Influence of Brown or Germinated Brown Rice Supplementation on Fecal Short-Chain Fatty Acids and Microbiome in Diet-Induced Insulin-Resistant Mice
Abstract
:1. Introduction
2. Methods
2.1. Rice and Pre-Germination
2.2. Diet Composition
2.3. Animals and Dietary Regimens
2.4. Animal Monitoring and Sample Collection
2.5. Biochemical Measurements
2.6. Fecal Bacterial DNA Extraction and Sequencing
2.7. Measurement of Fecal SCFAs
2.8. Bioinformatics Analysis and Statistics
3. Results
3.1. Influence of BRR and GBR on Fecal SCFAs
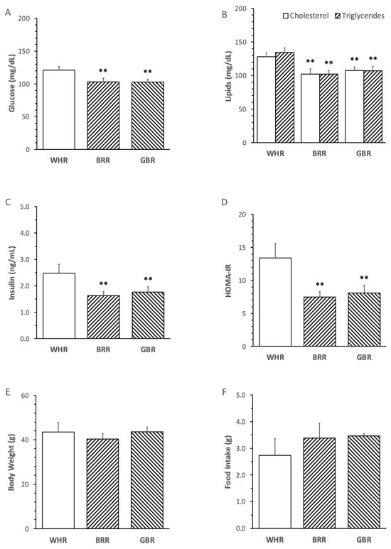
3.2. Effects of BRR and GBR on Biochemical Variables, Body Weights and Food Intake
3.3. Effects of BRR and GBR on Pro-Inflammatory Mediators
3.4. Correlations between Fecal SCFAs, Food Intake and Biochemical Variables
3.5. Influence of BRR and GBR on Gut Microbiota
3.6. Correlations between Fecal SCFAs and Microbiota
4. Discussion
Author Contributions
Funding
Data Availability Statement
Acknowledgments
Conflicts of Interest
References
- International Diabetes Federation. Diabetes Complications. Available online: https://www.idf.org/aboutdiabetes/complications.html (accessed on 12 September 2023).
- O’Hearn, M.; Lara-Castor, L.; Cudhea, F.; Miller, V.; Reedy, J.; Shi, P.; Zhang, J.; Wong, J.B.; Economos, C.D.; Micha, R.; et al. Incident type 2 diabetes attributable to suboptimal diet in 184 countries. Nat. Med. 2023, 9, 982–995. [Google Scholar] [CrossRef] [PubMed]
- Statista. Rice. Statistics and Facts. Available online: https://www.statista.com/topics/1443/rice/#topicOverview (accessed on 26 August 2023).
- Zhao, R.; Ghazzawi, N.; Wu, J.; Le, K.; Li, C.; Moghadasian, M.H.; Siow, Y.L.; Apea-Bah, F.B.; Beta, T.; Yin, Z.; et al. Germinated brown rice attenuates atherosclerosis and vascular inflammation in low-density lipoprotein receptor-knockout mice. J. Agric. Food Chem. 2018, 66, 4512–4520. [Google Scholar] [CrossRef] [PubMed]
- Yen, H.W.; Lin, H.L.; Hao, C.L.; Chen, F.C.; Chen, C.Y.; Chen, J.H.; Shen, K.P. Effects of pre-germinated brown rice treatment high-fat diet-induced metabolic syndrome in C57BL/6J mice. Biosci. Biotechnol. Biochem. 2017, 81, 979–986. [Google Scholar] [CrossRef] [PubMed]
- Bui, T.N.; Le, T.H.; Nguyen, D.H.; Tran, Q.B.; Nguyen, T.L.; Le, D.T.; Nguyen, D.V.A.; Vu, A.L.; Aoto, H.; Okuhara, Y.; et al. Pre-germinated brown rice reduced both blood glucose concentration and body weight in Vietnamese women with impaired glucose tolerance. J. Nutr. Sci. Vitaminol. 2014, 60, 183–187. [Google Scholar] [CrossRef] [PubMed]
- Sankararaman, S.; Noriega, K.; Velayuthan, S.; Sferra, T.; Martindale, R. Gut microbiome and its impact on obesity and obesity-related disorders. Curr. Gastroenterol. Rep. 2023, 25, 31–44. [Google Scholar] [CrossRef] [PubMed]
- Anachad, O.; Taouil, A.; Taha, W.; Bennis, F.; Chegdani, F. The implication of short-chain fatty acids in obesity and diabetes. Microbiol. Insights 2023, 16, 11786361231162720. [Google Scholar] [CrossRef] [PubMed]
- Bird, A.R.; Hayakawa, T.; Marsono, Y.; Gooden, J.M.; Record, I.R.; Correll, R.L.; Topping, D.L. Coarse brown rice increases fecal and large bowel short-chain fatty acids and starch but lowers calcium in the large bowel of pigs. J. Nutr. 2000, 130, 1780–1787. [Google Scholar] [CrossRef]
- Akamine, Y.; Millman, J.F.; Uema, T.; Okamoto, S.; Yonamine, M.; Uehara, M.; Kozuka, C.; Kaname, T.; Shimabukuro, M.; Kinjo, K.; et al. Fermented brown rice beverage distinctively modulates the gut microbiota in Okinawans with metabolic syndrome: A randomized controlled trial. Nutr. Res. 2022, 103, 68–81. [Google Scholar] [CrossRef]
- Ding, Q.; Ren, J.; Zhou, Y.; Bai, Z.; Yan, J.; Na, G.; Shan, Y. Whole grain germinated brown rice regulates intestinal immune homeostasis and gastrointestinal hormones in type 2 diabetic patients-a randomized control trial. Food Funct. 2022, 13, 8274–8282. [Google Scholar] [CrossRef]
- Zhao, R.; Huang, F.; Liu, C.; Asija, V.; Cao, L.; Zhou, M.; Gao, H.; Sun, M.; Weng, X.C.; Huang, J.; et al. Impact of germinated brown rice and brown rice on metabolism, inflammation and gut microbiome in high fat diet-induced insulin resistant mice. J. Agri Food Chem. 2022, 70, 14235–14246. [Google Scholar] [CrossRef]
- Zhao, R.; Khafipour, E.; Sepehri, S.; Huang, F.; Beta, T.; Shen, G.X. Impact of Saskatoon berry powder on insulin resistance and relationship with intestinal microbiota in high fat-high sucrose diet-induced obese mice. J. Nutr. Biochem. 2019, 69, 130–138. [Google Scholar] [CrossRef] [PubMed]
- Huang, F.; Zhao, R.; Xia, M.; Shen, G.X. Impact of cyanidin-3-glucoside on gut microbiota and relationship with metabolism and inflammation in high fat-high sucrose diet-induced insulin resistant mice. Microorganisms 2020, 8, 1238. [Google Scholar] [CrossRef] [PubMed]
- Zheng, X.; Qiu, Y.; Zhong, W.; Baxter, S.; Su, M.; Li, Q.; Xie, G.; Ore, B.M.; Qiao, S.; Spencer, M.D.; et al. A targeted metabolomic protocol for short-chain fatty acids and branched-chainamino acids. Metabolomics 2013, 9, 818–827. [Google Scholar] [CrossRef] [PubMed]
- Rasmussen, H.S.; Holtug, K.; Mortensen, P.B. Degradation of amino acids to short-chain fatty acids in humans. an in vitro study. Scand. J. Gastroenterol. 1988, 23, 178–182. [Google Scholar] [CrossRef] [PubMed]
- Heimann, E.; Nyman, M.; Pålbrink, A.K.; Lindkvist-Petersson, K.; Degerman, E. Branched short-chain fatty acids modulate glucose and lipid metabolism in primary adipocytes. Adipocyte 2016, 5, 359–368. [Google Scholar] [CrossRef] [PubMed]
- Hernández, M.A.G.; Canfora, E.E.; Jocken, J.W.E.; Blaak, E.E. The short-chain fatty acid acetate in body weight control and insulin sensitivity. Nutrients 2019, 11, 1943. [Google Scholar] [CrossRef] [PubMed]
- Han, J.H.; Kim, I.S.; Jung, S.H.; Lee, S.G.; Son, H.Y.; Myung, C.S. The effects of propionate and valerate on insulin responsiveness for glucose uptake in 3T3-L1 adipocytes and C2C12 myotubes via G protein-coupled receptor 41. PLoS ONE 2014, 9, e95268. [Google Scholar] [CrossRef] [PubMed]
- Sutthanut, K.; Tippayawat, P.; Srijampa, S.; Phoksawat, W.; Vachirodom, P.; Wandee, R. Prebiotic, Antipathogenic bacteria and hypocholesterolemia properties of fermented rice bran extracts derived from black rice and germinated brown rice. Foods 2022, 11, 3704. [Google Scholar] [CrossRef]
- Weng, X.; Sun, M.; Gao, H.; Liu, Z.; Huang, J.; Liao, X.; Shen, G.X. Germinated Brown Rice, A Whole Grain with Health Benefits for Common Chronic Diseases. Nutr. Food Sci. J. 2019, 2, 119. [Google Scholar]
- Hao, C.L.; Lin, H.L.; Ke, L.Y.; Yen, H.W.; Shen, K.P. Pre-germinated brown rice extract ameliorates high-fat diet-induced metabolic syndrome. J. Food Biochem. 2019, 43, e12769. [Google Scholar] [CrossRef]
- Mauvais-Jarvis, F. Epidemiology of Gender Differences in Diabetes and Obesity. Adv. Exp. Med. Biol. 2017, 1043, 3–8. [Google Scholar]








Disclaimer/Publisher’s Note: The statements, opinions and data contained in all publications are solely those of the individual author(s) and contributor(s) and not of MDPI and/or the editor(s). MDPI and/or the editor(s) disclaim responsibility for any injury to people or property resulting from any ideas, methods, instructions or products referred to in the content. |
© 2023 by the authors. Licensee MDPI, Basel, Switzerland. This article is an open access article distributed under the terms and conditions of the Creative Commons Attribution (CC BY) license (https://creativecommons.org/licenses/by/4.0/).
Share and Cite
Zhao, R.; Fajardo, J.; Shen, G.X. Influence of Brown or Germinated Brown Rice Supplementation on Fecal Short-Chain Fatty Acids and Microbiome in Diet-Induced Insulin-Resistant Mice. Microorganisms 2023, 11, 2629. https://doi.org/10.3390/microorganisms11112629
Zhao R, Fajardo J, Shen GX. Influence of Brown or Germinated Brown Rice Supplementation on Fecal Short-Chain Fatty Acids and Microbiome in Diet-Induced Insulin-Resistant Mice. Microorganisms. 2023; 11(11):2629. https://doi.org/10.3390/microorganisms11112629
Chicago/Turabian StyleZhao, Ruozhi, Janice Fajardo, and Garry X. Shen. 2023. "Influence of Brown or Germinated Brown Rice Supplementation on Fecal Short-Chain Fatty Acids and Microbiome in Diet-Induced Insulin-Resistant Mice" Microorganisms 11, no. 11: 2629. https://doi.org/10.3390/microorganisms11112629
APA StyleZhao, R., Fajardo, J., & Shen, G. X. (2023). Influence of Brown or Germinated Brown Rice Supplementation on Fecal Short-Chain Fatty Acids and Microbiome in Diet-Induced Insulin-Resistant Mice. Microorganisms, 11(11), 2629. https://doi.org/10.3390/microorganisms11112629

