Evaluation of Non-Invasive Sampling Methods for Detection of Hepatitis E Virus Infected Pigs in Pens
Abstract
1. Introduction
2. Materials and Methods
2.1. Farm Selection and Description
2.2. Sampling Protocol
2.3. Laboratory Protocol
2.4. Bayesian Latent Class Analysis
3. Results
3.1. Results of Individual Rectal Samples
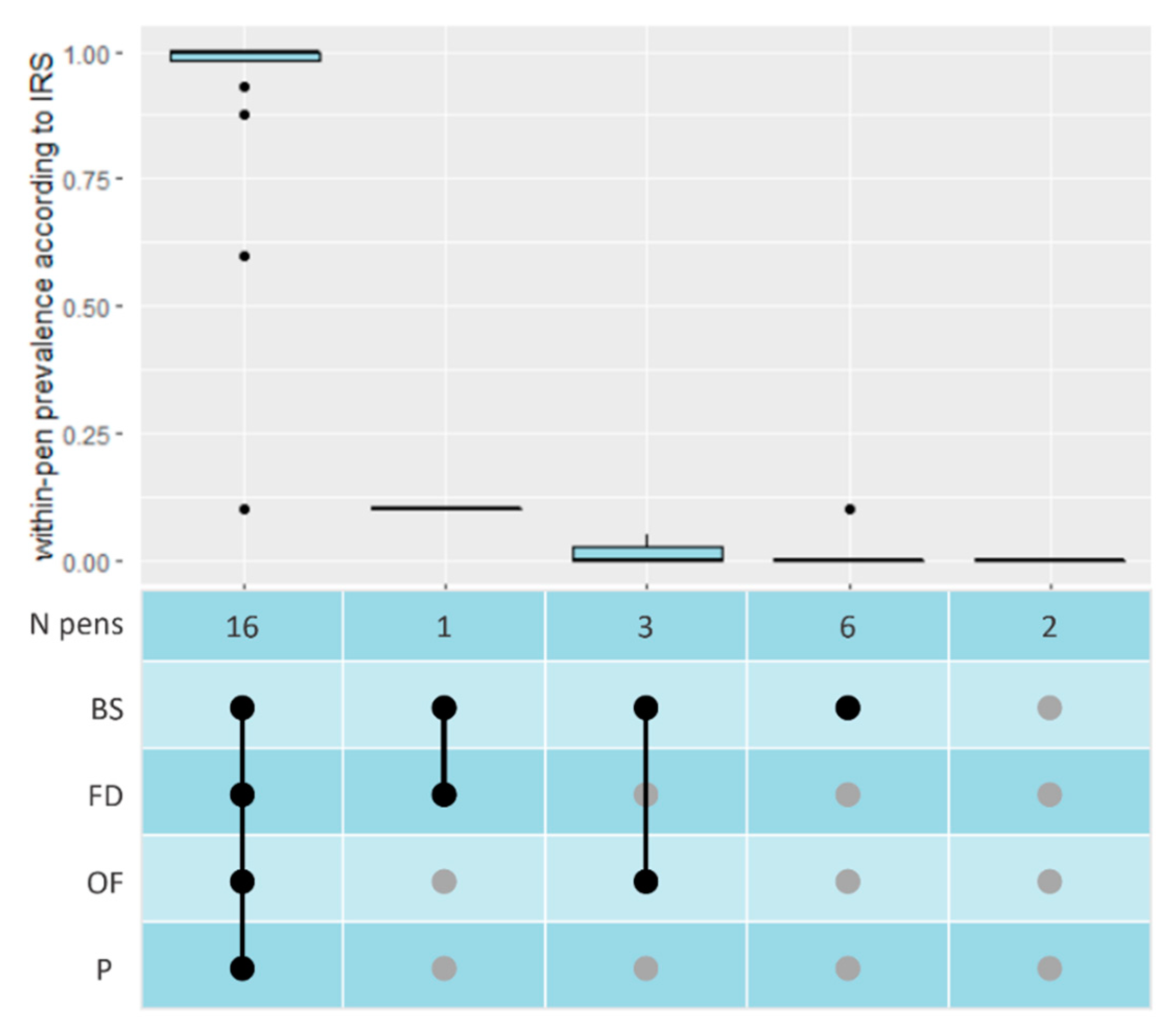
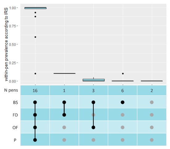
3.2. Results of Pen-Level Sampling Methods
3.3. Bayesian Latent Class Analysis
4. Discussion
Supplementary Materials
Author Contributions
Funding
Data Availability Statement
Acknowledgments
Conflicts of Interest
References
- Wallace, S.J.; Crossan, C.; Hussaini, S.H.; Dalton, H.R. Hepatitis E: A largely underestimated, emerging threat. Br. J. Hosp. Med. 2019, 80, 399–404. [Google Scholar] [CrossRef] [PubMed]
- European Centre for Disease Prevention and Control. Hepatitis E in the EU/EEA, 2005–2015; ECDC: Stockholm, Sweden, 2017; Available online: https://www.ecdc.europa.eu/en/publications-data/hepatitis-e-eueea-2005-2015 (accessed on 11 July 2017).
- EFSA BIOHAZ Panel (EFSA Panel on Biological Hazards); Ricci, A.; Allende, A.; Bolton, D.; Chemaly, M.; Davies, R.; Fernandez Escamez, P.S.; Herman, L.; Koutsoumanis, K.; Lindqvist, R.; et al. Scientific Opinion on the public health risks associated with hepatitis E virus (HEV) as a food-borne pathogen. EFSA J. 2017, 15, 4886. [Google Scholar] [CrossRef]
- Salines, M.; Andraud, M.; Rose, N. From the epidemiology of hepatitis E virus (HEV) within the swine reservoir to public health risk mitigation strategies: A comprehensive review. Vet. Res. 2017, 48, 31. [Google Scholar] [CrossRef] [PubMed]
- Meester, M.; Tobias, T.J.; Bouwknegt, M.; Kusters, N.E.; Stegeman, J.A.; van der Poel, W.H.M. Infection dynamics and persistence of hepatitis E virus on pig farms—A review. Porc. Health Manag. 2021, 7, 16. [Google Scholar] [CrossRef] [PubMed]
- de Deus, N.; Casas, M.; Peralta, B.; Nofrarias, M.; Pina, S.; Martin, M.; Segales, J. Hepatitis E virus infection dynamics and organic distribution in naturally infected pigs in a farrow-to-finish farm. Vet. Microbiol. 2008, 132, 19–28. [Google Scholar] [CrossRef] [PubMed]
- Kanai, Y.; Tsujikawa, M.; Yunoki, M.; Nishiyama, S.; Ikuta, K.; Hagiwara, K. Long-term shedding of hepatitis E virus in the feces of pigs infected naturally, born to sows with and without maternal antibodies. J. Med. Virol. 2010, 82, 69–76. [Google Scholar] [CrossRef]
- Salines, M.; Dumarest, M.; Andraud, M.; Mahe, S.; Barnaud, E.; Cineux, M.; Eveno, E.; Eono, F.; Dorenlor, V.; Grasland, B.; et al. Natural viral co-infections in pig herds affect hepatitis E virus (HEV) infection dynamics and increase the risk of contaminated livers at slaughter. Transbound. Emerg. Dis. 2019, 66, 1930–1945. [Google Scholar] [CrossRef]
- Krog, J.S.; Larsen, L.E.; Breum, S.O. Tracing Hepatitis E Virus in Pigs from Birth to Slaughter. Front. Vet. Sci. 2019, 6, 50. [Google Scholar] [CrossRef]
- Casas, M.; Cortes, R.; Pina, S.; Peralta, B.; Allepuz, A.; Cortey, M.; Casal, J.; Martin, M. Longitudinal study of hepatitis E virus infection in Spanish farrow-to-finish swine herds. Vet. Microbiol. 2011, 148, 27–34. [Google Scholar] [CrossRef]
- Rosochacki, S.J.; Piekarzewska, A.B.; Połoszynowicz, J.; Sakowski, T. The influence of restraint immobilization stress on the concentration of bioamines and cortisol in plasma of Pietrain and Duroc pigs. J. Vet. Med. A Physiol. Pathol. Clin. Med. 2000, 47, 231–242. [Google Scholar] [CrossRef]
- O’Malley, C.I.; Hubley, R.; Tambadou, H.; Turner, P.V. Refining restraint techniques for research pigs through habituation. Front. Vet. Sci. 2022, 9, 1442. [Google Scholar] [CrossRef]
- Russell, W.M.S.; Burch, R.L. The Principles of Humane Experimental Technique; Methuen & Co LTD: London, UK, 1959. [Google Scholar]
- Directive 2010/63/EU of the European Parliament and of the Council of 22 September 2010 on the Protection of Animals Used for Scientific Purposes. Available online: https://eur-lex.europa.eu/LexUriServ/LexUriServ.do?uri=OJ:L:2010:276:0033:0079:En:PDF (accessed on 20 October 2010).
- Turlewicz-Podbielska, H.; Włodarek, J.; Pomorska-Mól, M. Noninvasive strategies for surveillance of swine viral diseases: A review. J. Vet. Diagn. Investig. 2020, 32, 503–512. [Google Scholar] [CrossRef] [PubMed]
- Bouwknegt, M.; Rutjes, S.A.; Reusken, C.B.; Stockhofe-Zurwieden, N.; Frankena, K.; de Jong, M.C.; de Roda Husman, A.M.; Poel, W.H.M. The course of hepatitis E virus infection in pigs after contact-infection and intravenous inoculation. BMC Vet. Res. 2009, 5, 7. [Google Scholar] [CrossRef] [PubMed]
- Banks, M.; Heath, G.S.; Grierson, S.S.; King, D.P.; Gresham, A.; Girones, R.; Widen, F.; Harrison, T.J. Evidence for the presence of hepatitis E virus in pigs in the United Kingdom. Vet. Rec. 2004, 154, 223–227. [Google Scholar] [CrossRef] [PubMed]
- Plut, J.; Jamnikar-Ciglenecki, U.; Stukelj, M. Molecular detection of porcine reproductive and respiratory syndrome virus, porcine circovirus 2 and hepatitis E virus in oral fluid compared to their detection in faeces and serum. BMC Vet. Res. 2020, 16, 164. [Google Scholar] [CrossRef] [PubMed]
- Jones, T.H.; Muehlhauser, V. Effect of handling and storage conditions and stabilizing agent on the recovery of viral RNA from oral fluid of pigs. J. Virol. Methods 2014, 198, 26–31. [Google Scholar] [CrossRef]
- Schott, F.; Hoffmann, K.; Sarno, E.; Bangerter, P.D.; Stephan, R.; Overesch, G.; Haessig, M.; Sidler, X.; Graage, R. Evaluation of oral fluids for surveillance of foodborne and zoonotic pathogens in pig farms. J. Vet. Diagn. Investig. 2021, 33, 655–663. [Google Scholar] [CrossRef]
- van der Wolf, P.; Meijerink, M.; Libbrecht, E.; Tacken, G.; Gijsen, E.; Lillie-Jaschniski, K.; Schüller, V. Salmonella Typhimurium environmental reduction in a farrow-to-finish pig herd using a live attenuated Salmonella Typhimurium vaccine. Porc. Health Manag. 2021, 7, 43. [Google Scholar] [CrossRef]
- Wu, D.; Alali, W.Q.; Harrison, M.A.; Hofacre, C.L. Prevalence of salmonella in neck skin and bone of chickens. J. Food Prot. 2014, 77, 1193–1197. [Google Scholar] [CrossRef]
- Lienhard, J.; Vonlanthen-Specker, I.; Sidler, X.; Bachofen, C. Screening of Swiss Pig Herds for Hepatitis E Virus: A Pilot Study. Animals 2021, 11, 3050. [Google Scholar] [CrossRef]
- Risalde, M.A.; Rivero-Juarez, A.; Frias, M.; Olivas, I.; Lopez-Lopez, P.; García-Bocanegra, I.; Brieva, T.; Caballero-Gómez, J.; Camacho, A.; Fernández-Molera, V.; et al. Evaluation of a non-invasive screening approach to determine hepatitis E virus status of pig farms. Vet. Rec. 2020, 187, 272. [Google Scholar] [CrossRef] [PubMed]
- Meester, M.; Bouwknegt, M.; Hakze-van der Honing, R.; Vernooij, H.; Houben, M.; van Oort, S.; van der Poel, W.H.M.; Stegeman, A.; Tobias, T. Repeated cross-sectional sampling of pigs at slaughter indicates varying age of hepatitis E virus infection within and between pig farms. Vet. Res. 2022, 53, 50. [Google Scholar] [CrossRef] [PubMed]
- Pedersen, K.S.; Okholm, E.; Johansen, M.; Angen; Jorsal, S.E.; Nielsen, J.P.; Bækbo, P. Clinical utility and performance of sock sampling in weaner pig diarrhoea. Prev. Vet. Med. 2015, 120, 313–320. [Google Scholar] [CrossRef] [PubMed]
- Jothikumar, N.; Cromeans, T.L.; Robertson, B.H.; Meng, X.J.; Hill, V.R. A broadly reactive one-step real-time RT-PCR assay for rapid and sensitive detection of hepatitis E virus. J Virol. Methods 2006, 131, 65–71. [Google Scholar] [CrossRef]
- Hui, S.L.; Walter, S.D. Estimating the error rates of diagnostic tests. Biometrics 1980, 36, 167–171. [Google Scholar] [CrossRef]
- Toft, N.; Jørgensen, E.; Højsgaard, S. Diagnosing diagnostic tests: Evaluating the assumptions underlying the estimation of sensitivity and specificity in the absence of a gold standard. Prev. Vet. Med. 2005, 68, 19–33. [Google Scholar] [CrossRef]
- Seminati, C.; Mateu, E.; Peralta, B.; de Deus, N.; Martin, M. Distribution of hepatitis E virus infection and its prevalence in pigs on commercial farms in Spain. Vet. J. 2008, 175, 130–132. [Google Scholar] [CrossRef]
- Brooks, S.P.; Gelman, A. General methods for monitoring convergence of iterative simulations. J. Comput. Graph. Stat. 1998, 7, 434–455. [Google Scholar] [CrossRef]
- Gelman, A.; Rubin, D.B. Inference from iterative simulation using multiple sequences. Statist. Sci. 1992, 7, 457–472. [Google Scholar] [CrossRef]
- Withenshaw, S.M.; Grierson, S.S.; Smith, R.P. Study of Animal Mixing and the Dynamics of Hepatitis E Virus Infection on a Farrow-to-Finish Pig Farm. Animals 2022, 12, 272. [Google Scholar] [CrossRef]
- Leblanc, D.; Poitras, E.; Gagné, M.J.; Ward, P.; Houde, A. Hepatitis E virus load in swine organs and tissues at slaughterhouse determined by real-time RT-PCR. Int. J. Food Microbiol. 2010, 139, 206–209. [Google Scholar] [CrossRef] [PubMed]
- Choi, C.; Chae, C. Localization of swine hepatitis E virus in liver and extrahepatic tissues from naturally infected pigs by in situ hybridization. J. Hepatol. 2003, 38, 827–832. [Google Scholar] [CrossRef] [PubMed]
- Lee, Y.H.; Ha, Y.; Ahn, K.K.; Chae, C. Localisation of swine hepatitis E virus in experimentally infected pigs. Vet. J. 2009, 179, 417–421. [Google Scholar] [CrossRef]
- Johnson, W.O.; Gardner, I.A.; Metoyer, C.N.; Branscum, A.J. On the interpretation of test sensitivity in the two-test two-population problem: Assumptions matter. Prev. Vet. Med. 2009, 91, 116–121. [Google Scholar] [CrossRef] [PubMed]


| Model 1 Minimally Informative Priors | Model 2 Weakly Informative Priors | |||||||
|---|---|---|---|---|---|---|---|---|
| Model Parameter | α | β | Mode | SD | α | β | Mode | SD |
| Se (of 4 methods) | 1 | 1 | 0.5 | 0.29 | 1 | 1 | 0.5 | 0.29 |
| Sp (of 4 methods) | 1 | 1 | 0.5 | 0.29 | 1 | 1 | 0.5 | 0.29 |
| Prev. age group 1 | 1 | 1 | 0.5 | 0.29 | 6 | 14 | 0.3 | 0.1 |
| Prev. age group 2 | 1 | 1 | 0.5 | 0.29 | 18 | 2 | 0.9 | 0.07 |
| Prev. age group 3 | 1 | 1 | 0.5 | 0.29 | 12 | 8 | 0.6 | 0.1 |
| Prev. age group 4 | 1 | 1 | 0.5 | 0.29 | 2 | 18 | 0.1 | 0.07 |
| Parameter | Median (%) | 95% PCI | |
|---|---|---|---|
| Pen-level Prevalence | Age group 1 | 33.7 | 8.24–66.1 |
| Age group 2 | 88.8 | 62.6–99.7 | |
| Age group 3 | 88.8 | 63.0–99.7 | |
| Age group 4 | 11.3 | 0.31–37.1 | |
| Sensitivity | BS | 94.5 | 80.8–99.8 |
| FD | 94.4 | 80.3–99.8 | |
| P | 94.1 | 79.3–99.8 | |
| OF | 94.3 | 80.0–99.8 | |
| Specificity | BS | 21.7 | 5.13–46.2 |
| FD | 85.9 | 63.9–98.4 | |
| P | 92.7 | 74.9–99.8 | |
| OF | 71.2 | 45.4–90.9 |
Disclaimer/Publisher’s Note: The statements, opinions and data contained in all publications are solely those of the individual author(s) and contributor(s) and not of MDPI and/or the editor(s). MDPI and/or the editor(s) disclaim responsibility for any injury to people or property resulting from any ideas, methods, instructions or products referred to in the content. |
© 2023 by the authors. Licensee MDPI, Basel, Switzerland. This article is an open access article distributed under the terms and conditions of the Creative Commons Attribution (CC BY) license (https://creativecommons.org/licenses/by/4.0/).
Share and Cite
Meester, M.; Rademaker, A.; Bouwknegt, M.; Hakze-van der Honing, R.W.; Stegeman, A.; van der Poel, W.H.M.; Tobias, T.J. Evaluation of Non-Invasive Sampling Methods for Detection of Hepatitis E Virus Infected Pigs in Pens. Microorganisms 2023, 11, 500. https://doi.org/10.3390/microorganisms11020500
Meester M, Rademaker A, Bouwknegt M, Hakze-van der Honing RW, Stegeman A, van der Poel WHM, Tobias TJ. Evaluation of Non-Invasive Sampling Methods for Detection of Hepatitis E Virus Infected Pigs in Pens. Microorganisms. 2023; 11(2):500. https://doi.org/10.3390/microorganisms11020500
Chicago/Turabian StyleMeester, Marina, Aniek Rademaker, Martijn Bouwknegt, Renate W. Hakze-van der Honing, Arjan Stegeman, Wim H. M. van der Poel, and Tijs J. Tobias. 2023. "Evaluation of Non-Invasive Sampling Methods for Detection of Hepatitis E Virus Infected Pigs in Pens" Microorganisms 11, no. 2: 500. https://doi.org/10.3390/microorganisms11020500
APA StyleMeester, M., Rademaker, A., Bouwknegt, M., Hakze-van der Honing, R. W., Stegeman, A., van der Poel, W. H. M., & Tobias, T. J. (2023). Evaluation of Non-Invasive Sampling Methods for Detection of Hepatitis E Virus Infected Pigs in Pens. Microorganisms, 11(2), 500. https://doi.org/10.3390/microorganisms11020500

