Genetic Engineering of Streptomyces ghanaensis ATCC14672 for Improved Production of Moenomycins
Abstract
1. Introduction
2. Materials and Methods
2.1. Bacterial Strains, Plasmids and Growth Conditions
2.2. DNA Manipulation
2.3. Intergeneric Conjugation with E. coli
2.4. Microscopy
2.5. Generation of Mutant Strains
2.5.1. Construction of S. ghanaensis O1
2.5.2. Construction of S. ghanaensis O1ΔH5
2.5.3. Construction of S. ghanaensis O1ΔH5ΔwblA
2.6. Analysis of Mm Production
3. Results
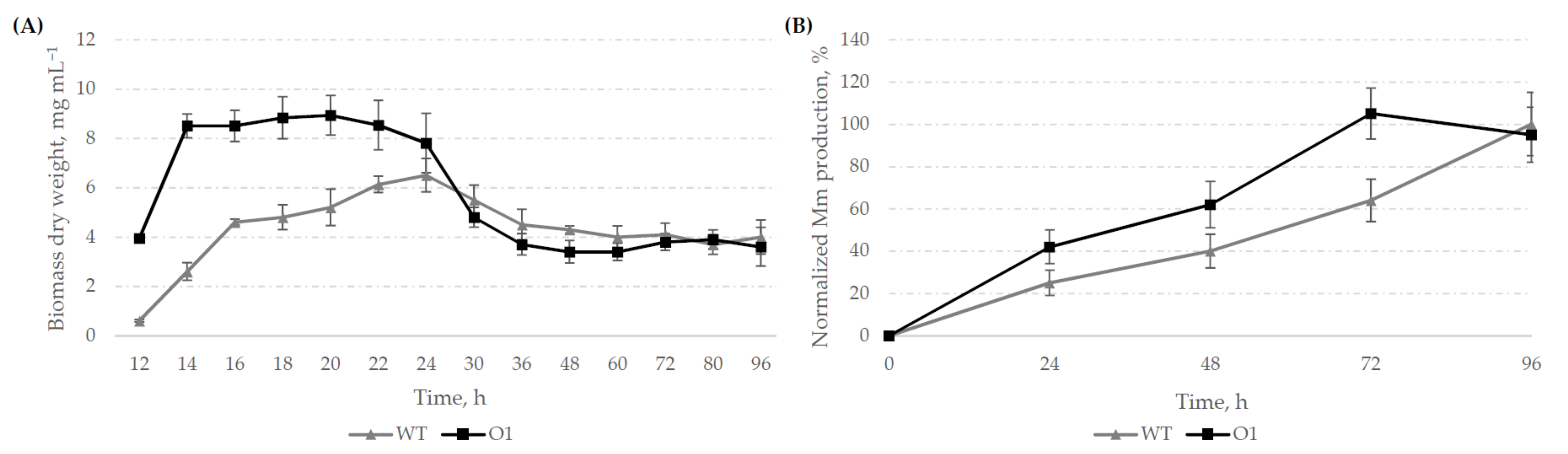
3.1. Substitution of AdpAghbs in oriC In Vivo Drastically Influences the Growth Particularities and Mm Production in S. ghanaensis
3.2. A Marker- and “Scar”-less Deletion of Amidotransferase Gene moeH5 Narrows down the Spectrum of Mm Produced by S. ghanaensis O1ΔH5
3.3. Deletion of the Regulatory Gene wblAgh Strongly Improves NoA Production in S. ghanaensis O1ΔH5ΔwblA
3.4. Comparison of Conjugal Efficacy between E. coli and the Generated Mutant Strains
4. Discussion
5. Conclusions
Supplementary Materials
Author Contributions
Funding
Institutional Review Board Statement
Informed Consent Statement
Data Availability Statement
Acknowledgments
Conflicts of Interest
References
- Barka, E.A.; Vatsa, P.; Sanchez, L.; Gaveau-Vaillant, N.; Jacquard, C.; Meier-Kolthoff, J.P.; Klenk, H.-P.; Clément, C.; Ouhdouch, Y.; van Wezel, G.P. Taxonomy, Physiology, and Natural Products of Actinobacteria. Microbiol. Mol. Biol. Rev. 2016, 80, 1–43. [Google Scholar] [CrossRef]
- Vrancken, K.; Anné, J. Secretory production of recombinant proteins by Streptomyces. Future Microbiol. 2009, 4, 181–188. [Google Scholar] [CrossRef] [PubMed]
- Claessen, D.; Rozen, D.E.; Kuipers, O.P.; Søgaard-Andersen, L.; van Wezel, G.P. Bacterial solutions to multicellularity: A tale of biofilms, filaments and fruiting bodies. Nat. Rev. Microbiol. 2014, 12, 115–124. [Google Scholar] [CrossRef]
- Flärdh, K.; Buttner, M.J. Streptomyces morphogenetics: Dissecting differentiation in a filamentous bacterium. Nat. Rev. Microbiol. 2009, 7, 36–49. [Google Scholar] [CrossRef]
- Van Wezel, G.P.; Krabben, P.; Traag, B.A.; Keijser, B.J.F.; Kerste, R.; Vijgenboom, E.; Heijnen, J.J.; Kraal, B. Unlocking Streptomyces spp. for use as sustainable industrial production platforms by morphological engineering. Appl. Environ. Microbiol. 2006, 72, 5283–5288. [Google Scholar] [CrossRef]
- Gomes, J.; Menawat, A.S. Fed-batch bioproduction of spectinomycin. Adv. Biochem. Eng. Biotechnol. 1998, 59, 1–46. [Google Scholar] [CrossRef]
- Nielsen, J. Modelling the morphology of filamentous microorganisms. Trends Biotechnol. 1996, 14, 438–443. [Google Scholar] [CrossRef]
- Van Dissel, D.; Claessen, D.; van Wezel, G.P. Morphogenesis of Streptomyces in submerged cultures. Adv. Appl. Microbiol. 2014, 89, 1–45. [Google Scholar] [CrossRef] [PubMed]
- Celler, K.; Picioreanu, C.; van Loosdrecht, M.C.M.; van Wezel, G.P. Structured morphological modeling as a framework for rational strain design of Streptomyces species. Antonie Van Leeuwenhoek 2012, 102, 409–423. [Google Scholar] [CrossRef] [PubMed]
- Chaplin, A.K.; Petrus, M.L.C.; Mangiameli, G.; Hough, M.A.; Svistunenko, D.A.; Nicholls, P.; Claessen, D.; Vijgenboom, E.; Worrall, J.A.R. GlxA is a new structural member of the radical copper oxidase family and is required for glycan deposition at hyphal tips and morphogenesis of Streptomyces lividans. Biochem. J. 2015, 469, 433–444. [Google Scholar] [CrossRef]
- Petrus, M.L.C.; Vijgenboom, E.; Chaplin, A.K.; Worrall, J.A.R.; van Wezel, G.P.; Claessen, D. The DyP-type peroxidase DtpA is a Tat-substrate required for GlxA maturation and morphogenesis in Streptomyces. Open Biol. 2016, 6, 150149. [Google Scholar] [CrossRef]
- Van Dissel, D.; Claessen, D.; Roth, M.; van Wezel, G.P. A novel locus for mycelial aggregation forms a gateway to improved Streptomyces cell factories. Microb. Cell Fact. 2015, 14, 44. [Google Scholar] [CrossRef] [PubMed]
- Zacchetti, B.; Smits, P.; Claessen, D. Dynamics of Pellet Fragmentation and Aggregation in Liquid-Grown Cultures of Streptomyces lividans. Front. Microbiol. 2018, 9, 943. [Google Scholar] [CrossRef] [PubMed]
- Ostash, B.; Saghatelian, A.; Walker, S. A streamlined metabolic pathway for the biosynthesis of moenomycin A. Chem. Biol. 2007, 14, 257–267. [Google Scholar] [CrossRef] [PubMed][Green Version]
- Ostash, B.; Walker, S. Moenomycin family antibiotics: Chemical synthesis, biosynthesis, and biological activity. Nat. Prod. Rep. 2010, 27, 1594–1617. [Google Scholar] [CrossRef] [PubMed]
- Lopatniuk, M.; Ostash, B.; Luzhetskyy, A.; Walker, S.; Fedorenko, V. Generation and study of the strains of streptomycetes—Heterologous hosts for production of moenomycin. Russ. J. Genet. 2014, 50, 360–365. [Google Scholar] [CrossRef] [PubMed][Green Version]
- Makitrynskyy, R.; Rebets, Y.; Ostash, B.; Zaburannyi, N.; Rabyk, M.; Walker, S.; Fedorenko, V. Genetic factors that influence moenomycin production in streptomycetes. J. Ind. Microbiol. Biotechnol. 2010, 37, 559–566. [Google Scholar] [CrossRef][Green Version]
- Rabyk, M.; Ostash, B.; Rebets, Y.; Walker, S.; Fedorenko, V. Streptomyces ghanaensis pleiotropic regulatory gene wblA(gh) influences morphogenesis and moenomycin production. Biotechnol. Lett. 2011, 33, 2481–2486. [Google Scholar] [CrossRef]
- Makitrynskyy, R.; Ostash, B.; Tsypik, O.; Rebets, Y.; Doud, E.; Meredith, T.; Luzhetskyy, A.; Bechthold, A.; Walker, S.; Fedorenko, V. Pleiotropic regulatory genes bldA, adpA and absB are implicated in production of phosphoglycolipid antibiotic moenomycin. Open Biol. 2013, 3, 130121. [Google Scholar] [CrossRef]
- Mutenko, H.; Makitrinskyy, R.; Tsypik, O.; Walker, S.; Ostash, B.; Fedorenko, V. Genes for biosynthesis of butenolide-like signalling molecules in Streptomyces ghanaensis, their role in moenomycin production. Russ. J. Genet. 2014, 50, 563–568. [Google Scholar] [CrossRef]
- Kuzhyk, Y.; Mutenko, H.; Fedorenko, V.; Ostash, B. Analysis of Streptomyces ghanaensis ATCC14672 gene SSFG_07725 for putative γ-butyrolactone synthase. Folia Microbiol. 2018, 63, 701–706. [Google Scholar] [CrossRef] [PubMed]
- Sehin, Y.; Koshla, O.; Dacyuk, Y.; Zhao, R.; Ross, R.; Myronovskyi, M.; Limbach, P.A.; Luzhetskyy, A.; Walker, S.; Fedorenko, V.; et al. Gene ssfg_01967 (miaB) for tRNA modification influences morphogenesis and moenomycin biosynthesis in Streptomyces ghanaensis ATCC14672. Microbiology 2019, 165, 233–245. [Google Scholar] [CrossRef] [PubMed]
- Kuzhyk, Y.; Lopatniuk, M.; Luzhetskyy, A.; Fedorenko, V.; Ostash, B. Genome Engineering Approaches to Improve Nosokomycin A Production by Streptomyces ghanaensis B38.3. Indian J. Microbiol. 2019, 59, 109–111. [Google Scholar] [CrossRef]
- Makitrynskyy, R.; Tsypik, O.; Nuzzo, D.; Paululat, T.; Zechel, D.L.; Bechthold, A. Secondary nucleotide messenger c-di-GMP exerts a global control on natural product biosynthesis in streptomycetes. Nucleic Acids Res. 2020, 48, 1583–1598. [Google Scholar] [CrossRef]
- Nuzzo, D.; Makitrynskyy, R.; Tsypik, O.; Bechthold, A. Cyclic di-GMP cyclase SSFG_02181 from Streptomyces ghanaensis ATCC14672 regulates antibiotic biosynthesis and morphological differentiation in streptomycetes. Sci. Rep. 2020, 10, 12021. [Google Scholar] [CrossRef]
- Nuzzo, D.; Makitrynskyy, R.; Tsypik, O.; Bechthold, A. Identification and Characterization of Four c-di-GMP-Metabolizing Enzymes from Streptomyces ghanaensis ATCC14672 Involved in the Regulation of Morphogenesis and Moenomycin A Biosynthesis. Microorganisms 2021, 9, 284. [Google Scholar] [CrossRef] [PubMed]
- Higo, A.; Hara, H.; Horinouchi, S.; Ohnishi, Y. Genome-wide distribution of AdpA, a global regulator for secondary metabolism and morphological differentiation in Streptomyces, revealed the extent and complexity of the AdpA regulatory network. DNA Res. 2012, 19, 259–273. [Google Scholar] [CrossRef]
- Zhang, S.; Klementz, D.; Zhu, J.; Makitrynskyy, R.; Ola Pasternak, A.R.; Günther, S.; Zechel, D.L.; Bechthold, A. Genome mining reveals the origin of a bald phenotype and a cryptic nucleocidin gene cluster in Streptomyces asterosporus DSM 41452. J. Biotechnol. 2019, 292, 23–31. [Google Scholar] [CrossRef]
- Wolański, M.; Jakimowicz, D.; Zakrzewska-Czerwińska, J. AdpA, key regulator for morphological differentiation regulates bacterial chromosome replication. Open Biol. 2012, 2, 120097. [Google Scholar] [CrossRef]
- Yu, P.; Liu, S.-P.; Bu, Q.-T.; Zhou, Z.-X.; Zhu, Z.-H.; Huang, F.-L.; Li, Y.-Q. WblAch, a pivotal activator of natamycin biosynthesis and morphological differentiation in Streptomyces chattanoogensis L10, is positively regulated by AdpAch. Appl. Environ. Microbiol. 2014, 80, 6879–6887. [Google Scholar] [CrossRef]
- Lu, C.; Liao, G.; Zhang, J.; Tan, H. Identification of novel tylosin analogues generated by a wblA disruption mutant of Streptomyces ansochromogenes. Microb. Cell Fact. 2015, 14, 173. [Google Scholar] [CrossRef] [PubMed]
- Zhang, F.; Gao, D.; Lin, J.; Zhu, M.; Zhuang, Z.; Duan, Y.; Zhu, X. Construction of Inducible Genetic Switch for the Global Regulator WblA to Sustain Both Overproduction of Tiancimycins and On-Demand Sporulation in Streptomyces sp. CB03234. ACS Synth. Biol. 2020, 9, 1460–1467. [Google Scholar] [CrossRef]
- Huang, H.; Hou, L.; Li, H.; Qiu, Y.; Ju, J.; Li, W. Activation of a plasmid-situated type III PKS gene cluster by deletion of a wbl gene in deepsea-derived Streptomyces somaliensis SCSIO ZH66. Microb. Cell Fact. 2016, 15, 116. [Google Scholar] [CrossRef]
- Nah, H.-J.; Park, J.; Choi, S.; Kim, E.-S. WblA, a global regulator of antibiotic biosynthesis in Streptomyces. J. Ind. Microbiol. Biotechnol. 2021, 48. [Google Scholar] [CrossRef]
- Green, M.R.; Sambrook, J. Molecular Cloning: A Laboratory Manual, 4th ed.; Green, M.R., Sambrook, J., Eds.; Cold Spring Harbor Laboratory Press: New York, NY, USA, 2012; ISBN 9781936113422. [Google Scholar]
- Myronovskyi, M.; Welle, E.; Fedorenko, V.; Luzhetskyy, A. Beta-glucuronidase as a sensitive and versatile reporter in actinomycetes. Appl. Environ. Microbiol. 2011, 77, 5370–5383. [Google Scholar] [CrossRef]
- Zakrzewska-Czerwińska, J.; Majka, J.; Schrempf, H. Minimal requirements of the Streptomyces lividans 66 oriC region and its transcriptional and translational activities. J. Bacteriol. 1995, 177, 4765–4771. [Google Scholar] [CrossRef][Green Version]
- Ostash, B.; Campbell, J.; Luzhetskyy, A.; Walker, S. MoeH5: A natural glycorandomizer from the moenomycin biosynthetic pathway. Mol. Microbiol. 2013, 90, 1324–1338. [Google Scholar] [CrossRef]
- Kieser, T. Practical Streptomyces Genetics; John Innes Foundation: Norwich, UK, 2000; ISBN 0708406238. [Google Scholar]
- Ostash, B.; Makitrinskyy, R.; Walker, S.; Fedorenko, V. Identification and characterization of Streptomyces ghanaensis ATCC14672 integration sites for three actinophage-based plasmids. Plasmid 2009, 61, 171–175. [Google Scholar] [CrossRef]
- Muth, G. The pSG5-based thermosensitive vector family for genome editing and gene expression in actinomycetes. Appl. Microbiol. Biotechnol. 2018, 102, 9067–9080. [Google Scholar] [CrossRef] [PubMed]
- Murray, B.E. Vancomycin-resistant enterococcal infections. N. Engl. J. Med. 2000, 342, 710–721. [Google Scholar] [CrossRef] [PubMed]
- Silver, L.L. Challenges of antibacterial discovery. Clin. Microbiol. Rev. 2011, 24, 71–109. [Google Scholar] [CrossRef]
- Baltz, R.H. Natural product drug discovery in the genomic era: Realities, conjectures, misconceptions, and opportunities. J. Ind. Microbiol. Biotechnol. 2019, 46, 281–299. [Google Scholar] [CrossRef]
- Baltz, R.H. Gifted microbes for genome mining and natural product discovery. J. Ind. Microbiol. Biotechnol. 2017, 44, 573–588. [Google Scholar] [CrossRef]
- Ochi, K.; Hosaka, T. New strategies for drug discovery: Activation of silent or weakly expressed microbial gene clusters. Appl. Microbiol. Biotechnol. 2013, 97, 87–98. [Google Scholar] [CrossRef] [PubMed]
- Rutledge, P.J.; Challis, G.L. Discovery of microbial natural products by activation of silent biosynthetic gene clusters. Nat. Rev. Microbiol. 2015, 13, 509–523. [Google Scholar] [CrossRef] [PubMed]
- Zhu, H.; Sandiford, S.K.; van Wezel, G.P. Triggers and cues that activate antibiotic production by actinomycetes. J. Ind. Microbiol. Biotechnol. 2014, 41, 371–386. [Google Scholar] [CrossRef]
- Yoon, V.; Nodwell, J.R. Activating secondary metabolism with stress and chemicals. J. Ind. Microbiol. Biotechnol. 2014, 41, 415–424. [Google Scholar] [CrossRef]
- Huber, G.; Schacht, U.; Weidenmüller, H.L.; Schmidt-Thomé, J.; Duphorn, J.; Tschesche, R. Meonomycin, a new antibiotic. II. Characterization and chemistry. Antimicrob. Agents Chemother. 1965, 5, 737–742. [Google Scholar] [PubMed]
- Wallhausser, K.H.; Nesemann, G.; Prave, P.; Steigler, A. Moenomycin, a new antibiotic. I. Fermentation and isolation. Antimicrob. Agents Chemother. 1965, 5, 734–736. [Google Scholar]
- Ostash, B.; Walker, S. Bacterial transglycosylase inhibitors. Curr. Opin. Chem. Biol. 2005, 9, 459–466. [Google Scholar] [CrossRef]
- Goldman, R.C.; Gange, D. Inhibition of transglycosylation involved in bacterial peptidoglycan synthesis. Curr. Med. Chem. 2000, 7, 801–820. [Google Scholar] [CrossRef]
- Halliday, J.; McKeveney, D.; Muldoon, C.; Rajaratnam, P.; Meutermans, W. Targeting the forgotten transglycosylases. Biochem. Pharmacol. 2006, 71, 957–967. [Google Scholar] [CrossRef]
- Kempin, U.; Hennig, L.; Müller, D.; Markus, A.; Welzel, P. A selective reaction that can be used to attach moenomycin to solid supports and proteins. Tetrahedron Lett. 1996, 37, 5087–5090. [Google Scholar] [CrossRef]
- Rühl, T.; Daghish, M.; Buchynskyy, A.; Barche, K.; Volke, D.; Stembera, K.; Kempin, U.; Knoll, D.; Hennig, L.; Findeisen, M.; et al. Studies on the interaction of the antibiotic moenomycin A with the enzyme penicillin-binding protein 1b. Bioorg. Med. Chem. 2003, 11, 2965–2981. [Google Scholar] [CrossRef]
- Yu, J.-Y.; Cheng, H.-J.; Wu, H.-R.; Wu, W.-S.; Lu, J.-W.; Cheng, T.-J.; Wu, Y.-T.; Fang, J.-M. Structure-based design of bacterial transglycosylase inhibitors incorporating biphenyl, amine linker and 2-alkoxy-3-phosphorylpropanoate moieties. Eur. J. Med. Chem. 2018, 150, 729–741. [Google Scholar] [CrossRef]
- Zuegg, J.; Muldoon, C.; Adamson, G.; McKeveney, D.; Le Thanh, G.; Premraj, R.; Becker, B.; Cheng, M.; Elliott, A.G.; Huang, J.X.; et al. Carbohydrate scaffolds as glycosyltransferase inhibitors with in vivo antibacterial activity. Nat. Commun. 2015, 6, 7719. [Google Scholar] [CrossRef] [PubMed]
- Taylor, J.G.; Li, X.; Oberthür, M.; Zhu, W.; Kahne, D.E. The total synthesis of moenomycin A. J. Am. Chem. Soc. 2006, 128, 15084–15085. [Google Scholar] [CrossRef]
- Pfaller, M.A. Flavophospholipol use in animals: Positive implications for antimicrobial resistance based on its microbiologic properties. Diagn. Microbiol. Infect. Dis. 2006, 56, 115–121. [Google Scholar] [CrossRef] [PubMed]
- Butaye, P.; Devriese, L.A.; Haesebrouck, F. Differences in antibiotic resistance patterns of Enterococcus faecalis and Enterococcus faecium strains isolated from farm and pet animals. Antimicrob. Agents Chemother. 2001, 45, 1374–1378. [Google Scholar] [CrossRef]
- Wolanski, M.; Donczew, R.; Kois-Ostrowska, A.; Masiewicz, P.; Jakimowicz, D.; Zakrzewska-Czerwinska, J. The level of AdpA directly affects expression of developmental genes in Streptomyces coelicolor. J. Bacteriol. 2011, 193, 6358–6365. [Google Scholar] [CrossRef]
- Xu, H.; Chater, K.F.; Deng, Z.; Tao, M. A cellulose synthase-like protein involved in hyphal tip growth and morphological differentiation in streptomyces. J. Bacteriol. 2008, 190, 4971–4978. [Google Scholar] [CrossRef] [PubMed]
- Płachetka, M.; Krawiec, M.; Zakrzewska-Czerwińska, J.; Wolański, M. AdpA Positively Regulates Morphological Differentiation and Chloramphenicol Biosynthesis in Streptomyces venezuelae. Microbiol. Spectr. 2021, 9, e0198121. [Google Scholar] [CrossRef]
- Tsypik, O.; Makitrynskyy, R.; Frensch, B.; Zechel, D.L.; Paululat, T.; Teufel, R.; Bechthold, A. Oxidative Carbon Backbone Rearrangement in Rishirilide Biosynthesis. J. Am. Chem. Soc. 2020, 142, 5913–5917. [Google Scholar] [CrossRef]
- Tsypik, O.; Makitrynskyy, R.; Yan, X.; Koch, H.-G.; Paululat, T.; Bechthold, A. Regulatory Control of Rishirilide(s) Biosynthesis in Streptomyces bottropensis. Microorganisms 2021, 9, 374. [Google Scholar] [CrossRef] [PubMed]
- Ding, N.; Jiang, Y.; Han, L.; Chen, X.; Ma, J.; Qu, X.; Mu, Y.; Liu, J.; Li, L.; Jiang, C.; et al. Bafilomycins and Odoriferous Sesquiterpenoids from Streptomyces albolongus Isolated from Elephas maximus Feces. J. Nat. Prod. 2016, 79, 799–805. [Google Scholar] [CrossRef]
- Herrmann, S.; Siegl, T.; Luzhetska, M.; Petzke, L.; Jilg, C.; Welle, E.; Erb, A.; Leadlay, P.F.; Bechthold, A.; Luzhetskyy, A. Site-specific recombination strategies for engineering actinomycete genomes. Appl. Environ. Microbiol. 2012, 78, 1804–1812. [Google Scholar] [CrossRef]
- Fedoryshyn, M.; Petzke, L.; Welle, E.; Bechthold, A.; Luzhetskyy, A. Marker removal from actinomycetes genome using Flp recombinase. Gene 2008, 419, 43–47. [Google Scholar] [CrossRef] [PubMed]
- Lopatniuk, M.; Ostash, B.; Makitrynskyy, R.; Walker, S.; Luzhetskyy, A.; Fedorenko, V. Testing the utility of site-specific recombinases for manipulations of genome of moenomycin producer Streptomyces ghanaensis ATCC14672. J. Appl. Genet. 2015, 56, 547–550. [Google Scholar] [CrossRef] [PubMed][Green Version]
- Bierman, M.; Logan, R.; O’Brien, K.; Seno, E.T.; Nagaraja Rao, R.; Schoner, B.E. Plasmid cloning vectors for the conjugal transfer of DNA from Escherichia coli to Streptomyces spp. Gene 1992, 116, 43–49. [Google Scholar] [CrossRef]
- Mazodier, P.; Petter, R.; Thompson, C. Intergeneric conjugation between Escherichia coli and Streptomyces species. J. Bacteriol. 1989, 171, 3583–3585. [Google Scholar] [CrossRef]






| Strain | pSET152 | pKC1139 |
|---|---|---|
| S. ghanaensis ATCC14672 | (4 ± 0.3) × 10−5 | (5 ± 0.2) × 10−6 |
| S. ghanaensis O1 | (1 ± 0.1) × 10−4 | (1.5 ± 0.2) × 10−5 |
| S. ghanaensis O1ΔH5 | (9 ± 0.8) × 10−5 | (1.4 ± 0.3) × 10−5 |
| S. ghanaensis O1ΔH5ΔwblA | (1.6 ± 0.25) × 10−5 | (2.1 ± 0.4) × 10−6 |
Publisher’s Note: MDPI stays neutral with regard to jurisdictional claims in published maps and institutional affiliations. |
© 2021 by the authors. Licensee MDPI, Basel, Switzerland. This article is an open access article distributed under the terms and conditions of the Creative Commons Attribution (CC BY) license (https://creativecommons.org/licenses/by/4.0/).
Share and Cite
Makitrynskyy, R.; Tsypik, O.; Bechthold, A. Genetic Engineering of Streptomyces ghanaensis ATCC14672 for Improved Production of Moenomycins. Microorganisms 2022, 10, 30. https://doi.org/10.3390/microorganisms10010030
Makitrynskyy R, Tsypik O, Bechthold A. Genetic Engineering of Streptomyces ghanaensis ATCC14672 for Improved Production of Moenomycins. Microorganisms. 2022; 10(1):30. https://doi.org/10.3390/microorganisms10010030
Chicago/Turabian StyleMakitrynskyy, Roman, Olga Tsypik, and Andreas Bechthold. 2022. "Genetic Engineering of Streptomyces ghanaensis ATCC14672 for Improved Production of Moenomycins" Microorganisms 10, no. 1: 30. https://doi.org/10.3390/microorganisms10010030
APA StyleMakitrynskyy, R., Tsypik, O., & Bechthold, A. (2022). Genetic Engineering of Streptomyces ghanaensis ATCC14672 for Improved Production of Moenomycins. Microorganisms, 10(1), 30. https://doi.org/10.3390/microorganisms10010030

