Application of Indigenous Rhizospheric Microorganisms and Local Compost as Enhancers of Lettuce Growth, Development, and Salt Stress Tolerance
Abstract
:1. Introduction
2. Materials and Methods
2.1. Biostimulants Preparation
2.2. Plant Growth Conditions
2.3. Treatments and Study Design
2.4. Symbiotic Development
2.5. Growth Measurements and Phosphorus Determination
2.6. Photosynthetic Efficiency and Gas Exchanges Measurements
2.7. Chloroplastic Pigments Evaluation
2.8. Water Content Assessment
2.9. Total Soluble Sugars and Proline Quantification
2.10. Total Protein Content and Antioxidants Activity Determination
2.11. Lipidic Peroxidation and Hydrogen Peroxide Content
2.12. Soil Quality
2.13. Statistical Data Analysis
3. Results
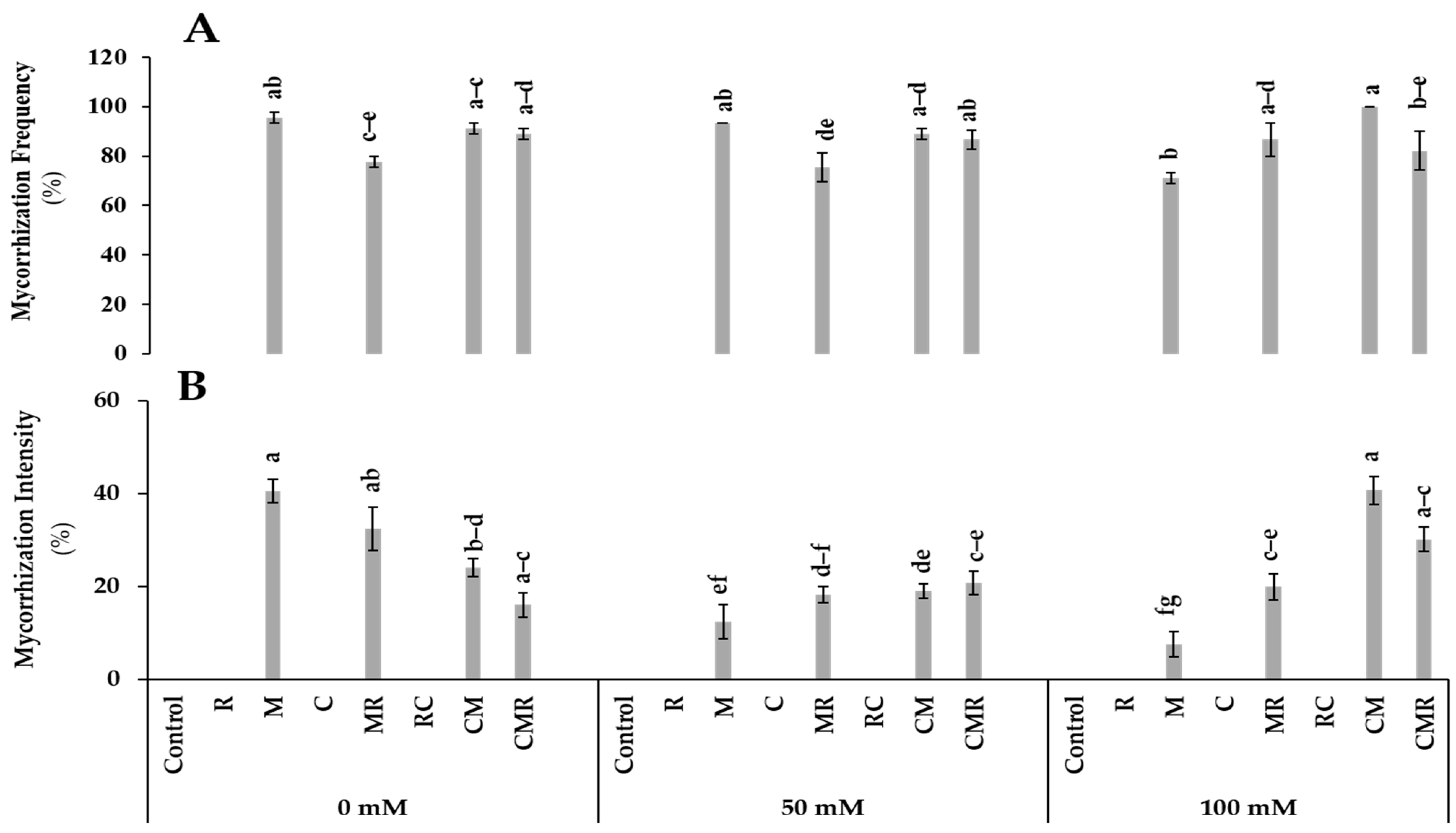
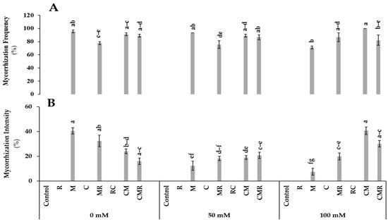
3.1. Symbiotic Development
3.2. Growth Assessment and Mineral Analysis
3.3. Physiological Responses
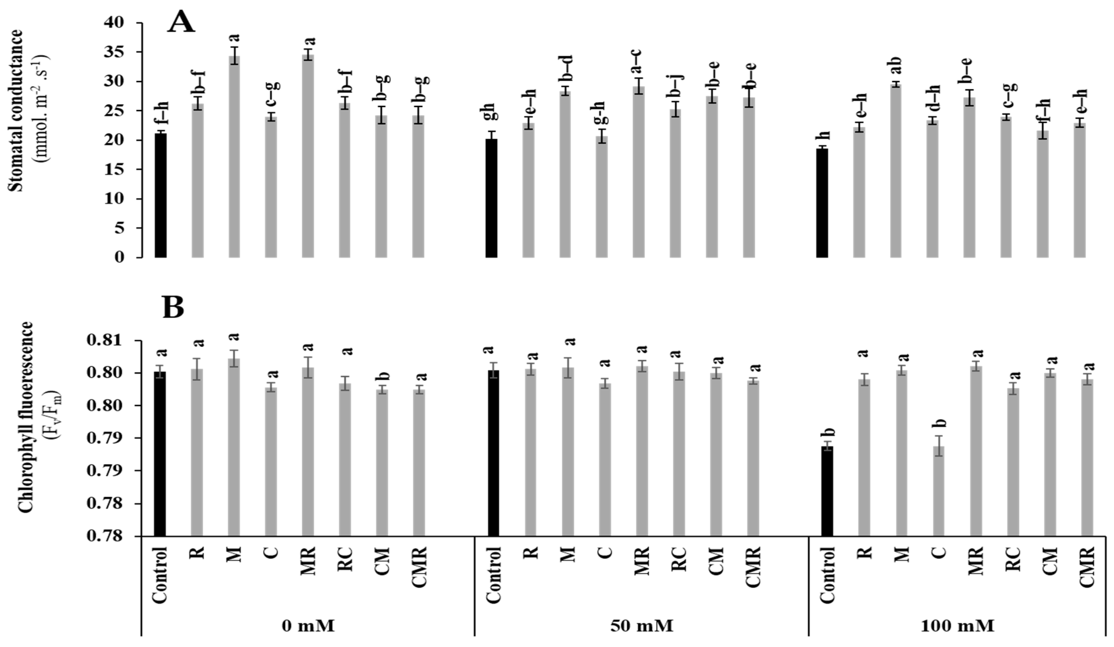
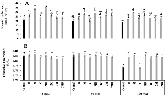
3.3.1. Photosynthetic Efficiency and Gas Exchanges
3.3.2. Photosynthetic Pigments
3.3.3. Water Content
3.4. Biochemical Responses
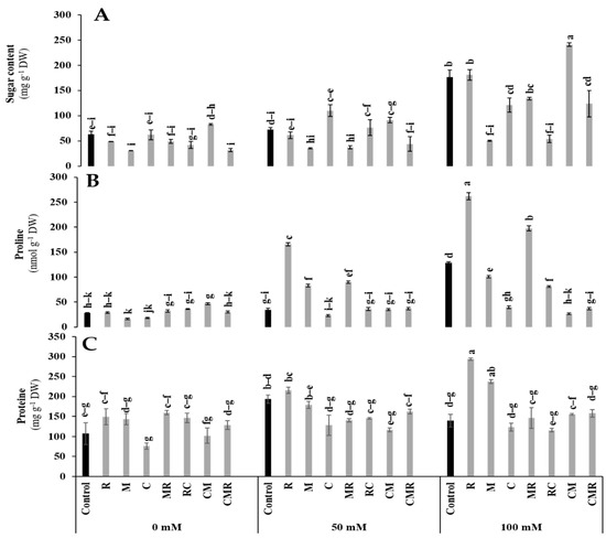
3.4.1. Osmolytes
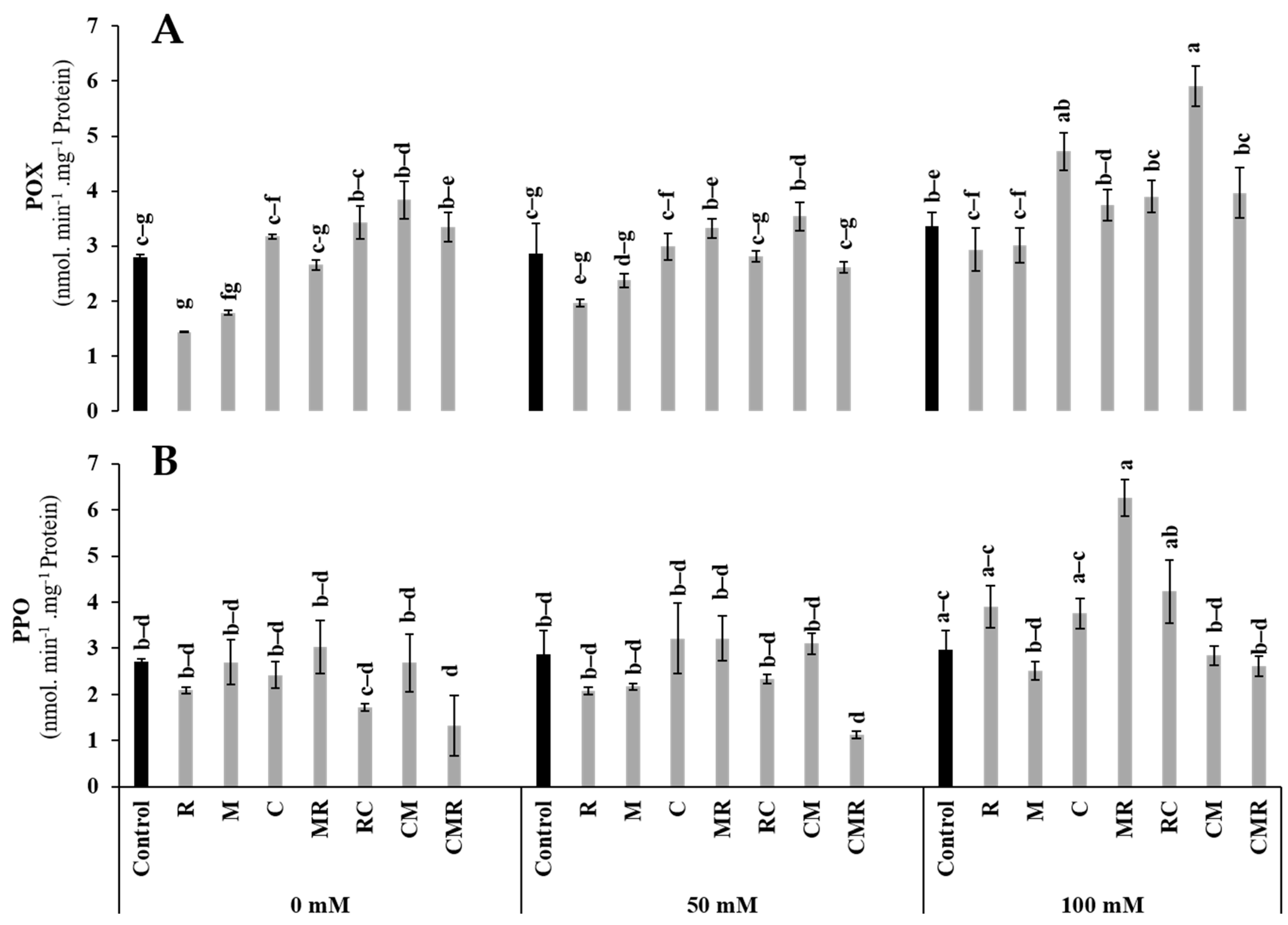
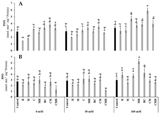
3.4.2. Enzymatic Activities
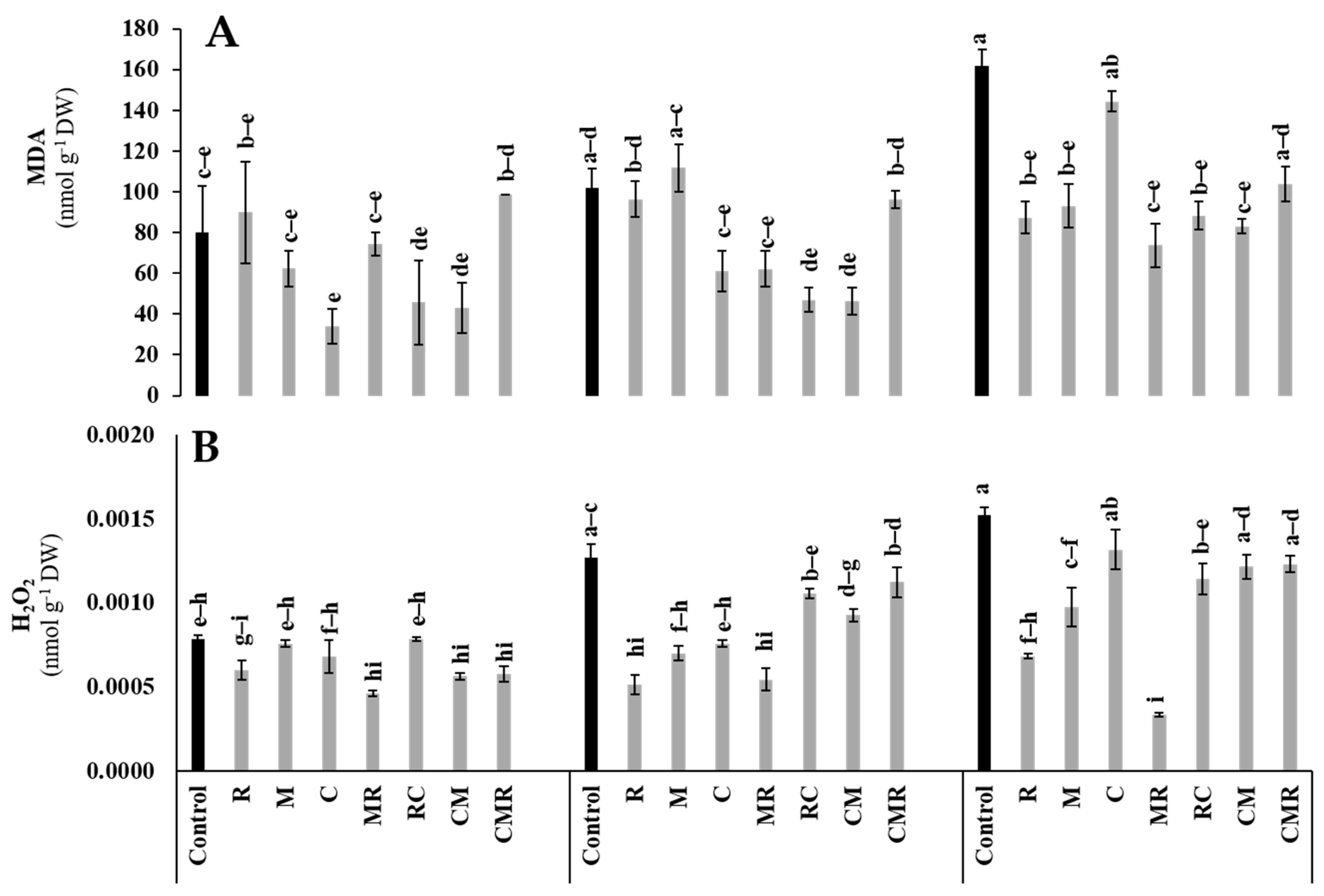
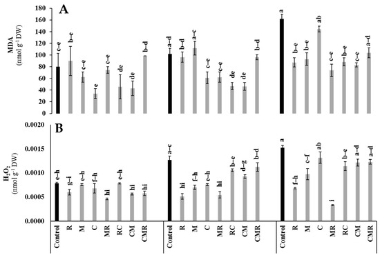
3.4.3. Stress Markers
3.4.4. Soil Quality
3.4.5. Principal Component Analysis
4. Discussion
5. Conclusions
Supplementary Materials
Author Contributions
Funding
Institutional Review Board Statement
Informed Consent Statement
Data Availability Statement
Conflicts of Interest
References
- Devkota, K.P.; Devkota, M.; Rezaei, M.; Oosterbaan, R. Managing salinity for sustainable agricultural production in salt-affected soils of irrigated drylands. Agric. Syst. 2022, 198, 103390. [Google Scholar] [CrossRef]
- Al-Harrasi, I.; Jana, G.A.; Patankar, H.V.; Al-Yahyai, R.; Rajappa, S.; Kumar, P.P.; Yaish, M.W. A novel tonoplast Na+/H+ antiporter gene from date palm (PdNHX6) confers enhanced salt tolerance response in Arabidopsis. Plant Cell Rep. 2020, 39, 1079–1093. [Google Scholar] [CrossRef] [PubMed]
- Ait-El-Mokhtar, M.; Baslam, M.; Ben-Laouane, R.; Anli, M.; Boutasknit, A.; Mitsui, T.; Wahbi, S.; Meddich, A. Alleviation of detrimental effects of salt stress on date palm (Phoenix dactylifera L.) by the application of arbuscular mycorrhizal fungi and/or compost. Front. Sustain. Food Syst. 2020, 4, 131. [Google Scholar] [CrossRef]
- Evelin, H.; Giri, B.; Kapoor, R. Contribution of Glomus intraradices inoculation to nutrient acquisition and mitigation of ionic imbalance in NaCl-stressed Trigonella foenum-graecum. Mycorrhiza 2012, 22, 203–217. [Google Scholar] [CrossRef] [PubMed]
- Baslam, M.; Garmendia, I.; Goicoechea, N. Enhanced accumulation of vitamins, nutraceuticals and minerals in lettuces associated with arbuscular mycorrhizal fungi (Amf): A question of interest for both vegetables and humans. Agriculture 2013, 3, 188–209. [Google Scholar] [CrossRef] [Green Version]
- Santander, C.; Aroca, R.; Cartes, P.; Vidal, G.; Cornejo, P. Aquaporins and cation transporters are differentially regulated by two arbuscular mycorrhizal fungi strains in lettuce cultivars growing under salinity conditions. Plant Physiol. Biochem. 2021, 158, 396–409. [Google Scholar] [CrossRef]
- Fasciglione, G.; Casanovas, E.M.; Quillehauquy, V.; Yommi, A.K.; Goñi, M.G.; Roura, S.I.; Barassi, C.A. Azospirillum inoculation effects on growth, product quality and storage life of lettuce plants grown under salt stress. Sci. Hortic. 2015, 195, 154–162. [Google Scholar] [CrossRef]
- Li, X.; Sun, P.; Zhang, Y.; Jin, C.; Guan, C. A novel PGPR strain Kocuria rhizophila Y1 enhances salt stress tolerance in maize by regulating phytohormone levels, nutrient acquisition, redox potential, ion homeostasis, photosynthetic capacity and stress-responsive genes expression. Environ. Exp. Bot. 2020, 174, 104023. [Google Scholar] [CrossRef]
- Gupta, A.; Bano, A.; Rai, S.; Mishra, R.; Singh, M.; Sharma, S.; Pathak, N. Mechanistic insights of plant-microbe interaction towards drought and salinity stress in plants for enhancing the agriculture productivity. Plant Stress 2022, 4, 100073. [Google Scholar] [CrossRef]
- Santander, C.; Sanhueza, M.; Olave, J.; Borie, F.; Valentine, A.; Cornejo, P. Arbuscular mycorrhizal colonization promotes the tolerance to salt stress in lettuce plants through an efficient modification of Ionic balance. J. Soil Sci. Plant Nutr. 2019, 19, 321–331. [Google Scholar] [CrossRef]
- Chun, S.C.; Paramasivan, M.; Chandrasekaran, M. Proline accumulation influenced by osmotic stress in arbuscular mycorrhizal symbiotic plants. Front. Microbiol. 2018, 9, 2525. [Google Scholar] [CrossRef] [PubMed] [Green Version]
- Miceli, A.; Moncada, A.; Vetrano, F. Use of microbial biostimulants to increase the salinity tolerance of vegetable transplants. Agron. J. 2021, 11, 1143. [Google Scholar] [CrossRef]
- Lanfranco, L.; Fiorilli, V.; Gutjahr, C. Partner communication and role of nutrients in the arbuscular mycorrhizal symbiosis. New Phytol. 2018, 220, 1031–1046. [Google Scholar] [CrossRef]
- Frosi, G.; Barros, V.A.; Oliveira, M.T.; Santos, M.; Ramos, D.G.; Maia, L.C.; Santos, M.G. Arbuscular mycorrhizal fungi and foliar phosphorus inorganic supply alleviate salt stress effects in physiological attributes, but only arbuscular mycorrhizal fungi increase biomass in woody species of a semiarid environment. Tree Physiol. 2018, 38, 25–36. [Google Scholar] [CrossRef] [Green Version]
- Ben Laouane, R.; Meddich, A.; Bechtaoui, N.; Oufdou, K.; Wahbi, S. Effects of Arbuscular mycorrhizal fungi and rhizobia symbiosis on the tolerance of medicago sativa to salt stress. Gesunde Pflanz. 2019, 71, 135–146. [Google Scholar] [CrossRef]
- Lahbouki, S.; Anli, M.; El Gabardi, S.; Ait-El-Mokhtar, M.; Ben-Laouane, R.; Boutasknit, A.; Ait-Rahou, Y.; Outzourhit, A.; Wahbi, S.; Douira, A.; et al. Evaluation of arbuscular mycorrhizal fungi and vermicompost supplementation on growth, phenolic content and antioxidant activity of prickly pear cactus (Opuntia ficusindica). Plant Biosyst. 2021, 156, 1–11. [Google Scholar] [CrossRef]
- Barje, F.; Meddich, A.; El Hajjouji, H.; El Asli, A.; Baddi, G.A.; El Faiz, A.; Hafidi, M. Growth of date palm (Phoenix dactylifera L.) in composts of olive oil mill waste with organic household refuse. Compost Sci. Util. 2016, 24, 273–280. [Google Scholar] [CrossRef]
- Hasini, S.E.; De Nobili, M.; El Azzouzi, M.; Azim, K.; Douaik, A.; Laghrour, M.; El Idrissi, Y.; El Alaoui El Belghiti, M.; Zouahri, A. The influence of compost humic acid quality and its ability to alleviate soil salinity stress. Int. J. Recycl. Org. Waste Agric. 2020, 9, 21–31. [Google Scholar] [CrossRef]
- Alikhani, H.A.; Saleh-Rastin, N.; Antoun, H. Phosphate solubilization activity of rhizobia native to iranian soils. Plant Soil 2006, 287, 35–41. [Google Scholar] [CrossRef]
- Bano, N.; Musarrat, J. Characterization of a new Pseudomonas aeruginosa strain NJ-15 as a potential biocontrol agent. Curr. Microbiol. 2003, 46, 324–328. [Google Scholar] [CrossRef]
- Lee, V.T.; Matewish, J.M.; Kessler, J.L.; Hyodo, M.; Hayakawa, Y.; Lory, S. A cyclic-di-GMP receptor required for bacterial exopolysaccharide production. Mol. Microbiol. 2007, 65, 1474–1484. [Google Scholar] [CrossRef] [PubMed] [Green Version]
- Benaffari, W.; Boutasknit, A.; Anli, M.; Ait-El-Mokhtar, M.; Ait-Rahou, Y.; Ben-Laouane, R.; Ben Ahmed, H.; Mitsui, T.; Baslam, M.; Meddich, A. The native arbuscular mycorrhizal fungi and vermicompost-based organic amendments enhance soil fertility, growth performance, and the drought stress tolerance of quinoa. Plants 2022, 11, 393. [Google Scholar] [CrossRef] [PubMed]
- Meddich, A.; Elouaqoudi, F.-Z.; Khadra, A.; Bourzik, W. Valorization of green and industrial wastes by composting process. Rev. des Compos. des Mater. Av. Compos. Adv. Mater. 2016, 26, 451–469. [Google Scholar]
- Reddy, S.; Nagaraja, M.S.; Raj, T.P.; Patil, A.P.; Dumgond, P. Elemental analysis, E4/E6 Ratio and total acidity of soil humic and fulvic acids from different land use systems. Ann. Plant Soil Res. 2014, 16, 89–92. [Google Scholar]
- Phillips, J.M.; Hayman, D.S. Improved procedures for clearing roots and staining parasitic and vesicular-arbuscular mycorrhizal fungi for rapid assessment of infection. Trans. Br. Mycol. Soc. 1970, 55, 158–161, IN16–IN18. [Google Scholar] [CrossRef]
- Trouvelot, A.; Kough, J.L.; Gianinazzi-Pearson, V. Mesure du taux de mycorhization VA d’un système radiculaire. Recherche de méthodes d’estimation ayant une signification fonctionnelle. Mycorrhizae Physiol. Genet. 1986, 217–220. [Google Scholar]
- Olsen, S.; Sommers, L. Methods of soil analysis. Part 2. Chemical and microbiological properties of phosphorus. ASA Monograp 1982, 9, 403–430. [Google Scholar]
- Harley, P.C.; Loreto, F.; Marco, G.D.; Sharkey, T.D. Theoretical considerations when estimating the mesophyll conductance to CO2 flux by analysis of the response of photosynthesis to CO2. Plant Physiol. 1992, 98, 1429–1436. [Google Scholar] [CrossRef] [Green Version]
- Arnon, D.I. Copper enzymes in isolated chloroplasts. Polyphenoloxidase in Beta Vulgaris. Plant Physiol. 1949, 24, 1–15. [Google Scholar] [CrossRef] [Green Version]
- Dubois, M.; Gilles, K.; Hamilton, J.K.; Rebers, P.A.; Smith, F. A colorimetric method for the determination of sugars. Nature 1956, 168, 167. [Google Scholar] [CrossRef]
- Carillo, P.; Mastrolonardo, G.; Nacca, F.; Parisi, D.; Verlotta, A.; Fuggi, A. Nitrogen metabolism in durum wheat under salinity: Accumulation of proline and glycine betaine. Funct. Plant Biol. 2008, 35, 412–426. [Google Scholar] [CrossRef] [PubMed]
- Tejera García, N.A.; Olivera, M.; Iribarne, C.; Lluch, C. Partial purification and characterization of a non-specific acid phosphatase in leaves and root nodules of Phaseolus vulgaris. Plant Physiol. Biochem. 2004, 42, 585–591. [Google Scholar] [CrossRef] [PubMed]
- Bradford, M.M. A Rapid and sensitive method for the quantitation of microgram quantities of protein utilizing the principle of protein-dye binding. Crop J. 1976, 72, 248–254. [Google Scholar] [CrossRef]
- Polle, A.; Otter, T.; Seifert, F. Apoplastic peroxidases and lignification in needles of norway spruce (Picea abies L.). Plant Physiol. 1994, 106, 53–60. [Google Scholar] [CrossRef] [Green Version]
- Hori, K.; Wada, A.; Shibuta, T. NII-Electronic library service. Chem. Pharm. Bull. 1997, 32, 356–371. [Google Scholar]
- Dhindsa, R.S.; Matowe, W. Drought tolerance in two mosses: Correlated with enzymatic defence against lipid peroxidation. J. Exp. Bot. 1981, 32, 79–91. [Google Scholar] [CrossRef] [Green Version]
- Velikova, V.; Yordanov, I.; Edreva, A. Oxidative stress and some antioxidant systems in acid rain-treated bean plants: Protective role of exogenous polyamines. Plant Sci. 2000, 151, 59–66. [Google Scholar] [CrossRef]
- Aubert, G. Méthodes D’analyses des Sols, 2nd ed.; Centre Régional de Documentation Pédagogique: Marseille, France, 1978; Volume 191. [Google Scholar]
- Cornejo, P.; Meier, S.; Borie, G.; Rillig, M.C.; Borie, F. Glomalin-related soil protein in a mediterranean ecosystem affected by a copper smelter and its contribution to Cu and Zn sequestration. Sci. Total Environ. 2008, 406, 154–160. [Google Scholar] [CrossRef]
- Malik, J.A.; AlQarawi, A.A.; Dar, B.A.; Hashem, A.; Alshahrani, T.S.; AlZain, M.N.; Habib, M.M.; Javed, M.M.; Abd_Allah, E.F. Arbuscular mycorrhizal fungi isolated from highly saline “Sabkha Habitat” soil alleviated the NaCl-induced stress and improved Lasiurus scindicus Henr. growth. Agriculture 2022, 12, 337. [Google Scholar] [CrossRef]
- Estrada, B.; Aroca, R.; Maathuis, F.J.M.; Barea, J.M.; Ruiz-lozano, J.M. Arbuscular mycorrhizal fungi native from a Mediterranean saline area enhance maize tolerance to salinity through improved ion homeostasis. Plant Cell Environ. 2013, 36, 1771–1782. [Google Scholar] [CrossRef]
- Liao, D.; Wang, S.; Cui, M.; Liu, J.; Chen, A.; Xu, G. Phytohormones regulate the development of arbuscular mycorrhizal symbiosis. Int. J. Mol. Sci. 2018, 19, 3146. [Google Scholar] [CrossRef] [PubMed] [Green Version]
- Pinos, N.Q.; Louro Berbara, R.L.; Elias, S.S.; van Tol de Castro, T.A.; García, A.C. Combination of humic substances and arbuscular mycorrhizal fungi affecting corn plant growth. J. Environ. Qual. 2019, 48, 1594–1604. [Google Scholar] [CrossRef]
- Ben-Laouane, R.; Baslam, M.; Ait-El-mokhtar, M.; Anli, M.; Boutasknit, A.; Ait-Rahou, Y.; Toubali, S.; Mitsui, T.; Oufdou, K.; Wahbi, S.; et al. Potential of native arbuscular mycorrhizal fungi, rhizobia, and/or green compost as alfalfa (Medicago sativa) enhancers under salinity. Microorganisms 2020, 8, 1695. [Google Scholar] [CrossRef] [PubMed]
- Cavagnaro, T.R. Biologically regulated nutrient supply systems: Compost and arbuscular mycorrhizas—A review. Adv. Agron. 2015, 129, 293–321. [Google Scholar]
- Mannino, G.; Nerva, L.; Gritli, T.; Novero, M.; Fiorilli, V.; Bacem, M.; Bertea, C.M.; Lumini, E.; Chitarra, W.; Balestrini, R. Effects of different microbial inocula on tomato tolerance to water deficit. Agron. J. 2020, 10, 170. [Google Scholar] [CrossRef] [Green Version]
- Boutasknit, A.; Baslam, M.; Ait-El-mokhtar, M.; Anli, M.; Ben-Laouane, R.; Douira, A.; Modafar, C.E.; Mitsui, T.; Wahbi, S.; Meddich, A. Arbuscular mycorrhizal fungi mediate drought tolerance and recovery in two contrasting carob (Ceratonia siliqua L.) ecotypes by regulating stomatal, water relations, and (in)organic adjustments. Plants 2020, 9, 80. [Google Scholar] [CrossRef] [Green Version]
- Zhao, R.; Guo, W.; Bi, N.; Guo, J.; Wang, L.; Zhao, J.; Zhang, J. Arbuscular mycorrhizal fungi affect the growth, nutrient uptake and water status of maize (Zea mays L.) grown in two types of coal mine spoils under drought stress. Appl. Soil Ecol. 2015, 88, 41–49. [Google Scholar] [CrossRef]
- Visen, A.; Singh, P.N.; Chakraborty, B.; Singh, A.; Bisht, T.S. Scanning electron microscopy indicates Pseudomonad strains facilitate AMF mycorrhization in litchi (Litchi chinensis Sonn.) air-layers and improving survivability, growth and leaf nutrient status. Curr. Res. Microb. Sci. 2021, 2, 100063. [Google Scholar] [CrossRef]
- Sun, X.; Feng, J.; Shi, J. Stimulation of hyphal ramification and sporulation in Funneliformis mosseae by root extracts ss host phosphorous status-dependent. J. Fungi 2022, 8, 181. [Google Scholar] [CrossRef]
- Ortiz-Castro, R.; Campos-García, J.; López-Bucio, J. Pseudomonas putida and Pseudomonas fluorescens influence arabidopsis root system architecture through an auxin response mediated by bioactive cyclodipeptides. J. Plant Growth Regul. 2020, 39, 254–265. [Google Scholar] [CrossRef]
- Wahid, F.; Sharif, M.; Fahad, S.; Ali, A.; Adnan, M.; Rafiullah; Saud, S.; Danish, S.; Arif Ali, M.; Ahmed, N.; et al. Mycorrhiza and phosphate solubilizing bacteria: Potential bioagents for sustainable phosphorus management in agriculture. Phyton 2022, 91, 257–278. [Google Scholar] [CrossRef]
- Begum, N.; Ahanger, M.A.; Zhang, L. AMF inoculation and phosphorus supplementation alleviates drought induced growth and photosynthetic decline in Nicotiana tabacum by up-regulating antioxidant metabolism and osmolyte accumulation. Environ. Exp. Bot. 2020, 176, 104088. [Google Scholar] [CrossRef]
- Ducousso-Détrez, A.; Fontaine, J.; Lounès-Hadj Sahraoui, A.; Hijri, M. Diversity of phosphate chemical forms in soils and their contributions on soil microbial community structure changes. Microorganisms 2022, 10, 609. [Google Scholar] [CrossRef] [PubMed]
- Anli, M.; Baslam, M.; Tahiri, A.; Raklami, A.; Symanczik, S.; Boutasknit, A.; Ait-El-Mokhtar, M.; Ben-Laouane, R.; Toubali, S.; Ait Rahou, Y.; et al. Biofertilizers as strategies to improve photosynthetic apparatus, growth, and drought stress tolerance in the date palm. Front. Plant Sci. 2020, 11, 1560. [Google Scholar] [CrossRef]
- Liu, J.; Chen, J.; Xie, K.; Tian, Y.; Yan, A.; Liu, J.; Huang, Y.; Wang, S.; Zhu, Y.; Chen, A.; et al. A mycorrhiza-specific H+-ATPase is essential for arbuscule development and symbiotic phosphate and nitrogen uptake. Plant Cell Environ. 2020, 43, 1069–1083. [Google Scholar] [CrossRef]
- Sato, T.; Hachiya, S.; Inamura, N.; Ezawa, T.; Cheng, W.; Tawaraya, K. Secretion of acid phosphatase from extraradical hyphae of the arbuscular mycorrhizal fungus Rhizophagus clarus is regulated in response to phosphate availability. Mycorrhiza 2019, 29, 599–605. [Google Scholar] [CrossRef]
- Baslam, M.; Mitsui, T.; Hodges, M.; Priesack, E.; Herritt, M.T.; Aranjuelo, I.; Sanz-Sáez, Á. Photosynthesis in a changing global climate: Scaling up and scaling down in crops. Front. Plant Sci. 2020, 11, 882. [Google Scholar] [CrossRef]
- Neelam, S.; Subramanyam, R. Alteration of photochemistry and protein degradation of photosystem II from Chlamydomonas reinhardtii under high salt grown cells. J. Photochem. Photobiol. B Biol. 2013, 124, 63–70. [Google Scholar] [CrossRef]
- Manaa, A.; Goussi, R.; Derbali, W.; Cantamessa, S.; Essemine, J.; Barbato, R. Photosynthetic performance of quinoa (Chenopodium quinoa Willd) after exposure to a gradual drought stress followed by a recovery period. Biochim. Biophys. Acta-Bioenerg. 2021, 1862, 148383. [Google Scholar] [CrossRef]
- Strack, D.; Fester, T. Isoprenoid metabolism and plastid reorganization in arbuscular mycorrhizal roots. New Phytol. 2006, 172, 22–34. [Google Scholar] [CrossRef]
- Baslam, M.; Garmendia, I.; Goicoechea, N. Arbuscular mycorrhizal fungi (AMF) improved growth and nutritional quality of greenhouse-grown Lettuce. J. Agric. Food Chem. 2011, 59, 5504–5515. [Google Scholar] [CrossRef] [PubMed]
- Xue, F.; Liu, W.; Cao, H.; Song, L.; Ji, S.; Tong, L.; Ding, R. Stomatal conductance of tomato leaves is regulated by both abscisic acid and leaf water potential under combined water and salt stress. Physiol. Plant. 2021, 172, 2070–2078. [Google Scholar] [CrossRef] [PubMed]
- Chandrasekaran, M.; Chanratana, M.; Kim, K.; Seshadri, S.; Sa, T. Impact of arbuscular mycorrhizal fungi on photosynthesis, water status, and gas exchange of plants under salt stress–a meta-analysis. Front. Plant Sci. 2019, 10, 457. [Google Scholar] [CrossRef] [PubMed]
- Karimi, S.M.; Freund, M.; Wager, B.M.; Knoblauch, M.; Fromm, J.; Mueller, H.; Ache, P.; Krischke, M.; Mueller, M.J.; Müller, T.; et al. Under salt stress guard cells rewire ion transport and abscisic acid signaling. New Phytol. 2021, 231, 1040–1055. [Google Scholar] [CrossRef]
- Chen, J.; Zhang, H.; Zhang, X.; Tang, M. Arbuscular mycorrhizal symbiosis alleviates salt stress in black locust through improved photosynthesis, water status, and K+/Na+homeostasis. Front. Plant Sci. 2017, 8, 1739. [Google Scholar] [CrossRef]
- Elhindi, K.M.; El-Din, A.S.; Elgorban, A.M. The impact of arbuscular mycorrhizal fungi in mitigating salt-induced adverse effects in sweet basil (Ocimum basilicum L.). Saudi J. Biol. Sci. 2017, 24, 170–179. [Google Scholar] [CrossRef] [Green Version]
- Talaat, N.B.; Shawky, B.T. Protective effects of arbuscular mycorrhizal fungi on wheat (Triticum aestivum L.) plants exposed to salinity. Environ. Exp. Bot. 2014, 98, 20–31. [Google Scholar] [CrossRef]
- Ait-El-Mokhtar, M.; Fakhech, A.; Ben-Laouane, R.; Anli, M.; Boutasknit, A.; Ait-Rahou, Y.; Wahbi, S.; Meddich, A. Compost as an eco-friendly alternative to mitigate salt-induced effects on growth, nutritional, physiological and biochemical responses of date palm Document Type: Original. Int. J. Recycl. Org. Waste Agric. 2022, 11, 85–100. [Google Scholar] [CrossRef]
- Ahanger, M.A.; Agarwal, R.M.; Tomar, N.S.; Shrivastava, M. Potassium induces positive changes in nitrogen metabolism and antioxidant system of oat (Avena sativa L cultivar Kent). J. Plant Interact. 2015, 10, 211–223. [Google Scholar] [CrossRef]
- Quiroga, G.; Erice, G.; Aroca, R.; Chaumont, F.; Ruiz-Lozano, J.M. Contribution of the arbuscular mycorrhizal symbiosis to the regulation of radial root water transport in maize plants under water deficit. Environ. Exp. Bot. 2019, 167, 103821. [Google Scholar] [CrossRef]
- Sun, J.; Yang, L.; Yang, X.; Wei, J.; Li, L.; Guo, E.; Kong, Y. Using spectral reflectance to estimate the leaf chlorophyll content of maize inoculated with arbuscular mycorrhizal fungi under water stress. Front. Plant Sci. 2021, 12, 646173. [Google Scholar] [CrossRef] [PubMed]
- Fahad, S.; Nie, L.; Chen, Y.; Wu, C.; Xiong, D.; Saud, S.; Hongyan, L.; Cui, K.; Huang, J. Crop plant hormones and environmental stress. Sustain. Agric. Rev. 2015, 371–400. [Google Scholar] [CrossRef]
- Meddich, A.; Ait Rahou, Y.; Boutasknit, A.; Ait-El-Mokhtar, M.; Fakhech, A.; Lahbouki, S.; Benaffari, W.; Ben-Laouane, R.; Wahbi, S. Role of mycorrhizal fungi in improving the tolerance of melon (Cucumus melo) under two water deficit partial root drying and regulated deficit irrigation. Plant Biosyst. 2021, 156, 469–479. [Google Scholar] [CrossRef]
- Feng, G.; Zhang, F.S.; Li, X.L.; Tian, C.Y.; Tang, C.; Rengel, Z. Improved tolerance of maize plants to salt stress by arbuscular mycorrhiza is related to higher accumulation of soluble sugars in roots. Mycorrhiza 2002, 12, 185–190. [Google Scholar] [CrossRef]
- Zhu, X.; Song, F.; Liu, S.; Liu, F. Role of arbuscular mycorrhiza in alleviating salinity stress in wheat (Triticum aestivum L.) grown under ambient and elevated CO2. J. Agron. Crop Sci. 2016, 202, 486–496. [Google Scholar] [CrossRef]
- Wang, H.; Tang, X.; Wang, H.; Shao, H.B. Proline accumulation and metabolism-related genes expression profiles in Kosteletzkya virginica seedlings under salt stress. Front. Plant Sci. 2015, 6, 792. [Google Scholar] [CrossRef] [Green Version]
- Kaur, G.; Asthir, B. Proline: A key player in plant abiotic stress tolerance. Biol. Plant. 2015, 59, 609–619. [Google Scholar] [CrossRef]
- Hossain, M.S.; Dietz, K.J. Tuning of redox regulatory mechanisms, reactive oxygen species and redox homeostasis under salinity stress. Front. Plant Sci. 2016, 7, 548. [Google Scholar] [CrossRef] [Green Version]
- Evelin, H.; Devi, T.S.; Gupta, S.; Kapoor, R. Mitigation of salinity stress in plants by arbuscular mycorrhizal symbiosis: Current understanding and new challenges. Front. Plant Sci. 2019, 10, 470. [Google Scholar] [CrossRef] [Green Version]
- Toubali, S.; Tahiri, A.; Anli, M.; Symanczik, S.; Boutasknit, A.; Ait-El-Mokhtar, M.; Ben-Laouane, R.; Oufdou, K.; Ait-Rahou, Y.; Ben-Ahmed, H.; et al. Physiological and biochemical behaviors of date palm vitroplants treated with microbial consortia and compost in response to salt stress. Appl. Sci. 2020, 10, 8665. [Google Scholar] [CrossRef]
- Ren, C.G.; Kong, C.C.; Yan, K.; Xie, Z.H. Transcriptome analysis reveals the impact of arbuscular mycorrhizal symbiosis on Sesbania cannabina expose to high salinity. Sci. Rep. 2019, 9, 2780. [Google Scholar] [CrossRef] [PubMed] [Green Version]
- Ye, L.; Zhao, X.; Bao, E.; Cao, K.; Zou, Z. Effects of arbuscular mycorrhizal fungi on watermelon growth, elemental uptake, antioxidant, and photosystem ii activities and stress-response gene expressions under salinity-alkalinity stresses. Front. Plant Sci. 2019, 10, 863. [Google Scholar] [CrossRef] [PubMed] [Green Version]
- Ren, H.; Huang, B.; Fernández-García, V.; Miesel, J.; Yan, L.; Lv, C. Biochar and rhizobacteria amendments improve several soil properties and bacterial diversity. Microorganisms 2020, 8, 502. [Google Scholar] [CrossRef] [Green Version]
- Baumert, V.L.; Vasilyeva, N.A.; Vladimirov, A.A.; Meier, I.C.; Kögel-Knabner, I.; Mueller, C.W. Root exudates induce soil macroaggregation facilitated by fungi in subsoil. Front. Environ. Sci. 2018, 6, 140. [Google Scholar] [CrossRef]
- Garcia, C.L.; Dattamudi, S.; Chanda, S.; Jayachandran, K. Effect of salinity stress and microbial inoculations on glomalin production and plant growth parameters of snap bean (Phaseolus vulgaris). Agronomy 2019, 9, 545. [Google Scholar] [CrossRef] [Green Version]
- Rillig, M.C.; Ramsey, P.W.; Morris, S.; Paul, E.A. Glomalin, an arbuscular-mycorrhizal fungal soil protein, responds to land-use change. Plant Soil 2003, 253, 293–299. [Google Scholar] [CrossRef]
- Kohler, J.; Caravaca, F.; Roldán, A. An AM fungus and a PGPR intensify the adverse effects of salinity on the stability of rhizosphere soil aggregates of Lactuca sativa. Soil Biol. Biochem. 2010, 42, 429–434. [Google Scholar] [CrossRef]
- Atakan, A.; Özgönen Özkaya, H. Arbuscular mycorrhizal fungi and glomalin. Turkish J. Agric.-Food Sci. Technol. 2021, 9, 2371–2375. [Google Scholar] [CrossRef]











| Activities | Z2 | Z4 |
|---|---|---|
| Secretion of exopolysaccharides (EPS) | ++ | ++ |
| Solubilization of phosphorus | + | + |
| Solubilization of potassium | + | + |
| Auxin synthesis | + | + |
| Resistance to salinity | ++ | + |
| Organic Amendment | pH | EC (mS/cm) | TOC (%) | Maturity (E4/E6) | TOM (%) | AP (ppm) | N (%) | C/N |
|---|---|---|---|---|---|---|---|---|
| Olive pomace | 9.28 | 4.20 | 35.89 | 2.58 | 64.61 | 359.10 | 2.0851 | 17.21 |
| Treatments | Leaf Number | Shoot Height (cm) | Root Length (cm) | Total Dry Weight (g) | ||||||||
|---|---|---|---|---|---|---|---|---|---|---|---|---|
| 0 mM | 50 mM | 100 mM | 0 mM | 50 mM | 100 mM | 0 mM | 50 mM | 100 mM | 0 mM | 50 mM | 100 mM | |
| Control | 9.20 ± 0.37 e–g | 9.20 ± 0.37 e–g | 7.40 ± 0.40 g | 27.0 0 ± 1.75 d–i | 21.40 ± 1.79 hi | 20.60 ± 0.64 i | 15.60 ± 1.37 f–h | 14.35 ± 0.59 gh | 12.40 ± 1.00 h | 0.68 ± 0.04 f–i | 0.54 ± 0.02 hi | 0.50 ± 0.03 i |
| R | 10.80 ± 0.37 a–e | 10.40 ± 0.24 a–e | 9.60 ± 0.24 d–f | 30.40 ± 1.25 c–f | 29.40 ± 1.77 c–g | 30.20 ± 1.31 c–f | 20.70 ± 0.82 b–d | 19.00 ± 1.19 c–e | 15.40 ± 0.40 f–h | 1.64 ± 0.05 a | 1.31 ± 0.03 bc | 0.73 ± 0.04 f–i |
| M | 12.20 ± 0.37 a | 12.20 ± 0.37 a | 10.80 ± 0.37 a–e | 43.00 ± 1.25 a | 35.40 ± 2.05 bc | 33.60 ± 1.08 b–d | 21.00 ± 0.85 bc | 20.80 ± 0.47 b–d | 20.00 ± 0.64 b–d | 1.67 ± 0.08 a | 1.55 ± 0.04 ab | 1.09 ± 0.04 c–e |
| C | 9.81 ± 0.37 c–f | 9.40 ± 0.40 d–f | 8.20 ± 0.37 f–g | 30.80 ± 0.47 c–f | 25.40 ± 1.25 f–i | 21.60 ± 1.65 hi | 17.54 ± 0.43 d–g | 18.50 ± 0.42 c–f | 17.80 ± 0.64 c–f | 0.99 ± 0.06 d–f | 0.72 ± 0.09 f–i | 0.63 ± 0.03 g–i |
| MR | 11.80 ± 0.20 ab | 12.20 ± 0.20 a | 11.60 ± 0.24 ac | 38.80 ± 1.93 ab | 38.40 ± 2.83 ab | 33.60 ± 1.08 b–d | 25.40 ± 0.62 a | 22.40 ± 0.40 ab | 19.54 ± 0.25 b–d | 1.75 ± 0.07 a | 1.85 ± 0.07 a | 1.06 ± 0.06 c–e |
| RC | 11.00 ± 0.54 a–e | 10.00 ± 0.63 b–f | 9.4 ± 0.24 d–f | 30.40 ± 0.47 c–f | 25.60 ± 0.70 e–i | 21.20 ± 1.19 hi | 19.40 ± 0.64 b–e | 20.60 ± 0.57 b–d | 17.80 ± 0.47 c–f | 1.23 ± 0.10 cd | 0.97 ± 0.08 d–f | 0.65 ± 0.03 g–i |
| CM | 10.60 ± 0.40 a–e | 10.00 ± 0.31 b–f | 10.40 ± 0.24 a–e | 29.20 ± 0.81 c–g | 23.20 ± 0.70 g–i | 25.80 ± 1.73 e–i | 17.82 ± 0.39 c–f | 17.80 ± 0.64 c–f | 17.60 ± 0.64 d–g | 1.13 ± 0.07 c–e | 0.92 ± 0.08 c–e | 0.62 ± 0.04 e–h |
| CMR | 10.60 ± 0.40 a–e | 10.60 ± 0.50 a–d | 10.40 ± 0.24 a–e | 29.20 ± 0.81 b–e | 27.40 ± 0.86 d–h | 27.40 ± 1.93 d–h | 19.80 ± 0.47 b–d | 16.10 ± 0.31 e–g | 20.70 ± 0.31 b–d | 1.13 ± 0.07 c–e | 1.12 ± 0.06 c–e | 0.84 ± 0.05 e–h |
| Treatments | Glomalin (mg.kg−1 DW) | AP (mg. kg−1) | EC (mS/cm) | pH | TOM (%) | TOC (%) | ||||||||||||
|---|---|---|---|---|---|---|---|---|---|---|---|---|---|---|---|---|---|---|
| 0 mM | 50 mM | 100 mM | 0 mM | 50 mM | 100 mM | 0 mM | 50 mM | 100 mM | 0 mM | 50 mM | 100 mM | 0 mM | 50 mM | 100 mM | 0 mM | 50 mM | 100 mM | |
| Control | 0.22 ± 0.05 i | 0.77 ± 0.09 e–i | 0.71 ± 0.03 g–i | 19.17 ± 0.14 f–h | 11.69 ± 1.45 gh | 18.41 ± 0.76 fh | 1.24 ± 0.00 g | 1.66 ± 0.05 ab | 1.50 ± 0.00 b–f | 7.80 ± 0.07 g–i | 7.90 ± 0.03 c–h | 7.95 ± 0.01 b–g | 1.16 ± 0.05 f–h | 1.07 ± 0.05 gh | 0.88 ± 0.02 h | 0.67 ± 0.03 f–h | 0.62 ± 0.03 gh | 0.51 ± 0.01 h |
| R | 0.27 ± 0.07 i | 0.82 ± 0.06 e–i | 2.01 ± 0.06 b–e | 14.38 ± 2.01 f–h | 24.12 ± 6.27 fg | 11.61 ± 0.29 gh | 1.31 ± 0.02 fg | 1.34 ± 0.06 fg | 1.26 ± 0.03 g | 7.76 ± 0.00 hi | 7.75 ± 0.01 i | 7.75 ± 0.00 i | 1.56 ± 0.02 c–f | 1.71 ± 0.02 a–e | 1.16 ± 0.04 f–h | 0.91 ± 0.01 c–f | 0.99 ± 0.01 a–e | 0.67 ± 0.02 f–h |
| M | 0.58 ± 0.16 hi | 1.24 ± 0.05 c–i | 1.80 ± 0.20 b–h | 27.06 ± 1.84 f | 11.02 ± 0.46 h | 23.45 ± 2.69 f–h | 1.29 ± 0.01 fg | 1.42 ± 0.06 d–g | 1.33 ± 0.01 fg | 7.80 ± 0.02 g–i | 7.81 ± 0.01 f–i | 7.82 ± 0.01 e–i | 2.03 ± 0.15 ab | 1.85 ± 0.04 a–d | 1.65 ± 0.00 b–e | 1.18 ± 0.08 ab | 1.07 ± 0.02 a–d | 0.96 ± 0.00 b–e |
| C | 0.75 ± 0.18 f–i | 1.97 ± 0.66 b–f | 2.75 ± 0.44 ab | 64.60 ± 0.80 de | 86.93 ± 2.20 b | 72.91 ± 1.07 c–e | 1.23 ± 0.00 g | 1.25 ± 0.00 g | 1.35 ± 0.04 e–g | 7.97 ± 0.04 b–e | 7.92 ± 0.03 b–g | 8.00 ± 0.03 a–d | 2.03 ± 0.01 ab | 1.99 ± 0.03 ab | 2.07 ± 0.03 a | 1.18 ± 0.00 ab | 1.16 ± 0.02 ab | 1.20 ± 0.02 a |
| MR | 1.24 ± 0.01c–i | 2.64 ± 0.33 ab | 3.56 ± 0.27 a | 15.72 ± 0.36 f–h | 23.20 ± 5.79 f–h | 14.97 ± 0.85 f–h | 1.27 ± 0.03 g | 1.25 ± 0.02 g | 1.29 ± 0.02 fg | 7.85 ± 0.00 d–i | 7.82 ± 0.01 e–i | 7.82 ± 0.02 e–i | 2.04 ± 0.19 ab | 1.72 ± 0.00 a–e | 1.70 ± 0.00 a–e | 1.18 ± 0.11 ab | 1.00 ± 0.00 a–e | 0.99 ± 0.00 a–e |
| RC | 1.08 ± 0.18 d–i | 2.72 ± 0.08 ab | 1.90 ± 0.12 b–g | 77.44 ± 1.67 b–d | 73.83 ± 4.92 c–e | 87.86 ± 1.21 b | 1.69 ± 0.01 ab | 1.58 ± 0.01 a–d | 1.77 ± 0.00 a | 8.04 ± 0.01 a–c | 7.94 ± 0.01 b–g | 8.13 ± 0.01 a | 1.96 ± 0.08 a–c | 2.08 ± 0.07 a | 1.88 ± 0.01 a–d | 1.13 ± 0.05 a–c | 1.21 ± 0.04 a | 1.09 ± 0.00 a–d |
| CM | 0.91 ± 0.03 d–i | 2.06 ± 0.08 b–d | 2.36 ± 0.34 bd | 70.31 ± 1.76 c–e | 83.15 ± 0.52 c–e | 88.70 ± 1.01 bc | 1.65 ± 0.02 a–c | 1.73 ± 0.02 a | 1.73 ± 0.04 a | 7.97 ± 0.02 b–d | 7.86 ± 0.01 d–i | 8.06 ± 0.04 ab | 1.81 ± 0.05 a–d | 2.09 ± 0.02 a | 2.11 ± 0.16 a | 1.05 ± 0.02 a–d | 1.21 ± 0.01 a | 1.22 ± 0.09 a |
| CMR | 0.88 ± 0.11 d–i | 1.80 ± 0.22 b–h | 1.95 ± 0.18 g–i | 67.37 ± 0.51 de | 61.91 ± 2.14 e | 105.58 ± 0.38 a | 1.56 ± 0.08 a–e | 1.72 ± 0.08 a | 1.44 ± 0.04 c–g | 7.95 ± 0.01 b–f | 7.95 ± 0.01 b–g | 7.86 ± 0.00 d–i | 1.35 ± 0.08 e–g | 1.53 ± 0.06 d–f | 1.97 ± 0.05 a–c | 0.78 ± 0.04 e–g | 1.14 ± 0.03 d–f | 1.14 ± 0.03 a–c |
Publisher’s Note: MDPI stays neutral with regard to jurisdictional claims in published maps and institutional affiliations. |
© 2022 by the authors. Licensee MDPI, Basel, Switzerland. This article is an open access article distributed under the terms and conditions of the Creative Commons Attribution (CC BY) license (https://creativecommons.org/licenses/by/4.0/).
Share and Cite
Ouhaddou, R.; Ben-Laouane, R.; Lahlali, R.; Anli, M.; Ikan, C.; Boutasknit, A.; Slimani, A.; Oufdou, K.; Baslam, M.; Ait Barka, E.; et al. Application of Indigenous Rhizospheric Microorganisms and Local Compost as Enhancers of Lettuce Growth, Development, and Salt Stress Tolerance. Microorganisms 2022, 10, 1625. https://doi.org/10.3390/microorganisms10081625
Ouhaddou R, Ben-Laouane R, Lahlali R, Anli M, Ikan C, Boutasknit A, Slimani A, Oufdou K, Baslam M, Ait Barka E, et al. Application of Indigenous Rhizospheric Microorganisms and Local Compost as Enhancers of Lettuce Growth, Development, and Salt Stress Tolerance. Microorganisms. 2022; 10(8):1625. https://doi.org/10.3390/microorganisms10081625
Chicago/Turabian StyleOuhaddou, Redouane, Raja Ben-Laouane, Rachid Lahlali, Mohamed Anli, Chayma Ikan, Abderrahim Boutasknit, Aiman Slimani, Khalid Oufdou, Marouane Baslam, Essaid Ait Barka, and et al. 2022. "Application of Indigenous Rhizospheric Microorganisms and Local Compost as Enhancers of Lettuce Growth, Development, and Salt Stress Tolerance" Microorganisms 10, no. 8: 1625. https://doi.org/10.3390/microorganisms10081625
APA StyleOuhaddou, R., Ben-Laouane, R., Lahlali, R., Anli, M., Ikan, C., Boutasknit, A., Slimani, A., Oufdou, K., Baslam, M., Ait Barka, E., & Meddich, A. (2022). Application of Indigenous Rhizospheric Microorganisms and Local Compost as Enhancers of Lettuce Growth, Development, and Salt Stress Tolerance. Microorganisms, 10(8), 1625. https://doi.org/10.3390/microorganisms10081625

