Sign in to use this feature.

Years

Between: -

Subjects

remove_circle_outline
remove_circle_outline
remove_circle_outline
remove_circle_outline
remove_circle_outline
remove_circle_outline
remove_circle_outline
remove_circle_outline
remove_circle_outline

Journals

remove_circle_outline
remove_circle_outline
remove_circle_outline
remove_circle_outline
remove_circle_outline
remove_circle_outline
remove_circle_outline
remove_circle_outline
remove_circle_outline
remove_circle_outline
remove_circle_outline
remove_circle_outline
remove_circle_outline
remove_circle_outline
remove_circle_outline
remove_circle_outline
remove_circle_outline
remove_circle_outline
remove_circle_outline
remove_circle_outline
remove_circle_outline

Article Types

Countries / Regions

remove_circle_outline
remove_circle_outline
remove_circle_outline
remove_circle_outline
remove_circle_outline

Search Results (2,098)

Search Parameters:
Keywords = three Rs

Order results
Result details
Results per page
Select all
Export citation of selected articles as:
19 pages, 1054 KB  
Article
First Analysis of Mild Behavioral Impairment in a Sample of Mexican Older Adults
by Ángela Acosta-Amaya, Salvador Sánchez-Badajos, David J. Dávila-Ortiz de Montellano, Alberto Ortega-Vázquez, Ramiro Ruiz-Garcia, Nancy Monroy-Jaramillo and Yaneth Rodríguez-Agudelo
NeuroSci 2026, 7(2), 36; https://doi.org/10.3390/neurosci7020036 - 13 Mar 2026
Viewed by 53
Abstract
Mild behavioral impairment (MBI) constitutes a late-life transition state that is associated with an increased risk of cognitive impairment and dementia. Herein, we cross-sectionally describe the MBI construct and its relationship with cognitive status in Mexican-Mestizos (MM) older adults. Participants were classified according [...] Read more.
Mild behavioral impairment (MBI) constitutes a late-life transition state that is associated with an increased risk of cognitive impairment and dementia. Herein, we cross-sectionally describe the MBI construct and its relationship with cognitive status in Mexican-Mestizos (MM) older adults. Participants were classified according to their cognitive and behavioral statuses using tests administered to older adults and their informants. APOE_rs429358/rs7412 variants were genotyped by real-time PCR. Multivariate correlation and Principal Components Analysis (PCA) were used in statistical analysis. A total of 246 participants were included, 56.1% were classified as individuals with NC, 13.0% had subjective cognitive decline, and 30.9% had mild cognitive impairment. A total of 37% (91/246) of participants from all over the cognitive spectrum met the MBI criteria; among this group, APOEε4 homozygosity was associated with two subdomains of the MBI. Subjective cognitive complaint, symptoms of depression, and cognitive decline reported by the informant were associated with an increased risk for MBI (ORs in the range of 4.7–15.89). The first three components of PCA explained 68.0% of the variance of the dataset, including the MBI-checklist total score as a main contributor. Well-known risk factors for dementia also correlated with this PCA. MBI could be a potential marker for cognitive decline in non-demented MM elderly people; however, observed associations should be confirmed in future longitudinal studies. Full article
Show Figures

Figure 1

17 pages, 662 KB  
Article
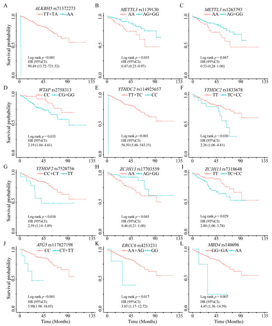
Genetic Variations in the M6A Modification Pathway as Potential Predictors of Imatinib Secondary Resistance in Gastrointestinal Stromal Tumors
by Baijun Zhou, Zhenchong Chen, Gengyi Zhang, Shaoxing Guan, Wei Zhuang, Min Huang, Haibo Qiu and Xueding Wang
J. Clin. Med. 2026, 15(6), 2183; https://doi.org/10.3390/jcm15062183 - 13 Mar 2026
Viewed by 68
Abstract
Background/Objectives: Imatinib mesylate (IM) is the first-line therapy for gastrointestinal stromal tumor (GIST). Emerging evidence suggests that genes involved in m6A modification, autophagy, and DNA damage repair pathways might contribute to IM secondary resistance and result in substantial inter-patient variability in treatment outcomes. [...] Read more.
Background/Objectives: Imatinib mesylate (IM) is the first-line therapy for gastrointestinal stromal tumor (GIST). Emerging evidence suggests that genes involved in m6A modification, autophagy, and DNA damage repair pathways might contribute to IM secondary resistance and result in substantial inter-patient variability in treatment outcomes. However, influence of the genetic variations in these genes on IM-treated GIST remains unclear. Methods: A total of 172 GIST patients treated with IM in Sun Yat-sen University Cancer Center from 2014 to 2018 were enrolled. A 6-month landmark analysis was applied to specifically investigate secondary resistance, restricting the cohort to patients alive and progression-free at 6 months. Tag single-nucleotide polymorphisms (SNPs) in 54 evidence-based candidate genes involved in m6A modification, autophagy, and DNA damage repair pathways were selected and genotyped. Associations between SNPs and progression-free survival (PFS) were assessed using univariate Cox regression and Kaplan–Meier analyses with time zero reset to the 6-month landmark. Identified SNPs were further analyzed in multivariable Cox models adjusted for demographic and clinical factors. Results: During a median follow-up of 53.62 months (range, 7.60–129.77) as of October 2023, 39 progression events occurred. Univariate analyses identified 12 SNPs located in 9 genes associated with PFS. After adjustment for demographic and clinical covariates, 10 SNPs remained associated with PFS. Of these, seven variants were located in m6A pathway genes (ALKBH5, METTL3, YTHDC2, and ZC3H13), four of which were associated with shorter PFS (e.g., YTHDC2 rs1833678 T > C, HR = 2.87, 95% CI: 1.18–7.03, p = 0.021) and three with longer PFS (e.g., METTL3 rs1263793 A > G, HR = 0.40, 95% CI: 0.20–0.83, p = 0.014) of progression. A cumulative genetic risk score based on the identified m6A SNPs was associated with PFS (p < 0.001). Additionally, one SNP in autophagy and two in DNA damage repair pathways also remained associated with PFS after adjustment. Conclusions: Genetic polymorphisms in the m6A modification genes, along with variants in autophagy and DNA damage repair pathways, were associated with PFS in IM-treated patients who had achieved initial disease control. The cumulative risk score based on m6A pathway variants showed a strong association with PFS. These findings provide preliminary, hypothesis-generating evidence that genetic variations may contribute to inter-patient variability in outcomes and warrant further investigation as potential biomarkers in IM-treated GIST. Full article
(This article belongs to the Section Gastroenterology & Hepatopancreatobiliary Medicine)
Show Figures

Figure 1

11 pages, 1081 KB  
Article
A Genome-Wide Association Study on Calcium Nephrolithiasis in Chinese Han Population Identifies Novel Susceptible Loci at 4q35.1, 5q31.2 and 18q21.2
by Lujia Wang, Zijian Zhou, Xiaoling Lin, Kangcheng Luo, Peng Gao, Deke Jiang and Zhong Wu
Genes 2026, 17(3), 313; https://doi.org/10.3390/genes17030313 - 10 Mar 2026
Viewed by 149
Abstract
Background: Nephrolithiasis is a significant global health and economic challenge, with an increasing prevalence and a high recurrence rate. However, there is limited knowledge regarding the potential associations between calcium nephrolithiasis risk and Chinese Han populations currently. Methods: To identify the [...] Read more.
Background: Nephrolithiasis is a significant global health and economic challenge, with an increasing prevalence and a high recurrence rate. However, there is limited knowledge regarding the potential associations between calcium nephrolithiasis risk and Chinese Han populations currently. Methods: To identify the genetic factors for calcium nephrolithiasis, we presented a genome-wide association study (GWAS) using a total of 1006 calcium nephrolithiasis cases and 1200 controls of Chinese Han ethnicity. Suggestive loci (p < 1.0 × 10−6) were replicated in 445 cases and 1008 controls. We also assessed the association of GWAS-level significant single-nucleotide polymorphisms (SNPs) with quantitative traits, including metabolic, kidney-related, and electrolyte traits. Results: Here we found three novel loci for calcium nephrolithiasis: SORBS2 on 4q35.1 (rs3736194; p = 2.84 × 10−13, OR = 0.6279), CXXC5 on 5q31.2 (rs356450; p = 6.09 × 10−16, OR = 2.0312), and MBD2 on 18q21.21 (rs55826947; p = 6.29 × 10−10, OR = 0.6017). Subsequent analyses revealed the association of SNP rs3736194 with higher serum carbon dioxide (p = 0.04666), rs356450 with lower serum chloride (p = 0.02992), and rs55826947 with higher BMI (p = 0.03174), respectively. Conclusions: We performed the first GWAS on calcium nephrolithiasis in a Chinese Han population cohort and identified three novel susceptibility loci on 4q35.1, 5q31.2, and 18q21.2. Further research into the molecular mechanisms underlying these variations in nephrolithiasis is warranted. Full article
Show Figures

Figure 1

17 pages, 320 KB  
Article
Association of Genetic Polymorphisms with Ischemic Sudden Cardiac Death: A Comparative Case–Control Study in North-Western Transylvania (Romania)
by Daniela Cristina Pavel (Mironescu), Costel Siserman, Mihaela Laura Vică Matei, Gheorghe Zsolt Nicula, Ștefana Bâlici, Bogdan-Alexandru Gheban, Ioana-Andreea Gheban-Roșca, Alexandra Șonfălean, Denisa Jurje, Denisa Lucian, Andrei Marușca, Daniel-Corneliu Leucuța and Horea-Vladi Matei
Biomedicines 2026, 14(3), 618; https://doi.org/10.3390/biomedicines14030618 - 10 Mar 2026
Viewed by 169
Abstract
Background/Objectives: Ischemic sudden cardiac death (SCD) is a devastating event that often occurs in apparently healthy individuals. Genetic susceptibility may play a key role in the pathogenesis of such ischemic events. This study aimed to investigate the correlations between Human Leukocyte Antigen [...] Read more.
Background/Objectives: Ischemic sudden cardiac death (SCD) is a devastating event that often occurs in apparently healthy individuals. Genetic susceptibility may play a key role in the pathogenesis of such ischemic events. This study aimed to investigate the correlations between Human Leukocyte Antigen (HLA) alleles, genotypes, and haplotypes and SCD to identify potential risk factors. This study also investigated three Single-Nucleotide Polymorphisms (SNPs) in the MYBPC3 gene and their association with SCD. Methods: We conducted an exploratory study between 2022 and 2024 in North-Western Transylvania (Romania) on 81 autopsy-confirmed SCD cases, compared with 162 controls for HLA typing, and with 96 controls for SNPs. HLA analysis of the HLA-DRB1 and HLA-DQB1 genes was performed using low-resolution SSP-PCR. The three SNPs in the MYBPC3 gene: rs142317339 (C > T), rs148808089 (G > A), and rs11570076 (G > A) were performed using a Real-Time PCR System. Results: The HLA-DRB1*07 allele has reduced odds of SCD, after adjustment for age and sex, and the HLA-DRB1*08 allele showed a trend toward increased odds. No statistically significant associations were detected at the allele or genotype level for HLA-DQB1. Haplotype-based analyses further revealed that genetic susceptibility is driven predominantly by low-frequency protective haplotypes rather than by common risk haplotypes, with several combinations conferring strong or moderate protection (HLA-DRB1*07~HLA-DQB1*03, HLA-DRB1*07~HLA-DQB1*02, and HLA-DRB1*15~HLA-DQB1*05). No statistically significant association was found between the three SNPs studied in the two groups, and their frequencies were very low. Conclusions: Specific HLA-DRB1 and HLA-DQB1 alleles and haplotypes may be associated with protection against SCD, supporting a possible immunogenetic role in SCD and the identification of genetic risk markers. Full article
13 pages, 2880 KB  
Article
Simultaneous Transmission of Discrete-Variable Quantum Key Distribution and Classical Optical Communication in Few-Mode Fiber
by Qi Zhao, Gang Wang, Li Pei, Jianjun Tang, Yuheng Xie, Zhenhua Li and Yang Liu
Entropy 2026, 28(3), 309; https://doi.org/10.3390/e28030309 - 9 Mar 2026
Viewed by 132
Abstract
Based on mode crosstalk theory, this paper develops a spontaneous Raman scattering (SpRS) model for the quantum-classical coexistence system using few-mode fiber (FMF) integrated with wavelength-division multiplexing (WDM) and spatial-division multiplexing (SDM). Through numerical calculations, the influence degrees of three factors (mode coupling, [...] Read more.
Based on mode crosstalk theory, this paper develops a spontaneous Raman scattering (SpRS) model for the quantum-classical coexistence system using few-mode fiber (FMF) integrated with wavelength-division multiplexing (WDM) and spatial-division multiplexing (SDM). Through numerical calculations, the influence degrees of three factors (mode coupling, the number of modes and wavelengths) on SpRS are analyzed. The investigation identifies the dominant contributors to SpRS and reveals their relative impact magnitudes. Based on these results, a ring-assisted FMF is proposed to mitigate noise impacts on quantum signals. The numerical results show that the optimized FMF enhances quantum signal transmission distance by up to 41.5%. Full article
(This article belongs to the Section Quantum Information)
Show Figures

Figure 1

12 pages, 286 KB  
Article
Association of Adiponectin Gene Polymorphism rs266729 in Obese People with Type Two Diabetes Mellitus in North Bulgaria’s Population
by Tihomir Rashev and Stefan Trifonov
Int. J. Mol. Sci. 2026, 27(5), 2359; https://doi.org/10.3390/ijms27052359 - 3 Mar 2026
Viewed by 365
Abstract
The alarming surge in obesity rates represents a critical health concern in developed nations. This condition is associated with several health issues grouped under the term metabolic syndrome. This alarming data mandates an investigation into the causes and risk of this syndrome. One [...] Read more.
The alarming surge in obesity rates represents a critical health concern in developed nations. This condition is associated with several health issues grouped under the term metabolic syndrome. This alarming data mandates an investigation into the causes and risk of this syndrome. One category of causes is genetic factors. The adiponectin gene has been subject to several studies exploring its single nucleotide polymorphisms, especially rs266729, across diverse populations. This study included 156 subjects. Body weight, body mass index, and blood pressure were measured, and levels of fasting plasma glucose (FPG), total cholesterol, triglycerides, HDL, and LDL were determined. Genotyping was performed. There was significant association of rs266729 polymorphism with obesity and type 2 diabetes mellitus (T2DM), with notably higher frequency of the G allele among these subjects. Additionally, the results demonstrated significant influence on the detected levels of HDL. Individuals carrying the homozygous (GG) and heterozygous (CG) genotypes exhibited a three-fold and two-fold increased risk of elevated FPG levels, respectively. There was also a significant association of these genotypes with T2DM when compared with the wild-type genotype (CC). These observations strongly indicated a potential involvement of the adiponectin gene polymorphism rs266729 in the pathogenesis of T2DM among subjects from North Bulgaria. Full article
(This article belongs to the Special Issue Progress in Adipokines Research in Cardiovascular Health and Diseases)
19 pages, 754 KB  
Article
Development of a Sex-Specific Prevalent Hypertension Discrimination Model in Korean Adults Using Genetic Risk Scores and Clinical Biomarkers: A Cross-Sectional Study
by Jua Park, Ximei Huang and Minjoo Kim
Curr. Issues Mol. Biol. 2026, 48(3), 271; https://doi.org/10.3390/cimb48030271 - 3 Mar 2026
Viewed by 1674
Abstract
Genetic and metabolic factors contribute to hypertension, yet integrated sex-specific models remain limited. In this cross-sectional study, we developed sex-specific models to discriminate prevalent hypertension discrimination by integrating genetic risk scores (GRSs) with metabolic and vascular biomarkers. From 2075 Korean adults, the final [...] Read more.
Genetic and metabolic factors contribute to hypertension, yet integrated sex-specific models remain limited. In this cross-sectional study, we developed sex-specific models to discriminate prevalent hypertension discrimination by integrating genetic risk scores (GRSs) with metabolic and vascular biomarkers. From 2075 Korean adults, the final models were evaluated using model-specific complete-case datasets (total n = 775; males n = 382; females n = 397). Blood pressure-related single-nucleotide polymorphisms (SNPs) were screened using genome-wide association analyses (p < 1 × 10−5), and selected variants were used to construct weighted GRSs. Models integrating GRSs with body mass index (BMI), brachial–ankle pulse wave velocity (ba-PWV), and urinary 8-epi-prostaglandin F (8-epi-PGF) were evaluated by multivariable logistic regression and receiver operating characteristic analysis, with 1000-bootstrap internal validation. Three SNPs formed the total-sample GRS (rs13175330, rs117559502, rs62099117; adjusted odds ratio [OR] = 3.20) and three formed the female GRS (rs13175330, rs6001482, rs62099117; adjusted OR = 2.80); no stable male-specific GRS met prespecified criteria. The final discrimination models achieved an area under the curve of 0.833 in the total sample and 0.913 in females (BMI + ba-PWV + 8-epi-PGF + GRS), and 0.758 in males (BMI + ba-PWV + 8-epi-PGF). These findings support sex-aware hypertension risk characterization and warrant external and prospective validation. Full article
Show Figures

Figure 1

17 pages, 1950 KB  
Article
Electrical Power Prediction Using RS-485 Power Meter: A PSO-Optimized XGBoost Approach for Industrial Smart Manufacturing
by Mulki Indana Zulfa, Adhe Akbar Azanni, Muhammad Syaiful Aliim, Ari Fadli, Waleed Ali and Talal A. A. Abdullah
Information 2026, 17(3), 251; https://doi.org/10.3390/info17030251 - 3 Mar 2026
Viewed by 215
Abstract
Accurate electrical power prediction is increasingly critical in industrial smart manufacturing environments, where energy fluctuations and demand variability pose significant operational challenges under the industry 4.0 paradigm. Existing approaches often rely on simulated or secondary data and lack integration with industrial-grade communication protocols, [...] Read more.
Accurate electrical power prediction is increasingly critical in industrial smart manufacturing environments, where energy fluctuations and demand variability pose significant operational challenges under the industry 4.0 paradigm. Existing approaches often rely on simulated or secondary data and lack integration with industrial-grade communication protocols, limiting their practical applicability. Incorporating machine learning with real-time data collection is essential for progressing industrial predictive monitoring. This research presents a framework to forecast electrical power usage by utilizing the RS-485 protocol to enhance smart manufacturing processes. The dataset used was obtained from a power meter, recorded over a period of 135 min, resulting in 3100 data. Three learning methods—Random Forest, Extra Trees, and XGBoost—were analyzed, with XGBoost being further refined through PSO for tuning hyperparameters. The models were trained on datasets that included voltage, current, frequency, and power factor, and their effectiveness was evaluated using time-based predictions, standard metrics, and error distributions through cross-validation. The findings illustrate that the PSO-XGBoost consistently surpasses the default XGBoost baseline R2 of 0.5746, achieving MAE of 0.14 W, RMSE of 0.21 W, and R2 of 0.8355, representing improvements of 41.67% in MAE, 38.24% in RMSE, and 45.40% in R2. The RS-485 protocol enables seamless integration with existing industrial infrastructure, supporting anomaly detection and energy optimization aligned with Industry 4.0 interoperability objectives. Full article
Show Figures

Figure 1

28 pages, 4171 KB  
Article
P2X7R Signaling and Differential Regulation of Neuroinflammatory and Behavior Responses in Male and Female Mice During Chronic Ethanol Exposure
by Namdev S. Togre, Priyanka S. Bhoj, Naveen Mekala, Jayshil Trivedi, Malika Y. Winfield, Rebecca E. Hancock, Uma Sriram, Slava Rom and Yuri Persidsky
Int. J. Mol. Sci. 2026, 27(5), 2332; https://doi.org/10.3390/ijms27052332 - 2 Mar 2026
Viewed by 334
Abstract
Chronic alcohol exposure disrupts blood–brain barrier (BBB) integrity and promotes neuroinflammation, with P2X7 receptor (P2X7R) signaling playing a critical role. Our prior work in male mice linked P2X7R inhibition to reduced extracellular adenosine triphosphate (eATP) release, modulated extracellular vesicle (EV) cargo, and attenuated [...] Read more.
Chronic alcohol exposure disrupts blood–brain barrier (BBB) integrity and promotes neuroinflammation, with P2X7 receptor (P2X7R) signaling playing a critical role. Our prior work in male mice linked P2X7R inhibition to reduced extracellular adenosine triphosphate (eATP) release, modulated extracellular vesicle (EV) cargo, and attenuated neuroinflammation in chronic intermittent ethanol (CIE)-exposed mice. However, sex-specific roles of P2X7R signaling and EV-mediated mechanisms in alcohol-induced neuroinflammation remain unclear. Male and female mice were exposed to ethanol vapor for three weeks and treated with Brilliant Blue G (BBG), a P2X7R inhibitor. Compared to their respective CIE-unexposed controls, brain gene expression of tumor necrosis factor–α (Tnf-α), interleukin-1 beta (Il-1b), interleukin-6 (Il-6), monocyte chemoattractant protein-1 (Mcp-1), and Fas ligand (Fasl) significantly increased in CIE-exposed males, while only Il-1b increased in females. P2X7R inhibition significantly reduced these cytokines. Pericyte immunostaining was decreased by CIE (indicating BBB injury) in male mice only and was restored by P2X7R inhibition with no difference between groups in females. Occludin staining (another BBB marker) did not differ between the treatment groups in male and female animals. Circulating cytokines (Macrophage inflammatory protein-1 alpha (MIP-1α), tumor necrosis factor–α (TNF-α), interleukin-1 beta (IL-1β), and interleukin-27 subunit p28/interleukin-30 (IL-27p28/IL-30) were significantly elevated in CIE-exposed males but not in females, with BBG treatment reducing cytokines in males. Circulating eATP, P2X7Rs, P-glycoprotein (P-gp), EVs, and EV-mtDNA, which we identified in our previous study, were increased in both sexes and partially decreased by P2X7R blockade. Spatial memory was impaired by CIE exposure in males but not females, and this deficit was reversed by BBG treatment. Our findings reveal sex differences in CIE-induced circulating cytokines, neuroinflammation, and memory impairment, with a stronger response in males. However, other markers of cell injury associated with CIE exposure were upregulated in both sexes; P2X7R inhibition effectively mitigated these effects, highlighting the functional relevance of targeting the P2X7R in alcohol-induced injury. Full article
Show Figures

Figure 1

12 pages, 3781 KB  
Article
The Role of Leukoaraiosis and Microbleeds in Acute Ischemic Stroke Outcome Prediction
by Aleksandra Aracki-Trenkic, Dunja Radovanović, Bruno Law-ye, Didier Dormont, Nadya Pyatigorskaya and Milica Živanović
J. Clin. Med. 2026, 15(5), 1879; https://doi.org/10.3390/jcm15051879 - 1 Mar 2026
Viewed by 198
Abstract
Background/Objectives: Acute ischemic stroke (AIS) is one of the leading causes of mortality worldwide and the primary cause of acquired neurological disability in adults. As part of a stroke magnetic resonance (MR) protocol, fluid-attenuated inversion recovery (FLAIR) plays an important role in [...] Read more.
Background/Objectives: Acute ischemic stroke (AIS) is one of the leading causes of mortality worldwide and the primary cause of acquired neurological disability in adults. As part of a stroke magnetic resonance (MR) protocol, fluid-attenuated inversion recovery (FLAIR) plays an important role in the detection and assessment of the degree of leukoaraiosis (LA), while susceptibility-weighted angiography (SWAN) detects cerebral microbleeds (CMBs). The present study sought to examine the association of the degree of LA and CMBs with absolute cerebral blood flow (aCBF) values and functional outcome prediction in patients with AIS. Methods: We conducted a cross-sectional study including a total of 205 male and female patients. All of the patients underwent brain magnetic resonance imaging (MRI) examinations in the first 24 h following suspected AIS, using the stroke protocol. A modified Rankin scale (mRS) was used to evaluate the degree of functional dependence and disability three months after AIS. Results: The incidence of an unfavorable functional outcome evidently increased with more pronounced LA modalities (p < 0.05; χ2 test). The Kruskal–Wallis test found a statistically significant difference in aCBF values in relation to a degree of LA (p < 0.05). As there were a small number of multiple CMBs, no statistically significant difference was found based on the detection and degree of CMBs with aCBF and functional outcome; hence, the hypothesis was not entirely confirmed. Conclusions: This study indicates the reliability of MRI application in the initial diagnostic evaluation in order to gain an additional insight into the prediction of AIS outcomes. We demonstrated that LA correlates significantly with an unfavorable functional outcome after AIS, with decreased perfusion values. On the other hand, a higher proportion of unfavorable functional outcomes was observed in patients with CMBs. However, this result was not statistically significant and should be interpreted with caution. Full article
Show Figures

Figure 1

24 pages, 1561 KB  
Article
Rough Sets Meta-Heuristic Schema for Inverse Kinematics and Path Planning of Surgical Robotic Arms
by Nizar Rokbani
Robotics 2026, 15(3), 52; https://doi.org/10.3390/robotics15030052 - 28 Feb 2026
Viewed by 173
Abstract
Surgical robots require sub-millimeter accuracy and reliable inverse kinematics across anatomies. Population-based metaheuristics address this, but static parameters may limit achieving the needed precision for clinical use. This study introduces the Rough Sets Meta-Heuristic Schema (RSMS) for dynamic, context-aware control. RSMS categorizes agents [...] Read more.
Surgical robots require sub-millimeter accuracy and reliable inverse kinematics across anatomies. Population-based metaheuristics address this, but static parameters may limit achieving the needed precision for clinical use. This study introduces the Rough Sets Meta-Heuristic Schema (RSMS) for dynamic, context-aware control. RSMS categorizes agents (Elite, Boundary, Poor) via Rough Set discretization based on fitness and distribution, allocating resources accordingly without problem-specific heuristics. To demonstrate the approach’s effectiveness, RSMS was implemented within Particle Swarm Optimization and evaluated as a surgical robotics inverse kinematics solver and path planner. In simulations using three surgical problems, RS-PSO allowed upgrading of the performance of the standard PSO in terms of consistent convergence and success in tight search spaces. Statistical tests confirmed these improvements. Using a 7-DOF KUKA LBR iiwa robot and surgical benchmarks of landmark acquisition, spiral trajectory tracking, and constrained path, RS-PSO achieved success rates of 100%, 67%, and 100%, respectively, meeting surgical requirements. The results demonstrate clinical gains in accuracy, consistency, and reproducibility for minimally invasive surgery. These findings support the practical advantages of RS-PSO and, more importantly, show that the RS-MH framework can be used as a general, reusable tool to improve the robustness, precision, and reproducibility of many swarm-based meta-heuristics for surgical robotics and other applications. Full article
(This article belongs to the Section AI in Robotics)
Show Figures

Figure 1

24 pages, 24084 KB  
Article
Comparative Analysis of Planetary Boundary Layer Heights During the BELLA CIAO Measurement Campaign in Italy
by Andreu Salcedo-Bosch, Francesc Rocadenbosch, Kefei Zhang, Carina Inés Argañaraz, Gabriele Curci, Aldo Amodeo, Alberto Arienzo, Giuseppe D’Amico, Benedetto De Rosa, Ilaria Gandolfi, Paolo Di Girolamo, Lucia Mona, Fabrizio Marra, Michail Mytilinaios, Marco Rosoldi, Donato Summa, Gemine Vivone, Marco Di Paolantonio and Simone Lolli
Remote Sens. 2026, 18(5), 730; https://doi.org/10.3390/rs18050730 - 28 Feb 2026
Viewed by 264
Abstract
This study presents an intercomparison of planetary boundary layer height (PBLH) estimates derived from three distinct approaches: the Morphological Image Processing Approach (MIPA) algorithm applied to ground-based lidar measurements, European Centre for Medium-Range Weather Forecasts (ECMWF) Reanalysis 5th Generation (ERA5) and Modern-Era Retrospective [...] Read more.
This study presents an intercomparison of planetary boundary layer height (PBLH) estimates derived from three distinct approaches: the Morphological Image Processing Approach (MIPA) algorithm applied to ground-based lidar measurements, European Centre for Medium-Range Weather Forecasts (ECMWF) Reanalysis 5th Generation (ERA5) and Modern-Era Retrospective Analysis for Research and Applications Version 2 (MERRA-2) reanalysis model outputs, and radiosonde (RS) observations, this latter being taken as reference. The intercomparison was conducted during three measurement episodes, encompassing a total of 153 h (6 days), as part of the Boundary Layer Extensive Campaign with muLti-instrumentaL Analysis (BELLA), carried out in spring and early summer 2024 at the CNR-IMAA Atmospheric Observatory (CIAO) in southern Italy (40.60N, 15.72E). The study provides insights into the performance and reliability of these PBLH estimation approaches under diverse atmospheric scenarios. Visual and statistical analyses of selected case studies indicate that MIPA often tracked the aerosol layering structure and diurnal PBLH evolution more closely than ERA5 and MERRA-2, particularly during convective growth and evening transitions. On the other hand, it is found that ERA5 provides more accurate estimates of the nighttime PBLH, where MIPA shows poor nighttime estimation capabilities. Quantitative comparison against radiosonde data reveals that MIPA reaches a weighted root mean square error (RMSEw) of 380±41 m with a coefficient of determination (R2) of 0.68±0.16, while ERA5 shows an RMSEw of 292±72 m and an R2 of 0.81±0.11; and MERRA-2 shows an RMSEw of 631±124 m and an R2 of 0.34±0.21. By combining MIPA daytime and ERA5 nighttime PBLH, the overall results are improved, obtaining an R2=0.86±0.08 and an RMSEw of 213±40 m. This intercomparison highlights the strengths and limitations of each method and demonstrates the benefits of combining complementary PBLH retrieval techniques. The findings contribute to refining boundary layer monitoring methodologies and provide guidance for operational atmospheric observation networks. Full article
(This article belongs to the Section Atmospheric Remote Sensing)
Show Figures

Figure 1

16 pages, 2920 KB  
Article
Optimizing Rheology and Structure of Silver Pastes for Screen-Printed Silicon Solar Cells
by Baisen Hou, Zhiqiang Xia, Zhen Pang, Xinyu Zhou, Zhuo Qian, Wei Li, Mengyao Chai, Jiantao Yin, Junpeng Li, Xianglei Yu and Guoyou Gan
Materials 2026, 19(5), 918; https://doi.org/10.3390/ma19050918 - 27 Feb 2026
Viewed by 234
Abstract
Solar energy, as a clean and renewable resource, plays a pivotal role in advancing sustainable energy technologies. The efficiency of front-side silver paste is critical for the photovoltaic performance of Tunnel Oxide Passivated Contact (TOPCon) solar cells. In this study, we comprehensively investigated [...] Read more.
Solar energy, as a clean and renewable resource, plays a pivotal role in advancing sustainable energy technologies. The efficiency of front-side silver paste is critical for the photovoltaic performance of Tunnel Oxide Passivated Contact (TOPCon) solar cells. In this study, we comprehensively investigated how the composition of organic vehicles in conductive pastes influences both printing rheological properties and electrical performance. Through rheological characterization, contact angle measurements, and Three-Interval Thixotropy Tests (3ITT), we examined the effects of varying solvent, binder, and thixotropic agent ratios on paste properties. The optimized formulation—a solvent mixture of lauryl alcohol ester (TE), butyl carbitol (DGME), butyl carbitol acetate (BCA), and dibutyl phthalate (DBP) in a 3:4:2:1 ratio, with ethyl cellulose (EC) STD10 as the binder and a polyamide wax (PAW)–hydrogenated castor oil (HCO) thixotropic agent at a 3:1 mass ratio—demonstrated superior viscosity control and rapid structural recovery. Printed grid lines achieved a height-to-width ratio (H/W) of 0.35 and a sheet resistance (Rs) of 1.43 Ω/□. These findings reveal direct relationships between organic vehicle composition, paste rheology, and functional performance, providing practical guidance for the design and optimization of high-performance conductive pastes for c-Si solar cells. This work establishes a foundation for improving both the efficiency and reliability of next-generation silver paste formulations in photovoltaic applications. Full article
(This article belongs to the Section Electronic Materials)
Show Figures

Figure 1

21 pages, 3404 KB  
Review
Galanin Receptors in the Central Nervous System: Exploring Ligand Interactions, Signal Transduction, and Potential Clinical Implications
by Anna Owczarek and Kamilla Blecharz-Klin
Molecules 2026, 31(5), 792; https://doi.org/10.3390/molecules31050792 - 27 Feb 2026
Viewed by 191
Abstract
Galanin is a highly conserved neuropeptide widely expressed in the central nervous system (CNS), where it regulates neurotransmission, neuroplasticity, and neuroendocrine functions. Its effects are mediated through three G protein-coupled galanin receptor subtypes, GalR1, GalR2, and GalR3, each exhibiting distinct tissue distributions, ligand [...] Read more.
Galanin is a highly conserved neuropeptide widely expressed in the central nervous system (CNS), where it regulates neurotransmission, neuroplasticity, and neuroendocrine functions. Its effects are mediated through three G protein-coupled galanin receptor subtypes, GalR1, GalR2, and GalR3, each exhibiting distinct tissue distributions, ligand affinities, and intracellular signaling mechanisms. Endogenous ligands, including galanin, galanin-like peptide (GALP), and spexin, interact with these receptors to trigger receptor-specific pathways, such as adenylyl cyclase (AC) inhibition (GalR1/GalR3) and phospholipase C-mediated calcium signaling (GalR2), enabling modulation of neuronal excitability, neurotransmitter release, and cell survival. Exogenous ligands, including peptide analogs and non-peptide agonists, have further elucidated receptor function and highlighted opportunities for pharmacological intervention. Preclinical evidence demonstrates that targeting galanin receptors (GalRs) can influence mood, cognition, pain perception, epilepsy, metabolic regulation, and neuroprotection, suggesting therapeutic potential across diverse CNS disorders. By integrating knowledge of ligand–receptor interactions and downstream signaling, this review highlights the central role of GalRs in CNS physiology and their emerging relevance as targets for clinical applications. Full article
Show Figures

Figure 1

13 pages, 682 KB  
Article
Familial Cases of Legg–Calvé–Perthes Disease—Hemostatic and Molecular Markers
by Edgar Hernández-Zamora, Armando Odiseo Rodríguez-Olivas, Marlene Alejandra Galicia-Alvarado, Leonora Casas-Ávila, Erika Rosales-Cruz, Cesar Zavala-Hernández and Elba Reyes-Maldonado
Int. J. Mol. Sci. 2026, 27(5), 2195; https://doi.org/10.3390/ijms27052195 - 26 Feb 2026
Viewed by 269
Abstract
Legg–Calvé–Perthes disease (LCPD) is a rare disease caused by avascular necrosis of the femoral head. Although its etiology is still not fully understood, evidence suggests that heritable prothrombotic and inflammatory factors, as well as environmental factors, may be implicated in its onset and [...] Read more.
Legg–Calvé–Perthes disease (LCPD) is a rare disease caused by avascular necrosis of the femoral head. Although its etiology is still not fully understood, evidence suggests that heritable prothrombotic and inflammatory factors, as well as environmental factors, may be implicated in its onset and progress. The objective of this study is to describe the genetic, biochemical, and environmental factors that may be associated with the etiology of LCPD. This study was conducted in three families and included seven related patients with an LCPD diagnosis. We evaluated the following gene alterations using real-time PCR: MTHFR, CBS, COL1A1, COL2A1, PT, FVL, FVIII, FIX, PAI-1, eNOS, IL-23R, TNF-α, RANNK, RANNK-L, OPG and IL-6. Additionally, we assessed fourteen thrombophilia-associated biochemical markers, as well as environmental factors that may be associated with the etiology of LCPD in family cases. The results show different hemostatic alterations in every individual analyzed, presenting out-of-range values in one or more parameters. Concentrations of hemoglobin and fibrinogen and the FIX activity percentage showed statistically significant differences (p < 0.001) when compared with healthy controls. All patients presented at least one mutated allele for the MTFHR (rs1801133), IL-23R (rs1569922) and OPG (rs2073618) polymorphisms, as well as isolated cases with other genetic variants. Our results show environmental elements from every family, and hemostatic and inflammatory disorders, may be involved in the development of LCPD. Furthermore, genetic variants could contribute to the onset of the disease. This study highlights the multifactorial nature of this pathology, involving various environmental, genetic, inflammatory, and prothrombotic factors in three families that included seven patients diagnosed with LCPD. Full article
(This article belongs to the Section Molecular Biology)
Show Figures

Figure 1

Back to TopTop