RNase R, a New Virulence Determinant of Streptococcus pneumoniae
Abstract
:1. Introduction
2. Materials and Methods
2.1. Bacterial Strains, Plasmids, Insects, and Growth Conditions
2.2. Flow Cytometry Analysis
2.3. Galleria mellonella Killing Assay
2.4. RNA Extraction
2.5. Quantitative Real-Time PCR
2.6. Extraction of Larval Hemolymph
2.7. G. mellonella Hemocytes In Vitro Culture
2.8. Gentamicin Protection Assay of Hemocytes and CLSM
2.9. Oxidative Stress Assay
2.10. Statistical Analysis
3. Results
3.1. Effect of Pneumococcal RNase R on Galleria mellonella Infection
3.2. RNase R Interference with G. mellonella Immune Response
3.3. RNase R Impact on the Bacterial Load in Hemolymph
3.4. RNase R Affects the Number of Intracellular Bacteria in Hemocyte Cultures
3.5. RNase R Impact in the Pneumococcus Oxidative Response
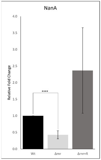
3.6. Transcriptional Expression of NanA Is Affected by RNase R
4. Discussion
Supplementary Materials
Author Contributions
Funding
Institutional Review Board Statement
Informed Consent Statement
Data Availability Statement
Acknowledgments
Conflicts of Interest
References
- Engholm, D.H.; Kilian, M.; Goodsell, D.S.; Andersen, E.S.; Kjærgaard, R.S. A visual review of the human pathogen Streptococcus pneumoniae. FEMS Microbiol. Rev. 2017, 41, 854–879. [Google Scholar] [CrossRef] [PubMed]
- Subramanian, K.; Henriques-Normark, B.; Normark, S. Emerging concepts in the pathogenesis of the Streptococcus pneumoniae: From nasopharyngeal colonizer to intracellular pathogen. Cell. Microbiol. 2019, 21, e13077. [Google Scholar] [CrossRef] [PubMed] [Green Version]
- Silva, I.J.; Saramago, M.; Dressaire, C.; Domingues, S.; Viegas, S.C.; Arraiano, C.M. Importance and key events of prokaryotic RNA decay: The ultimate fate of an RNA molecule. Wiley Interdiscip. Rev. RNA 2011, 2, 818–836. [Google Scholar] [CrossRef] [PubMed]
- Sinha, D.; Frick, J.P.; Clemons, K.; Winkler, M.E.; De Lay, N.R. Pivotal Roles for Ribonucleases in Streptococcus pneumoniae Pathogenesis. mBio 2021, 12, e0238521. [Google Scholar] [CrossRef]
- Hör, J.; Garriss, G.; Di Giorgio, S.; Hack, L.; Vanselow, J.T.; Förstner, K.U.; Schlosser, A.; Henriques-Normark, B.; Vogel, J. Grad-seq in a Gram-positive bacterium reveals exonucleolytic sRNA activation in competence control. EMBO J. 2020, 39, e103852. [Google Scholar] [CrossRef]
- Bárria, C.; Domingues, S.; Arraiano, C.M. Pneumococcal RNase R globally impacts protein synthesis by regulating the amount of actively translating ribosomes. RNA Biol. 2019, 16, 211–219. [Google Scholar] [CrossRef] [Green Version]
- Arraiano, C.M.; Andrade, J.M.; Domingues, S.; Guinote, I.B.; Malecki, M.; Matos, R.G.; Moreira, R.N.; Pobre, V.; Reis, F.P.; Saramago, M.; et al. The critical role of RNA processing and degradation in the control of gene expression. FEMS Microbiol. Rev. 2010, 34, 883–923. [Google Scholar] [CrossRef] [Green Version]
- Matos, R.G.; Bárria, C.; Moreira, R.; Barahona, S.; Domingues, S.; Arraiano, C.M. The importance of proteins of the RNase II/RNB-family in pathogenic bacteria. Front. Cell. Infect. Microbiol. 2014, 4, 68. [Google Scholar] [CrossRef]
- Moreira, R.N.; Domingues, S.; Viegas, S.C.; Amblar, M.; Arraiano, C.M. Synergies between RNA degradation and trans-translation in Streptococcus pneumoniae: Cross regulation and co-transcription of RNase R and SmpB. BMC Microbiol. 2012, 12, 268. [Google Scholar] [CrossRef] [Green Version]
- Hernandez, Y.L.; Yero, D.; Pinos-Rodriguez, J.M.; Gibert, I. Animals devoid of pulmonary system as infection models in the study of lung bacterial pathogens. Front. Microbiol. 2015, 6, 38. [Google Scholar]
- Russell, W.; Burch, R. The Principles of Humane Experimental Technique; Methuen & Co.: London, UK, 1959. [Google Scholar]
- Jander, G.; Rahme, L.G.; Ausubel, F.M. Positive Correlation between Virulence of Pseudomonas aeruginosa Mutants in Mice and Insects. J. Bacteriol. 2000, 182, 3843–3845. [Google Scholar] [CrossRef] [PubMed] [Green Version]
- Olsen, R.J.; Watkins, M.E.; Cantu, C.C.; Beres, S.B.; Musser, J.M. Virulence of serotype M3 Group A Streptococcus strains in wax worms (Galleria mellonella larvae). Virulence 2011, 2, 111–119. [Google Scholar] [CrossRef] [Green Version]
- Peleg, A.Y.; Monga, D.; Pillai, S.; Mylonakis, E.; Moellering, J.R.C.; Eliopoulos, G.M. Reduced Susceptibility to Vancomycin Influences Pathogenicity in Staphylococcus aureus Infection. J. Infect. Dis. 2009, 199, 532–536. [Google Scholar] [CrossRef] [PubMed] [Green Version]
- Viegas, S.C.; Mil-Homens, D.; Fialho, A.M.; Arraiano, C.M. The Virulence of Salmonella enterica Serovar Typhimurium in the Insect Model Galleria mellonella Is Impaired by Mutations in RNase E and RNase III. Appl. Environ. Microbiol. 2013, 79, 6124–6133. [Google Scholar] [CrossRef] [PubMed] [Green Version]
- Wojda, I.; Staniec, B.; Sułek, M.; Kordaczuk, J. The greater wax moth Galleria mellonella: Biology and use in immune studies. Pathog. Dis. 2020, 78, ftaa057. [Google Scholar] [CrossRef] [PubMed]
- Dinh, H.; Semenec, L.; Kumar, S.S.; Short, F.L.; Cain, A.K. Microbiology’s next top model: Galleria in the molecular age. Pathog. Dis. 2021, 79, ftab006. [Google Scholar] [CrossRef] [PubMed]
- Evans, B.A.; Rozen, D. A Streptococcus pneumoniae infection model in larvae of the wax moth Galleria mellonella. Eur. J. Clin. Microbiol. 2012, 31, 2653–2660. [Google Scholar] [CrossRef] [PubMed]
- Ramarao, N.; Nielsen-Leroux, C.; Lereclus, D. The Insect Galleria mellonella as a Powerful Infection Model to Investigate Bacterial Pathogenesis. J. Vis. Exp. 2012, 2012, e4392. [Google Scholar] [CrossRef] [PubMed] [Green Version]
- Rejasse, A.; Gilois, N.; Barbosa, I.; Huillet, E.; Bevilacqua, C.; Tran, S.; Ramarao, N.; Arnesen, L.P.S.; Sanchis, V. Temperature-dependent production of various PlcR-controlled virulence factors in Bacillus weihenstephanensis strain KBAB4. Appl. Environ. Microbiol. 2012, 78, 2553–2561. [Google Scholar] [CrossRef] [Green Version]
- Bergin, D.; Reeves, E.P.; Renwick, J.; Wientjes, F.B.; Kavanagh, K. Superoxide Production in Galleria mellonella Hemocytes: Identification of Proteins Homologous to the NADPH Oxidase Complex of Human Neutrophils. Infect. Immun. 2005, 73, 4161–4170. [Google Scholar] [CrossRef] [Green Version]
- Kavanagh, K.; Reeves, E.P. Exploiting the potential of insects for in vivo pathogenicity testing of microbial pathogens. FEMS Microbiol. Rev. 2004, 28, 101–112. [Google Scholar] [CrossRef] [PubMed] [Green Version]
- Lavine, M.; Strand, M. Insect hemocytes and their role in immunity. Insect Biochem. Mol. Biol. 2002, 32, 1295–1309. [Google Scholar] [CrossRef]
- Renwick, J.; Reeves, E.P.; Wientjes, F.B.; Kavanagh, K. Translocation of proteins homologous to human neutrophil p47phox and p67phox to the cell membrane in activated hemocytes of Galleria mellonella. Dev. Comp. Immunol. 2007, 31, 347–359. [Google Scholar] [CrossRef] [PubMed] [Green Version]
- Brown, S.E.; Howard, A.; Kasprzak, A.B.; Gordon, K.H.; East, P.D. A peptidomics study reveals the impressive antimicrobial peptide arsenal of the wax moth Galleria mellonella. Insect Biochem. Mol. Biol. 2009, 39, 792–800. [Google Scholar] [CrossRef] [PubMed]
- Ezzati-Tabrizi, R.; Farrokhi, N.; Talaei-Hassanloui, R.; Alavi, S.M.; Hosseininaveh, V. Insect inducible antimicrobial peptides and their applications. Curr. Protein Pept. Sci. 2013, 14, 698–710. [Google Scholar] [CrossRef] [PubMed]
- Cerenius, L.; Soderhall, K. The prophenoloxidase-activating system in invertebrates. Immunol. Rev. 2004, 198, 116–126. [Google Scholar] [CrossRef] [PubMed]
- Livak, K.J.; Schmittgen, T.D. Analysis of relative gene expression data using real-time quantitative PCR and the 2(-Delta Delta C(T)) Method. Methods 2001, 25, 402–408. [Google Scholar] [CrossRef]
- Vertyporokh, L.; Hułas-Stasiak, M.; Wojda, I. Host–pathogen interaction after infection of Galleria mellonella with the filamentous fungus Beauveria bassiana. Insect Sci. 2020, 27, 1079–1089. [Google Scholar] [CrossRef]
- Brivio, M.F.; Mastore, M.; Nappi, A.J. A pathogenic parasite interferes with phagocytosis of insect immunocompetent cells. Dev. Comp. Immunol. 2010, 34, 991–998. [Google Scholar] [CrossRef]
- Mil-Homens, D.; Barahona, S.; Moreira, R.N.; Silva, I.J.; Pinto, S.N.; Fialho, A.M.; Arraiano, C.M. Stress Response Protein BolA Influences Fitness and Promotes Salmonella enterica Serovar Typhimurium Virulence. Appl. Environ. Microbiol. 2018, 84, e02850-17. [Google Scholar] [CrossRef] [Green Version]
- Tsai, C.J.-Y.; Loh, J.M.S.; Proft, T. Galleria mellonella infection models for the study of bacterial diseases and for antimicrobial drug testing. Virulence 2016, 7, 214–229. [Google Scholar] [CrossRef] [Green Version]
- Altincicek, B.; Vilcinskas, A. Metamorphosis and collagen-IV-fragments stimulate innate immune response in the greater wax moth, Galleria mellonella. Dev. Comp. Immunol. 2006, 30, 1108–1118. [Google Scholar] [CrossRef]
- Levin, R.; Grinstein, S.; Canton, J. The life cycle of phagosomes: Formation, maturation, and resolution. Immunol. Rev. 2016, 273, 156–179. [Google Scholar] [CrossRef]
- Pereira, T.C.; De Barros, P.P.; Fugisaki, L.R.D.O.; Rossoni, R.D.; Ribeiro, F.D.C.; De Menezes, R.T.; Junqueira, J.C.; Scorzoni, L. Recent Advances in the Use of Galleria mellonella Model to Study Immune Responses against Human Pathogens. J. Fungi 2018, 4, 128. [Google Scholar] [CrossRef] [Green Version]
- Bismuth, H.D.; Brasseur, G.; Ezraty, B.; Aussel, L. Bacterial Genetic Approach to the Study of Reactive Oxygen Species Production in Galleria mellonella During Salmonella Infection. Front. Cell. Infect. Microbiol. 2021, 11, 640112. [Google Scholar] [CrossRef]
- Domingues, S.; Aires, A.C.; Mohedano, M.D.L.L.; López, P.; Arraiano, C. A new tool for cloning and gene expression in Streptococcus pneumoniae. Plasmid 2013, 70, 247–253. [Google Scholar] [CrossRef] [Green Version]
- Andrade, J.M.; Cairrao, F.; Arraiano, C.M. RNase R affects gene expression in stationary phase: Regulation of ompA. Mol. Microbiol. 2006, 60, 219–228. [Google Scholar] [CrossRef]
- Barria, C.; Pobre, V.; Bravo, A.; Arraiano, C.M. Ribonucleases as modulators of bacterial stress response. In Stress and Environmental Regulation of Gene Expression and Adaptation in Bacteria, 1st ed.; John Wiley & Sons: Hoboken, NJ, USA, 2016; Volume 1. [Google Scholar]
- Cairrao, F.; Cruz, A.; Mori, H.; Arraiano, C.M. Cold shock induction of RNase R and its role in the maturation of the quality control mediator SsrA/tmRNA. Mol. Microbiol. 2003, 50, 1349–1360. [Google Scholar] [CrossRef] [Green Version]
- Chen, C.; Deutscher, M.P. Elevation of RNase R in Response to Multiple Stress Conditions. J. Biol. Chem. 2005, 280, 34393–34396. [Google Scholar] [CrossRef] [Green Version]
- Valanne, S.; Wang, J.-H.; Ramet, M. The Drosophila Toll Signaling Pathway. J. Immunol. 2011, 186, 649–656. [Google Scholar] [CrossRef] [Green Version]
- Ercoli, G.; Fernandes, V.E.; Chung, W.Y.; Wanford, J.; Thomson, S.; Bayliss, C.; Straatman, K.; Crocker, P.R.; Dennison, A.; Martinez-Pomares, L.; et al. Intracellular replication of Streptococcus pneumoniae inside splenic macrophages serves as a reservoir for septicaemia. Nat. Microbiol. 2018, 3, 600–610. [Google Scholar] [CrossRef]
- Brissac, T.; Shenoy, A.T.; Patterson, L.A.; Orihuela, C.J. Cell Invasion and Pyruvate Oxidase-Derived H2O2 Are Critical for Streptococcus pneumoniae-Mediated Cardiomyocyte Killing. Infect. Immun. 2018, 86, e00569-17. [Google Scholar] [CrossRef] [Green Version]
- Subramanian, K.; Neill, D.R.; Malak, H.A.; Spelmink, L.; Khandaker, S.; Marchiori, G.D.L.; Dearing, E.; Kirby, A.; Yang, M.; Achour, A.; et al. Pneumolysin binds to the mannose receptor C type 1 (MRC-1) leading to anti-inflammatory responses and enhanced pneumococcal survival. Nat. Microbiol. 2019, 4, 62–70. [Google Scholar] [CrossRef]
- Browne, N.; Heelan, M.; Kavanagh, K. An analysis of the structural and functional similarities of insect hemocytes and mammalian phagocytes. Virulence 2013, 4, 597–603. [Google Scholar] [CrossRef] [Green Version]
- King, S.J.; Hippe, K.R.; Weiser, J.N. Deglycosylation of human glycoconjugates by the sequential activities of exoglycosidases expressed by Streptococcus pneumoniae. Mol. Microbiol. 2006, 59, 961–974. [Google Scholar] [CrossRef]
- Uchiyama, S.; Carlin, A.F.; Khosravi, A.; Weiman, S.; Banerjee, A.; Quach, D.; Hightower, G.; Mitchell, T.; Doran, K.S.; Nizet, V. The surface-anchored NanA protein promotes pneumococcal brain endothelial cell invasion. J. Exp. Med. 2009, 206, 1845–1852. [Google Scholar] [CrossRef] [Green Version]
- Karaçalı, S.; Kırmızıgül, S.; Deveci, R.; Deveci, Ö.; Onat, T.; Gürcü, B. Presence of sialic acid in prothoracic glands of Galleria mellonella (Lepidoptera). Tissue Cell 1997, 29, 315–321. [Google Scholar] [CrossRef]
- Tobe, T.; Sasakawa, C.; Okada, N.; Honma, Y.; Yoshikawa, M. vacB, a novel chromosomal gene required for expression of virulence genes on the large plasmid of Shigella flexneri. J. Bacteriol. 1992, 174, 6359–6367. [Google Scholar] [CrossRef] [Green Version]
- Haddad, N.; Matos, R.G.; Pinto, T.; Rannou, P.; Cappelier, J.-M.; Prevost, H.; Arraiano, C.M. The RNase R from Campylobacter jejuni Has Unique Features and Is Involved in the First Steps of Infection. J. Biol. Chem. 2014, 289, 27814–27824. [Google Scholar] [CrossRef] [Green Version]
- Tettelin, H.; Nelson, K.E.; Paulsen, I.T.; Eisen, J.A.; Read, T.D.; Peterson, S.; Heidelberg, J.; DeBoy, R.T.; Haft, D.H.; Dodson, R.J.; et al. Complete genome sequence of a virulent isolate of Streptococcus pneumoniae. Science 2001, 293, 498–506. [Google Scholar] [CrossRef] [Green Version]
- Simon, D.; Chopin, A. Construction of a vector plasmid family and its use for molecular cloning in Streptococcus lactis. Biochimie 1988, 70, 559–566. [Google Scholar] [CrossRef]
- Wojda, I.; Kowalski, P.; Jakubowicz, T. Humoral immune response of Galleria mellonella larvae after infection by Beauveria bassiana under optimal and heat-shock conditions. J. Insect. Physiol. 2009, 55, 525–531. [Google Scholar] [CrossRef] [PubMed]






Publisher’s Note: MDPI stays neutral with regard to jurisdictional claims in published maps and institutional affiliations. |
© 2022 by the authors. Licensee MDPI, Basel, Switzerland. This article is an open access article distributed under the terms and conditions of the Creative Commons Attribution (CC BY) license (https://creativecommons.org/licenses/by/4.0/).
Share and Cite
Bárria, C.; Mil-Homens, D.; Pinto, S.N.; Fialho, A.M.; Arraiano, C.M.; Domingues, S. RNase R, a New Virulence Determinant of Streptococcus pneumoniae. Microorganisms 2022, 10, 317. https://doi.org/10.3390/microorganisms10020317
Bárria C, Mil-Homens D, Pinto SN, Fialho AM, Arraiano CM, Domingues S. RNase R, a New Virulence Determinant of Streptococcus pneumoniae. Microorganisms. 2022; 10(2):317. https://doi.org/10.3390/microorganisms10020317
Chicago/Turabian StyleBárria, Cátia, Dalila Mil-Homens, Sandra N. Pinto, Arsénio M. Fialho, Cecília M. Arraiano, and Susana Domingues. 2022. "RNase R, a New Virulence Determinant of Streptococcus pneumoniae" Microorganisms 10, no. 2: 317. https://doi.org/10.3390/microorganisms10020317
APA StyleBárria, C., Mil-Homens, D., Pinto, S. N., Fialho, A. M., Arraiano, C. M., & Domingues, S. (2022). RNase R, a New Virulence Determinant of Streptococcus pneumoniae. Microorganisms, 10(2), 317. https://doi.org/10.3390/microorganisms10020317

