Symbiotic Functioning and Photosynthetic Rates Induced by Rhizobia Associated with Jack Bean (Canavalia ensiformis L.) Nodulation in Eswatini
Abstract
:1. Introduction
2. Materials and Methods
2.1. Origin of Isolates and Trapping Rhizobia in the Glasshouse
2.2. Bacteria Isolation from Root Nodules
2.3. Authentication of Bacterial Isolates
2.4. Gas Exchange Measurements and Symbiotic Effectiveness
2.5. Shoot and Root 15N/14N Analysis
2.6. Amount of N-Fixed in Shoots
2.7. Shoot and Root 13C/12C Isotopic Analysis
2.8. Statistical Analysis
3. Results
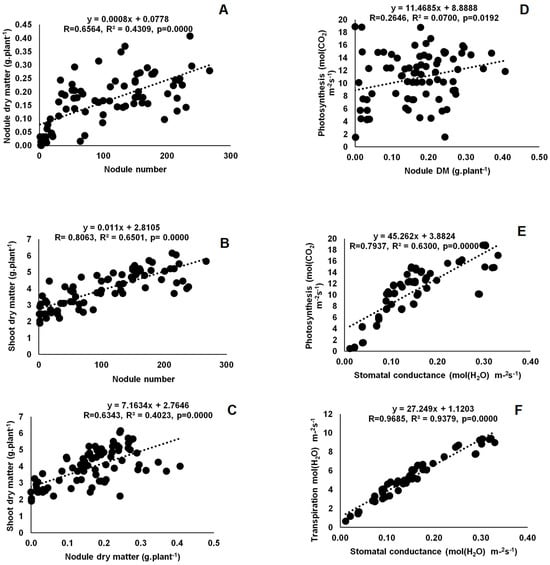
3.1. Nodule Number and Nodule Dry Matter per Plant
3.2. Shoot Dry Matter
3.3. Photosynthetic Rates, Stomatal Conductance, Leaf Transpiration and WUE Induced by Test Isolates
3.4. Relative Symbiotic Effectiveness
3.5. Symbiotic Parameters
3.5.1. Shoot %N, N Content, δ 15N and N-Fixed
3.5.2. Root %N, N Content, δ 15N and N-Fixed
3.5.3. Whole-Plant %N, N Content, δ 15N and N-Fixed
3.6. Carbon Assimilation and δ13C Values
3.6.1. Shoot %C, C Content, C:N Ratio and δ13C
3.6.2. Root %C, C Content, C:N Ratio and δ13C
4. Discussion
4.1. Symbiotic Effectiveness and Its Effect on Photosynthetic Rates Induced by Microsymbionts Nodulating Jack Bean in Eswatini Soils
4.2. Symbiotic Performance and C Assimilation by the 22 Microsymbionts Nodulating Jack Bean in Eswatini
Author Contributions
Funding
Data Availability Statement
Acknowledgments
Conflicts of Interest
References
- Drechsel, P.; Gyiele, L.; Kunze, D.; Cofie, O. Population Density, Soil Nutrient Depletion, and Economic Growth in Sub-Saharan Africa. 2001. Available online: www.elsevier.com/locate/ecolecon (accessed on 3 May 2021).
- Salahuddin, M.; Gow, J.; Vink, N. Effects of environmental quality on agricultural productivity in sub Saharan African countries: A second generation panel based empirical assessment. Sci. Total Environ. 2020, 741, 140520. [Google Scholar] [CrossRef] [PubMed]
- Ndegwa, J.K.; Gichimu, B.M.; Mugwe, J.N.; Mucheru-Muna, M.; Njiru, D.M. Integrated Soil Fertility and Water Management Practices for Enhanced Agricultural Productivity. Int. J. Agron. 2023, 2023, 8890794. [Google Scholar] [CrossRef]
- Sanchez, P.A. Soil fertility and hunger in Africa. Science 2002, 295, 2019–2020. [Google Scholar] [CrossRef] [PubMed]
- Morris, M.; Kelly, V.A.; Kopicki, R.J.; Byerlee, D.R. Fertilizer Use in African Agriculture: Lessons Learned and Good Practice Guidelines; The World Bank: Washington, DC, USA, 2007. [Google Scholar]
- Mkhabela, T.S.; Materechera, S.A. Factors influencing the utilization of cattle and chicken manure for soil fertility management by emergent farmers in the moist Midlands of KwaZulu-Natal Province, South Africa. Nutr. Cycl. Agroecosyst. 2003, 65, 151–162. [Google Scholar] [CrossRef]
- Mafongoya, P.L.; Bationo, A.; Kihara, J.; Waswa, B.S. Appropriate technologies to replenish soil fertility in southern Africa. Nutr. Cycl. Agroecosyst. 2006, 76, 137–151. [Google Scholar] [CrossRef]
- Yirga, C.; Hassan, R.M. Social costs and incentives for optimal control of soil nutrient depletion in the central highlands of Ethiopia. Agric. Syst. 2010, 103, 153–160. [Google Scholar] [CrossRef]
- Tully, K.; Sullivan, C.; Weil, R.; Sanchez, P. The State of soil degradation in sub-Saharan Africa: Baselines, trajectories, and solutions. Sustainability 2015, 7, 6523–6552. [Google Scholar] [CrossRef]
- Kebede, E. Grain legumes production and productivity in Ethiopian smallholder agricultural system, contribution to livelihoods and the way forward. Cogent Food Agric. 2020, 6, 1722353. [Google Scholar] [CrossRef]
- Bedoussac, L.; Journet, E.P.; Hauggaard-Nielsen, H.; Naudin, C.; Corre-Hellou, G.; Jensen, E.S.; Prieur, L.; Justes, E. Ecological principles underlying the increase of productivity achieved by cereal-grain legume intercrops in organic farming. A review. Agron. Sustain. Dev. 2015, 35, 911–935. [Google Scholar] [CrossRef]
- Considine, M.J.; Siddique, K.H.M.; Foyer, C.H. Nature’s pulse power: Legumes, food security and climate change. J. Exp. Bot. 2017, 68, 1815–1818. [Google Scholar] [CrossRef]
- Ferguson, B.J.; Mathesius, U. Phytohormone Regulation of Legume-Rhizobia Interactions. J. Chem. Ecol. 2014, 40, 770–790. [Google Scholar] [CrossRef] [PubMed]
- Andrews, M.; De Meyer, S.; James, E.K.; Stępkowski, T.; Hodge, S.; Simon, M.F.; Young, J.P.W. Horizontal transfer of symbiosis genes within and between rhizobial genera: Occurrence and importance. Genes 2018, 9, 321. [Google Scholar] [CrossRef] [PubMed]
- Gyogluu, C.; Mohammed, M.; Jaiswal, S.K.; Kyei-Boahen, S.; Dakora, F.D. Assessing host range, symbiotic effectiveness, and photosynthetic rates induced by native soybean rhizobia isolated from Mozambican and South African soils. Symbiosis 2018, 75, 257–266. [Google Scholar] [CrossRef] [PubMed]
- Jaiswal, S.K.; Msimbira, L.A.; Dakora, F.D. Phylogenetically diverse group of native bacterial symbionts isolated from root nodules of groundnut (Arachis hypogaea L.) in South Africa. Syst. Appl. Microbiol. 2017, 40, 215–226. [Google Scholar] [CrossRef]
- Niste, M.; Vidican, R.; Pop, R.; Rotar, I. Stress factors affecting symbiosis activity and nitrogen fixation by Rhizobium cultured in vitro. ProEnviron. Promediu 2013, 6, 42–45. [Google Scholar]
- Chaulagain, D.; Frugoli, J. The regulation of nodule number in legumes is a balance of three signal transduction pathways. Int. J. Mol. Sci. 2021, 22, 1117. [Google Scholar] [CrossRef]
- Lin, J.; Roswanjaya, Y.P.; Kohlen, W.; Stougaard, J.; Reid, D. Nitrate restricts nodule organogenesis through inhibition of cytokinin biosynthesis in Lotus japonicus. Nat. Commun. 2021, 12, 6544. [Google Scholar] [CrossRef]
- Martínez-Romero, E. Diversity of Rhizobium-Phaseolus Vulgaris Symbiosis: Overview and Perspectives; Spring: Berlin/Heidelberg, Germany, 2003. [Google Scholar]
- Lindström, K.; Murwira, M.; Willems, A.; Altier, N. The biodiversity of beneficial microbe-host mutualism: The case of rhizobia. Res. Microbiol. 2010, 161, 453–463. [Google Scholar] [CrossRef]
- Ngwenya, Z.D.; Mohammed, M.; Jaiswal, S.K.; Dakora, F.D. Phylogenetic relationships among Bradyrhizobium species nodulating groundnut (Arachis hypogea L.), jack bean (Canavalia ensiformis L.) and soybean (Glycine max Merr.) in Eswatini. Sci. Rep. 2022, 12, 10629. [Google Scholar] [CrossRef]
- Santos, M.S.; Nogueira, M.A.; Hungria, M. Microbial inoculants: Reviewing the past, discussing the present and previewing an outstanding future for the use of beneficial bacteria in agriculture. AMB Express 2019, 9, 205. [Google Scholar] [CrossRef]
- Muleta, D.; Ryder, M.H.; Denton, M.D. The potential for rhizobial inoculation to increase soybean grain yields on acid soils in Ethiopia. Soil Sci. Plant Nutr. 2017, 63, 441–451. [Google Scholar] [CrossRef]
- Bala, A.; Abaidoo, R.; Woomer, P. N2 Africa Putting Nitrogen Fixation to Work for Smallholder Farmers in Africa Rhizobia Strain Isolation and Characterisation Protocol Milestone Reference Number 3.1.1. 2011. Available online: www.N2Africa.org (accessed on 11 May 2021).
- Oriola, K.O.; Hussein, J.B.; Oke, M.O.; Ajetunmobi, A. Description and evaluation of physical and moisture-dependent thermal properties of jack bean seeds (Canavalia ensiformis). J. Food Process. Preserv. 2021, 45, e15166. [Google Scholar] [CrossRef]
- Eke, C.N.U.; Asoegwu, S.N.; Nwandikom, G.I. Some Physical Properties of Jackbean Seed (Canavalia ensiformis). 2007. Available online: https://www.researchgate.net/publication/264872581 (accessed on 1 October 2018).
- Sant’Anna, S.A.C.; Martins, M.R.; Goulart, J.M.; Araújo, S.N.; Araújo, E.S.; Zaman, M.; Jantalia, C.P.; Alves, B.J.R.; Boddey, R.M.; Urquiaga, S. Biological nitrogen fixation and soil N2O emissions from legume residues in an Acrisol in SE Brazil. Geoderma Reg. 2018, 15, e00196. [Google Scholar] [CrossRef]
- de Sousa, F.F.; do Carmo, D.L.; de Souza Carneiro, J.E.; Urquiaga, S.; Santos, R.H.S. Legumes as green manure for common bean cultivated in two growing seasons at southeast Brazil. Afr. J. Agric. Res. 2016, 11, 4953–4958. [Google Scholar]
- Seidel, E.P.; dos Reis, W.; Mottin, M.C. Effects of surface application of gypsum in corn intercropped with jack bean (Canavalia eusiformis) with different soil penetration resistance. Aust. J. Crop Sci. 2016, 10, 985–989. [Google Scholar] [CrossRef]
- Odori, C.; Ngaira, J.; Kinyua, J.; Nyaboga, E.N. Morphological, genetic diversity and symbiotic functioning of rhizobia isolates nodulating cowpea (Vigna unguiculata L. Walp) in soils of Western Kenya and their tolerance to abiotic stress. Cogent Food Agric. 2020, 6, 1853009. [Google Scholar] [CrossRef]
- Mohammed, M.; Jaiswal, S.K.; Dakora, F.D. Insights into the phylogeny, nodule function, and biogeographic distribution of microsymbionts nodulating the orphan Kersting’s groundnut [Macrotyloma geocarpum (Harms) Marechal & Baudet] in African soils. Appl. Environ. Microbiol. 2019, 85, e00342-19. [Google Scholar]
- Ibny, F.Y.I.; Jaiswal, S.K.; Mohammed, M.; Dakora, F.D. Symbiotic effectiveness and ecologically adaptive traits of native rhizobial symbionts of Bambara groundnut (Vigna subterranea L. Verdc.) in Africa and their relationship with phylogeny. Sci. Rep. 2019, 9, 12666. [Google Scholar] [CrossRef]
- Dlamini, S.T.; Jaiswal, S.K.; Mohammed, M.; Dakora, F.D. Studies of Phylogeny, Symbiotic Functioning and Ecological Traits of Indigenous Microsymbionts Nodulating Bambara Groundnut (Vigna subterranea L. Verdc) in Eswatini. Microb. Ecol. 2021, 82, 688–703. [Google Scholar] [CrossRef]
- Gunnabo, A.H.; Geurts, R.; Wolde-Meskel, E.; Degefu, T.; Giller, K.E.; Van Heerwaarden, J. Genetic interaction studies reveal superior performance of Rhizobium tropici CIAT899 on a range of diverse East African common bean (Phaseolus vulgaris L.) genotypes. Appl. Env. Microbiol. 2021, 85, e01763-19. [Google Scholar] [CrossRef]
- Adjei, J.A.; Aserse, A.A.; Yli-Halla, M.; Ahiabor, B.D.; Abaidoo, R.C.; Lindstrom, K. Phylogenetically diverse Bradyrhizobium genospecies nodulate Bambara groundnut (Vigna subterranea L. Verdc) and soybean (Glycine max L. Merril) in the northern savanna zones of Ghana. FEMS Microbiol. Ecol. 2022, 98, fiac043. [Google Scholar] [CrossRef]
- Du Plessis, R.F.; Burger, R.D.T. A comparison of chemical extraction methods for the evaluation of phosphate availability of top soils. S. Afr. J. Agric. Sci. 1965, 8, 1113–1122. [Google Scholar]
- Vincent, J. A Manual for the Practical Study of the Root-Nodule Bacteria; Blackwell Scientific Publications: Edinburgh, Scotland, 1970. [Google Scholar]
- Broughton, W.J.; Dilworth, M.J. Control of Leghaemoglobin Synthesis in Snake Beans. Biochem. J. 1971, 125, 1075–1080. [Google Scholar] [CrossRef] [PubMed]
- Somasegaran, P.; Hoben, H. Methods in Legume-Rhizobium; University of Hawaii NifTAL Project and MIRCEN, Department of Agronomy and Soil Science, Hawaii Institute of Tropical Agriculture and Human Resources, College of Tropical Agriculture and Human Resources: New York, USA, 1985. [Google Scholar]
- Singh, S.K.; Raja Reddy, K. Regulation of photosynthesis, fluorescence, stomatal conductance and water-use efficiency of cowpea (Vigna unguiculata [L.] Walp.) under drought. J. Photochem. Photobiol. B 2011, 105, 40–50. [Google Scholar] [CrossRef]
- Kebede, E.; Amsalu, B.; Argaw, A.; Tamiru, S. Symbiotic effectiveness of cowpea (Vigna unguiculata (L.) Walp.) nodulating rhizobia isolated from soils of major cowpea producing areas in Ethiopia. Cogent Food Agric. 2020, 6, 1763648. [Google Scholar] [CrossRef]
- Purcino, H.M.A.; Festin, P.M.; Elkan, G.H. Identification of effective strains of Bradyrhizobium for Arachis pintoi. Trop. Agric. 2000, 77, 226–231. [Google Scholar]
- Fening, J.O.; Danso, S.K.A. Variation in symbiotic effectiveness of cowpea bradyrhizobia indigenous to Ghanaian soils. Appl. Soil Ecol. 2002, 21, 23–29. [Google Scholar] [CrossRef]
- Unkovich, M.; Herridge, D.; Peoples, M.; Cadisch, G.; Boddey, R.; Giller, K.; Alves, B.; Chalk, P. Measuring Plant-Associated Nitrogen Fixation in Agricultural Systems; Australian Centre for International Agricultural Research: Canberra, Australia, 2008. [Google Scholar]
- Robinson, D. δ15N as an integrator of the nitrogen cycle. Trends Ecol. Evol. 2001, 16, 153–162. [Google Scholar] [CrossRef]
- Farquhar, G.; Dawson, T.; Tu, K.; Templer, P. Carbon Isotope Discrimination and Photosynthesis Related Papers Stable Isotopes in Plant Ecology. 1989. Available online: www.annualreviews.org/aronline (accessed on 26 October 2020).
- Craig, H. Isotopic standards for carbon and oxygen and correction factors for mass-spectrometric analysis of carbon dioxide. Geochim. Cosmochim. Acta 1957, 12, 133–149. [Google Scholar] [CrossRef]
- Osei, O.; Abaidoo, R.C.; Ahiabor, B.D.K.; Boddey, R.M.; Rouws, L.F.M. Bacteria related to Bradyrhizobium yuanmingense from Ghana are effective groundnut micro-symbionts. Appl. Soil Ecol. 2018, 127, 41–50. [Google Scholar] [CrossRef]
- Chen, J.Y.; Gu, J.; Wang, E.T.; Ma, X.X.; Kang, S.T.; Huang, L.Z.; Cao, X.P.; Li, L.B.; Wu, Y.L. Wild peanut Arachis duranensis are nodulated by diverse and novel Bradyrhizobium species in acid soils. Syst. Appl. Microbiol. 2014, 37, 525–532. [Google Scholar] [CrossRef] [PubMed]
- Hobbie, S.E. Effects of plant species on nutrient cycling. Trends Ecol. Evol. 1992, 7, 336–339. [Google Scholar] [CrossRef] [PubMed]






| Nutrient | Ka-Zulu Farm | New Heaven | Luve | Malkerns |
|---|---|---|---|---|
| pH (KCl) | 4.3 | 3.9 | 6.1 | 4.4 |
| Total N (%) | 0.069 | 0.112 | 0.036 | 0.075 |
| Available P (mg·kg−1) | 4 | 13 | 53 | 14 |
| K (mg·kg−1) | 25 | 41 | 21 | 54 |
| Cu (mg·kg−1) | 1.47 | 5.9 | 0.14 | 0.91 |
| Zn (mg·kg−1) | 2.17 | 1.68 | 2.09 | 1.69 |
| Ca (mg·kg−1) | 0.22 | 1.09 | 0.35 | 1.15 |
| Fe (mg·kg−1) | 54.69 | 152.1 | 81.66 | 452.80 |
| Mg cmol(+)Fe (mg·kg−1) | 0.13 | 0.81 | 0.18 | 0.84 |
| Na (mg·kg−1) | 7 | 25 | 9 | 5 |
| Isolate | Location | Nodule Number | Nodule Dry Matter | Nodule Dry Matter/Nodule Number | Shoot Dry Matter | Root Dry Matter | Root Dry Matter/Shoot Dry Matter | Whole-Plant Dry Matter | Relative Symbiotic Effectiveness |
|---|---|---|---|---|---|---|---|---|---|
| g.plant−1 | mg. plant−1 | g.plant−1. | g.plant−1 | g.plant−1 | g.plant−1 | % | |||
| TUTCEeS1 | Malkerns | 194.00 ± 9.49 a | 0.20 ± 0.01 de | 1.04 ± 0.09 gh | 5.08 ± 0.12 bc | 0.60 ± 0.03 bc | 0.12 ± 0.00 g–k | 5.68 ± 0.14 bc | 109.55 ± 2.51 ab |
| TUTCEeS2 | Malkerns | 194.00 ± 22.07 a | 0.24 ± 0.00 bc | 1.29 ± 0.16 fgh | 5.78 ± 0.32 b | 0.62 ± 0.02 b | 0.11 ± 0.01 ijk | 6.40 ± 0.33 b | 124.64 ± 6.85 a |
| TUTCEeS3 | Malkerns | 126.00 ± 3.46 ef | 0.14 ± 0.01 gh | 1.09 ± 0.07 gh | 3.77 ± 0.38 gh | 0.57 ± 0.10 bcd | 0.16 ± 0.01 c–h | 4.33 ± 0.34 fg | 81.18 ± 8.12 ef |
| TUTCEeS4 | Malkerns | 56.00 ± 2.65 g | 0.13 ± 0.01 ghi | 2.30 ± 0.28 c | 4.05 ± 0.05 efg | 0.60 ± 0.03 bc | 0.15 ± 0.01 d–j | 4.65 ± 0.03 def | 87.28 ± 1.08 de |
| TUTCEeS5 | Malkerns | 195.00 ± 38.35 a | 0.20 ± 0.01 de | 1.09 ± 0.19 gh | 4.82 ± 0.15 c–f | 0.55 ± 0.05 bcd | 0.12 ± 0.01 g–k | 5.37 ± 0.10 cde | 103.81 ± 3.13 bcd |
| TUTCEeS6 | Malkerns | 166.00 ± 6.33 a–d | 0.25 ± 0.01 b | 1.51 ± 0.20 efg | 4.87 ± 0.27 cd | 0.63 ± 0.02 b | 0.13 ± 0.00 f–k | 5.50 ± 0.28 c | 104.89 ± 5.78 bc |
| TUTCEeS7 | Malkerns | 157.00 ± 6.89 b–e | 0.24 ± 0.01 bc | 1.52 ± 0.08 efg | 4.65 ± 0.14 c–f | 0.45 ± 0.03 cd | 0.10 ± 0.01 k | 5.10 ± 0.13 c–f | 100.22 ± 3.11 bcd |
| TUTCEeS8 | Malkerns | 187.00 ± 6.51 ab | 0.15 ± 0.01 fg | 0.82 ± 0.05 h | 4.57 ± 0.34 c–f | 0.50 ± 0.03 bcd | 0.11 ± 0.00 h–k | 5.07 ± 0.37 c–f | 98.42 ± 7.26 bcd |
| TUTCEeS9 | Malkerns | 141.00 ± 11.50 de | 0.12 ± 0.01 hi | 0.83 ± 0.03 h | 4.03 ± 0.24 fg | 0.57 ± 0.03 bcd | 0.14 ± 0.01 e–k | 4.60 ± 0.25 ef | 86.93 ± 5.18 de |
| TUTCEeS10 | Malkerns | 20.00 ± 1.76 l–p | 0.06 ± 0.01 j | 3.23 ± 0.11 b | 2.88 ± 0.07 ij | 0.58 ± 0.04 bc | 0.20 ± 0.02 b–f | 3.47 ± 0.06 h | 62.14 ± 1.57 g |
| TUTCEeS11 | Malkerns | 48.00 ± 3.38 gh | 0.11 ± 0.01 hi | 2.23 ± 0.05 cd | 2.63 ± 0.18 ij | 0.58 ± 0.02 bc | 0.22 ± 0.01 ab | 3.22 ± 0.19 h | 56.75 ± 3.95 g |
| TUTCEeS12 | Malkerns | 149.00 ± 5.90 cde | 0.25 ± 0.01 b | 1.68 ± 0.02 d–g | 5.20 ± 0.20 bc | 0.52 ± 0.02 bcd | 0.10 ± 0.01 jk | 5.72 ± 0.19 bc | 112.07 ± 4.31 ab |
| TUTCEeS13 | Malkerns | 164.00 ± 8.72 a–d | 0.21 ± 0.01 cd | 1.30 ± 0.13 fgh | 4.43 ± 0.14 c–g | 0.48 ± 0.04 bcd | 0.11 ± 0.01 h–k | 4.92 ± 0.09 c–f | 95.55 ± 2.94 b–e |
| TUTCEeS14 | Malkerns | 181.00 ± 9.74 abc | 0.30 ± 0.01 a | 1.66 ± 0.09 d–g | 4.20 ± 0.15 d–g | 0.42 ± 0.02 d | 0.10 ± 0.00 jk | 4.62 ± 0.17 ef | 90.52 ± 3.29 cde |
| TUTCEeS15 | Malkerns | 155.00 ± 4.04 b–e | 0.17 ± 0.01 ef | 1.11 ± 0.03 gh | 4.92 ± 0.12 cd | 0.60 ± 0.10 bc | 0.12 ± 0.02 g–k | 5.52 ± 0.04 c | 105.96 ± 2.51 bc |
| TUTCEeS16 | Malkerns | 172.00 ± 14.19 a–d | 0.28 ± 0.01 a | 1.66 ± 0.06 d–g | 4.55 ± 0.43 c–f | 0.50 ± 0.07 bcd | 0.11 ± 0.02 g–k | 5.05 ± 0.47 c–f | 98.06 ± 9.29 bcd |
| TUTCEeS17 | Malkerns | 20.00 ± 15.34 hi | 0.10 ± 0.01 i | 4.90 ± 0.49 a | 3.29 ± 0.43 hi | 0.50 ± 0.03 bcd | 0.16 ± 0.03 c–h | 3.79 ± 0.41 gh | 70.98 ± 9.32 fg |
| TUTCEeS18 | Malkerns | 139.00 ± 8.69 de | 0.23 ± 0.01 bcd | 1.64 ± 0.11 d–g | 4.85 ± 0.13 cde | 0.61 ± 0.04 b | 0.13 ± 0.01 g–k | 5.46 ± 0.16 cd | 104.53 ± 2.71 bc |
| TUTCEeS19 | Malkerns | 36.00 ± 1.20 hi | 0.11 ± 0.01 hi | 3.15 ± 0.19 b | 3.02 ± 0.34 hij | 0.60 ± 0.03 bc | 0.20 ± 0.01 bc | 3.62 ± 0.37 gh | 65.01 ± 7.37 fg |
| TUTCEeS21 | Malkerns | 8.00 ± 0.67 i | 0.01 ± 0.00 k | 1.90 ± 0.48 c–f | 3.13 ± 0.09 hij | 0.55 ± 0.03 bcd | 0.18 ± 0.01 b–f | 3.68 ± 0.12 gh | 67.53 ± 2.00 fg |
| TUTCEeS36 | New Heaven | 17.00 ± 1.73 hi | 0.03 ± 0.00 jk | 2.08 ± 0.12 cde | 2.53 ± 0.04 ij | 0.48 ± 0.03 bcd | 0.19 ± 0.01 bcd | 3.01 ± 0.07 h | 54.45 ± 0.93 g |
| TUTCEeS38 | Luve | 56.00 ± 3.93 g | 0.20 ± 0.01 de | 3.58 ± 0.23 b | 3.23 ± 0.32 hij | 0.52 ± 0.03 bcd | 0.16 ± 0.01 c–g | 3.75 ± 0.35 gh | 69.68 ± 6.85 fg |
| B. XS21 | - | 105.00 ± 0.88 f | 0.19 ± 0.02 de | 1.86 ± 0.11 c–f | 4.64 ± 0.08 c–f | 0.58 ± 0.02 bc | 0.13 ± 0.00 g–k | 5.23 ± 0.09 cde | 100.07 ± 1.70 bcd |
| 5 mM KNO3 | - | NA | NA | NA | 7.62 ± 0.31 a | 1.42 ± 0.07 a | 0.19 ± 0.00 b–e | 9.03 ± 0.38 a | NA |
| Uninoculated (Control) | - | NA | NA | NA | 2.48 ± 0.26 j | 0.62 ± 0.02 b | 0.25 ± 0.02 a | 3.10 ± 0.28 h | NA |
| F statistics | - | 55.29 *** | 17.89 *** | 12.39 *** | 21.42 *** | 13.67 *** | 11.13 *** | 21.87 *** | 15.55 *** |
| Isolate | Photosynthic Rate | Stomatal Conductance | Transpiration Rate | Wate Use Efficiency |
|---|---|---|---|---|
| mol (CO2) m−2s−1 | mol (H2O) m−2s−1 | mol (H2O) m−2s−1 | µmol (CO2) mol−1 (H2O) | |
| TUTCEeS1 | 12.96 ± 1.20 cd | 0.14 ± 0.02 c–g | 5.73 ± 0.83 b–e | 94.87 ± 9.11 bc |
| TUTCEeS2 | 14.84 ± 0.06 b | 0.14 ± 0.00 c–e | 4.98 ± 0.00 def | 103.41 ± 0.33 ab |
| TUTCEeS3 | 13.85 ± 0.47 b | 0.18 ± 0.01 de | 6.31 ± 0.22 bc | 63.16 ± 0.13 ij |
| TUTCEeS4 | 11.62 ± 1.57 bc | 0.21 ± 0.06 b | 6.52 ± 1.23 b | 72.85 ± 10.67 ghi |
| TUTCEeS5 | 12.86 ± 0.13 cd | 0.18 ± 0.00 bc | 6.61 ± 0.02 b | 73.44 ± 0.48 f–i |
| TUTCEeS6 | ND | ND | ND | ND |
| TUTCEeS7 | ND | ND | ND | ND |
| TUTCEeS8 | 7.46 ± 0.05 g | 0.09 ± 0.00 ghi | 3.76 ± 0.01 ghi | 82.50 ± 0.36 c–g |
| TUTCEeS9 | 13.31 ± 0.4 c | 0.15 ± 0.01 cde | 4.80 ± 0.17 efg | 91.35 ± 4.95 b–e |
| TUTCEeS10 | 5.86 ± 0.12 h | 0.07 ± 0.00 hij | 3.30 ± 0.01 hi | 79.68 ± 1.73 d–g |
| TUTCEeS11 | 18.81 ± 0.04 a | 0.30 ± 0.00 a | 9.30 ± 0.04 a | 62.45 ± 0.40 ij |
| TUTCEeS12 | 8.68 ± 0.20 g | 0.09 ± 0.00 g–i | 4.20 ± 0.19 fgh | 93.70 ± 5.81 bcd |
| TUTCEeS13 | 5.74 ± 5.74 hi | 0.07 ± 0.00 hij | 2.74 ± 0.00 i | 77.83 ± 0.87 e–h |
| TUTCEeS14 | 15.00 ± 0.30 b | 0.18 ± 0.02 bc | 6.54 ± 0.47 b | 87.45 ± 8.57 c–f |
| TUTCEeS15 | 10.56 ± 0.41 ef | 0.10 ± 0.01 e–i | 3.38 ± 0.23 hi | 103.25 ± 6.04 ab |
| TUTCEeS16 | 12.63 ± 0.59 cd | 0.15 ± 0.02 cde | 5.23 ± 0.43 cf | 87.76 ± 7.07 c–f |
| TUTCEeS17 | 7.46 ± 0.04 g | 0.12 ± 0.00 d–h | 4.89 ± 0.01 ef | 60.68 ± 0.28 ij |
| TUTCEeS18 | 10.24 ± 0.03 jef | 0.11 ± 0.00 d–i | 4.78 ± 0.00 efg | 95.47 ± 0.25 bc |
| TUTCEeS19 | 8.35 ± 0.02 g | 0.15 ± 0.00 cd | 5.47 ± 0.02 b–e | 56.12 ± 0.24 j |
| TUTCEeS21 | ND | ND | ND | ND |
| TUTCEeS36 | 4.32 ± 0.02 i | 0.04 ± 0.00 jk | 1.44 ± 0.01 j | 113.44 ± 0.49 a |
| TUTCEeS38 | 4.50 ± 0.04 hi | 0.07 ± 0.00 ij | 2.82 ± 0.00 i | 65.09 ± 0.52 hij |
| B. XS21 | 11.66 ± 0.04 de | 0.11 ± 0.00 d–i | 3.35 ± 0.00 hi | 110.64 ± 0.43 b |
| 5 mM KNO3 | 10.06 ± 0.09 f | 0.16 ± 0.00 cd | 6.04 ± 0.03 bcd | 64.01 ± 0.36 ij |
| Uninoculated (Control) | 0.61 ± 0.08 j | 0.02 ± 0.00 k | 0.10 ± 0.18 j | 34.94 ± 4.06 k |
| F statistics | 112.32 *** | 30.71 *** | 46.95 *** | 31.37 *** |
| Isolate | Shoot | Root | Whole-Plant | ||||||||||||
|---|---|---|---|---|---|---|---|---|---|---|---|---|---|---|---|
| DM | N | N Content | δ15N | N-Fixed | DM | N | N Content | δ15N | N-Fixed | DM | N | N Content | δ15N | N-Fixed | |
| g.plant−1 | % | mg.plant−1 | mg.plant−1 | g.plant−1 | % | mg.plant−1 | kg.ha−1 | g.plant−1 | % | mg.plant−1 | kg.ha−1 | ||||
| TUTCEeS1 | 5.08 ± 0.12 bcd | 3.29 ± 0.18 abc | 167.61 ± 12.40 ab | −0.48 ± 0.17 e | 132.84 ± 10.24 abc | 0.60 ± 0.03 b | 2.55 ± 0.26 abc | 15.25 ± 1.44 bcd | 0.67 ± 0.14 l | 3.43 ± 0.56 ab | 5.68 ± 0.14 bcd | 5.84 ± 0.24 abc | 182.86 ± 12.65 ab | −0.38 ± 0.16 fg | 136.27 ± 10.03 abc |
| TUTCEeS2 | 5.78 ± 0.32 b | 3.45 ± 0.14 ab | 200.47 ± 18.53 a | −0.37 ± 0.30 e | 165.70 ± 24.79 a | 0.60 ± 0.06 b | 2.42 ± 0.03 b–e | 14.53 ± 1.55 b–e | 2.05 ± 0.02 cd | 2.71 ± 3.04 ab | 6.38 ± 0.37 b | 5.87 ± 0.17 abc | 215.00 ± 20.01 a | −0.21 ± 0.28 efg | 168.40 ± 27.83 a |
| TUTCEeS3 | 3.77 ± 0.38 fgh | 2.91 ± 0.26 abc | 111.40 ± 19.75 c–f | 0.13 ± 0.02 de | 76.62 ± 17.77 c–g | 0.57 ± 0.10 b | 2.52 ± 0.07 a–d | 14.28 ± 2.48 b–e | 1.64 ± 0.17 efg | 2.45 ± 2.56 ab | 4.33 ± 0.34 d–i | 5.43 ± 0.31 bcd | 125.67 ± 18.54 c–g | 0.31 ± 0.03 d–g | 79.08 ± 15.24 c–f |
| TUTCEeS4 | 4.05 ± 0.05 efg | 2.63 ± 0.12 bcd | 106.48 ± 5.83 def | 0.58 ± 0.48 cde | 71.70 ± 5.30 d–h | 0.60 ± 0.03 b | 2.12 ± 0.01 fg | 12.72 ± 0.61 b–f | 2.28 ± 0.06 bc | 0.89 ± 2.30 ab | 4.18 ± 0.49 e–i | 4.75 ± 0.12 de | 119.19 ± 5.23 d–g | 0.76 ± 0.45 cde | 72.60 ± 6.47 d–g |
| TUTCEeS5 | 4.82 ± 0.15 cde | 3.55 ± 0.14 ab | 170.49 ± 3.25 ab | 0.02 ± 0.22 e | 135.71 ± 4.82 abc | 0.55 ± 0.05 b | 2.37 ± 0.02 c–f | 13.03 ± 1.24 b–f | 1.30 ± 0.07 hij | 1.21 ± 2.50 ab | 5.37 ± 0.10 b–e | 5.91 ± 0.13 abc | 183.52 ± 3.23 ab | 0.11 ± 0.20 efg | 136.92 ± 6.80 abc |
| TUTCEeS6 | 4.87 ± 0.27 cde | 3.93 ± 0.57 a | 191.61 ± 31.60 a | 0.13 ± 0.07 de | 156.83 ± 23.94 ab | 0.63 ± 0.07 b | 2.76 ± 0.08 a | 17.46 ± 1.95 b | 1.19 ± 0.20 ijk | 5.64 ± 0.96 a | 5.50 ± 0.33 b–e | 6.68 ± 0.64 a | 209.07 ± 33.27 ab | 0.22 ± 0.05 efg | 162.48 ± 23.73 ab |
| TUTCEeS7 | 4.65 ± 0.14 c–f | 3.70 ± 0.15 a | 172.44 ± 12.41 ab | −0.57 ± 0.25 e | 137.67 ± 17.01 ab | 0.45 ± 0.03 b | 2.52 ± 0.02 a–d | 11.33 ± 0.67 c–f | 0.73 ± 0.07 l | −0.49 ± 2.14 ab | 5.10 ± 0.13 b–g | 6.22 ± 0.17 ab | 183.77 ± 12.03 ab | −0.49 ± 0.24 g | 137.17 ± 18.54 abc |
| TUTCEeS8 | 4.57 ± 0.34 c–f | 2.98 ± 0.02 abc | 136.01 ± 10.89 b–e | −0.49 ± 0.11 e | 101.24 ± 17.18 b–f | 0.50 ± 0.03 b | 2.52 ± 0.12 a–d | 12.64 ± 1.08 b–f | 1.21 ± 0.07 ijk | 0.82 ± 1.85 ab | 5.07 ± 0.37 b–g | 5.50 ± 0.12 bcd | 148.65 ± 11.71 b–e | −0.34 ± 0.10 efg | 102.05 ± 19.02 b–e |
| TUTCEeS9 | 4.03 ± 0.24 efg | 1.67 ± 0.26 de | 66.78 ± 8.75 fgh | 2.01 ± 0.71 ab | 32.01 ± 4.04 ghi | 0.57 ± 0.03 b | 2.44 ± 0.10 b–e | 13.86 ± 1.28 b–f | 1.74 ± 0.17 ef | 2.04 ± 3.09 ab | 4.93 ± 0.58 c–g | 4.11 ± 0.22 efg | 80.65 ± 7.53 ghi | 1.92 ± 0.59 ab | 34.05 ± 4.72 fgh |
| TUTCEeS10 | 2.88 ± 0.07 i | 2.93 ± 0.19 abc | 84.27 ± 4.73 fgh | 0.61 ± 0.06 cde | 49.49 ± 4.46 f–i | 0.58 ± 0.07 b | 1.95 ± 0.01 ghi | 11.37 ± 1.28 c–f | 1.64 ± 0.04 efg | −0.45 ± 3.08 ab | 3.43 ± 0.17 hij | 4.88 ± 0.18 cde | 95.64 ± 4.09 f–i | 0.73 ± 0.08 c–f | 49.04 ± 7.50 f–h |
| TUTCEeS11 | 2.63 ± 0.18 i | 1.89 ± 0.45 de | 51.33 ± 16.04 gh | 1.78 ± 0.72 abc | 16.56 ± 9.95 hi | 0.58 ± 0.02 b | 1.70 ± 0.09 hi | 9.90 ± 0.68 ef | 2.43 ± 0.03 b | −1.92 ± 1.25 ab | 3.38 ± 0.36 hij | 3.58 ± 0.53 g | 61.23 ± 16.71 hi | 1.86 ± 0.63 ab | 14.64 ± 9.29 gh |
| TUTCEeS12 | 5.20 ± 0.20 bc | 3.36 ± 0.04 ab | 174.53 ± 5.13 ab | −0.42 ± 0.11 e | 139.76 ± 3.36 ab | 0.52 ± 0.02 b | 2.23 ± 0.14 ef | 11.50 ± 0.47 c–f | 1.65 ± 0.20 efg | −0.32 ± 1.36 ab | 5.75 ± 0.18 bc | 5.59 ± 0.12 bcd | 186.03 ± 5.59 ab | −0.29 ± 0.11 efg | 139.44 ± 4.58 abc |
| TUTCEeS13 | 4.43 ± 0.14 c–f | 3.41 ± 0.15 ab | 151.53 ± 10.02 a–d | −0.13 ± 0.18 e | 116.75 ± 14.99 a–e | 0.50 ± 0.10 b | 2.54 ± 0.02 abc | 12.70 ± 2.66 b–f | 1.08 ± 0.06 jk | 0.88 ± 3.31 ab | 4.93 ± 0.55 c–g | 5.95 ± 0.16 ab | 164.23 ± 8.10 a–d | −0.04 ± 0.17 efg | 117.64 ± 15.97 a–d |
| TUTCEeS14 | 4.20 ± 0.15 def | 3.81 ± 0.26 a | 159.35 ± 5.69 abc | −0.41 ± 0.24 e | 124.57 ± 11.32 a–d | 0.42 ± 0.04 b | 2.45 ± 0.01 b–e | 10.18 ± 1.02 def | 0.94 ± 0.01 kl | −1.64 ± 0.79 ab | 4.62 ± 0.36 c–h | 6.26 ± 0.27 ab | 169.53 ± 5.27 abc | −0.33 ± 0.23 efg | 122.94 ± 12.10 a–d |
| TUTCEeS15 | 4.92 ± 0.12 cde | 3.14 ± 0.29 abc | 154.81 ± 17.73 a–d | −0.15 ± 0.28 e | 120.04 ± 24.24 a–d | 0.60 ± 0.10 b | 2.62 ± 0.05 abc | 15.80 ± 2.96 bc | 1.70 ± 0.02 efg | 3.98 ± 2.39 ab | 5.52 ± 0.04 b–e | 5.76 ± 0.24 abc | 170.61 ± 15.07 ab | 0.03 ± 0.27 efg | 124.02 ± 23.71 a–d |
| TUTCEeS16 | 4.55 ± 0.43 c–f | 3.89 ± 0.56 a | 174.27 ± 18.57 ab | −0.16 ± 0.24 e | 139.49 ± 21.79 ab | 0.50 ± 0.07 b | 2.51 ± 0.12 a–d | 12.60 ± 1.89 b–f | 1.38 ± 0.16 g–j | 0.78 ± 1.38 ab | 5.05 ± 0.47 b–g | 6.40 ± 0.45 ab | 186.86 ± 19.93 abc | −0.06 ± 0.23 efg | 140.27 ± 23.17 abc |
| TUTCEeS17 | 3.29 ± 0.43 ghi | 2.30 ± 0.41 cde | 76.67 ± 20.04 fgh | 0.63 ± 0.60 cde | 41.90 ± 27.79 ghi | 0.50 ± 0.03 b | 1.95 ± 0.04 ghi | 9.75 ± 0.44 ef | 1.81 ± 0.09 de | −2.07 ± 1.44 ab | 3.79 ± 0.41 g–j | 4.26 ± 0.37 efg | 86.43 ± 19.92 ghi | 0.75 ± 0.55 c–f | 39.84 ± 28.48 fgh |
| TUTCEeS18 | 4.85 ± 0.13 cde | 3.46 ± 0.40 ab | 168.47 ± 22.48 ab | −0.22 ± 0.17 e | 131.16 ± 30.74 abc | 0.61 ± 0.04 b | 2.66 ± 0.05 ab | 16.26 ± 1.32 bc | 2.17 ± 0.11 bc | 4.44 ± 2.75 ab | 5.46 ± 0.56 b–e | 6.12 ± 0.45 ab | 184.73 ± 23.77 ab | −0.01 ± 0.15 efg | 135.60 ± 32.15 abc |
| TUTCEeS19 | 3.02 ± 0.34 hi | 1.58 ± 0.07 e | 47.91 ± 6.74 gh | 1.30 ± 0.33 bcd | 13.14 ± 9.16 hi | 0.60 ± 0.03 b | 1.68 ± 0.02 i | 10.10 ± 0.57 def | 2.19 ± 0.07 bc | −1.72 ± 2.20 ab | 3.95 ± 0.70 f–j | 3.26 ± 0.08 g | 58.01 ± 7.21 hi | 1.45 ± 0.28 bc | 11.42 ± 11.25 gh |
| TUTCEeS21 | 3.13 ± 0.09 hi | 1.63 ± 0.03 e | 51.13 ± 0.79 gh | 2.83 ± 0.03 a | 16.36 ± 8.48 hi | 0.53 ± 0.04 b | 1.81 ± 0.07 hi | 9.64 ± 0.67 ef | 2.95 ± 0.07 a | −2.18 ± 1.91 b | 3.33 ± 0.47 hij | 3.45 ± 0.09 g | 60.77 ± 1.43 hi | 2.85 ± 0.03 a | 14.18 ± 10.39 gh |
| TUTCEeS36 | 2.53 ± 0.04 i | 1.73 ± 0.06 de | 43.62 ± 0.78 i | 2.67 ± 0.13 a | 9.64 ± 7.39 i | 0.48 ± 0.03 b | 1.96 ± 0.05 gh | 9.52 ± 0.88 ef | 2.98 ± 0.01 a | −2.30 ± 2.48 b | 2.80 ± 0.24 j | 3.69 ± 0.06 fg | 53.15 ± 0.87 i | 2.72 ± 0.10 a | 7.35 ± 9.86 h |
| TUTCEeS38 | 3.23 ± 0.32 ghi | 2.89 ± 0.71 abc | 94.97 ± 29.15 efg | 0.42 ± 1.04 de | 60.20 ± 34.47 e–g | 0.52 ± 0.03 b | 1.73 ± 0.07 hi | 9.01 ± 0.92 f | 1.45 ± 0.06 f–i | −2.82 ± 2.69 b | 3.75 ± 0.35 g–j | 4.62 ± 0.68 def | 103.98 ± 29.21 e–h | 0.46 ± 0.94 c–g | 57.39 ± 35.79 e–h |
| B. XS21 | 4.64 ± 0.08 c–f | 3.64 ± 0.45 ab | 168.76 ± 19.79 ab | −0.47 ± 0.25 e | 133.99 ± 22.27 abc | 0.58 ± 0.02 b | 2.25 ± 0.01 def | 13.13 ± 0.44 b–f | 1.57 ± 0.11 efg | 1.31 ± 1.77 ab | 5.23 ± 0.09 b–f | 5.89 ± 0.44 abc | 181.89 ± 19.36 ab | −0.31 ± 0.22 efg | 135.29 ± 23.13 abc |
| Uninoculated (Control) | 2.48 ± 0.60 i | 1.40 ± 0.04 e | 34.77 ± 8.03 i | 1.25 ± 0.03 bcd | ND | 0.62 ± 0.10 b | 1.93 ± 0.07 ghi | 11.82 ± 1.81 c–f | 1.45 ± 0.04 f–i | ND | 3.10 ± 0.70 ij | 3.33 ± 0.05 g | 46.59 ± 9.80 i | 1.30 ± 0.02 bcd | ND |
| 5 mM KNO3 | 7.70 ± 040 a | 1.43 ± 0.13 e | 110.26 ± 12.02 def | 1.70 ± 0.04 abc | ND | 1.42 ± 0.19 a | 1.90 ± 0.05 ghi | 26.78 ± 2.85 a | 0.20 ± 0.02 m | ND | 9.12 ± 0.58 a | 3.33 ± 0.15 g | 137.04 ± 13.17 b–f | 1.41 ± 0.05 bc | ND |
| F statistics | 19.78 *** | 7.82 *** | 12.31 *** | 7.77 *** | 8.16 *** | 7.40 *** | 16.36 *** | 5.78 *** | 42.43 *** | 2.50 ** | 10.34 *** | 13.01 *** | 12.60 *** | 8.75 *** | 7.71 *** |
| Isolate | Shoot | Root | ||||||
|---|---|---|---|---|---|---|---|---|
| C | C Content | C:N Ratio | δ13C | C | C Content | C:N Ratio | δ13C | |
| % | mg.plant−1 | ‰ | % | mg.plant−1 | ‰ | |||
| TUTCEeS1 | 43.18 ± 0.0.16 abc | 2195.35 ± 58.07 bcd | 13.20 ± 0.67 e | −23.98 ± 0.06 ab | 44.73 ± 0.73 ab | 268.76 ± 16.91 b | −23.48 ± 0.08 bcd | 17.90 ± 1.90 fgh |
| TUTCEeS2 | 43.24 ± 0.11 abc | 2500.50 ± 134.15 b | 12.57 ± 0.55 e | −24.59 ± 0.13 b–f | 42.70 ± 0.69 a–f | 255.52 ± 21.18 b | −24.01 ± 0.27 e–h | 17.68 ± 0.51 fgh |
| TUTCEeS3 | 42.89 ± 0.07 abc | 1615.54 ± 160.71 fgh | 15.00 ± 1.47 de | −24.24 ± 0.18 a–d | 43.72 ± 0.94 abc | 249.49 ± 49.03 b | −24.13 ± 0.24 fgh | 17.36 ± 0.49 fgh |
| TUTCEeS4 | 42.59 ± 0.39 c | 1725.10 ± 35.70 efg | 16.28 ± 0.73 de | −25.35 ± 0.20 g–j | 43.74 ± 0.18 abc | 262.52 ± 13.44 b | −23.62 ± 0.07 c–f | 20.64 ± 0.13 de |
| TUTCEeS5 | 42.76 ± 0.11 bc | 2059.18 ± 57.21 cde | 12.09 ± 0.46 e | −24.31 ± 0.30 a–d | 42.92 ± 0.27 a–f | 236.08 ± 21.65 b | −23.10 ± 0.07 ab | 18.13 ± 0.23 fg |
| TUTCEeS6 | 43.29 ± 0.14 abc | 2107.25 ± 119.07 cde | 11.44 ± 1.43 e | −24.23 ± 0.19 a–d | 43.43 ± 0.32 a–d | 275.25 ± 29.81 b | −23.11 ± 0.20 ab | 15.78 ± 0.33 h |
| TUTCEeS7 | 42.44 ± 0.17 cd | 1973.29 ± 60.44 c–f | 11.51 ± 0.48 e | −24.60 ± 0.08 b–f | 42.58 ± 0.34 a–f | 191.80 ± 13.70 b | −23.31 ± 0.07 bc | 16.91 ± 0.27 fgh |
| TUTCEeS8 | 43.20 ± 0.12 abc | 1972.79 ± 145.71 c–f | 14.52 ± 0.09 de | −23.87 ± 0.30 a | 45.06 ± 0.03 a | 225.33 ± 13.16 b | −23.56 ± 0.17 b–e | 17.95 ± 0.85 fgh |
| TUTCEeS9 | 40.82 ± 0.28 ef | 1646.78 ± 99.89 fg | 25.49 ± 3.59 abc | −25.63 ± 0.16 h–k | 42.03 ± 1.99 b–f | 237.40 ± 12.74 b | −23.05 ± 0.12 ab | 17.30 ± 1.08 fgh |
| TUTCEeS10 | 43.14 ± 0.06 abc | 1243.84 ± 32.35 i | 14.86 ± 0.96 de | −24.56 ± 0.23 b–f | 40.97 ± 0.67 c–g | 238.21 ± 24.48 b | −24.97 ± 0.09 i | 21.01 ± 0.27 d |
| TUTCEeS11 | 40.99 ± 0.85 ef | 1082.07 ± 95.94 i | 23.73 ± 4.24 bc | −25.70 ± 0.19 ijk | 42.01 ± 0.42 b–f | 244.99 ± 6.61 b | −24.29 ± 0.11 h | 24.88 ± 1.07 a |
| TUTCEeS12 | 43.88 ± 0.03 a | 2282.06 ± 89.20 bc | 13.07 ± 0.16 e | −24.47 ± 0.13 a–e | 39.02 ± 2.38 g | 200.81 ± 6.31 b | −23.51 ± 0.09 b–e | 17.49 ± 0.50 fgh |
| TUTCEeS13 | 42.943 ± 0.19 abc | 1903.96 ± 61.73 c–f | 12.63 ± 0.50 e | −24.15 ± 0.15 a–d | 40.70 ± 1.32 d–g | 201.33 ± 37.63 b | −23.72 ± 0.12 c–g | 16.03 ± 0.61 gh |
| TUTCEeS14 | 43.68 ± 0.32 ab | 1833.66 ± 53.01 def | 11.56 ± 0.72 e | −24.50 ± 0.09 b–e | 43.29 ± 0.26 a–d | 180.28 ± 18.72 b | −23.73 ± 0.11 c–g | 17.69 ± 0.09 fgh |
| TUTCEeS15 | 42.80 ± 0.07 bc | 2104.23 ± 48.15 cde | 13.92 ± 1.42 de | −24.08 ± 0.17 abc | 43.62 ± 0.74 a–d | 263.24 ± 49.37 b | −23.99 ± 0.16 d–h | 16.65 ± 0.18 fgh |
| TUTCEeS16 | 43.35 ± 0.26 abc | 1971.24 ± 181.74 c–f | 11.54 ± 1.41 e | −24.78 ± 0.23 d–g | 43.19 ± 0.16 a–e | 217.62 ± 32.30 b | −23.46 ± 0.26 bc | 17.29 ± 0.85 fgh |
| TUTCEeS17 | 41.54 ± 0.46 de | 1368.99 ± 184.52 ghi | 19.77 ± 3.29 cd | −25.34 ± 0.20 g–j | 41.62 ± 0.49 c–g | 207.86 ± 10.24 b | −23.66 ± 0.14 c–g | 21.30 ± 0.188 cd |
| TUTCEeS18 | 42.72 ± 0.04 bc | 2071.89 ± 55.57 cde | 12.64 ± 1.31 e | −24.52 ± 0.17 b–e | 42.77 ± 0.49 a–f | 261.24 ± 19.22 b | −22.73 ± 0.11 a | 16.08 ± 0.12 gh |
| TUTCEeS19 | 40.51 ± 0.36 f | 1224.05 ± 149.12 i | 25.74 ± 1.20 abc | −25.61 ± 0.03 h–k | 40.24 ± 0.58 efg | 241.73 ± 14.91 b | −23.79 ± 0.24 c–g | 23.92 ± 0.34 a |
| TUTCEeS21 | 40.76 ± 0.41 ef | 1277.70 ± 49.46 hi | 24.97 ± 0.68 abc | −25.85 ± 0.21 kj | 42.17 ± 0.08 a–f | 224.87 ± 18.27 b | −23.44 ± 0.08 bc | 23.33 ± 0.98 abc |
| TUTCEeS36 | 41.55 ± 0.08 de | 1049.74 ± 18.17 i | 24.09 ± 0.80 bc | −25.51 ± 0.30 h–k | 40.06 ± 1.05 fg | 193.51 ± 13.35 b | −23.69 ± 0.16 c–g | 20.41 ± 0.66 de |
| TUTCEeS38 | 42.37 ± 0.57 cd | 1372.30 ± 148.39 ghi | 17.08 ± 5.00 de | −25.16 ± 0.28 f–i | 41.15 ± 0.85 c–g | 213.16 ± 17.81 b | −23.70 ± 0.04 c–g | 23.77 ± 0.54 ab |
| B. XS21 | 42.75 ± 0.25 bc | 1984.85 ± 34.03 c–f | 12.06 ± 1.28 e | −25.02 ± 0.02 e–h | 42.38 ± 0.86 a–f | 247.21 ± 9.03 b | −24.17 ± 0.22 gh | 18.83 ± 0.35 ef |
| Uninoculated (Control) | 40.22 ± 0.19 f | 998.97 ± 242.14 i | 28.70 ± 0.94 abc | −26.08 ± 0.17 k | 41.96 ± 0.45 b–f | 258.20 ± 41.18 b | −24.86 ± 0.17 i | 21.79 ± 0.58 bcd |
| 5 mM KNO3 | 42.85 ± 0.15 bc | 3300.42 ± 179.91 a | 30.42 ± 2.56 a | −24.62 ± 0.17 c–f | 40.84 ± 0.45 c–g | 577.50 ± 73.28 a | −23.07 ± 0.11 ab | 21.48 ± 0.46 cd |
| F statistics | 12.20 *** | 20.57 *** | 10.37 *** | 11.50 *** | 2.9 ** | 6.88 *** | 11.90 *** | 16.64 *** |
Disclaimer/Publisher’s Note: The statements, opinions and data contained in all publications are solely those of the individual author(s) and contributor(s) and not of MDPI and/or the editor(s). MDPI and/or the editor(s) disclaim responsibility for any injury to people or property resulting from any ideas, methods, instructions or products referred to in the content. |
© 2023 by the authors. Licensee MDPI, Basel, Switzerland. This article is an open access article distributed under the terms and conditions of the Creative Commons Attribution (CC BY) license (https://creativecommons.org/licenses/by/4.0/).
Share and Cite
Ngwenya, Z.D.; Dakora, F.D. Symbiotic Functioning and Photosynthetic Rates Induced by Rhizobia Associated with Jack Bean (Canavalia ensiformis L.) Nodulation in Eswatini. Microorganisms 2023, 11, 2786. https://doi.org/10.3390/microorganisms11112786
Ngwenya ZD, Dakora FD. Symbiotic Functioning and Photosynthetic Rates Induced by Rhizobia Associated with Jack Bean (Canavalia ensiformis L.) Nodulation in Eswatini. Microorganisms. 2023; 11(11):2786. https://doi.org/10.3390/microorganisms11112786
Chicago/Turabian StyleNgwenya, Zanele D., and Felix D. Dakora. 2023. "Symbiotic Functioning and Photosynthetic Rates Induced by Rhizobia Associated with Jack Bean (Canavalia ensiformis L.) Nodulation in Eswatini" Microorganisms 11, no. 11: 2786. https://doi.org/10.3390/microorganisms11112786
APA StyleNgwenya, Z. D., & Dakora, F. D. (2023). Symbiotic Functioning and Photosynthetic Rates Induced by Rhizobia Associated with Jack Bean (Canavalia ensiformis L.) Nodulation in Eswatini. Microorganisms, 11(11), 2786. https://doi.org/10.3390/microorganisms11112786
