Non-Invasive Prediction Scores for Hepatitis B Virus- and Hepatitis D Virus-Infected Patients—A Cohort from the North-Eastern Part of Romania
Abstract
1. Introduction
2. Materials and Methods
2.1. Patients and Biological Samples
2.2. Non-Invasive Biological Scores
2.3. Statistical Analysis
3. Results
3.1. General Characteristics of the Patients
3.2. Independent Predictors for Cirrhosis Development in CHB vs. CHD Patients
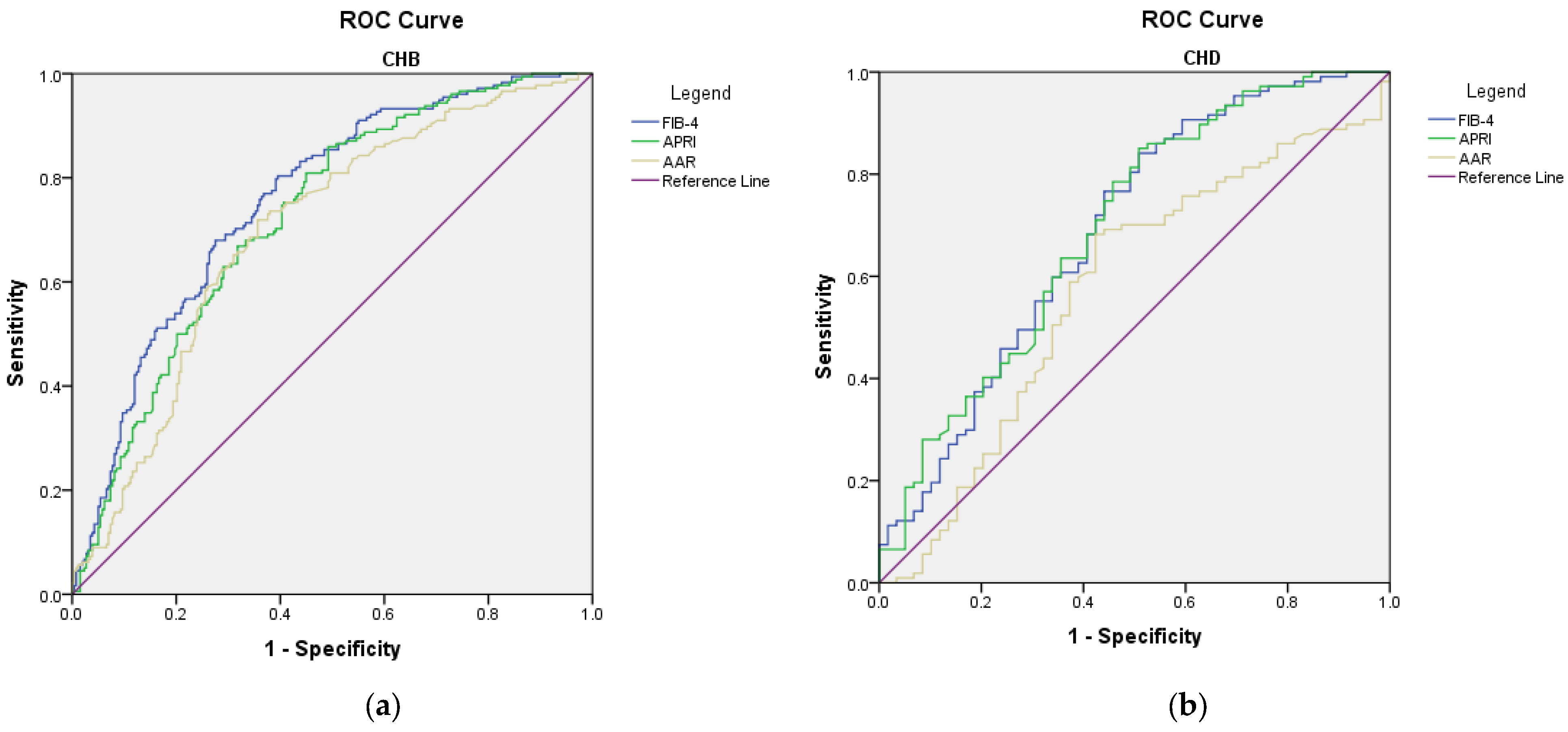
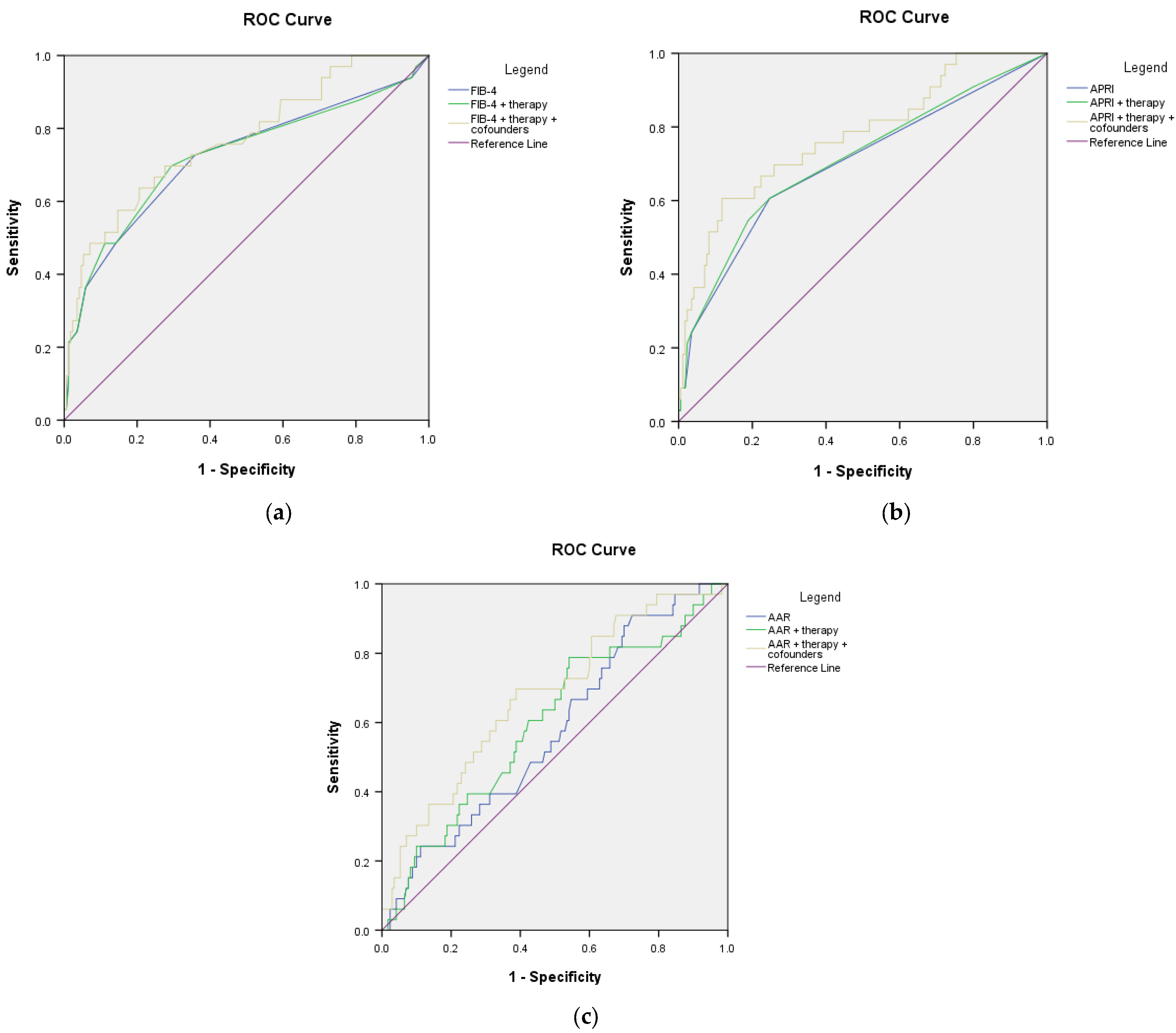
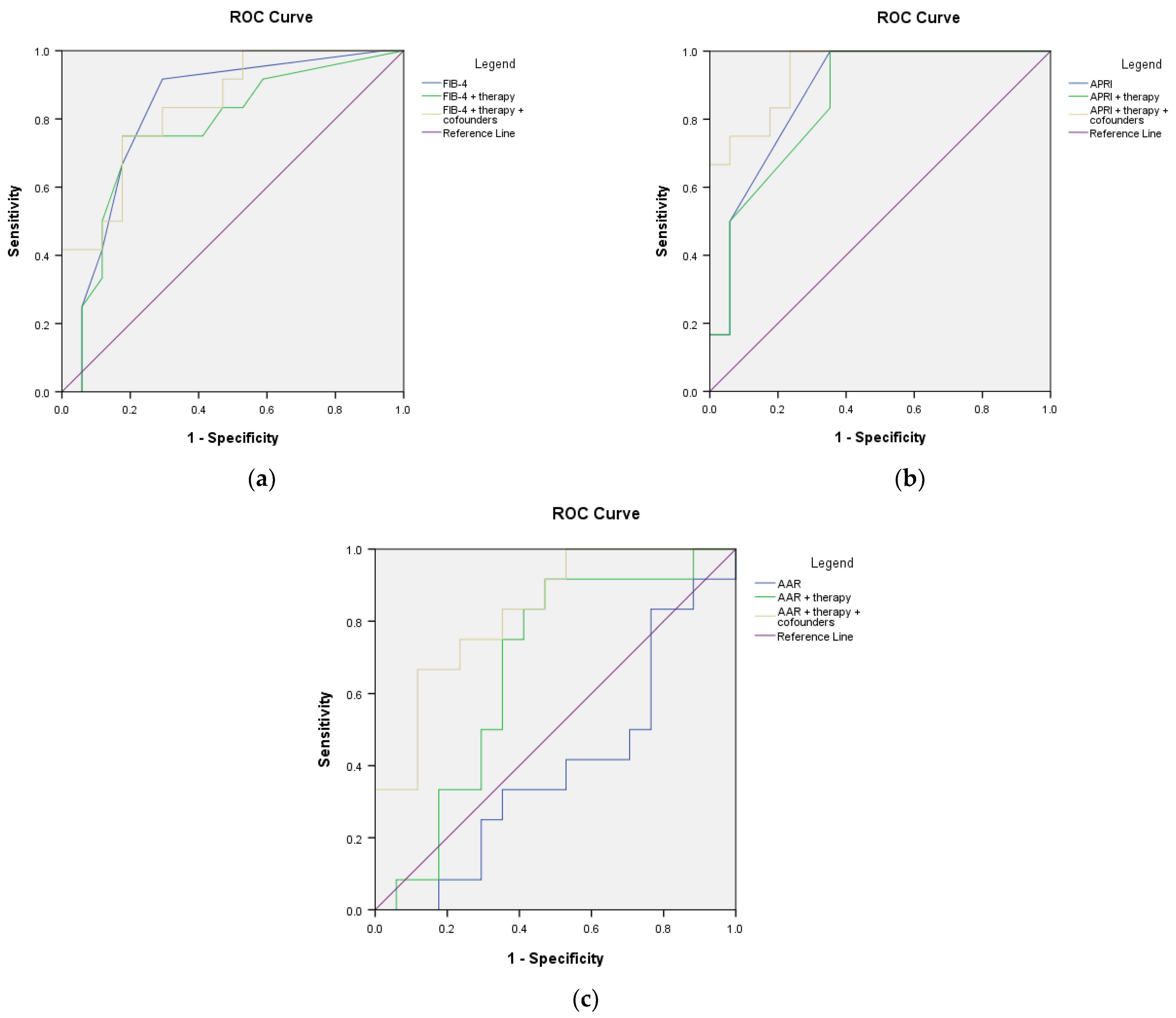
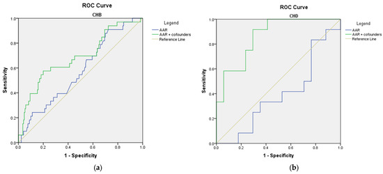
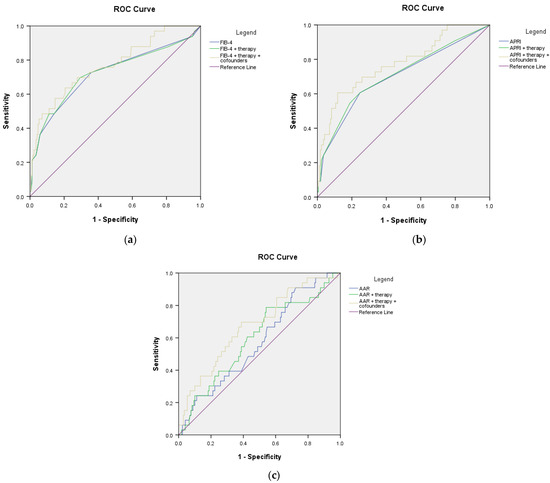
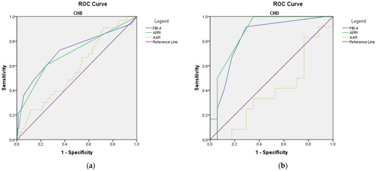
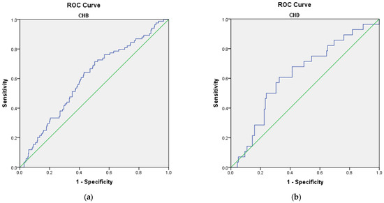
3.3. The Significance of the Non-Invasive Scores in Cirrhosis Prediction
3.4. Independent Predictors for the HCC Development in CHB and CHD Patients
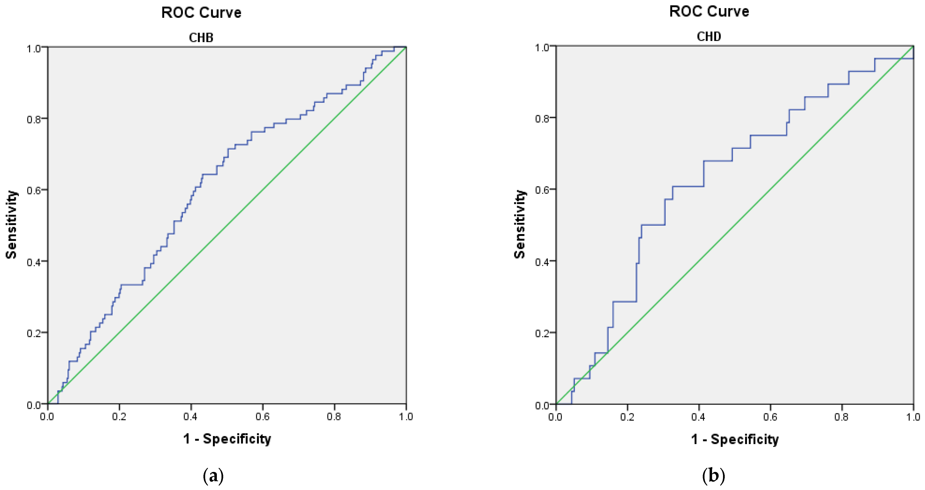
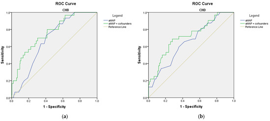
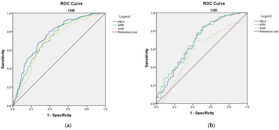
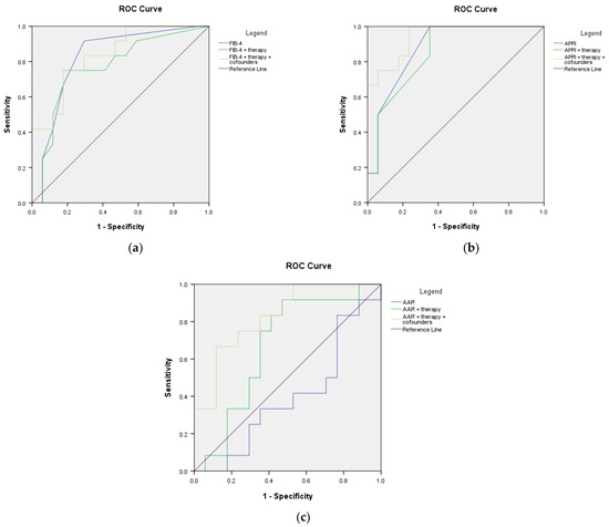
3.5. Non-Invasive Scores Prediction for HCC
3.6. Survival Curves for CHB and CHD Patients
3.7. Assessment of Virological Status on Cirrhosis and HCC
3.8. Assessment of Antiviral Treatment on Cirrhosis and HCC
4. Discussion
4.1. Non-Cirrhosis vs. Cirrhosis
4.2. Non-HCC vs. HCC
5. Conclusions
Supplementary Materials
Author Contributions
Funding
Institutional Review Board Statement
Data Availability Statement
Conflicts of Interest
References
- Rizzetto, M.; Canese, M.G.; Arico, S.; Crivelli, O.; Trepo, C.; Bonino, F.; Verme, G. Immunofluorescence Detection of New Antigen-Antibody System (δ/Anti-δ) Associated to Hepatitis B Virus in Liver and in Serum of HBsAg Carriers. Gut 1977, 18, 997–1003. [Google Scholar] [CrossRef] [PubMed]
- Chen, H.Y.; Shen, D.T.; Ji, D.Z.; Han, P.C.; Zhang, W.M.; Ma, J.F.; Chen, W.S.; Goyal, H.; Pan, S.; Xu, H.G. Prevalence and Burden of Hepatitis D Virus Infection in the Global Population: A Systematic Review and Meta-Analysis. Gut 2019, 68, 512–521. [Google Scholar] [CrossRef] [PubMed]
- WHO. Hepatitis B. Available online: www.who.int/news-room/fact-sheets/detail/hepatitis-b (accessed on 16 October 2023).
- WHO. Combating Hepatitis B and C to Reach Elimination by 2030. Available online: www.who.int/publications/i/item/combating-hepatitis-b-and-c-to-reach-elimination-by-2030 (accessed on 16 October 2023).
- ECDC EVIDENCE BRIEF: Prevention of Hepatitis B and C in the EU/EEA. Available online: https://www.ecdc.europa.eu/sites/default/files/documents/hepatitis-B-and-C-prevention-eu-december-2022.pdf (accessed on 16 October 2023).
- Bivegete, S.; McNaughton, A.L.; Trickey, A.; Thornton, Z.; Scanlan, B.; Lim, A.G.; Nerlander, L.; Fraser, H.; Walker, J.G.; Hickman, M.; et al. Estimates of Hepatitis B Virus Prevalence among General Population and Key Risk Groups in EU/EEA/UK Countries: A Systematic Review. Eurosurveillance 2023, 28, 2200738. [Google Scholar] [CrossRef] [PubMed]
- Trickey, A.; Bivegete, S.; Duffell, E.; McNaughton, A.L.; Nerlander, L.; Walker, J.G.; Fraser, H.; Hickman, M.; Vickerman, P.; Brooks-Pollock, E.; et al. Estimating Hepatitis B Virus Prevalence among Key Population Groups for European Union and European Economic Area Countries and the United Kingdom: A Modelling Study. BMC Infect. Dis. 2023, 23, 457. [Google Scholar] [CrossRef]
- Pitigoi, D.; Rafila, A.; Pistol, A.; Arama, V.; Molagic, V.; Streinu-Cercel, A. Trends in Hepatitis B Incidence in Romania, 1989–2005. Eurosurveillance 2008, 13, 11–12. [Google Scholar] [CrossRef]
- National Institute of Public Health. Analysis of Hepatitis B and C in Romania. Available online: https://insp.gov.ro/download/CNSCBT/docman-files/Analizadatesupraveghere/hepatita_virala_tip_b_si_c/Hepatita-virala-B-si-C-anul-2021-analiza.pdf (accessed on 16 October 2023).
- Wedemeyer, H.; Yurdaydin, C.; Hardtke, S.; Caruntu, F.A.; Curescu, M.G.; Yalcin, K.; Akarca, U.S.; Gürel, S.; Zeuzem, S.; Erhardt, A.; et al. Peginterferon Alfa-2a plus Tenofovir Disoproxil Fumarate for Hepatitis D (HIDIT-II): A Randomised, Placebo Controlled, Phase 2 Trial. Lancet Infect. Dis. 2019, 19, 275–286. [Google Scholar] [CrossRef]
- Negro, F. Hepatitis D Virus Coinfection and Superinfection. Cold Spring Harb. Perspect. Med. 2014, 4. [Google Scholar] [CrossRef]
- Giovanna, F.; Bortolotti, F.; Francesco, D. Natural History of Chronic Hepatitis B: Special Emphasis on Disease Progression and Prognostic Factors. J. Hepatol. 2008, 48, 335–352. [Google Scholar]
- Nardone, A.; Nerlander, L.; Duffell, E.; Valenciano, M.; Buti, M.; Marcos-Fosch, C.; Nemeth-Blažić, T.; Popovici, O.; Vince, A.; Filip, P.V.; et al. A Pilot Sentinel Surveillance System to Monitor Treatment and Treatment Outcomes of Chronic Hepatitis B and C Infections in Clinical Centres in Three European Countries, 2019. Eurosurveillance 2023, 28, 2200184. [Google Scholar] [CrossRef]
- Deterding, K.; Constantinescu, I.; Nedelcu, F.D.; Gervain, J.; Nemecek, V.; Srtunecky, O.; Vince, A.; Grgurevic, I.; Bielawski, K.P.; Zalewska, M.; et al. Prevalence of HBV Genotypes in Central and Eastern Europe. J. Med. Virol. 2008, 80, 1707–1711. [Google Scholar] [CrossRef]
- Popovici, O.; Ursu, R.G.; Azoicai, D.; Iancu, L.S. HBV Genotypes Circulation in Pregnant Women in Romania: A Pilot Study. Rev. Romana Med. Lab. 2020, 28, 91–98. [Google Scholar] [CrossRef]
- Jekarl, D.W.; Choi, H.; Lee, S.; Kwon, J.H.; Lee, S.W.; Yu, H.; Kim, M.; Kim, Y.; Sung, P.S.; Yoon, S.K. Diagnosis of Liver Fibrosis with Wisteria Floribunda Agglutinin-Positive Mac-2 Binding Protein (WFA-M2BP) among Chronic Hepatitis B Patients. Ann. Lab. Med. 2018, 38, 348–354. [Google Scholar] [CrossRef] [PubMed]
- Castera, L.; Pinzani, M. Biopsy and Non-Invasive Methods for the Diagnosis of Liver Fibrosis: Does It Take Two to Tango? Gut 2010, 59, 861–866. [Google Scholar] [CrossRef] [PubMed]
- Wong, V.W.S.; Adams, L.A.; de Lédinghen, V.; Wong, G.L.H.; Sookoian, S. Noninvasive Biomarkers in NAFLD and NASH—Current Progress and Future Promise. Nat. Rev. Gastroenterol. Hepatol. 2018, 15, 461–478. [Google Scholar] [CrossRef] [PubMed]
- Bonnard, P.; Sombié, R.; Lescure, F.X.; Bougouma, A.; Guiard-Schmid, J.B.; Poynard, T.; Calès, P.; Housset, C.; Callard, P.; Le Pendeven, C.; et al. Comparison of Elastography, Serum Marker Scores, and Histology for the Assessment of Liver Fibrosis in Hepatitis B Virus (HBV)-Infected Patients in Burkina Faso. Am. J. Trop. Med. Hyg. 2010, 82, 454–458. [Google Scholar] [CrossRef] [PubMed]
- Vasconcelos, M.P.A.; DallÁcqua, D.V.; Wedemeyer, H.; Witkin, S.S.; Mendes-Corrêa, M.C.; Villalobos-Salcedo, J.M. Noninvasive Models for Predicting Liver Fibrosis in Individuals with Hepatitis D Virus/Hepatitis B Virus Coinfection in the Brazilian Amazon Region. Am. J. Trop. Med. Hyg. 2020, 103, 169. [Google Scholar] [CrossRef]
- Ma, J.; Jiang, Y.; Gong, G. Evaluation of Seven Noninvasive Models in Staging Liver Fibrosis in Patients with Chronic Hepatitis B Virus Infection. Eur. J. Gastroenterol. Hepatol. 2013, 25, 428–434. [Google Scholar] [CrossRef]
- Ucar, F.; Sezer, S.; Ginis, Z.; Ozturk, G.; Albayrak, A.; Basar, O.; Ekiz, F.; Coban, S.; Yuksel, O.; Armutcu, F.; et al. APRI, the FIB-4 Score, and Forn’s Index Have Noninvasive Diagnostic Value for Liver Fibrosis in Patients with Chronic Hepatitis B. Eur. J. Gastroenterol. Hepatol. 2013, 25, 1076–1081. [Google Scholar] [CrossRef]
- Lutterkort, G.L.; Wranke, A.; Yurdaydin, C.; Budde, E.; Westphal, M.; Lichtinghagen, R.; Stift, J.; Bremer, B.; Hardtke, S.; Keskin, O.; et al. Non-Invasive Fibrosis Score for Hepatitis Delta. Liver Int. 2017, 37, 196–204. [Google Scholar] [CrossRef]
- Williams, A.L.B.; Hoofnagle, J.H. Ratio of Serum Aspartate to Alanine Aminotransferase in Chronic Hepatitis. Relationship to Cirrhosis. Gastroenterology 1988, 95, 734–739. [Google Scholar] [CrossRef]
- Fan, R.; Papatheodoridis, G.; Sun, J.; Innes, H.; Toyoda, H.; Xie, Q.; Mo, S.; Sypsa, V.; Guha, I.N.; Kumada, T.; et al. AMAP Risk Score Predicts Hepatocellular Carcinoma Development in Patients with Chronic Hepatitis. J. Hepatol. 2020, 73, 1368–1378. [Google Scholar] [CrossRef]
- Johnson, P.J.; Innes, H.; Hughes, D.M.; Kalyuzhnyy, A.; Kumada, T.; Toyoda, H. Evaluation of the AMAP Score for Hepatocellular Carcinoma Surveillance: A Realistic Opportunity to Risk Stratify. Br. J. Cancer 2022, 127, 1263–1269. [Google Scholar] [CrossRef]
- Berzigotti, A.; Tsochatzis, E.; Boursier, J.; Castera, L.; Cazzagon, N.; Friedrich-Rust, M.; Petta, S.; Thiele, M. EASL Clinical Practice Guidelines on Non-Invasive Tests for Evaluation of Liver Disease Severity and Prognosis-2021 Update. J. Hepatol. 2021, 75, 659–689. [Google Scholar] [CrossRef]
- Galle, P.R.; Forner, A.; Llovet, J.M.; Mazzaferro, V.; Piscaglia, F.; Raoul, J.L.; Schirmacher, P.; Vilgrain, V. EASL Clinical Practice Guidelines: Management of Hepatocellular Carcinoma. J. Hepatol. 2018, 69, 182–236. [Google Scholar] [CrossRef]
- European Association for the Study of the Liver. EASL Clinical Practice Guidelines: Management of Chronic Hepatitis B Virus Infection. J. Hepatol. 2012, 57, 167–185. [Google Scholar] [CrossRef] [PubMed]
- Lampertico, P.; Agarwal, K.; Berg, T.; Buti, M.; Janssen, H.L.A.; Papatheodoridis, G.; Zoulim, F.; Tacke, F. EASL 2017 Clinical Practice Guidelines on the Management of Hepatitis B Virus Infection. J. Hepatol. 2017, 67, 370–398. [Google Scholar] [CrossRef] [PubMed]
- European Association for the Study of the Liver. EASL Clinical Practice Guidelines on Hepatitis Delta Virus. J. Hepatol. 2023, 79, 433–460. [Google Scholar] [CrossRef]
- Sterling, R.K.; Lissen, E.; Clumeck, N.; Sola, R.; Correa, M.C.; Montaner, J.; Sulkowski, M.S.; Torriani, F.J.; Dieterich, D.T.; Thomas, D.L.; et al. Development of a Simple Noninvasive Index to Predict Significant Fibrosis in Patients with HIV/HCV Coinfection. Hepatology 2006, 43, 1317–1325. [Google Scholar] [CrossRef]
- Ruta, S.; Grecu, L.; Iacob, D.; Cernescu, C.; Sultana, C. HIV-HBV Coinfection-Current Challenges for Virologic Monitoring. Biomedicines 2023, 11, 1306. [Google Scholar] [CrossRef] [PubMed]
- Wai, C.T.; Greenson, J.K.; Fontana, R.J.; Kalbfleisch, J.D.; Marrero, J.A.; Conjeevaram, H.S.; Lok, A.S.F. A Simple Noninvasive Index Can Predict Both Significant Fibrosis and Cirrhosis in Patients with Chronic Hepatitis C. Hepatology 2003, 38, 518–526. [Google Scholar] [CrossRef] [PubMed]
- Park, S.Y.; Kang, K.H.; Park, J.H.; Lee, J.H.; Cho, C.M.; Tak, W.Y.; Kweon, Y.O.; Kim, S.K.; Choi, Y.H. Clinical efficacy of AST/ALT ratio and platelet counts as predictors of degree of fibrosis in HBV infected patients without clinically evident liver cirrhosis. Korean J. Gastroenterol. 2004, 43, 246–251. [Google Scholar] [PubMed]
- Niro, G.A.; Smedile, A.; Ippolito, A.M.; Ciancio, A.; Fontana, R.; Olivero, A.; Valvano, M.R.; Abate, M.L.; Gioffreda, D.; Caviglia, G.P.; et al. Outcome of Chronic Delta Hepatitis in Italy: A Long-Term Cohort Study. J. Hepatol. 2010, 53, 834–840. [Google Scholar] [CrossRef] [PubMed]
- Alfaiate, D.; Dény, P.; Durantel, D. Hepatitis Delta Virus: From Biological and Medical Aspects to Current and Investigational Therapeutic Options. Antivir. Res. 2015, 122, 112–129. [Google Scholar] [CrossRef] [PubMed]
- Alfaiate, D.; Clément, S.; Gomes, D.; Goossens, N.; Negro, F. Chronic Hepatitis D and Hepatocellular Carcinoma: A Systematic Review and Meta-Analysis of Observational Studies. J. Hepatol. 2020, 73, 533–539. [Google Scholar] [CrossRef]
- Loureiro, D.; Mansouri, A.; Asselah, T. Quantitative HBsAg: Not Helpful to Evaluate Fibrosis in HBeAg-Negative Chronic Hepatitis B Patients. Saudi J. Gastroenterol. Off. J. Saudi Gastroenterol. Assoc. 2019, 25, 269–271. [Google Scholar]
- Zhang, Z.-Q.; Shi, B.-S.; Lu, W.; Liu, D.-P.; Huang, D.; Feng, Y.-L. Quantitative HBcrAg and HBcAb versus HBsAg and HBV DNA in Predicting Liver Fibrosis Levels of Chronic Hepatitis B Patients. Gastroenterol. Hepatol. 2020, 43, 526–536. [Google Scholar] [CrossRef]
- Gong, X.; Chen, Z.; Zhang, X.; Zheng, Y.; Zhang, H. Values of Serum HBsAg and HBeAg Levels for Virological Response of Patients with HBV-Related Liver Cirrhosis Treated by Entecavir. Clin. Lab. 2023, 69. [Google Scholar] [CrossRef]
- Chung, G.E.; Kim, J.Y.; Shin, H.; Hong, J.H.; Hur, M.H.; Cho, H.; Park, M.K.; Choi, N.R.; Kim, J.; Lee, Y.B.; et al. Correlation between Results of Semi-Quantitative and Quantitative Tests for Hepatitis B Virus Surface Antigen among Patients Achieving Viral Suppression with Antiviral Treatment. Diagnostics 2022, 12, 1757. [Google Scholar] [CrossRef]
- Mak, L.-Y.; Hui, R.W.-H.; Fung, J.; Seto, W.K.; Yuen, M.-F. The Role of Different Viral Biomarkers on the Management of Chronic Hepatitis B. Clin. Mol. Hepatol. 2023, 29, 263–276. [Google Scholar] [CrossRef]
- Islam, S.M.R.U.; Shahera, U.; Jahan, M.; Tabassum, S. Evaluation and Determination of Quantitative Hepatitis B Surface Antigen Diagnostic Performance in Chronic Hepatitis B Virus-Infected Patients. Cureus 2023, 15, e41202. [Google Scholar] [CrossRef]
- Tseng, T.-C.; Kao, J.-H. Clinical Utility of Quantitative HBsAg in Natural History and Nucleos(t)Ide Analogue Treatment of Chronic Hepatitis B: New Trick of Old Dog. J. Gastroenterol. 2013, 48, 13–21. [Google Scholar] [CrossRef]
- Sonneveld, M.J.; Hansen, B.E.; Brouwer, W.P.; Chan, H.L.-Y.; Piratvisuth, T.; Jia, J.-D.; Zeuzem, S.; Chien, R.-N.; de Knegt, R.J.; Wat, C.; et al. Hepatitis B Surface Antigen Levels Can Be Used to Rule Out Cirrhosis in Hepatitis B e Antigen-Positive Chronic Hepatitis B: Results from the SONIC-B Study. J. Infect. Dis. 2022, 225, 1967–1973. [Google Scholar] [CrossRef]
- Wu, F.-P.; Yang, Y.; Li, M.; Liu, Y.-X.; Li, Y.-P.; Wang, W.-J.; Shi, J.-J.; Zhang, X.; Jia, X.-L.; Dang, S.-S. Add-on Pegylated Interferon Augments Hepatitis B Surface Antigen Clearance vs Continuous Nucleos(t)Ide Analog Monotherapy in Chinese Patients with Chronic Hepatitis B and Hepatitis B Surface Antigen ≤ 1500 IU/ML: An Observational Study. World J. Gastroenterol. 2020, 26, 1525–1539. [Google Scholar] [CrossRef]
- Matsui, M.; Asai, A.; Ushiro, K.; Yokohama, K.; Fukunishi, S.; Kim, S.K.; Nishikawa, H. HB Surface Antigen Level as a Useful Predictor for the Treatment Response to Tenofovir Alafenamide in Nucleoside Analogue Naïve Chronic Hepatitis B. In Vivo 2023, 37, 726–733. [Google Scholar] [CrossRef] [PubMed]
- Khetsuriani, N.; Mosina, L.; Van Damme, P.; Mozalevskis, A.; Datta, S.; Tohme, R.A. Progress Toward Hepatitis B Control-World Health Organization European Region, 2016–2019. Morb. Mortal. Wkly. Rep. 2021, 70, 1029–1035. [Google Scholar] [CrossRef] [PubMed]
- Popescu, G.A.; Otelea, D.; Gavriliu, L.C.; Neaga, E.; Popescu, C.; Paraschiv, S.; Fratila, M. Epidemiology of Hepatitis D in Patients Infected with Hepatitis B Virus in Bucharest: A Cross-Sectional Study. J. Med. Virol. 2013, 85, 769–774. [Google Scholar] [CrossRef]
- Gheorghe, L.; Csiki, I.E.; Iacob, S.; Gheorghe, C.; Trifan, A.; Grigorescu, M.; Motoc, A.; Suceveanu, A.; Curescu, M.; Caruntu, F.; et al. Hepatitis Delta Virus Infection in Romania: Prevalence and Risk Factors. J. Gastrointestin. Liver Dis. 2015, 24, 413–421. [Google Scholar] [CrossRef] [PubMed]
- Ricco, G.; Popa, D.C.; Cavallone, D.; Iacob, S.; Salvati, A.; Tabacelia, D.; Oliveri, F.; Mascolo, G.; Bonino, F.; Yuan, Q.; et al. Quantification of Serum Markers of Hepatitis B (HBV) and Delta Virus (HDV) Infections in Patients with Chronic HDV Infection. J. Viral Hepat. 2018, 25, 911–919. [Google Scholar] [CrossRef]
- Stockdale, A.J.; Kreuels, B.; Henrion, M.Y.R.; Giorgi, E.; Kyomuhangi, I.; de Martel, C.; Hutin, Y.; Geretti, A.M. The Global Prevalence of Hepatitis D Virus Infection: Systematic Review and Meta-Analysis. J. Hepatol. 2020, 73, 523–532. [Google Scholar] [CrossRef]
- Opaleye, O.O.; Japhet, O.M.; Adewumi, O.M.; Omoruyi, E.C.; Akanbi, O.A.; Oluremi, A.S.; Wang, B.; van Tong, H.; Velavan, T.P.; Bock, C.-T. Molecular Epidemiology of Hepatitis D Virus Circulating in Southwestern Nigeria. Virol. J. 2016, 13, 61. [Google Scholar] [CrossRef]
- Kamal, H.; Aleman, S. Natural History of Untreated HDV Patients: Always a Progressive Disease? Liver Int. Off. J. Int. Assoc. Study Liver 2023, 43 (Suppl. 1), 5–21. [Google Scholar] [CrossRef] [PubMed]
- Vieira Barbosa, J.; Sahli, R.; Aubert, V.; Chaouch, A.; Moradpour, D.; Fraga, M. Demographics and Outcomes of Hepatitis B and D: A 10-Year Retrospective Analysis in a Swiss Tertiary Referral Center. PLoS ONE 2021, 16, e0250347. [Google Scholar] [CrossRef] [PubMed]
- Miao, Z.; Zhang, S.; Ou, X.; Li, S.; Ma, Z.; Wang, W.; Peppelenbosch, M.P.; Liu, J.; Pan, Q. Estimating the Global Prevalence, Disease Progression, and Clinical Outcome of Hepatitis Delta Virus Infection. J. Infect. Dis. 2020, 221, 1677–1687. [Google Scholar] [CrossRef] [PubMed]
- Botelho-Souza, L.F.; Vasconcelos, M.P.A.; Dos Santos, A.D.O.; Salcedo, J.M.V.; Vieira, D.S. Hepatitis Delta: Virological and Clinical Aspects. Virol. J. 2017, 14, 177. [Google Scholar] [CrossRef]
- Fattovich, G.; Giustina, G.; Christensen, E.; Pantalena, M.; Zagni, I.; Realdi, G.; Schalm, S.W. Influence of Hepatitis Delta Virus Infection on Morbidity and Mortality in Compensated Cirrhosis Type B. The European Concerted Action on Viral Hepatitis (Eurohep). Gut 2000, 46, 420–426. [Google Scholar] [CrossRef]
- Jin, W.; Lin, Z.; Xin, Y.; Jiang, X.; Dong, Q.; Xuan, S. Diagnostic Accuracy of the Aspartate Aminotransferase-to-Platelet Ratio Index for the Prediction of Hepatitis B-Related Fibrosis: A Leading Meta-Analysis. BMC Gastroenterol. 2012, 12, 14. [Google Scholar] [CrossRef] [PubMed]
- Ioannou, G.N.; Green, P.; Lowy, E.; Mun, E.J.; Berry, K. Differences in Hepatocellular Carcinoma Risk, Predictors and Trends over Time According to Etiology of Cirrhosis. PLoS ONE 2018, 13, e0204412. [Google Scholar] [CrossRef]
- Heimbach, J.K.; Kulik, L.M.; Finn, R.S.; Sirlin, C.B.; Abecassis, M.M.; Roberts, L.R.; Zhu, A.X.; Murad, M.H.; Marrero, J.A. AASLD Guidelines for the Treatment of Hepatocellular Carcinoma. Hepatology 2018, 67, 358–380. [Google Scholar] [CrossRef]
- Liu, Y.; Lin, B.; Zeng, D.; Zhu, Y.; Chen, J.; Zheng, Q.; Dong, J.; Jiang, J. Alpha-Fetoprotein Level as a Biomarker of Liver Fibrosis Status: A Cross-Sectional Study of 619 Consecutive Patients with Chronic Hepatitis B. BMC Gastroenterol. 2014, 14, 145. [Google Scholar] [CrossRef]
- Zhang, Z.; Wang, G.; Kang, K.; Wu, G.; Wang, P. The Diagnostic Accuracy and Clinical Utility of Three Noninvasive Models for Predicting Liver Fibrosis in Patients with HBV Infection. PLoS ONE 2016, 11, e0152757. [Google Scholar] [CrossRef]
- Bockmann, J.H.; Grube, M.; Hamed, V.; Von Felden, J.; Landahl, J.; Wehmeyer, M.; Giersch, K.; Hall, M.T.; Murray, J.M.; Dandri, M.; et al. High Rates of Cirrhosis and Severe Clinical Events in Patients with HBV/HDV Co-Infection: Longitudinal Analysis of a German Cohort. BMC Gastroenterol. 2020, 20, 24. [Google Scholar] [CrossRef] [PubMed]
- Buti, M.; Homs, M.; Rodriguez-Frias, F.; Funalleras, G.; Jardí, R.; Sauleda, S.; Tabernero, D.; Schaper, M.; Esteban, R. Clinical Outcome of Acute and Chronic Hepatitis Delta over Time: A Long-Term Follow-up Study. J. Viral Hepat. 2011, 18, 434–442. [Google Scholar] [CrossRef] [PubMed]
- Farci, P.; Roskams, T.; Chessa, L.; Peddis, G.; Mazzoleni, A.P.; Scioscia, R.; Serra, G.; Lai, M.E.; Loy, M.; Caruso, L.; et al. Long-Term Benefit of Interferon α Therapy of Chronic Hepatitis D: Regression of Advanced Hepatic Fibrosis. Gastroenterology 2004, 126, 1740–1749. [Google Scholar] [CrossRef]
- Brancaccio, G.; Fasano, M.; Grossi, A.; Santantonio, T.A.; Gaeta, G.B. Clinical Outcomes in Patients with Hepatitis D, Cirrhosis and Persistent Hepatitis B Virus Replication, and Receiving Longterm Tenofovir or Entecavir. Aliment. Pharmacol. Ther. 2019, 49, 1071–1076. [Google Scholar] [CrossRef] [PubMed]
- Yang, J.D.; Hainaut, P.; Gores, G.J.; Amadou, A.; Plymoth, A.; Roberts, L.R. A Global View of Hepatocellular Carcinoma: Trends, Risk, Prevention and Management. Nat. Rev. Gastroenterol. Hepatol. 2019, 16, 589. [Google Scholar] [CrossRef]
- Yang, J.D.; Mohamed, E.A.; Aziz, A.O.A.; Shousha, H.I.; Hashem, M.B.; Nabeel, M.M.; Abdelmaksoud, A.H.; Elbaz, T.M.; Afihene, M.Y.; Duduyemi, B.M.; et al. Characteristics, Management, and Outcomes of Patients with Hepatocellular Carcinoma in Africa: A Multicountry Observational Study from the Africa Liver Cancer Consortium. Lancet Gastroenterol. Hepatol. 2017, 2, 103–111. [Google Scholar] [CrossRef]
- Roure, C. Overview of Epidemiology and Disease Burden of Hepatitis B in the European Region. Vaccine 1995, 13 (Suppl. 1), S18–S21. [Google Scholar] [CrossRef]
- Oyunsuren, T.; Kurbanov, F.; Tanaka, Y.; Elkady, A.; Sanduijav, R.; Khajidsuren, O.; Dagvadorj, B.; Mizokami, M. High Frequency of Hepatocellular Carcinoma in Mongolia; Association with Mono-, or Co-Infection with Hepatitis C, B, and Delta Viruses. J. Med. Virol. 2006, 78, 1688–1695. [Google Scholar] [CrossRef]
- Farci, P.; Niro, G.A.; Zamboni, F.; Diaz, G. Hepatitis D Virus and Hepatocellular Carcinoma. Viruses 2021, 13, 830. [Google Scholar] [CrossRef]
- Abbas, Z.; Qureshi, M.; Hamid, S.; Jafri, W. Hepatocellular Carcinoma in Hepatitis D: Does It Differ from Hepatitis B Monoinfection? Saudi J. Gastroenterol. Off. J. Saudi Gastroenterol. Assoc. 2012, 18, 18–22. [Google Scholar] [CrossRef]
- Raadsen, M.; Du Toit, J.; Langerak, T.; van Bussel, B.; van Gorp, E.; Goeijenbier, M. Thrombocytopenia in Virus Infections. J. Clin. Med. 2021, 10, 877. [Google Scholar] [CrossRef] [PubMed]
- Silva, J.; Berger, N.; Gamblin, T.C.; Bhati, C.; Seth, R.; Kaplan, B.; Cotterell, A.; Matherly, S.; Reichman, T.; Sharma, A.; et al. Prognostic Significance of Baseline Alpha-Fetoprotein in Hepatocellular Carcinoma: Systematic Review and Meta-Analysis. HPB 2017, 19, S124. [Google Scholar] [CrossRef][Green Version]
- Yang, J.D.; Dai, J.; Singal, A.G.; Gopal, P.; Addissie, B.D.; Nguyen, M.H.; Befeler, A.S.; Reddy, K.R.; Schwartz, M.; Harnois, D.M.; et al. Improved Performance of Serum Alpha-Fetoprotein for Hepatocellular Carcinoma Diagnosis in HCV Cirrhosis with Normal Alanine Transaminase. Cancer Epidemiol. Biomark. Prev. 2017, 26, 1085–1092. [Google Scholar] [CrossRef] [PubMed]
- Bağırsakçı, E.; Şahin, E.; Atabey, N.; Erdal, E.; Guerra, V.; Carr, B.I. Role of Albumin in Growth Inhibition in Hepatocellular Carcinoma. Oncology 2017, 93, 136–142. [Google Scholar] [CrossRef]
- Yamashita, Y.; Joshita, S.; Sugiura, A.; Yamazaki, T.; Kobayashi, H.; ichi Wakabayashi, S.; Yamada, Y.; Shibata, S.; Kunimoto, H.; Iwadare, T.; et al. AMAP Score Prediction of Hepatocellular Carcinoma Occurrence and Incidence-Free Rate after a Sustained Virologic Response in Chronic Hepatitis C. Hepatol. Res. 2021, 51, 933–942. [Google Scholar] [CrossRef]
- Sun, Y.; Li, Z.; Liao, G.; Xia, M.; Xu, X.; Cai, S.; Peng, J. AMAP Score as a Predictor for Long-Term Outcomes in Patients with HBV-Related Acute-on-Chronic Liver Failure. Int. J. Gen. Med. 2022, 15, 407–415. [Google Scholar] [CrossRef] [PubMed]
- Wedemeyer, H.; Yurdaydìn, C.; Dalekos, G.N.; Erhardt, A.; Çakaloğlu, Y.; Değertekin, H.; Gürel, S.; Zeuzem, S.; Zachou, K.; Bozkaya, H.; et al. Peginterferon plus Adefovir versus Either Drug Alone for Hepatitis Delta. N. Engl. J. Med. 2011, 364, 322–331. [Google Scholar] [CrossRef]
- Sandmann, L.; Wedemeyer, H. Interferon-Based Treatment of Chronic Hepatitis D. Liver Int. Off. J. Int. Assoc. Study Liver 2023, 43 (Suppl. 1), 69–79. [Google Scholar] [CrossRef]
- Gheorghe, L.; Iacob, S.; Simionov, I.; Vadan, R.; Constantinescu, I.; Caruntu, F.; Sporea, I.; Grigorescu, M. Weight-Based Dosing Regimen of Peg-Interferon α-2b for Chronic Hepatitis Delta: A Multicenter Romanian Trial. J. Gastrointestin. Liver Dis. 2011, 20, 377–382. [Google Scholar]
- Constantinescu, I.; Nedelcu, F.; Toader, M.A.; Daniela, V. Clinical and Therapeutical Importance of HBV Genotyping in Romania. J. Med. Life 2008, 1, 165–173. [Google Scholar]
- Karimzadeh, H.; Usman, Z.; Frishman, D.; Roggendorf, M. Genetic Diversity of Hepatitis D Virus Genotype-1 in Europe Allows Classification into Subtypes. J. Viral Hepat. 2019, 26, 900–910. [Google Scholar] [CrossRef] [PubMed]
- Roulot, D.; Brichler, S.; Layese, R.; BenAbdesselam, Z.; Zoulim, F.; Thibault, V.; Scholtes, C.; Roche, B.; Castelnau, C.; Poynard, T.; et al. Origin, HDV Genotype and Persistent Viremia Determine Outcome and Treatment Response in Patients with Chronic Hepatitis Delta. J. Hepatol. 2020, 73, 1046–1062. [Google Scholar] [CrossRef] [PubMed]
- Boyd, A.; Bottero, J.; Miailhes, P.; Lascoux-Combe, C.; Rougier, H.; Girard, P.-M.; Serfaty, L.; Lacombe, K. Liver Fibrosis Regression and Progression during Controlled Hepatitis B Virus Infection among HIV-HBV Patients Treated with Tenofovir Disoproxil Fumarate in France: A Prospective Cohort Study. J. Int. AIDS Soc. 2017, 20, 21426. [Google Scholar] [CrossRef] [PubMed]










| Non-Invasive Test | Formula | Cut-Off Values |
|---|---|---|
| FIB-4 index | =[age (years) × AST (U/L)]/[PLT count (10⁹/L) × sqrt’ (ALT(U/L)] | <1.45—Negative predictive value (NPV) 90% advanced fibrosis >3.25—Specificity 97% and positive predictive value (PPV) 65% for advanced fibrosis [32,33] |
| APRI score | =[(AST (U/L)/AST ULN (U/L))/PLT count (10⁹/L)] × 100 | >1.0—Sensitivity 76% and specificity 72% for cirrhosis [33,34] |
| AAR | =AST(U/L)/ALT(U/L) | >1.0—in CHB Specificity 97.5% and PPV 66.7% for severe fibrosis or cirrhosis [24,35] |
| aMAP score | =({0.06 × age + 0.89 × gender (Male: 1, Female: 0) + 0.48 × [(log₁₀BLBt × 0.66) + (Alb × −0.085)] − 0.01 × PLT count} + 7.41/14.77 × 100 | <50—Sensitivity 85.7–100% for low risk of HCC development [25] |
| Parameter | CHB | CHD | CHB vs. CHD | p-Value | ||
|---|---|---|---|---|---|---|
| N (%) | 436 (72.4%) | 166 (27.6%) | ||||
| Female/Male | 153/283 (35.1%/64.9%) | 77/89 (46.4%/53.6%) | Male | 0.011 * | ||
| Rural/Urban | 173/263 (39.7%/60.3%) | 58/108 (34.9%/65.1%) | Urban | 0.285 * | ||
| Median | IQR | Median | IQR | |||
| Age | 58.0 | 52.0–63.0 | 56.0 | 49.0–59.0 | ↓ | <0.001 (Z = −4.04) ⸷ |
| Cholesterol (mg/dL) | 163.0 | 126.0–203.8 | 149.0 | 129.0–180.3 | ↓ | 0.016 (Z = −2.41) ⸷ |
| AFP (IU/mL) | 2.0 | 2.0–5.8 | 5.0 | 2.0–15.3 | ↑ | <0.001 (Z = −5.44) ⸷ |
| AST (U/L) | 41.5 | 22.0–75.8 | 67.0 | 44.0–105.3 | ↑ | <0.001 (Z = −6.85) ⸷ |
| ALT (U/L) | 35.0 | 21.0–60.0 | 57.5 | 41.8–106.5 | ↑ | <0.001 (Z = −7.77) ⸷ |
| GGT (U/L) | 45.0 | 26.0–92.8 | 56.0 | 29.0–121.0 | ↑ | 0.048 (Z = −1.98) ⸷ |
| BLBt (mg/dL) | 1.0 | 1.0–2.0 | 1.0 | 1.0–2.0 | ↑ | 0.003 (Z = −2.92) ⸷ |
| Albumin (g/dL) | 4.0 | 4.0–4.0 | 4.0 | 3.0–4.0 | ↓ | 0.005 (Z = −2.81) ⸷ |
| PT (INR) | 1.0 | 1.0–1.0 | 1.0 | 1.0–1.0 | 0.557 ⸷ | |
| PLT (×109/L) | 182.5 | 110.3–239.8 | 105.5 | 71.5–151.5 | ↓ | <0.001 (Z = −7.95) ⸷ |
| Comorbidity | CHB | CHD | CHB vs. CHD | p-Value | |
|---|---|---|---|---|---|
| Diabetes | 76 (17.4%) | 17 (10.2%) | ↓ | 0.032 * | |
| Type 1 diabetes mellitus | 10 (2.3%) | 3 (1.8%) | 0.498 * | ||
| Type 2 diabetes mellitus | 66 (15.1%) | 14 (8.4%) | ↓ | 0.030 * | |
| NAFLD | 60 (13.8%) | 20 (12.0%) | 0.342 * | ||
| Obesity (Body mass index ≥ 30.0 kg/m2) | 39 (8.9%) | 12 (7.2%) | 0.310 * | ||
| Hypertension | 138 (31.7%) | 33 (19.9%) | ↓ | 0.005 * | |
| Essential hypertension | 134 (30.7%) | 32 (19.3%) | ↓ | 0.006 * | |
| Ischemic cardiac disease | 44 (10.1%) | 10 (6.0%) | 0.077 * | ||
| Ischemic stroke | 3 (0.7%) | 1 (0.6%) | 0.694 * | ||
| Smoking status | 3 (0.7%) | 1 (0.6%) | 0.694 * |
| Parameter | No Cirrhosis or HCC | Cirrhosis | HCC | Trend | p-Value | |
|---|---|---|---|---|---|---|
| CHB | N (%) | 174 (39.9%) | 178 (40.8%) | 84 (19.3%) | ||
| Female/Male | 77/97 (44.3%/55.7%) | 60/118 (33.7%/66.3%) | 16/68 (19.0%/81.0%) | Male | <0.001 * | |
| Rural/Urban | 56/118 (32.2%/67.8%) | 78/100 (43.8%/56.2%) | 39/45 (46.4%/55.6%) | Urban | 0.031 * | |
| Median (IQR) | Median (IQR) | Median (IQR) | ||||
| Age | 58.5 (51.0–63.0) | 56.0 (52.0–61.0) | 60 (56.0–65.8) | ↑↑ | 0.002, x2(2) = 12.3 ‡ | |
| Cholesterol (mg/dL) | 192.5 (156.8–222.3) | 135 (104.8–174.0) | 156.5 (123.8–192.0) | ↓↑ | <0.001, x2(2) = 69.2 ‡ | |
| AFP (IU/mL) | 2.0 (1.0–3.0) | 3.0 (2.0–6.0) | 8.0 (2.0–184.8) | ↑↑ | <0.001, x2(2) = 72.5 ‡ | |
| AST (U/L) | 24.0 (19.0–40.0) | 47.5 (31.5–87.0) | 75.0 (43.3–124.0) | ↑↑ | <0.001, x2(2) = 99.9 ‡ | |
| ALT (U/L) | 29.0 (18.0–47.0) | 35.0 (22.0–59.5) | 49.0 (32.8–85.8) | ↑↑ | <0.001, x2(2) = 32.2 ‡ | |
| GGT (U/L) | 31.0 (18.0–57.3) | 50.0 (30.0–93.5) | 91.0 (41.3–206.3) | ↑↑ | <0.001, x2(2) = 61.6 ‡ | |
| BLBt (mg/dL) | 1.0 (0.0–1.0) | 1.0 (1.0–3.0) | 1.0 (1.0–2.0) | ↑↓ | <0.001, x2(2) = 66.7 ‡ | |
| Albumin (g/dL) | 4.0 (4.0–4.0) | 4.0 (3.0–4.0) | 4.0 (3.0–4.0) | ↓↑ | <0.001, x2(2) = 44.7 ‡ | |
| PT (INR) | 1.0 (1.0–1.0) | 1.0 (1.0–1.0) | 1.0 (1.0–1.0) | ↑↓ | <0.001, x2(2) = 27.6 ‡ | |
| PLT (×10⁹/L) | 223.5 (184.5–266.3) | 113.0 (74.8–184.5) | 172.5 (116.3–240.8) | ↓↑ | <0.001, x2(2) = 116.7 ‡ | |
| CHD | N (%) | 31 (18.7%) | 107 (64.5%) | 28 (16.9%) | ||
| Female/Male | 18/13 (58.1%/41.9%) | 52/55 (48.6%/51.4%) | 7/21 (25%/75%) | Male | 0.030 * | |
| Rural/Urban | 10/21 (32.3%/67.7%) | 39/68 (36.4%/65.6%) | 9/19 (32.1%/67.9%) | Urban | 0.861 * | |
| Median (IQR) | Median (IQR) | Median (IQR) | ||||
| Age | 56.0 (47.0–59.0) | 55.0 (48.0–58.0) | 59.0 (55.3–60.8) | ↑↑ | 0.007 x2(2) = 10.1 ‡ | |
| Cholesterol (mg/dL) | 175.0 (149.0–198.0) | 142.0 (125.0–166.0) | 163.0 (126.8–192.8) | ↓↑ | <0.001, x2(2) = 17.5 ‡ | |
| AFP (IU/mL) | 3.0 (2.0–9.0) | 4.0 (3.0–10.0) | 18.5 (5.0–168.3) | ↑↑ | <0.001, x2(2) = 16.1 ‡ | |
| AST (U/L) | 41.0 (25.0–81.0) | 74.0 (52.0–103.0) | 81.0 (49.3–138.8) | ↑↑ | 0.001, x2(2) = 13.3 ‡ | |
| ALT (U/L) | 49.0 (26.0–91.0) | 57.0 (43.0–109.0) | 66.5 (39.3–150.0) | ↑↑ | 0.156, x2(2) = 3.7 ‡ | |
| GGT (U/L) | 40.0 (21.0–65.0) | 60.0 (30.0–126.0) | 70.0 (38.0–232.3) | ↑↑ | 0.006, x2(2) = 10.1 ‡ | |
| BLBt (mg/dL) | 1.0 (1.0–1.0) | 1.0 (1.0–2.0) | 1.0 (1.0–2.8) | ↑↓ | <0.001, x2(2) = 19.6 ‡ | |
| Albumin (g/dL) | 4.0 (4.0–4.0) | 4.0 (3.0–4.0) | 4.0 (3.0–4.0) | ↓↑ | 0.003, x2(2) = 11.4 ‡ | |
| PT (INR) | 1.0 (1.0–1.0) | 1.0 (1.0–1.0) | 1.0 (1.0–1.8) | ↑↑ | 0.019, x2(2) = 7.9 ‡ | |
| PLT (×10⁹/L) | 190.0 (130.0–258.0) | 86.0 (61.0–128.0) | 116.5 (75.0–161.3) | ↓↑ | <0.001, x2(2) = 34.7 ‡ |
| Comorbidity | No Cirrhosis Nor HCC | Cirrhosis | HCC | Trend | p-Value | ||
|---|---|---|---|---|---|---|---|
| CHB | N (%) | 174 (39.9%) | 178 (40.8%) | 84 (19.3%) | |||
| Diabetes | 29/145 16.7%/83.3% | 29/149 16.3%/83.7% | 18/66 21.4%/78.6% | -↑ | 0.559 * | ||
| Type 1 diabetes mellitus | 2/172 1.1%/98.9% | 6/172 3.4%/96.6% | 2/82 2.4%/97.6% | ↑↓ | 0.379 * | ||
| Type 2 diabetes mellitus | 27/147 15.5%/84.5% | 23/155 12.9%/87.1% | 16/68 19.0/81.0% | ↓↑ | 0.427 * | ||
| NAFLD | 43/131 24.7%/75.3% | 12/166 6.7%/93.3% | 5/79 6.0%/94.0% | ↓- | <0.001 * | ||
| Obesity (Body mass index ≥ 30.0 kg/m2) | 23/151 13.2%/86.8% | 12/166 6.7%/93.3% | 4/80 4.8%/95.2% | ↓↓ | 0.034 * | ||
| Hypertension | 67/107 38.5%/61.5% | 46/132 25.8%/74.2% | 25/59 29.8%/70.2% | ↓↑ | 0.035 * | ||
| Essential hypertension | 64/110 36.8%/63.2% | 45/133 25.3%/74.7% | 25/59 29.8%/70.2% | 0.064 * | |||
| Ischemic cardiac disease | 20/154 11.5%/88.5% | 16/162 9.0%/91.0% | 8/76 9.5%/90.5% | ↓- | 0.724 * | ||
| Ischemic stroke | 0 | 2/176 1.1%/98.9% | 1/83 1.2%/98.8% | ↑- | 0.366 * | ||
| Smoking status | 2/172 1.1%/98.9% | 1/177 0.6%/99.4% | 0 | ↓↓ | 0.558 * | ||
| CHD | N (%) | 31 (18.7%) | 107 (64.5%) | 28 (16.9%) | |||
| Diabetes | 0 | 16/91 15.0%/85.0% | 1/27 3.6%/96.4% | ↑↓ | 0.024 * | ||
| Type 1 diabetes mellitus | 0 | 3/104 2.8%/97.2% | 0 | ↑↓ | 0.431 * | ||
| Type 2 diabetes mellitus | 0 | 13/94 12.1%/87.9% | 1/27 3.6%/96.4% | ↑↓ | 0.060 * | ||
| NAFLD | 8/23 25.8%/74.2% | 7/100 6.5%/93.5% | 5/23 17.9%/82.1% | ↓↑ | 0.009 * | ||
| Obesity (Body mass index ≥ 30.0 kg/m2) | 4/27 12.9%/87.1% | 8/99 7.5%/92.5% | 0 | ↓↓ | 0.159 * | ||
| Hypertension | 10/21 32.3%/67.7% | 17/90 15.9%/84.1% | 6/22 21.4%/78.6% | ↓↑ | 0.129 * | ||
| Essential hypertension | 10/21 32.3%/67.7% | 16/91 15.0%/85.0% | 6/22 21.4%/78.6% | ↓↑ | 0.094 * | ||
| Ischemic cardiac disease | 4/27 12.9%/87.1% | 3/104 2.8%/97.2% | 3/25 10.7%/89.3% | ↓↑ | 0.060 * | ||
| Ischemic stroke | 1/30 3.2%/96.8% | 0 | 0 | ↓- | 0.112 * | ||
| Smoking status | 0 | 1/106 0.9%/99.1% | 0 | ↑↓ | 0.758 * |
| Score | CHB | CHD | CHB vs. CHD | p-Value | |
|---|---|---|---|---|---|
| Cirrhosis/advanced fibrosis prediction at the 1st admission | FIB-4 index > 3.25 | 175 (40.1%) | 107 (64.5%) | ↑ | <0.001 * |
| APRI score > 1 | 158 (36.2%) | 114 (68.7%) | ↑ | <0.001 * | |
| AST/ALT ratio < 1 | 253 (58.03%) | 96 (57.83%) | ↓ | 0.519 * |
| Score | CHB | CHD | p-Value | |
|---|---|---|---|---|
| Low risk of HCC at the 1st admission | aMAP score < 50 | 79 (18.1%) | 18 (10.8%) | 0.035 * |
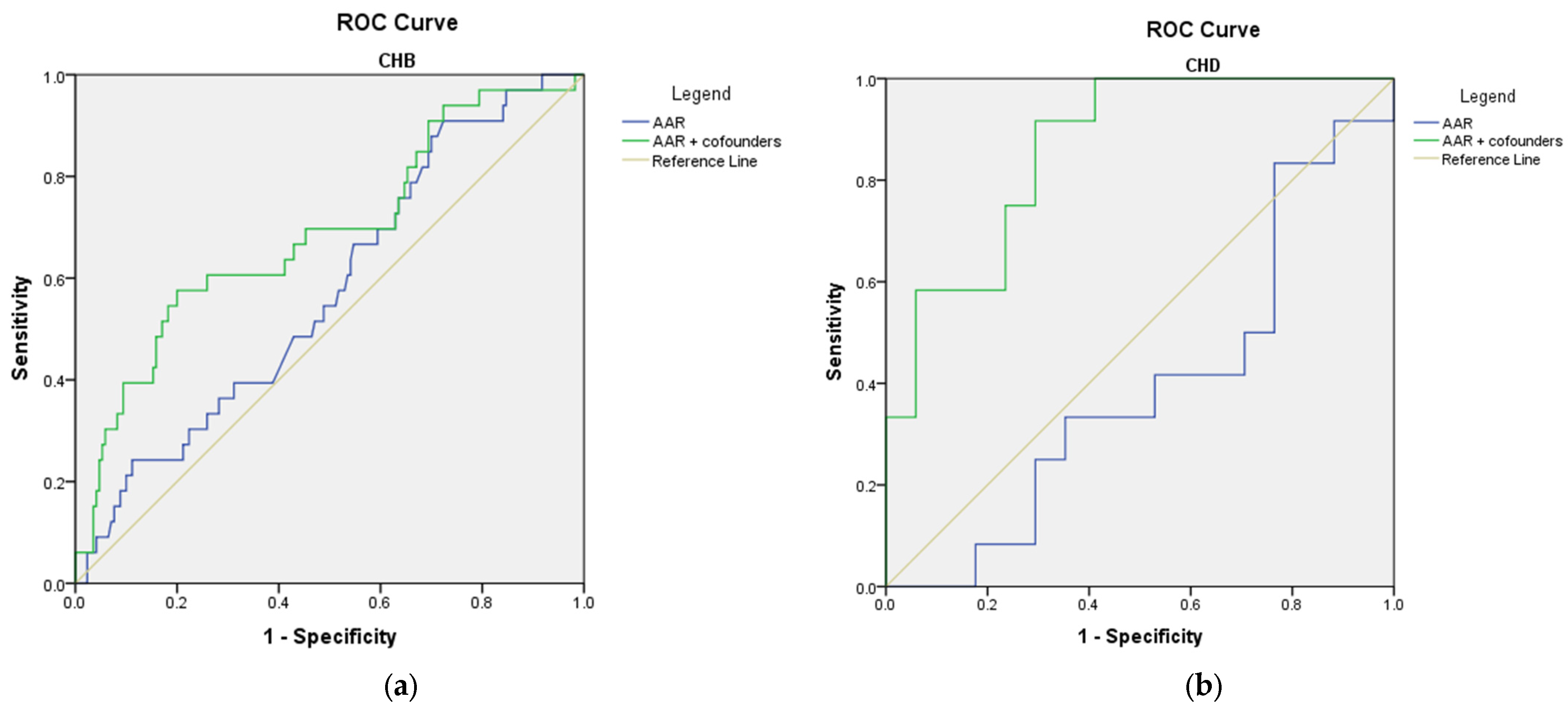
| Cohort | Non-Invasive Score | Additional Parameter | AUC | Std. Error | 95% CI | p-Value |
|---|---|---|---|---|---|---|
| CHB | FIB-4 | None | 0.721 | 0.056 | 0.611–0.830 | <0.001 |
| Therapy | 0.724 | 0.056 | 0.614–0.835 | <0.001 | ||
| Therapy + confounders | 0.768 | 0.048 | 0.675–0.862 | <0.001 | ||
| APRI | None | 0.699 | 0.055 | 0.591–0.806 | <0.001 | |
| Therapy | 0.709 | 0.054 | 0.603–0.815 | <0.001 | ||
| Therapy + confounders | 0.775 | 0.047 | 0.682–0.867 | <0.001 | ||
| AAR | None | 0.574 | 0.052 | 0.473–0.676 | 0.177 | |
| Therapy | 0.597 | 0.054 | 0.490–0.703 | 0.079 | ||
| Therapy + confounders | 0.675 | 0.051 | 0.575–0.775 | 0.001 | ||
| CHD | FIB-4 | None | 0.824 | 0.082 | 0.663–0.984 | 0.003 |
| Therapy | 0.770 | 0.093 | 0.588–0.952 | 0.015 | ||
| Therapy + confounders | 0.838 | 0.073 | 0.694–0.982 | 0.002 | ||
| APRI | None | 0.877 | 0.064 | 0.752–1.000 | 0.001 | |
| Therapy | 0.853 | 0.070 | 0.716–0.990 | 0.001 | ||
| Therapy + confounders | 0.941 | 0.040 | 0.863–1.000 | <0.001 | ||
| AAR | None | 0.392 | 0.107 | 0.182–0.603 | 0.330 | |
| Therapy | 0.667 | 0.104 | 0.463–0.870 | 0.132 | ||
| Therapy + confounders | 0.828 | 0.076 | 0.680–0.977 | 0.003 |
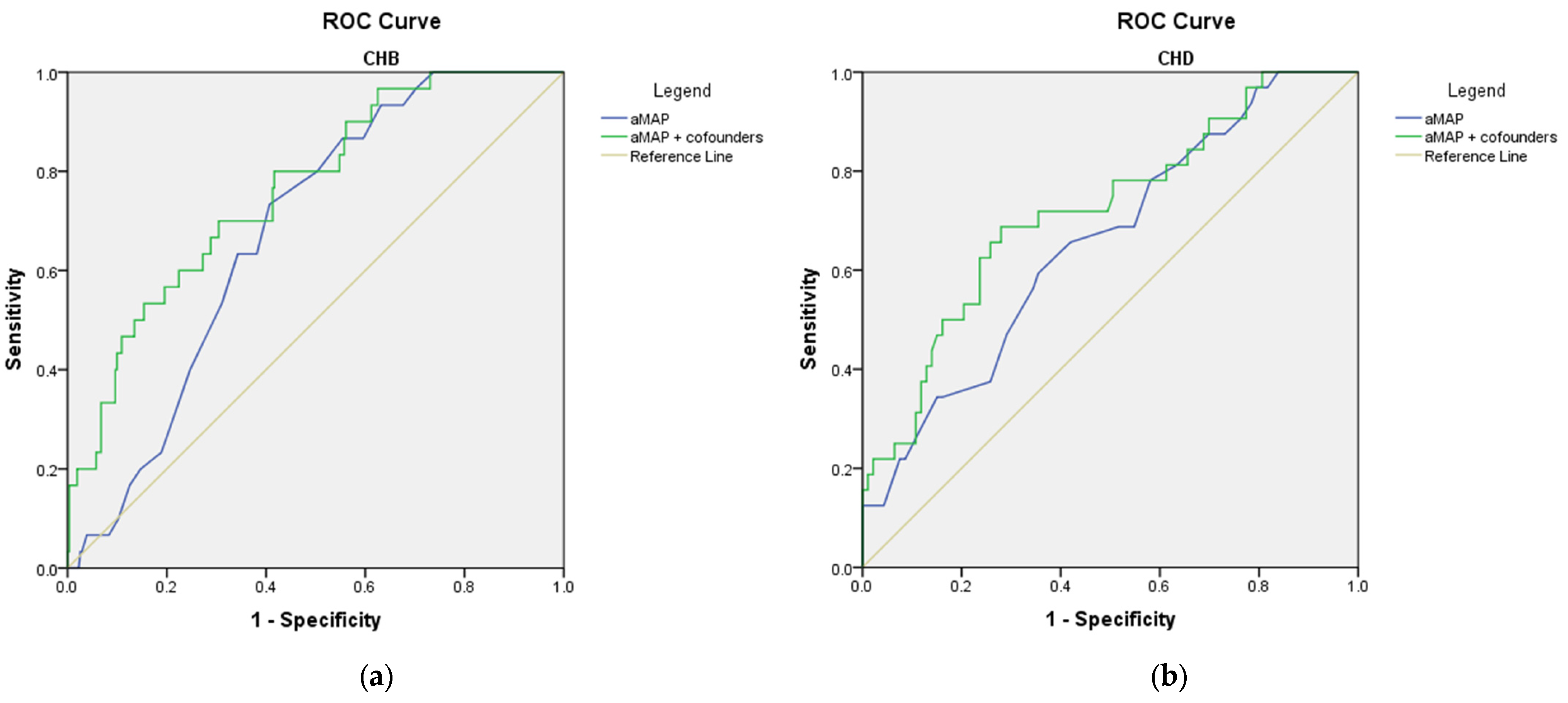
| Cohort | Non-Invasive Score | Additional Parameter | AUC | Std. Error | 95% CI | p-Value |
|---|---|---|---|---|---|---|
| CHB | aMAP | None | 0.678 | 0.039 | 0.602–0.755 | 0.001 |
| Therapy | 0.686 | 0.042 | 0.603–0.768 | 0.001 | ||
| Therapy + confounders | 0.773 | 0.047 | 0.681–0.864 | <0.001 | ||
| CHD | aMAP | None | 0.656 | 0.055 | 0.549–0.763 | 0.009 |
| Therapy | 0.656 | 0.054 | 0.549–0.762 | 0.009 | ||
| Therapy + confounders | 0.745 | 0.048 | 0.650–0.839 | <0.001 |
Disclaimer/Publisher’s Note: The statements, opinions and data contained in all publications are solely those of the individual author(s) and contributor(s) and not of MDPI and/or the editor(s). MDPI and/or the editor(s) disclaim responsibility for any injury to people or property resulting from any ideas, methods, instructions or products referred to in the content. |
© 2023 by the authors. Licensee MDPI, Basel, Switzerland. This article is an open access article distributed under the terms and conditions of the Creative Commons Attribution (CC BY) license (https://creativecommons.org/licenses/by/4.0/).
Share and Cite
Grecu, L.I.; Sultana, C.; Pavel-Tanasa, M.; Ruta, S.M.; Chivu-Economescu, M.; Matei, L.; Ursu, R.G.; Iftimi, E.; Iancu, L.S. Non-Invasive Prediction Scores for Hepatitis B Virus- and Hepatitis D Virus-Infected Patients—A Cohort from the North-Eastern Part of Romania. Microorganisms 2023, 11, 2895. https://doi.org/10.3390/microorganisms11122895
Grecu LI, Sultana C, Pavel-Tanasa M, Ruta SM, Chivu-Economescu M, Matei L, Ursu RG, Iftimi E, Iancu LS. Non-Invasive Prediction Scores for Hepatitis B Virus- and Hepatitis D Virus-Infected Patients—A Cohort from the North-Eastern Part of Romania. Microorganisms. 2023; 11(12):2895. https://doi.org/10.3390/microorganisms11122895
Chicago/Turabian StyleGrecu, Laura Iulia, Camelia Sultana, Mariana Pavel-Tanasa, Simona Maria Ruta, Mihaela Chivu-Economescu, Lilia Matei, Ramona Gabriela Ursu, Elena Iftimi, and Luminita Smaranda Iancu. 2023. "Non-Invasive Prediction Scores for Hepatitis B Virus- and Hepatitis D Virus-Infected Patients—A Cohort from the North-Eastern Part of Romania" Microorganisms 11, no. 12: 2895. https://doi.org/10.3390/microorganisms11122895
APA StyleGrecu, L. I., Sultana, C., Pavel-Tanasa, M., Ruta, S. M., Chivu-Economescu, M., Matei, L., Ursu, R. G., Iftimi, E., & Iancu, L. S. (2023). Non-Invasive Prediction Scores for Hepatitis B Virus- and Hepatitis D Virus-Infected Patients—A Cohort from the North-Eastern Part of Romania. Microorganisms, 11(12), 2895. https://doi.org/10.3390/microorganisms11122895

