Active Disturbance Rejection Control of an Active Suspension System Based on Fuzzy Extended State Observers
Abstract
1. Introduction
- Passive suspension: This is the most common type, using mechanical components such as springs and shock absorbers [3].
- A dynamically fuzzy-tuned ESO that enhances noise-robust state and disturbance estimation without requiring additional sensors.
- A dual-loop control architecture that separates force reference generation from force-tracking control, improving clarity, stability, and adaptability.
- A comprehensive validation framework including three distinct road profiles (sinusoidal, step, and trapezoidal), enabling a more rigorous and comparable assessment than others presented in similar studies.
2. Active Suspension Model
- (sprung mass): car body and components supported by the chassis.
- (unsprung mass): wheel, brake, and elements directly attached to the wheel assembly.
- : suspension spring stiffness; elastic coupling between and .
- : damping coefficient; viscous dissipation proportional to the relative velocity .
- : effective tire stiffness; elastic coupling between road elevation and wheel displacement .
- : active force applied by the actuator between the two masses.
- : actuator parameters.
- : electrical control input to the actuator.
3. ADRC Design
3.1. Extended State Observer Model
3.2. Observer Adjustment Using Fuzzy Logic
3.3. Actuator Force Reference Generation
4. Results
- A sinusoidal signal emulates continuous undulating or wavy road profiles, such as corrugated surfaces or gentle repetitive bumps.
- A step signal represents abrupt height changes in the terrain, similar to driving over speed bumps, pothole edges, or sudden level transitions.
- A trapezoidal signal mimics smoother ramps or elevated platforms with defined ascent and descent phases, resembling long bumps, ramps, or gradual changes in road elevation.
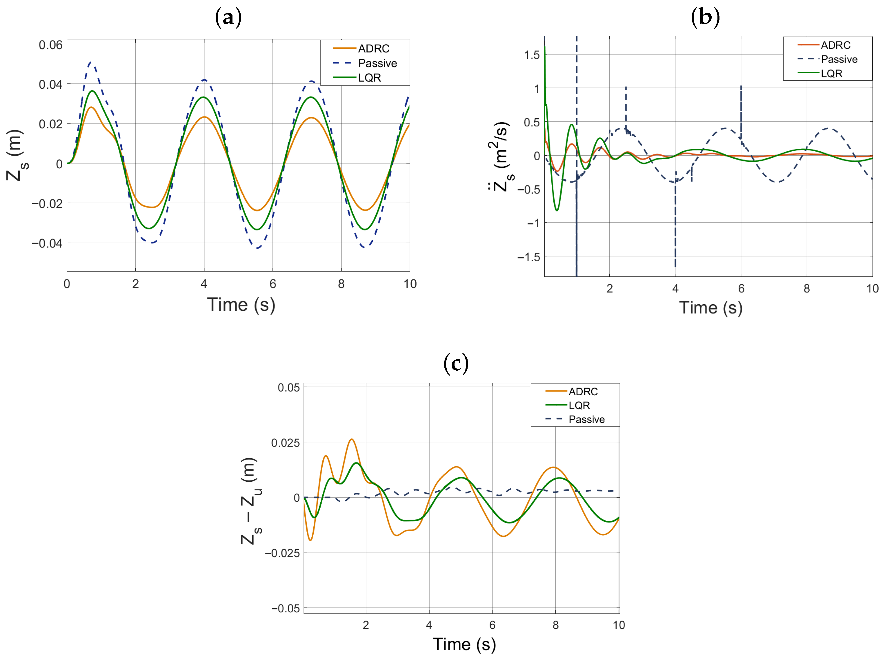
4.1. Sinusoidal Signal
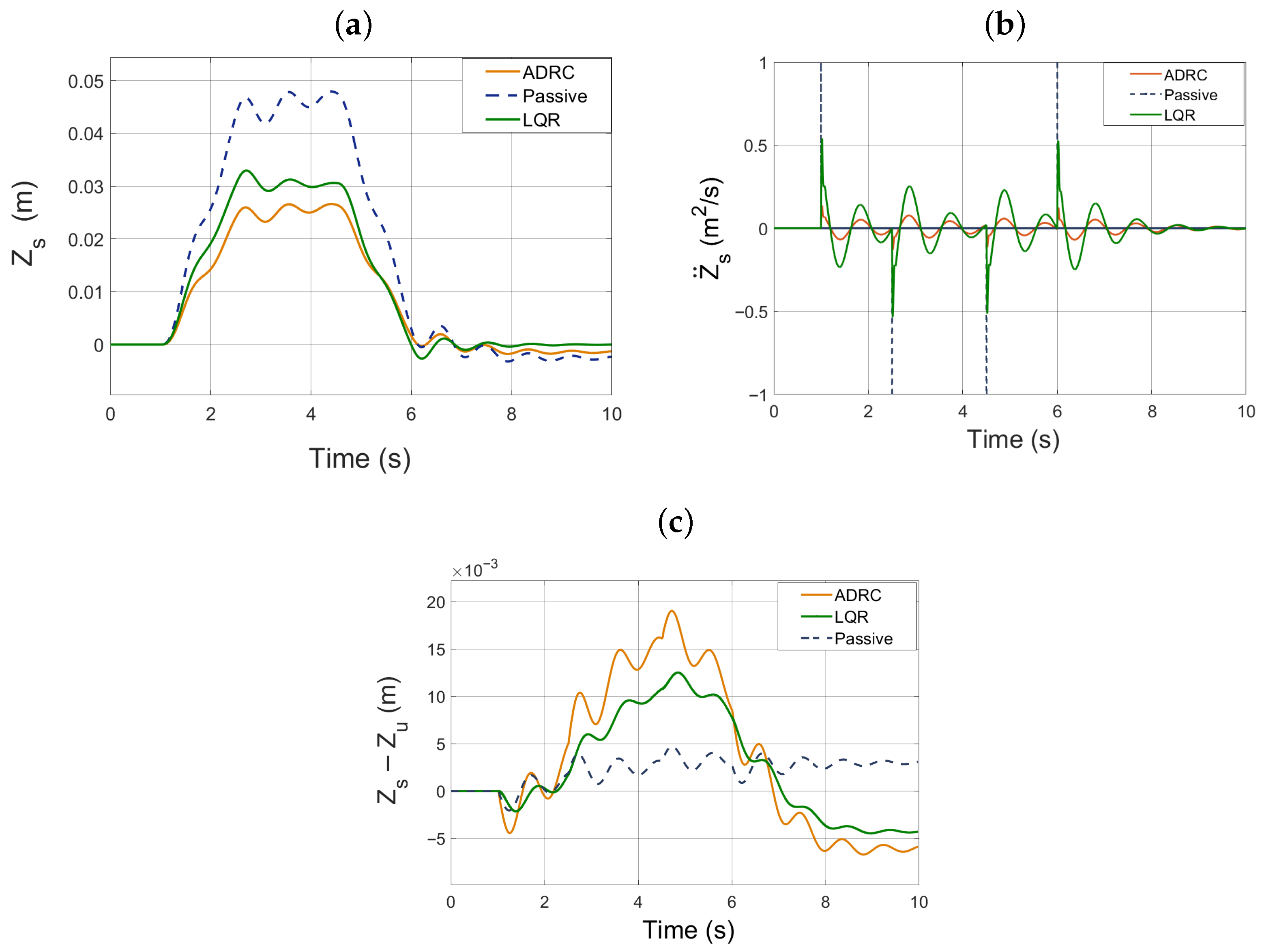
4.2. Step Signal
4.3. Trapezoidal Signal
5. Conclusions
- Under sinusoidal excitation, the peak displacement is reduced to 24 mm, and the RMS to 21 mm, while the phase delay is practically eliminated.
- For a step input, ADRC cuts the peak displacement to 25 mm and limits acceleration to 0.1 m/s2, although transient estimation errors appear in the observer during the abrupt rise.
- With a trapezoidal ramp, ADRC again provides the best containment of the sprung mass and delivers a cleaner acceleration signal, free from the saw-tooth effect caused by sensor noise in conventional schemes.
- Systematic optimization of the ADRC parameters through advanced or computational intelligence techniques to improve performance under varying load and road conditions.
- Experimental implementations to assess real-world limitations of actuators and sensors, bringing the design closer to practical scenarios.
- Integration of this type of active suspension into intelligent and connected vehicles, enabling systems capable of anticipating road irregularities through advanced perception technologies.
Author Contributions
Funding
Institutional Review Board Statement
Informed Consent Statement
Data Availability Statement
Conflicts of Interest
Abbreviations
| ADRC | Active Disturbance Rejection Control |
| ESO | Extended State Observer |
| LQR | Linear Quadratic Regulator |
| PID | Proportional–Integral–Derivative |
References
- Viadero-Monasterio, F.; Boada, B.L.; Zhang, H.; Boada, M.J.L. Integral-Based Event Triggering Actuator Fault-Tolerant Control for an Active Suspension System Under a Networked Communication Scheme. IEEE Trans. Veh. Technol. 2023, 72, 13848–13860. [Google Scholar] [CrossRef]
- Wang, Z.; Liu, C.; Zheng, X.; Zhao, L.; Qiu, Y. Advancements in Semi-Active Automotive Suspension Systems with Magnetorheological Dampers: A Review. Appl. Sci. 2024, 14, 7866. [Google Scholar] [CrossRef]
- Mei, Y.; Wang, R.; Ding, R.; Jiang, Y. Classification Evolution, Control Strategy Innovation, and Future Challenges of Vehicle Suspension Systems: A Review. Actuators 2025, 14, 485. [Google Scholar] [CrossRef]
- Viadero-Monasterio, F.; Meléndez-Useros, M.; Jiménez-Salas, M.; López Boada, M.J. Avoiding Lyapunov-Krasovskii Functionals: Simple Nonlinear Sampled–Data Control of a Semi-Active Suspension with Magnetorheological Dampers. Machines 2025, 13, 512. [Google Scholar] [CrossRef]
- Viadero-Monasterio, F.; Meléndez-Useros, M.; Jiménez-Salas, M.; Boada, B.L. Robust static output feedback control of a semi-active vehicle suspension based on magnetorheological dampers. Appl. Sci. 2024, 14, 10336. [Google Scholar] [CrossRef]
- Huang, C.; Liu, Y.; Sun, X.; Wang, Y. Intelligent Active Suspension Control Method Based on Hierarchical Multi-Sensor Perception Fusion. Sensors 2025, 25, 4723. [Google Scholar] [CrossRef]
- Viadero-Monasterio, F.; Boada, B.; Boada, M.; Díaz, V. H∞ dynamic output feedback control for a networked control active suspension system under actuator faults. Mech. Syst. Signal Process. 2022, 162, 108050. [Google Scholar] [CrossRef]
- Viadero-Monasterio, F.; Jimenez-Salas, M.; Meléndez-Useros, M.; Boada, B.L.; Boada, M.J.L. Event-triggered fault-tolerant control for vehicle rollover avoidance based on an active suspension with robustness against disturbances and communication delays. In Proceedings of the IFToMM World Congress on Mechanism and Machine Science; Springer: Cham, Switzerland, 2023; pp. 795–805. [Google Scholar]
- Automotive Active Suspension System Market Size Report; Global Market Insights: Selbyville, DE, USA, 2024.
- Automotive Active Suspension Market Report 2024–2034; Emergen Research: Surrey, BC, USA, 2025.
- Nguyen, T.A. Active Disturbance Rejection Control for an automotive suspension system based on parameter tuning using a fuzzy technique. PLoS ONE 2025, 20, e0313104. [Google Scholar] [CrossRef]
- Tang, Z.; Zhao, Q.; Pham, D.T.; Zhang, X. Enhancing Active Disturbance Rejection Control for a Vehicle Active Stabiliser Bar with an Improved Chicken Flock Optimisation Algorithm. Processes 2024, 12, 1979. [Google Scholar] [CrossRef]
- Michalski, J.; Mrotek, M.; Pazderski, D.; Kozierski, P.; Retinger, M. Improving Performance of ADRC Control Systems Affected by Measurement Noise Using Kalman Filter-Tuned Extended State Observer. Electronics 2024, 13, 4916. [Google Scholar] [CrossRef]
- Orkisz, P.; Sapiński, B. Hybrid Vibration Reduction System for a Vehicle Suspension under Deterministic and Random Excitations. Energies 2023, 16, 2202. [Google Scholar] [CrossRef]
- Abut, T.; Salkim, E. Control of Quarter-Car Active Suspension System Based on Optimized Fuzzy Linear Quadratic Regulator Control Method. Appl. Sci. 2023, 13, 8802. [Google Scholar] [CrossRef]
- Abbas, S.B.; Youn, I. Performance Improvement of Active Suspension System Collaborating with an Active Airfoil Based on a Quarter-Car Model. Vehicles 2024, 6, 1268–1283. [Google Scholar] [CrossRef]
- Ho, C.M.; Ahn, K.K. Extended State Observer-Based Adaptive Neural Networks Backstepping Control for Pneumatic Active Suspension with Prescribed Performance Constraint. Appl. Sci. 2023, 13, 1705. [Google Scholar] [CrossRef]
- Song, D.; Chen, S.; Xue, W.; Zhao, Z. On the Stability Condition of Active Disturbance Rejection Control with Time-Varying Bandwidth Observer. Control Theory Technol. 2025, 23, 464–478. [Google Scholar] [CrossRef]
- Li, Y.; Tan, P.; Liu, J.; Chen, Z. A Super-Twisting Extended State Observer for Nonlinear Systems. Mathematics 2022, 10, 3584. [Google Scholar] [CrossRef]
- Li, G.; Yan, Y.; Liu, Y.; Wang, S. Research on Active Control of X-Type Interconnected Hydropneumatic Suspensions for Heavy-Duty Special Vehicles via Extended State Observer-Model Predictive Control. Appl. Sci. 2025, 15, 3041. [Google Scholar] [CrossRef]
- Azar, A.T.; Smait, D.A.; Muhsen, S.; Jassim, M.A.; Al-Salih, A.A.M.M.; Hameed, I.A.; Jawad, A.J.M.; Abdul-Adheem, W.R.; Cocquempot, V.; Sahib, M.A. A New Approach to Nonlinear State Observation for Affine Control Dynamical Systems. Appl. Sci. 2023, 13, 3300. [Google Scholar] [CrossRef]
- Mai, G.; Wang, H.; Wang, Y.; Wu, X.; Jiang, P.; Feng, G. Nonlinear Extended State Observer and Prescribed Performance Fault-Tolerant Control of Quadrotor Unmanned Aerial Vehicles Against Compound Faults. Aerospace 2024, 11, 903. [Google Scholar] [CrossRef]
- Shi, S.; Zeng, Z.; Zhao, C.; Guo, L.; Chen, P. Improved Active Disturbance Rejection Control (ADRC) with Extended State Filters. Energies 2022, 15, 5799. [Google Scholar] [CrossRef]
- Bueno-Lopez, J.L.; Cardenal, J.; Deibe, A.; Garcia de Jalon, J. Potential and Limitations of an Improved Method to Produce Dynamometric Wheels. Sensors 2018, 18, 541. [Google Scholar] [CrossRef]
- Gonzalez, A.; Balaguer, V.; Garcia, P.; Cuenca, A. Gain-Scheduled Predictive Extended State Observer for Time-Varying Delays Systems with Mismatched Disturbances. ISA Trans. 2019, 84, 206–213. [Google Scholar] [CrossRef] [PubMed]
- Trillo, J.R.; Fernandez, A.; Herrera, F. HFER: Promoting Explainability in Fuzzy Systems via Hierarchical Fuzzy Exception Rules. In Proceedings of the 2020 IEEE International Conference on Fuzzy Systems (FUZZ-IEEE), Glasgow, UK, 19–24 July 2020; pp. 1–8. [Google Scholar] [CrossRef]
- Morente-Molinera, J.A.; Cabrerizo, F.J.; Trillo, J.R.; Pérez, I.J.; Herrera-Viedma, E. Managing Group Decision Making Criteria Values Using Fuzzy Ontologies. Procedia Comput. Sci. 2022, 199, 166–173. [Google Scholar] [CrossRef]
- Trillo, J.R.; Herrera-Viedma, E.; Higueras-Ruiz, M.J.; Alonso, S.; Morente-Molinera, J.A.; Cabrerizo, F.J. Challenges in Fuzzy Decision Making for Future Research. In New Trends in Intelligent Software Methodologies, Tools and Techniques; Frontiers in Artificial Intelligence and Applications; IOS Press: Amsterdam, The Netherlands, 2022; Volume 355, pp. 374–384. [Google Scholar] [CrossRef]
- Chen, X.; Zhong, W.; Peng, X.; Du, P.; Li, Z. An Improved Adaptive Dynamic Programming Algorithm Based on Fuzzy Extended State Observer for Dissolved Oxygen Concentration Control. Processes 2022, 10, 2618. [Google Scholar] [CrossRef]
- Shen, S.; Li, J.; Chen, Y.; Lv, J. Fuzzy Extended State Observer-Based Sliding Mode Control for an Agricultural Unmanned Helicopter. Agriculture 2025, 15, 306. [Google Scholar] [CrossRef]
- Torrens-Urrutia, A.; Novák, V.; Jiménez-López, M.D. Describing Linguistic Vagueness of Evaluative Expressions Using Fuzzy Natural Logic and Linguistic Constraints. Mathematics 2022, 10, 2760. [Google Scholar] [CrossRef]
- Le, V.H. Extending Fuzzy Linguistic Logic Programming with Negation. Mathematics 2022, 10, 3105. [Google Scholar] [CrossRef]
- Lima-Junior, F.R. Advances in Fuzzy Logic and Artificial Neural Networks. Mathematics 2024, 12, 3949. [Google Scholar] [CrossRef]
- Lima, J.F.; Patiño-León, A.; Orellana, M.; Zambrano-Martinez, J.L. Evaluating the Impact of Membership Functions and Defuzzification Methods in a Fuzzy System: Case of Air Quality Levels. Appl. Sci. 2025, 15, 1934. [Google Scholar] [CrossRef]
- Cai, C.; Wang, G.; Wang, Z.; Li, R.; Li, Z. Research on Control Strategy of Semi-Active Suspension System Based on Fuzzy Adaptive PID-MPC. Appl. Sci. 2025, 15, 9768. [Google Scholar] [CrossRef]
- Zhao, D.; Gong, M.; Wang, Y.; Zhao, D. A Position–Force Feedback Optimal Control Strategy for Improving the Passability and Wheel Grounding Performance of Active Suspension Vehicles. Processes 2025, 13, 1241. [Google Scholar] [CrossRef]
- Yang, J.; Wang, S.; Bai, F.; Wei, M.; Sun, X.; Wang, Y. Prior-Guided Residual Reinforcement Learning for Active Suspension Control. Machines 2025, 13, 983. [Google Scholar] [CrossRef]
- Han, S.Y.; Dong, J.F.; Zhou, J.; Chen, Y.H. Adaptive Fuzzy PID Control Strategy for Vehicle Active Suspension Based on Road Evaluation. Electronics 2022, 11, 921. [Google Scholar] [CrossRef]
- Habibi, H. Control of Active Suspension Systems Based on Mechanical Wave Concepts. Actuators 2025, 14, 230. [Google Scholar] [CrossRef]











| Symbol | Units | Value |
|---|---|---|
| kg | 380 | |
| kg | 37 | |
| N | 37,500 | |
| N | 174,000 | |
| Ns | 3260 | |
| 7000 | ||
| 3 | ||
| N | 200,000 |
Disclaimer/Publisher’s Note: The statements, opinions and data contained in all publications are solely those of the individual author(s) and contributor(s) and not of MDPI and/or the editor(s). MDPI and/or the editor(s) disclaim responsibility for any injury to people or property resulting from any ideas, methods, instructions or products referred to in the content. |
© 2026 by the authors. Licensee MDPI, Basel, Switzerland. This article is an open access article distributed under the terms and conditions of the Creative Commons Attribution (CC BY) license.
Share and Cite
Saralegui Esteve, C.; Meléndez-Useros, M.; Viadero-Monasterio, F. Active Disturbance Rejection Control of an Active Suspension System Based on Fuzzy Extended State Observers. Actuators 2026, 15, 132. https://doi.org/10.3390/act15030132
Saralegui Esteve C, Meléndez-Useros M, Viadero-Monasterio F. Active Disturbance Rejection Control of an Active Suspension System Based on Fuzzy Extended State Observers. Actuators. 2026; 15(3):132. https://doi.org/10.3390/act15030132
Chicago/Turabian StyleSaralegui Esteve, Carlos, Miguel Meléndez-Useros, and Fernando Viadero-Monasterio. 2026. "Active Disturbance Rejection Control of an Active Suspension System Based on Fuzzy Extended State Observers" Actuators 15, no. 3: 132. https://doi.org/10.3390/act15030132
APA StyleSaralegui Esteve, C., Meléndez-Useros, M., & Viadero-Monasterio, F. (2026). Active Disturbance Rejection Control of an Active Suspension System Based on Fuzzy Extended State Observers. Actuators, 15(3), 132. https://doi.org/10.3390/act15030132

