Population Pharmacokinetic and Pharmacodynamic Analysis for Maximizing the Effectiveness of Ceftobiprole in the Treatment of Severe Methicillin-Resistant Staphylococcal Infections
Abstract
:1. Introduction
2. Materials and Methods
2.1. Study Design
2.2. Drug Analysis
2.3. Population Pharmacokinetic Modelling
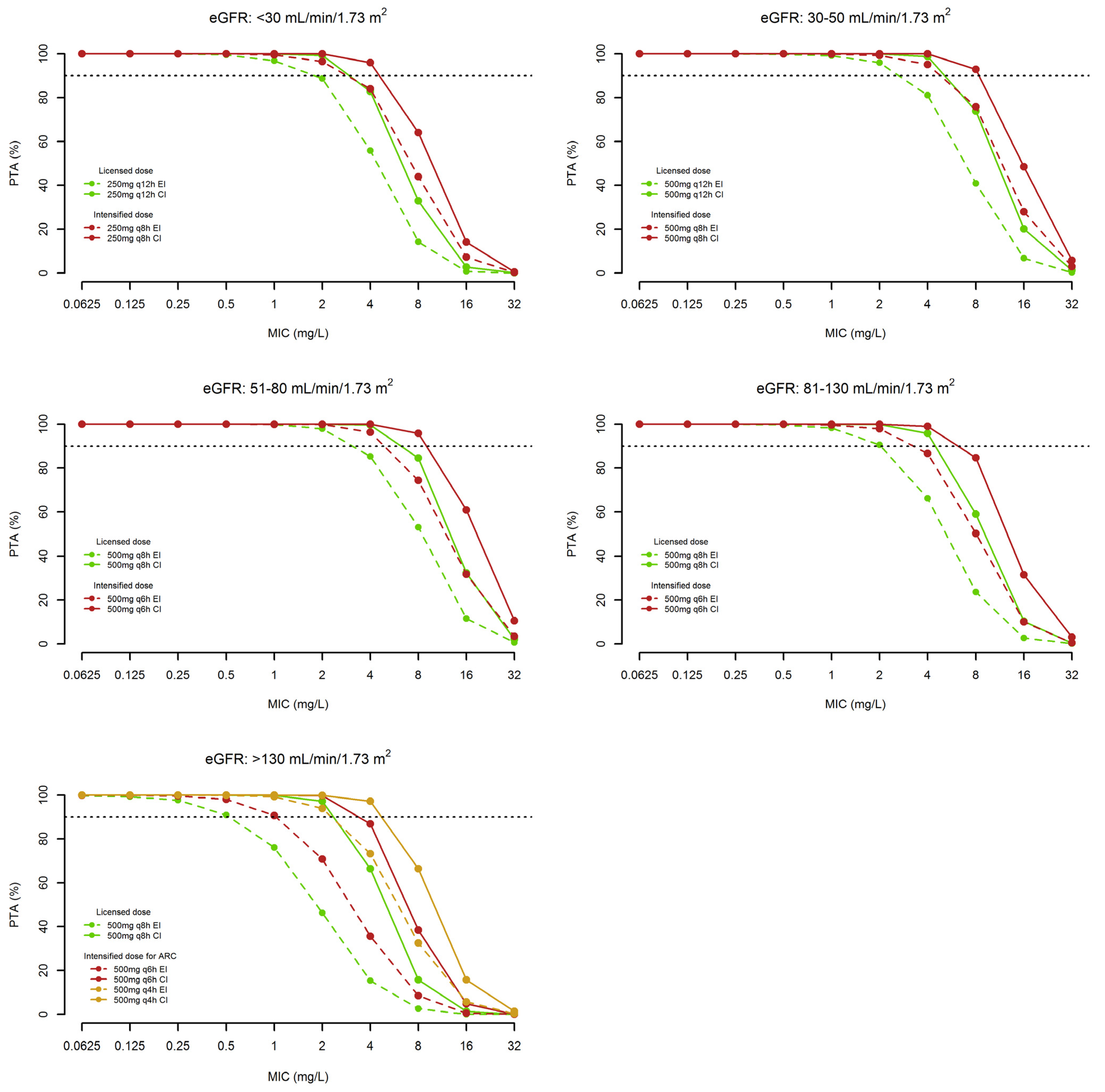
2.4. Monte Carlo Simulation and Probability of Target Attainment
3. Results
3.1. Study Population
3.2. Population Pharmacokinetic Modelling
3.3. Monte Carlo Simulation for Estimating PK/PD Target Attainment
4. Discussion
5. Conclusions
Author Contributions
Funding
Data Availability Statement
Conflicts of Interest
References
- Farrell, D.J.; Flamm, R.K.; Sader, H.S.; Jones, R.N. Ceftobiprole activity against over 60,000 clinical bacterial pathogens isolated in Europe, Turkey, and Israel from 2005 to 2010. Antimicrob. Agents Chemother. 2014, 58, 3882–3888. [Google Scholar] [CrossRef]
- Farrell, D.J.; Flamm, R.K.; Sader, H.S.; Jones, R.N. Activity of ceftobiprole against methicillin-resistant Staphylococcus aureus strains with reduced susceptibility to daptomycin, linezolid or vancomycin, and strains with defined SCCmec types. Int. J. Antimicrob. Agents 2014, 43, 323–327. [Google Scholar] [CrossRef]
- Lascols, C.; Legrand, P.; Merens, A.; Leclercq, R.; Muller-Serieys, C.; Drugeon, H.B.; Kitzis, M.D.; Reverdy, M.E.; Roussel-Delvallez, M.; Moubareck, C.; et al. In vitro antibacterial activity of ceftobiprole against clinical isolates from French teaching hospitals: Proposition of zone diameter breakpoints. Int. J. Antimicrob. Agents 2011, 37, 235–239. [Google Scholar] [CrossRef]
- Giacobbe, D.R.; De Rosa, F.G.; Del Bono, V.; Grossi, P.A.; Pea, F.; Petrosillo, N.; Rossolini, G.M.; Tascini, C.; Tumbarello, M.; Viale, P.; et al. Ceftobiprole: Drug evaluation and place in therapy. Expert Rev. Anti-Infect. Ther. 2019, 17, 689–698. [Google Scholar] [CrossRef]
- Falco, V.; Burgos, J.; Almirante, B. Ceftobiprole medocaril for the treatment of community-acquired pneumonia. Expert Opin. Pharmacother. 2018, 19, 1503–1509. [Google Scholar] [CrossRef]
- Torres, A.; Mouton, J.W.; Pea, F. Pharmacokinetics and Dosing of Ceftobiprole Medocaril for the Treatment of Hospital- and Community-Acquired Pneumonia in Different Patient Populations. Clin. Pharmacokinet. 2016, 55, 1507–1520. [Google Scholar] [CrossRef]
- Syed, Y.Y. Ceftobiprole medocaril: A review of its use in patients with hospital- or community-acquired pneumonia. Drugs 2014, 74, 1523–1542. [Google Scholar] [CrossRef]
- Scheeren, T.W. Ceftobiprole medocaril in the treatment of hospital-acquired pneumonia. Future Microbiol. 2015, 10, 1913–1928. [Google Scholar] [CrossRef]
- Murthy, B.; Schmitt-Hoffmann, A. Pharmacokinetics and pharmacodynamics of ceftobiprole, an anti-MRSA cephalosporin with broad-spectrum activity. Clin. Pharmacokinet. 2008, 47, 21–33. [Google Scholar] [CrossRef]
- Craig, W.A.; Andes, D.R. In vivo pharmacodynamics of ceftobiprole against multiple bacterial pathogens in murine thigh and lung infection models. Antimicrob. Agents Chemother. 2008, 52, 3492–3496. [Google Scholar] [CrossRef]
- Laohavaleeson, S.; Tessier, P.R.; Nicolau, D.P. Pharmacodynamic characterization of ceftobiprole in experimental pneumonia caused by phenotypically diverse Staphylococcus aureus strains. Antimicrob. Agents Chemother. 2008, 52, 2389–2394. [Google Scholar] [CrossRef]
- Muller, A.E.; Punt, N.; Mouton, J.W. Exposure to ceftobiprole is associated with microbiological eradication and clinical cure in patients with nosocomial pneumonia. Antimicrob. Agents Chemother. 2014, 58, 2512–2519. [Google Scholar] [CrossRef] [PubMed]
- Cojutti, P.G.; Gatti, M.; Rinaldi, M.; Tonetti, T.; Laici, C.; Mega, C.; Siniscalchi, A.; Giannella, M.; Viale, P.; Pea, F. Impact of Maximizing Css/MIC Ratio on Efficacy of Continuous Infusion Meropenem Against Documented Gram-Negative Infections in Critically Ill Patients and Population Pharmacokinetic/Pharmacodynamic Analysis to Support Treatment Optimization. Front. Pharmacol. 2021, 12, 781892. [Google Scholar] [CrossRef] [PubMed]
- Diamantis, S.; Chakvetadze, C.; de Pontfarcy, A.; Matta, M. Optimizing Betalactam Clinical Response by Using a Continuous Infusion: A Comprehensive Review. Antibiotics 2023, 12, 1052. [Google Scholar] [CrossRef] [PubMed]
- Roberts, J.A.; Abdul-Aziz, M.H.; Davis, J.S.; Dulhunty, J.M.; Cotta, M.O.; Myburgh, J.; Bellomo, R.; Lipman, J. Continuous versus Intermittent beta-Lactam Infusion in Severe Sepsis. A Meta-analysis of Individual Patient Data from Randomized Trials. Am. J. Respir. Crit. Care Med. 2016, 194, 681–691. [Google Scholar] [CrossRef] [PubMed]
- Cook, A.M.; Hatton-Kolpek, J. Augmented Renal Clearance. Pharmacotherapy 2019, 39, 346–354. [Google Scholar] [CrossRef] [PubMed]
- Holland, T.L.; Cosgrove, S.E.; Doernberg, S.B.; Jenkins, T.C.; Turner, N.A.; Boucher, H.W.; Pavlov, O.; Titov, I.; Kosulnykov, S.; Atanasov, B.; et al. Ceftobiprole for Treatment of Complicated Staphylococcus aureus Bacteremia. N. Engl. J. Med. 2023, 389, 1390–1401. [Google Scholar] [CrossRef]
- Levey, A.S.; Stevens, L.A.; Schmid, C.H.; Zhang, Y.L.; Castro, A.F., 3rd; Feldman, H.I.; Kusek, J.W.; Eggers, P.; Van Lente, F.; Greene, T.; et al. A new equation to estimate glomerular filtration rate. Ann. Intern. Med. 2009, 150, 604–612. [Google Scholar] [CrossRef] [PubMed]
- Mula, J.; Chiara, F.; Manca, A.; Palermiti, A.; Maiese, D.; Cusato, J.; Simiele, M.; De Rosa, F.G.; Di Perri, G.; De Nicolo, A.; et al. Analytical validation of a novel UHPLC-MS/MS method for 19 antibiotics quantification in plasma: Implementation in a LC-MS/MS Kit. Biomed. Pharmacother. Biomed. Pharmacother. 2023, 163, 114790. [Google Scholar] [CrossRef]
- The European Committee on Antimicrobial Susceptibility Testing-EUCAST. Available online: https://www.eucast.org/mic_distributions_and_ecoffs (accessed on 21 October 2023).
- Lodise, T.P., Jr.; Pypstra, R.; Kahn, J.B.; Murthy, B.P.; Kimko, H.C.; Bush, K.; Noel, G.J.; Drusano, G.L. Probability of target attainment for ceftobiprole as derived from a population pharmacokinetic analysis of 150 subjects. Antimicrob. Agents Chemother. 2007, 51, 2378–2387. [Google Scholar] [CrossRef]
- Kimko, H.; Murthy, B.; Xu, X.; Nandy, P.; Strauss, R.; Noel, G.J. Population pharmacokinetic analysis of ceftobiprole for treatment of complicated skin and skin structure infections. Antimicrob. Agents Chemother. 2009, 53, 1228–1230. [Google Scholar] [CrossRef] [PubMed]
- Muller, A.E.; Schmitt-Hoffmann, A.H.; Punt, N.; Mouton, J.W. Monte Carlo simulations based on phase 1 studies predict target attainment of ceftobiprole in nosocomial pneumonia patients: A validation study. Antimicrob. Agents Chemother. 2013, 57, 2047–2053. [Google Scholar] [CrossRef] [PubMed]
- Muller, A.E.; Punt, N.; Engelhardt, M.; Schmitt-Hoffmann, A.H.; Mouton, J.W. Pharmacokinetics and Target Attainment of Ceftobiprole in Asian and Non-Asian Subjects. Clin. Pharmacol. Drug Dev. 2018, 7, 781–787. [Google Scholar] [CrossRef] [PubMed]
- Gatti, M.; Pea, F. Jumping into the future: Overcoming pharmacokinetic/pharmacodynamic hurdles to optimize the treatment of severe difficult to treat-Gram-negative infections with novel beta-lactams. Expert Rev. Anti-Infect. Ther. 2023, 21, 149–166. [Google Scholar] [CrossRef]
- Abdul-Aziz, M.H.; Alffenaar, J.C.; Bassetti, M.; Bracht, H.; Dimopoulos, G.; Marriott, D.; Neely, M.N.; Paiva, J.A.; Pea, F.; Sjovall, F.; et al. Antimicrobial therapeutic drug monitoring in critically ill adult patients: A Position Paper#. Intensive Care Med. 2020, 46, 1127–1153. [Google Scholar] [CrossRef]




| Characteristic | Value | |
|---|---|---|
| Age (years) | 71.0 (61.8–79.0) | |
| Gender (male/female) | 86/46 | |
| Body weight (kg) | 73.5 (65.0–89.0) | |
| BMI (kg/m2) | 25.7 (22.5–30.1) | |
| Serum creatinine (mg/dL) | 0.90 (0.68–1.36) | |
| eGFR (mL/min/1.73 m2) | 83.7 (50.5–101.7) | |
| Serum albumin (g/L) | 3.1 (2.7–3.4) | |
| Type of infection, n (%) | ||
| Hospital-acquired pneumonia | 38 (28.8) | |
| Endocarditis | 27 (20.5) | |
| Bloodstream infection | 22 (16.6) | |
| Community-acquired pneumonia | 20 (15.2) | |
| Bone and joint infections | 9 (6.8) | |
| Skin and soft tissue infections | 9 (6.8) | |
| Device-related infections | 4 (3.0) | |
| CNS infections | 3 (2.3) | |
| Patients with identified microbiological isolates, n (%) | 80 (60.6) | |
| Ceftobiprole treatment | ||
| Median dose (mg daily) | 1500 (1000–1500) | |
| Trough concentration (mg/L) | 7.6 (4.9–11.7) | |
| Length of treatment (days) | 10.0 (2.0–81.0) | |
| Patients with co-administered antibiotics, n (%) | 88 (66.7) | |
| Treatment outcome in assessable patients (n = 126) | ||
| N. of patients with microbiological eradication | 118 (96.7) | |
| N. of patients with clinical cure | 88 (69.8) | |
| Parameter | Base Model Estimate (% RSE) | Covariate Model Estimate (% RSE) | Bootstrap Median (95% CI) | |
|---|---|---|---|---|
| Typical values | ||||
| CL (L/h) | 3.43 (7.33) | 1.7 (11.9) | 1.63 (1.48–1.76) | |
| V1 (L) | 21.29 (13.5) | 14.77 (19.7) | 14.12 (14.37–16.72) | |
| Q2 (L/h) | 7.12 (19.0) | 6.11 (13.6) | 6.54 (5.89–7.61) | |
| V2 (L) | 35.79 (44.2) | 46.16 (34.8) | 46.56 (38.75–50.76) | |
| Q3 (L/h) | 4.04 (31.5) | 42.41 (61.6) | 44.71 (31.57–67.84) | |
| V3 (L) | 4.08 (26.9) | 4.76 (13.9) | 4.74 (4.30–6.00) | |
| Covariate effect | ||||
| eGFR on CL | - | 0.011 (12.6) | 0.01 (0.010–0.012) | |
| Gender on V1 | - | 0.39 (54.8) | 0.38 (0.29–0.49) | |
| Inter-individual variability | ||||
| on CL (%CV) | 61.9 (8.6) | 47.4 (8.43) | 47.38 (43.92–50.90) | |
| on V1 (%CV) | 68.5 (29.6) | 75.3 (19.4) | 79.52 (50.91–93.09) | |
| on Q2 (%CV) | 29.6 (46.5) | 35.0 (34.5) | 21.23 (16.10–37.19) | |
| on V2 (%CV) | 717.4 (21.2) | 268.1 (19.4) | 477.17 (224.12–762.68) | |
| on Q3 (%CV) | 80.9 (37.6) | 235.2 (45.1) | 123.01 (58.18–360.44) | |
| on V3 (%CV) | 50.9 (40.2) | 30.7 (30.0) | 26.44 (18.14–31.76) | |
| Correlation | ||||
| CL and V1 | - | 0.6 (24.8) | 0.52 (0.40–0.65) | |
| Residual variability | ||||
| a | 1.43 (12.0) | 1.44 (13.4) | 1.49 (1.07–1.65) | |
| b | 0.22 (6.8) | 0.22 (5.8) | 0.23 (0.21–0.25) | |
| Ceftobiprole Dosages and Classes of eGFR | MRSA | MRSE | ||
|---|---|---|---|---|
| Quasi-Optimal PK/PD Target | Optimal PK/PD Target | Quasi-Optimal PK/PD Target | Optimal PK/PD Target | |
| eGFR < 30 mL/min/1.73 m2 | ||||
| 250 q12h EI | 95.9 | 58.2 | 88.1 | 52.9 |
| 250 q12h CI | 99.7 | 79.1 | 91.3 | 73.9 |
| 250 q8h EI * | 98.8 | 80.7 | 90.7 | 75.2 |
| 250 q8h CI * | 100 | 91.4 | 91.4 | 85.4 |
| eGFR 30–50 mL/min/1.73 m2 | ||||
| 500 q12h EI | 98.6 | 78.4 | 90.4 | 72.9 |
| 500 q12h CI | 99.9 | 94.5 | 91.4 | 88.1 |
| 500 q8h EI * | 99.7 | 92.6 | 91.2 | 85.8 |
| 500 q8h CI * | 100 | 98.4 | 91.4 | 90.7 |
| eGFR 51–80 mL/min/1.73 m2 | ||||
| 500 q8h EI | 99.5 | 83.2 | 91.1 | 77.1 |
| 500 q8h CI | 100 | 96.8 | 91.4 | 89.7 |
| 500 q6h EI * | 99.4 | 93.4 | 91.3 | 86.6 |
| 500 q6h CI * | 100 | 98.9 | 91.4 | 91.0 |
| eGFR 81–130 mL/min/1.73 m2 | ||||
| 500 q8h EI | 97.2 | 66.0 | 89.4 | 60.8 |
| 500 q8h CI | 100 | 90.5 | 91.4 | 84.8 |
| 500 q6h EI * | 99.4 | 83.5 | 91.0 | 77.7 |
| 500 q6h CI * | 100 | 96.5 | 91.4 | 90.0 |
| eGFR > 130 mL/min/1.73 m2 | ||||
| 500 q8h EI | 75.2 | 22.2 | 69.3 | 18.3 |
| 500 q8h CI | 99.2 | 66.7 | 91.1 | 61.3 |
| 500 q6h EI * | 89.2 | 41.1 | 82.3 | 36.2 |
| 500 q6h CI * | 99.8 | 82.3 | 91.2 | 77.1 |
| 500 q4h EI * | 98.4 | 72.2 | 90.3 | 66.7 |
| 500 q4h CI * | 100 | 92.5 | 91.4 | 86.4 |
Disclaimer/Publisher’s Note: The statements, opinions and data contained in all publications are solely those of the individual author(s) and contributor(s) and not of MDPI and/or the editor(s). MDPI and/or the editor(s) disclaim responsibility for any injury to people or property resulting from any ideas, methods, instructions or products referred to in the content. |
© 2023 by the authors. Licensee MDPI, Basel, Switzerland. This article is an open access article distributed under the terms and conditions of the Creative Commons Attribution (CC BY) license (https://creativecommons.org/licenses/by/4.0/).
Share and Cite
Cojutti, P.G.; Giuliano, S.; Pascale, R.; Angelini, J.; Tascini, C.; Viale, P.; Pea, F. Population Pharmacokinetic and Pharmacodynamic Analysis for Maximizing the Effectiveness of Ceftobiprole in the Treatment of Severe Methicillin-Resistant Staphylococcal Infections. Microorganisms 2023, 11, 2964. https://doi.org/10.3390/microorganisms11122964
Cojutti PG, Giuliano S, Pascale R, Angelini J, Tascini C, Viale P, Pea F. Population Pharmacokinetic and Pharmacodynamic Analysis for Maximizing the Effectiveness of Ceftobiprole in the Treatment of Severe Methicillin-Resistant Staphylococcal Infections. Microorganisms. 2023; 11(12):2964. https://doi.org/10.3390/microorganisms11122964
Chicago/Turabian StyleCojutti, Pier Giorgio, Simone Giuliano, Renato Pascale, Jacopo Angelini, Carlo Tascini, Pierluigi Viale, and Federico Pea. 2023. "Population Pharmacokinetic and Pharmacodynamic Analysis for Maximizing the Effectiveness of Ceftobiprole in the Treatment of Severe Methicillin-Resistant Staphylococcal Infections" Microorganisms 11, no. 12: 2964. https://doi.org/10.3390/microorganisms11122964
APA StyleCojutti, P. G., Giuliano, S., Pascale, R., Angelini, J., Tascini, C., Viale, P., & Pea, F. (2023). Population Pharmacokinetic and Pharmacodynamic Analysis for Maximizing the Effectiveness of Ceftobiprole in the Treatment of Severe Methicillin-Resistant Staphylococcal Infections. Microorganisms, 11(12), 2964. https://doi.org/10.3390/microorganisms11122964

