0.4 | 1.9 | 6.8 | 15.5 | 
| chestnut | 79.9 | - | 0.8 | 3.2 | 2.8 | 3.1 | 10.2 | 
| goldenrod | - | - | 72.4 | 1.9 | 8.4 | 6.7 | 10.6 | 
| linden | - | 1.9 | 19.5 | 72.4 | 2.7 | 3.2 | 0.3 | 
| milkweed | - | 1.5 | - | - | 0.9 | 65.4 | 32.2 | 
| Honey Samples | 1 | 2 | 3 | |
|---|---|---|---|---|
| black locust | 25% | 20% | 20% | |
| chestnut | 12.5% | 10% | 10% | |
| MIC values | goldenrod | 25% | 20% | 20% | 
| linden | 12.5% | 10% | 10% | |
| milkweed | 25% | 20% | 20% | 
| Percentage of Viable Cells (%) | |||
|---|---|---|---|
| Honey Samples | 1 | 2 | 3 | 
| black locust | 57.4 | 62.7 | 52.7 | 
| chestnut | 56.7 | 50.4 | 52.3 | 
| goldenrod | 67.4 | 53.7 | 56.7 | 
| linden | 61.1 | 61.2 | 62.8 | 
| milkweed | 72.1 | 75.2 | 79.4 | 
| Conc (%) | Lysis of S. epidermidis cells | ||||
|---|---|---|---|---|---|
| Black Locust | Chestnut | Goldenrod | Linden | Milkweed | |
| 0 | 0 | 0 | 0 | 0 | 0 | 
| 20 | 0 | 0 | 0 | 0 | 0 | 
| 40 | 17.45 ± 3.1 a | 22.35 ± 2.0 bc | 20.87 ± 2.2 ac | 30.72 ± 1.6 d | 16.88 ± 2.0 a | 
| 60 | 25.92 ± 2.9 a | 30.68 ± 1.9 b | 32.05 ± 2.2 b | 38.30 ± 4.2 d | 24.08 ± 2.9 a | 
| 90 | 100 | 100 | 100 | 100 | 100 | 
| Lysis of MRSA cells | |||||
| 0 | 0 | 0 | 0 | 0 | 0 | 
| 20 | 0 | 0 | 0 | 0 | 0 | 
| 40 | 21.38 ± 1.6 a | 23.37 ± 2.5 a | 22.18 ± 4.3 a | 30.42 ± 1.8 b | 16.35 ± 1.5 c | 
| 60 | 30.22 ± 1.5 a | 35.45 ± 2.9 b | 33.82 ± 2.6 b | 39.38 ± 2.1 c | 25.13 ± 3.3 d | 
| 90 | 100 | 100 | 100 | 100 | 100 | 
| Lysis of P. aeruginosa cells | |||||
| 0 | 0 | 0 | 0 | 0 | 0 | 
| 20 | 0 | 0 | 0 | 0 | 0 | 
| 40 | 21.55 ± 2.2 a | 26.80 ± 4.5 b | 22.23 ± 4.1 ac | 35.77 ± 3.8 d | 17.60 ± 3.3 c | 
| 60 | 32.72 ± 4.1 a | 39.15 ± 1.3 b | 36.30 ± 4.2 ab | 44.53 ± 3.9 c | 25.48 ± 3.1 d | 
| 90 | 100 | 100 | 100 | 100 | 100 | 
| Time (Min) | Lysis of S. epidermidis cells | ||||
|---|---|---|---|---|---|
| Black Locust | Chestnut | Goldenrod | Linden | Milkweed | |
| 0 | 0 | 0 | 0 | 0 | 0 | 
| 20 | 0 | 0 | 0 | 0 | 0 | 
| 40 | 21.37 ± 1.4 a | 24.60 ± 3.2 b | 22.43 ± 2.8 ab | 27.07 ± 6.4 ab | 15.15 ± 3.3 c | 
| 60 | 25.92 ± 2.9 a | 30.68 ± 1.9 b | 32.05 ± 2.2 b | 38.30 ± 4.2 c | 24.08 ± 2.9 a | 
| 90 | 62.63 ± 3.0 a | 64.85 ± 4.0 ac | 54.85 ± 4.2 b | 69.08 ± 4.4 c | 35.28 ± 6.2 d | 
| Lysis of MRSA cells | |||||
| 0 | 0 | 0 | 0 | 0 | 0 | 
| 20 | 0 | 0 | 0 | 0 | 0 | 
| 40 | 27.82 ± 1.9 a | 29.95 ± 1.9 a | 22.25 ± 3.6 b | 32.28 ± 6.8 a | 16.50 ± 3.3 c | 
| 60 | 30.22 ± 1.5 a | 35.45 ± 2.9 b | 33.82 ± 2.6 b | 39.38 ± 2.1 c | 25.13 ± 3.3 d | 
| 90 | 61.43 ± 4.8 a | 65.70 ± 7.7 ac | 52.48 ± 4.0 b | 71.28 ± 1.1 c | 33.87 ± 5.6 d | 
| Lysis of P. aeruginosa cells | |||||
| 0 | 0 | 0 | 0 | 0 | 0 | 
| 20 | 0 | 0 | 0 | 0 | 0 | 
| 40 | 16.58 ± 3.2 a | 26.08 ± 4.0 b | 18.18 ± 2.3 a | 26.40 ± 2.8 b | 11.45 ± 1.3 c | 
| 60 | 32.72 ± 4.1 a | 39.15 ± 1.3 b | 36.30 ± 4.2 ab | 44.53 ± 3.9 c | 25.48 ± 3.1 d | 
| 90 | 63.22 ± 3.7 a | 70.38 ± 5.6 b | 57.67 ± 3.4 c | 74.15 ± 3.9 b | 43.38 ± 7.0 d | 
Disclaimer/Publisher’s Note: The statements, opinions and data contained in all publications are solely those of the individual author(s) and contributor(s) and not of MDPI and/or the editor(s). MDPI and/or the editor(s) disclaim responsibility for any injury to people or property resulting from any ideas, methods, instructions or products referred to in the content.  | 
© 2023 by the authors. Licensee MDPI, Basel, Switzerland. This article is an open access article distributed under the terms and conditions of the Creative Commons Attribution (CC BY) license (https://creativecommons.org/licenses/by/4.0/).
Share and Cite
Balázs, V.L.; Nagy-Radványi, L.; Bencsik-Kerekes, E.; Koloh, R.; Szabó, D.; Kocsis, B.; Kocsis, M.; Farkas, Á. Antibacterial and Antibiofilm Effect of Unifloral Honeys against Bacteria Isolated from Chronic Wound Infections. Microorganisms 2023, 11, 509. https://doi.org/10.3390/microorganisms11020509
Balázs VL, Nagy-Radványi L, Bencsik-Kerekes E, Koloh R, Szabó D, Kocsis B, Kocsis M, Farkas Á. Antibacterial and Antibiofilm Effect of Unifloral Honeys against Bacteria Isolated from Chronic Wound Infections. Microorganisms. 2023; 11(2):509. https://doi.org/10.3390/microorganisms11020509
Chicago/Turabian StyleBalázs, Viktória L., Lilla Nagy-Radványi, Erika Bencsik-Kerekes, Regina Koloh, Dina Szabó, Béla Kocsis, Marianna Kocsis, and Ágnes Farkas. 2023. "Antibacterial and Antibiofilm Effect of Unifloral Honeys against Bacteria Isolated from Chronic Wound Infections" Microorganisms 11, no. 2: 509. https://doi.org/10.3390/microorganisms11020509
APA StyleBalázs, V. L., Nagy-Radványi, L., Bencsik-Kerekes, E., Koloh, R., Szabó, D., Kocsis, B., Kocsis, M., & Farkas, Á. (2023). Antibacterial and Antibiofilm Effect of Unifloral Honeys against Bacteria Isolated from Chronic Wound Infections. Microorganisms, 11(2), 509. https://doi.org/10.3390/microorganisms11020509
        
