Next Article in Journal
Establishment of a Halophilic Bloom in a Sterile and Isolated Hypersaline Mesocosm
Next Article in Special Issue
Bacterial Vaginosis and Vulvovaginal Candidiasis Pathophysiologic Interrelationship
Previous Article in Journal
Predominance of Recombinant Norovirus Strains in Greece, 2016–2018
Previous Article in Special Issue
Escherichia coli Nissle 1917 Antagonizes Candida albicans Growth and Protects Intestinal Cells from C. albicans-Mediated Damage
 
 
Font Type:
Arial Georgia Verdana
Font Size:
Aa Aa Aa
Line Spacing:
Column Width:
Background:
Communication

Exploratory Study of the Relationship between an Oral Fungal Swab Test and Patient Blood Test Data

1
Oral Diagnosis and Medicine, Faculty of Dental Medicine, Graduate School of Dental Medicine, Hokkaido University, Kita-13 Nishi-7, Kita-ku, Sapporo 060-8586, Japan
2
Oral Molecular Microbiology, Faculty of Dental Medicine, Graduate School of Dental Medicine, Hokkaido University, Kita-13 Nishi-7, Kita-ku, Sapporo 060-8586, Japan
*
Author to whom correspondence should be addressed.
Microorganisms 2023, 11(12), 2887; https://doi.org/10.3390/microorganisms11122887
Submission received: 7 November 2023 / Revised: 20 November 2023 / Accepted: 28 November 2023 / Published: 29 November 2023

Abstract

:
Our understanding of the relationship between oral Candida and systemic conditions has significantly increased recently, which this study aims to extend further by investigating the risks of oral candidiasis. A total of 314 patients were involved in this study and underwent an oral swab test at the Department of Oral Medicine, Hokkaido University Hospital, between January and December 2021. Data were collected on age, sex, white and red blood cell counts, Hb, total protein, vitamin B12, as well as serum albumin, iron, copper, and zinc levels. The clinical fungus samples were swabbed to identify those with Candida species using a MALDI Biotyper, then applied analysis of covariance and multivariant logistic regression analysis. It was possible to assess the oral swab test results without considering the difference between sex (p = 0.946). The oral swab test results were associated with aging (odds ratio: 1.03) and serum albumin levels (odds ratio: 0.32). In summary, the results of our study suggest a relationship between aging and oral candidiasis and offer in-depth insights into how to prevent or treat oral candidiasis onset.

1. Introduction

An estimated 30–60% of healthy adults carry Candida species within their oral cavities [1].
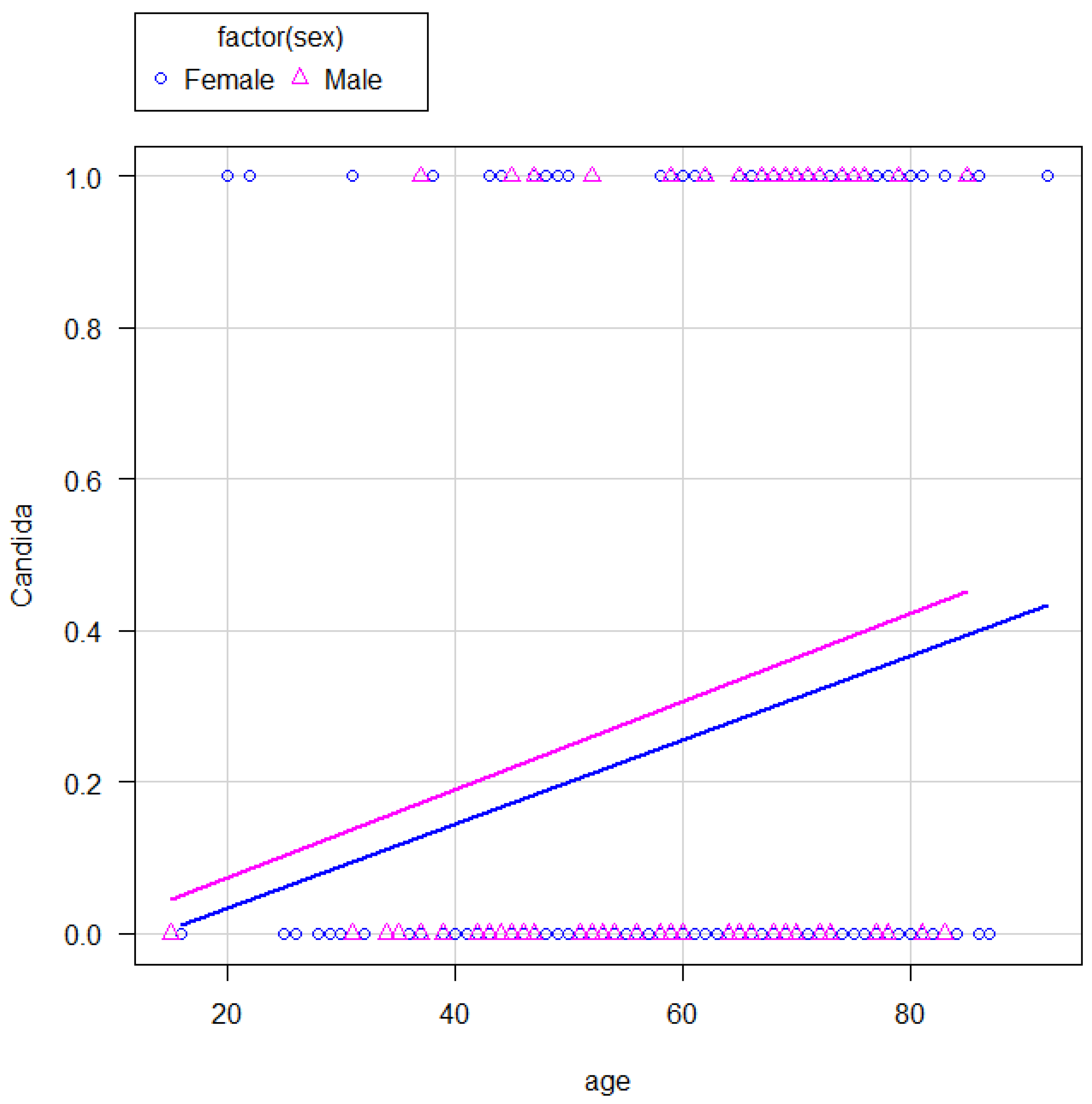
Candida detection in the oral cavity has recently increased in the elderly [2]. Oral candidiasis is an opportunistic infection. Candida infection is usually treated with antifungal drugs, although fewer types of these drugs are available compared to antibacterial drugs. Some cases of azole- or echinocandin-resistant C. albicans have been observed worldwide [2,3]. Fungal drug resistance reportedly represents a treatment hurdle [2,3]. Oral candidiasis is an opportunistic infection with several potential risk factors, such as age, dentures, immunosuppression, dysbiosis, dry mouth, malnutrition, endocrine abnormalities, and anemia [4]. Moreover, the number of dental caries and Candida colony-forming units in the saliva reportedly correlate [5]. However, many papers have reported analytical results that divided continuous data into arbitrary segments, which reduced the amount of information contained in the continuous data [6,7,8,9,10,11]. As a result, information on the continuity is lost during the data segmentation process and becomes discrete data, making it difficult to estimate the results in detail [6,7,8,9,10,11]. This process involves converting the data into discrete data, which reduces their reliability. If age is divided into two categories based on the age of 65 years, individuals under 65 years are considered young and those over 65 years are considered elderly. It is possible to determine if a person is over 65 years old, but not someone’s exact age. This is because the information contained in the data is discarded by segmenting it, which reduces the reliability of the analysis. In this study, continuous data are analyzed as continuous values to avoid loss of the information contained in continuous data. In this regard, using analysis of covariance helps to reduce data errors and to perform highly accurate analyses by assuming that the regression lines for the two groups are parallel (Figure 1). Therefore, the aim of this study is to find a statistical relationship between the physical and biochemical characteristics of adult people and their fungus carrier status.
The results of this study will offer in-depth insights into how to prevent or treat oral candidiasis onset and elucidate the underlying mechanisms of opportunistic infection pathology by deciphering the relationships between certain risk factors using multivariate analysis.

2. Materials and Methods

2.1. Patients and Data Collection

This study entailed a retrospective search for related factors in the examination data of patients who visited the Department of Oral Medicine, Hokkaido University Hospital, as their first visit from January to December 2021.
Data were collected on age, sex, white and red blood cell (WBC and RBC, respectively) counts, Hb, total protein, vitamin B12, as well as serum albumin, iron, copper, and zinc levels. Clinical fungus samples were swabbed (Eiken Chemical Co., Ltd., Tokyo, Japan) and the specimens were promptly transported to the laboratory at our hospital. Mass spectrometry with a MALDI Biotyper ® (Bruker Daltonics, Billerica, MA, USA) was used to identify the Candida species. The MALDI Biotyper analysis was performed according to the manufacturer’s instructions.
This retrospective study was conducted with the approval of the Hokkaido University Hospital Independent Clinical Research Review Committee (Approval No. 202-0049). All the study procedures were performed in accordance with the principles of the Declaration of Helsinki. This article does not disclose identifiable information about any of the participants in any form. Hence, no written consent for publication is applicable in this case.

2.2. Statistical Analysis

The prevalence was calculated, and its 95% confidence interval (CI) was estimated using the Agresti method. The relationships between variables were analyzed using an analysis of covariance (ANCOVA) and multivariate logistic regression (the method of maximum likelihood). The relationship between sex and the co-infection of C. albicans and Nakaseomyces glabrata (syn. Candida glabrata) were examined by Cramer’s coefficient of association. The significance level was set at p < 0.05 for all analyses.
The data were analyzed using Excel (Microsoft® Excel® for Microsoft 365 MSO (version 2306, build 16.0.16529.20164, 64 bit) and R version 4.0.3 (2020-10-10) (Copyright © 2020, The R Foundation for Statistical Computing).

3. Results

The dataset included 314 participants and the Candida species positive rate was 28.0% (CI: 23.1–33.3%).
As summarized in Table 1, the age, serum albumin, and hemoglobin levels as well as the RBC count were imbalanced between the two groups, while the WBC count was only slightly imbalanced between the two groups. Several Candida species were detected in the oral cavity (Table 2).
The results of the analysis of covariance indicate that there is almost no interaction between sex and age (p = 0.946). The effect of sex adjusted for age was, therefore, considered small (p = 0.403), while that of the opposite was considered large (p < 0.05) (Table 3 and Figure 1).
Table 4 presents the results of the univariate logistic regression analysis, although these results are less important as they contain bias.
Subsequently, a multivariate analysis was performed, adjusting for factors that were imbalanced between the two groups (Table 5). Regarding the anemia evaluation index, Hb was selected in consideration of multicollinearity. However, Hb was strongly associated with sex, and anemia and hypoalbuminemia correlated with each other. Hence, Hb could be excluded from the factors. The results of the multivariate analysis, excluding Hb, were summarized and it was concluded that the difference in WBC was negligible (Table 6). The best logistic regression model for our study is shown in Table 7, with odds ratios of 1.03 and 0.32 for aging and serum albumin, respectively. The selected variables were the same results as those of the stepwise reduction using p-values.
Finally, Table 8 presents the C. albicans and N. glabrata co-infection-related patient data. The prevalence of the N. glabrata carriers among the Candida species carriers was 0.1 (0.05–0.19). As the sample size was small and an imbalance could be detected between the groups, no comparisons were possible between them. Moreover, a high amount of missing blood data was present in this case; therefore, these comparisons are unreliable. Thus, a less reliable univariate analysis for sex was performed. Cramer’s coefficient of association between sex and N. glabrata was 0.08 (0.005–0.30); therefore, no associations were observed.

4. Discussion

A cross-sectional study is an appropriate study design for prevalence research. Causal relationships cannot be investigated by cross-sectional studies. It is possible to predict the relationship between events by approximating them by using random variables. It is generally beneficial to use approximate predictions in exploratory studies. ANCOVA is a type of ANOVA that controls the linear effect of covariate variables by using regression analysis. Our analysis of covariance indicated no sex-related differences in the case of Candida infections. Thus, this study concluded that the consideration of the difference in the screening rates of Candida infection occurs equally regardless of sex. Since the elements were balanced in both groups, their effect was insignificant. Moreover, the WBC level might not be associated with Candida positivity, based on the odds ratios in our multivariate analysis.
A previous study compared age in 10-year categories [6], meaning that differences of 1–9 years were considered in the same category. As a result from data segmentation, differences could be observed for participants in their eighties and above [6]. Moreover, our study showed that the patients in whom Candida was detected were 6 years older on average than those in whom Candida was detected, with an odds ratio of 1.03 (positive probability = exp(−2.88 + 0.03 × age)). Our dataset indicated a Candida-positive sensitivity and specificity of 0.66 and 0.58, respectively (AUC: 0.63 (0.56–0.7)) beyond the age of 70 years. These data suggest an over 50% chance of positivity at the ages of 70–80 years and above. The diagnostic accuracy of this discriminant is affected by factors such as prevalence. Considering prevalence, the positive and negative predictive values were 0.4–0.6 and 0.8–0.6, respectively, indicating that beyond 70 years of age, the chances of Candida positivity are 40–60%. Aging contributes to a positive oral Candida test. The odds ratios for age and oral swab test results were consistent with those of 423 individuals, which were collected at different times (Table S1).
A high prevalence of oral Candida infection has been reported in patients with iron deficiency anemia [8]. This relationship was not clear in this study. Chronic inflammations reduce serum albumin levels and the RBC count. Moreover, malnutrition reduces serum albumin levels as well as RBC and hemoglobin counts. Elderly people are prone to anemia and malnutrition, both leading to infectious diseases. Nutritional intake can be intervened by a dentist. Therefore, dentists must treat patients so that they can chew properly. This is to increase the efficiency of nutrient absorption, which will improve serum albumin levels.
Previous preliminary results are available on C. albicans and N. glabrata co-infection. The prevalence of N. glabrata carriers among Candida species carriers was 0.18 (0.12–0.25), and N. glabrata could not be associated with sex (V: 0.003–0.33) [9]. According to our data, N. glabrata cannot be associated with sex either (V: 0.005–0.30). Two independent studies yielded similar results related to prevalence, age, and sex. Therefore, the results of these studies are small but not unreliable. N. glabrata might be associated with denture use (V: 0.13–0.47, p = 0.0007) [9]. Whether the patient used dentures could not be determined based on the medical record information consulted in this study. Certain studies focused on the relationship between dentures and Candida abundance or denture size and Candida colonization frequency [10,11]. In general, the probability of denture use increases with age. Therefore, age might be a confounding factor in C. albicans and N. glabrata co-infection [9]. When N. glabrata is the source of infection, it is likely associated with dentures [9]. Therefore, the source of infection could be potentially eliminated by performing an intraoral check. N. glabrata is naturally resistant to azole antifungal agents [12]. Denture cleaning and oral care by a dental professional could thus represent an effective treatment.
These results are consistent with existing research that revealed that older age is a risk factor [6,7,8,9,10,11]. The meaning of “age extremes” was confirmed by this study [1]. Additionally, there is disagreement regarding the effect of sex [6,7,8,9,10,11], but this study concluded that it was unrelated. Trace elements had a negligible effect compared to others and might only become a risk factor in special circumstances [8]. The odds ratio is a statistic that shows association. Correlation and causation are different concepts. Sometimes, things appear to be related even if they are not. Although the influence of each factor was estimated by the odds ratios, the magnitude of the influence of unmeasured factors is unknown. Multivariate analysis is a relative evaluation of variables. It is also possible that the effect of aging is smaller than the effect of the unmeasured factors. A previous study demonstrated that Candida mannan concentrations were higher in subjects older than 80 years of age with a higher number of either untreated or prosthetic teeth, a lower salivary pH, and a reduced RBC count [6]. However, denture use, current tooth number, and oral hygiene state were not measured as confounding factors, since these data could not be obtained from the medical records. Although these are the limits of the study design and prediction based on approximation, this study presented a more impactful evaluation than the existing results. Future studies should focus on elucidating the relationship between serum albumin levels and diseases through cohort studies. Furthermore, it is necessary to examine the causal relationship between the use of dentures and the onset of oral candidiasis, adjusting for age. Studies on C. albicans and N. glabrata co-infection can calculate sample size from the prevalences. Since the sample size is 390 (>1/0.26 × 1/0.1 × 10) people per one variant, research using the Mantel–Haenszel test is preferable. The results in Table 8 of this study can be used for meta-analysis studies that apply the Mantel–Haenszel test. This study can therefore help to draw new specific hypotheses.

5. Conclusions

In this study, the detection rate of Candida in the oral cavity and the prevalence of N. glabrata carriers among Candida species carriers were approximately 30% and 0.05–0.25, respectively. Sex and trace elements are unrelated to positive Candida tests. However, oral candidiasis development is complex. Serum albumin levels and aging were associated with the oral Candida test results. The older the patient, the more likely they are of testing positive for Candida. Therefore, paying attention to fungal infections is imperative, especially beyond the age of seventy years. Further research is needed to clarify these complex relationships.

Supplementary Materials

The following supporting information can be downloaded at: https://www.mdpi.com/article/10.3390/microorganisms11122887/s1, Table S1: Dataset on preliminary investigation.

Author Contributions

Conceptualization, T.I. and K.-i.S.; methodology, T.I.; software, T.I.; validation, T.I., A.H. and Y.K.; formal analysis, T.I.; investigation, T.I.; resources, T.I.; data curation, T.I.; writing—original draft preparation, T.I.; writing—review and editing, T.I. and Y.K.; visualization, T.I.; supervision, T.I. and A.H.; project administration, T.I.; funding acquisition, K.-i.S. All authors have read and agreed to the published version of the manuscript.

Funding

This research received no external funding.

Institutional Review Board Statement

This retrospective study was conducted with the approval of the Hokkaido University Hospital Independent Clinical Research Review Committee (Approval No. 202-0049). All the study procedures were performed in accordance with the principles of the Declaration of Helsinki.

Informed Consent Statement

This article does not disclose identifiable information of any of the participants in any form. Hence, consent for publication is not applicable in this case.

Data Availability Statement

The data that support the findings of this study are available from the corresponding author upon reasonable request.

Acknowledgments

The authors would like to thank Norio Sugimoto for suggesting the idea of using analysis of covariance.

Conflicts of Interest

The authors declare no conflict of interest.

References

  1. Hellstein, J.W.; Marek, C.L. Candidiasis: Red and white manifestations in the oral cavity. Head Neck Pathol. 2019, 13, 25–32. [Google Scholar] [CrossRef] [PubMed]
  2. Pfaller, M.A.; Diekema, D.J.; Gibbs, D.L.; Newell, V.A.; Ellis, D.; Tullio, V.; Rodloff, A.; Fu, W.; Ling, T.A.; Global Antifungal Surveillance Group. Results from the artemis disk global antifungal surveillance study, 1997 to 2007: A 10.5-year analysis of susceptibilities of Candida species to fluconazole and voriconazole as determined by CLSI standardized disk diffusion. J. Clin. Microbiol. 2010, 48, 1366–1377. [Google Scholar] [CrossRef] [PubMed]
  3. Trovato, L.; Calvo, M.; Scalia, G.; Oliveri, S. A Comparative Prospective Study in Evaluating Candida spp. In Vitro Susceptibility through Micronaut-AM and Sensititre Yeast-One. Microbiol. Res. 2023, 14, 1077–1088. [Google Scholar] [CrossRef]
  4. Patil, S.; Rao, R.S.; Majumdar, B.; Anil, S. Clinical Appearance of oral candida infection and therapeutic strategies. Front. Microbiol. 2015, 6, 1391. [Google Scholar] [CrossRef] [PubMed]
  5. Cerqueira, D.F.; Portela, M.B.; Pomarico, L.; Soares, R.M.A.; de Souza, I.P.R.; Castro, G.F. Examining dentinal carious lesions as a predisposing factor for the oral prevalence of Candida spp. in HIV-infected children. J. Dent. Child. 2007, 74, 98–103. [Google Scholar]
  6. Nishimaki, F.; Yamada, S.-i.; Kawamoto, M.; Sakurai, A.; Hayashi, K.; Kurita, H. Relationship between the quantity of oral Candida and systemic condition/diseases of the host: Oral Candida increases with advancing age and anemia. Mycopathologia 2019, 184, 251–260. [Google Scholar] [CrossRef] [PubMed]
  7. Sato, T.; Kishi, M.; Suda, M.; Sakata, K.; Shimoda, H.; Miura, H.; Ogawa, A.; Kobayashi, S. Prevalence of Candida albicans and non-albicans on the tongue dorsa of elderly people living in a post-disaster area: A cross-sectional survey. BMC Oral Health 2017, 17, 51. [Google Scholar] [CrossRef] [PubMed]
  8. Lu, S.Y. Perception of iron deficiency from oral mucosa alterations that show a high prevalence of Candida infection. J. Formos. Med. Assoc. 2016, 115, 619–627. [Google Scholar] [CrossRef] [PubMed]
  9. Hato, H.; Sakata, K.-I.; Sato, J.; Hasebe, A.; Yamazaki, Y.; Kitagawa, Y. Factor associated with oral candidiasis caused by co-infection of Candida albicans and Candida glabrata: A retrospective study. J. Dent. Sci. 2022, 17, 1458–1461. [Google Scholar] [CrossRef] [PubMed]
  10. Kato, T.; Yamazaki, Y.; Sato, J.; Hata, H.; Oouchi, M.; Moriya, S.; Kitagawa, Y. Reinvestigation of the carriage of Candida species in oral cavities of home independent elderly. Hokkaido J. Dent. Sci. 2013, 33, 121–139. (In Japanese) [Google Scholar]
  11. Lockhart, S.R.; Joly, S.; Vargas, K.; Swails-Wenger, J.; Enger, L.; Soll, D.R. Natural defenses against Candida colonization breakdown in the oral cavities of the elderly. J. Dent. Res. 1999, 78, 857–868. [Google Scholar] [CrossRef] [PubMed]
  12. Redding, S.W. The role of yeasts other than Candida albicans in oropharyngeal candidiasis. Curr. Opin. Infect. Dis. 2001, 14, 673–677. [Google Scholar] [CrossRef] [PubMed]
Figure 1. ANCOVA results. The regression lines for each sex were parallel (p = 0.946). Based on the regression lines, almost no sex-related effect could be detected (p = 0.403). Older people were more likely to test positive (p < 0.05).
Figure 1. ANCOVA results. The regression lines for each sex were parallel (p = 0.946). Based on the regression lines, almost no sex-related effect could be detected (p = 0.403). Older people were more likely to test positive (p < 0.05).
Microorganisms 11 02887 g001
Table 1. Patient demographic data 1.
Table 1. Patient demographic data 1.
FactorGroupNegativePositiveSMDn
n-22688-314
Sex (%)Female181 (80.1)68 (77.3)0.069249
Male45 (19.9)20 (22.7)65
Age (mean (SD)) year60.96 (14.98)67.12 (14.43)0.419314
Alb (mean (SD)) g/dL4.30 (0.29)4.18 (0.34)0.408255
Cu (mean (SD)) μg/dL112.46 (18.98)112.32 (18.01)0.007234
Fe (mean (SD)) μg/dL87.98 (29.51)85.77 (30.88)0.073232
Hb (mean (SD)) g/dL13.62 (1.57)13.09 (1.23)0.376256
RBC (mean (SD)) × 106/μL4.47 (0.50)4.27 (0.44)0.438256
TP (mean (SD)) g/dL7.08 (0.36)7.03 (0.41)0.122255
VB12 (mean (SD)) pg/dL722.06 (592.73)723.44 (707.61)0.002228
WBC (mean (SD)) × 104/μL5.77 (1.66)6.08 (1.97)0.169256
Zn (mean (SD)) μg/dL78.63 (13.49)77.48 (10.82)0.094237
SMD: Standardized mean difference.
Table 2. Candida species and Nakaseomyces glabrata (syn. Candida glabrata) case counts.
Table 2. Candida species and Nakaseomyces glabrata (syn. Candida glabrata) case counts.
Candida SpeciesCounts
C. albicans67
N. glabrata5
Meyerozyma guilliermondii
(syn. Candida guilliermondii)
1
C. tropicalis0
C. parapsilosis2
C. albicans + N. glabrata8
C. albicans + M. guilliermondii3
C. tropicalis + N. glabrata1
C. albicans + C. tropicalis1
Table 3. ANCOVA results.
Table 3. ANCOVA results.
ANOVA Table (Type III tests)p-Value
Interaction0.946
Factor (sex)0.403
Age0.000854
Table 4. Results of univariate analysis 1.
Table 4. Results of univariate analysis 1.
Logistic Regression AnalysisOdds Ratio95% CIp-Valuen
age1.03(1.01, 1.05)0.0013314
Alb0.25(0.09, 0.66)0.0052255
Cu1.00(0.98, 1.02)0.96234
Fe1.00(0.99, 1.01)0.64232
Hb0.79(0.65, 0.97)0.021256
RBC0.41(0.22, 0.76)0.0051256
TP0.72(0.33, 1.60)0.40255
VB121.00(1.00, 1.00)0.99228
WBC1.10(0.94, 1.30)0.23256
Zn0.99(0.97, 1.02)0.57237
CI: Confidence interval.
Table 5. Results of the multivariate analysis 1.
Table 5. Results of the multivariate analysis 1.
Logistic Regression AnalysisOdds Ratio95% CIp-ValueVIF
Analysis of Deviance--0.0011-
Age1.03(1.00, 1.05)0.021.03
Alb0.44(0.15, 1.32)0.141.19
WBC1.14(0.96, 1.35)0.141.05
Hb0.85(0.68, 1.06)0.151.22
VIF: Variance inflation factor.
Table 6. Result of the multivariate analysis 2.
Table 6. Result of the multivariate analysis 2.
Logistic Regression AnalysisOdds Ratio95% CIp-ValueVIF
Analysis of Deviance--0.0010-
Age1.03(1.01, 1.05)0.011.03
Alb0.33(0.12, 0.90)0.031.03
WBC1.11(0.94, 1.31)0.241.00
Table 7. Results of the multivariate analysis 3.
Table 7. Results of the multivariate analysis 3.
Logistic Regression AnalysisOdds Ratio95% CIp-ValueVIF
Analysis of Deviance--0.00058-
Age1.03(1.01, 1.05)0.011.03
Alb0.32(0.12, 0.88)0.031.03
Table 8. Demographic data of patients 2.
Table 8. Demographic data of patients 2.
FactorGroupCandida albicansC. albicans + N. glabrataSMD
n-728-
Sex (%)Female55 (76.4)7 (87.5)0.29
Male17 (23.6)1 (12.5)
Age (mean (SD)) year65.5 (15.0)75.5(9.6)0.79
Alb (mean (SD)) g/dL4.21 (0.33)4.04 (0.23)0.58
Cu (mean (SD)) μg/dL111.4 (18.8)117.3 (15.0)0.35
Fe (mean (SD)) μg/dL86.2 (33.5)92.1 (17.8)0.22
Hb (mean (SD)) g/dL13.2 (1.22)12.5 (0.75)0.72
RBC (mean (SD)) × 106/μL4.3 (0.44)4.1 (0.30)0.63
TP (mean (SD)) g/dL7.1 (0.37)7.0 (0.37)0.09
VB12 (mean (SD)) pg/dL741.7 (775.5)557.43 (280.0)0.32
WBC (mean (SD)) × 104/μL6.0 (1.7)6.9 (3.5)0.32
Zn (mean (SD)) μg/dL76.7 (11.0)78.6 (7.3)0.21
Disclaimer/Publisher’s Note: The statements, opinions and data contained in all publications are solely those of the individual author(s) and contributor(s) and not of MDPI and/or the editor(s). MDPI and/or the editor(s) disclaim responsibility for any injury to people or property resulting from any ideas, methods, instructions or products referred to in the content.

Share and Cite

MDPI and ACS Style

Itagaki, T.; Sakata, K.-i.; Hasebe, A.; Kitagawa, Y. Exploratory Study of the Relationship between an Oral Fungal Swab Test and Patient Blood Test Data. Microorganisms 2023, 11, 2887. https://doi.org/10.3390/microorganisms11122887

AMA Style

Itagaki T, Sakata K-i, Hasebe A, Kitagawa Y. Exploratory Study of the Relationship between an Oral Fungal Swab Test and Patient Blood Test Data. Microorganisms. 2023; 11(12):2887. https://doi.org/10.3390/microorganisms11122887

Chicago/Turabian Style

Itagaki, Tatsuki, Ken-ichiro Sakata, Akira Hasebe, and Yoshimasa Kitagawa. 2023. "Exploratory Study of the Relationship between an Oral Fungal Swab Test and Patient Blood Test Data" Microorganisms 11, no. 12: 2887. https://doi.org/10.3390/microorganisms11122887

APA Style

Itagaki, T., Sakata, K.-i., Hasebe, A., & Kitagawa, Y. (2023). Exploratory Study of the Relationship between an Oral Fungal Swab Test and Patient Blood Test Data. Microorganisms, 11(12), 2887. https://doi.org/10.3390/microorganisms11122887

Note that from the first issue of 2016, this journal uses article numbers instead of page numbers. See further details here.

Article Metrics

Back to TopTop