Next Article in Journal
Modeling, Dynamic Characterization, and Performance Analysis of a 2.2 kW BLDC Motor Under Fixed Load Torque Levels and Variable Speed Inputs: An Experimental Study
Previous Article in Journal
A Cross-Modal Multi-Layer Feature Fusion Meta-Learning Approach for Fault Diagnosis Under Class-Imbalanced Conditions
 
 
Font Type:
Arial Georgia Verdana
Font Size:
Aa Aa Aa
Line Spacing:
Column Width:
Background:
Article

Modeling, Fabrication and Control Optimization Based on Fuzzy PID of Multi-Chamber Flexible Mechanisms

1
School of Mechanical and Power Engineering, Henan Polytechnic University, Jiaozuo 454000, China
2
School of Automation Science and Electrical Engineering, Beihang University, Beijing 100191, China
3
Key Laboratory of Testing Technology for Manufacturing Process of Ministry of Education, Southwest University of Science and Technology, Mianyang 621010, China
4
Pingyuan Filter Co., Ltd., Xinxiang 453700, China
5
School of Mechanical Engineering, Inner Mongolia University of Science and Technology, Baotou 014010, China
6
China Mobile Online Marketing Service Center, Zhengzhou 450000, China
*
Authors to whom correspondence should be addressed.
Actuators 2025, 14(8), 399; https://doi.org/10.3390/act14080399
Submission received: 15 July 2025 / Revised: 1 August 2025 / Accepted: 6 August 2025 / Published: 11 August 2025
(This article belongs to the Section Actuators for Robotics)

Abstract

This paper focuses on the design and control of multi-chamber flexible mechanisms and explores and controls optimization under pneumatic actuation. Flexible robots, due to the flexibility and adaptability of their materials, demonstrate unique advantages in applications such as underwater operations and precise grasping. In this study, a flexible mechanism based on a three-chamber design is proposed, with a prototype fabricated using 3D printing technology. Both simulation and experimental analyses are conducted to delve into its bending characteristics. The Yeoh model is utilized for the simulation analysis of silicone rubber material, revealing the deformation behavior of the mechanism under different pneumatic pressures. A pneumatic control system based on a microcontroller is developed, and a fuzzy PID control algorithm is introduced to enhance the traditional PID, achieving quicker response times and more precise control outcomes. Experimental results demonstrate that the simulations based on the Yeoh model align well with experimental data, and the improved fuzzy PID algorithm exhibits excellent performance in the complex attitude control of the flexible mechanism. The findings provide significant data support for the application of multi-chamber flexible mechanisms and establish a foundation for future design and control optimization endeavors.

1. Introduction

Research into biomimetic robots, especially soft robots made from flexible materials, has gained significant momentum in recent years [1]. In wearable robotics, reconfigurable exomuscle systems with adjustable parameters have been developed to assist with movements such as hip flexion and ankle plantarflexion [2]. These systems draw from multiple disciplines, including bionics, materials science, mechanical and electronic engineering, and control theory, positioning this field of mechanical bionics and biomanufacturing. The continuous advancement of these disciplines has made the field one of the fastest-growing areas of research [3].
Flexible robots, with their highly deformable materials and structural characteristics [4], offer near-infinite compared to rigid robots. This adaptability forms a more reliable foundation for them to interact with and adapt to dynamic natural environments.
Soft robots, as a subclass of flexible robots [5], are particularly well-suited for specific applications due to their variable pose structures [6]. For example, flexible robots designed for underwater operations can mimic the movement characteristics of marine organisms more effectively, enabling them to perform more complex underwater tasks. In factory settings, flexible grippers are better equipped to handle fragile objects, reducing the risk of damage during the gripping process.
Compared to mechanical, electrical, and hydraulic systems, pneumatic technology offers advantages including easy accessibility, cleanliness, safety, stability, and rapid response times [7]. Pneumatic systems have significant potential for underwater applications, particularly in flexible robotic arms and grippers [8].
In flexible robotic arm design, Gong et al. [9] developed a soft robot arm and introduced a kinematic model with angular corrections to accurately predict three-dimensional motion. Their experiments showed that the soft robot arm has excellent hydrodynamic performance, with minimal force and torque generated during underwater motion, reducing the effects of inertia. Similarly, Kurumaya et al. [10] designed a cylindrical flexible wrist joint for precision manipulation in deep-sea environments, using pneumatics under normal atmospheric conditions and hydraulics for testing under high hydrostatic pressures.
In the realm of flexible gripper design, Sun et al. [11] created a classic corrugated fluid-driven soft bending finger. Their studies showed that external water pressure causes greater bending of the actuator under varying pressures (1 atm to 15 MPa). Similarly, Bhat et al. [12] developed a human finger-inspired soft pneumatic actuator for gripping applications, demonstrating excellent structural compliance and adaptability. The bending angle increased in proportion to the environmental pressure. Jiang et al. [13] drew inspiration from the claw shape of the Boston lobster, designing seven types of finger surface structures fabricated from soft silicone. Their experiments, which involved over 14,000 grasping attempts on land (71.4%) and underwater (28.6%), confirmed that the bio-inspired design could increase grasping success rates by up to 18.2%.
A common challenge in single flexible mechanisms is insufficient rigidity. Combining rigidity with flexibility helps preserve the deformable properties of the mechanism while adding structural support. Capalbo et al. [14] proposed a soft robotic gripper with a neutrally buoyant particle gripping pad, which integrates a neutrally buoyant interference pad and a passive flexible support structure to enable safe gripping without damaging fragile objects. Gong et al. [15,16,17] designed a three-degree-of-freedom (3-DoF) soft robotic arm for fine grasping in shallow water, allowing three-dimensional spatial motion through reverse bending and extension. This robot can perform dexterous grasping in shallow water (0–50 m), replacing human divers in seafood harvesting without causing damage. Wu et al. [18] designed a soft claw inspired by the luminous sucker octopus, which is capable of grasping irregular or moving objects. Licht et al. [19,20] explored a cage grasp, where the wrist is rigid, but the fingers consist of latex balloons filled with a mixture of freshwater and ~200 µm glass beads. Galloway et al. [21] designed a gripper with a rigid claw wrist, hydraulically actuated flexible interlaced claw fingers, and sponge-covered surfaces, tested for sampling specimens such as corals. Sinatra et al. [22] developed an ultra-flexible soft robotic actuator with a rigid claw wrist and hydraulically actuated interlaced claws, covered with nanomaterials. However, these designs are complex and difficult to manufacture.
The control methods for flexible mechanisms are also crucial. Shen et al. [23] developed a wrist with actuation and sensing functions, controlled by fluids, inspired by the origami process. This design allows for excellent load output and robust, accurate sensing without the need for external cladding, simplifying the fabrication process for complex tasks in harsh environments. Xavier et al. [24] proposed a method for selecting pneumatic soft robot system parameters, considering the required closed-loop pressure response, and evaluated PI and switching controllers with hysteresis. Joshi et al. [25] introduced a normalized model for pressure dynamics in soft actuators, quantifying the relationship between design parameters and dynamic performance metrics such as rise time, fall time, and actuation frequency. However, these control methods often face challenges, including high control complexity and poor adaptability, and further research is required to develop more accurate, faster, and universally applicable control methods.
Currently, many researchers use fluid-driven methods to actuate soft robots, with pneumatic technology being a major branch of this field. Many scholars focus on the structural design, actuation mechanisms, and control strategies for pneumatic flexible robots. Pneumatic soft actuators are no longer limited to silicone elastomers; fabric-reinforced composites, hydrogels, and shape-memory polymers (SMPs) have become increasingly important. Each material class has prompted the development of its own preferred control schemes. For instance, fabric-reinforced actuators often rely on sliding-mode or adaptive controllers due to their highly nonlinear and anisotropic behavior [26]. Hydrogels exhibit pronounced viscoelasticity and slow response times, requiring classical PID or fractional-order PID control for steady-state accuracy [27,28]. SMP actuators, known for large hysteresis and slow shape recovery, are typically controlled using open-loop heating or low-frequency PID regulation to achieve repeatable but not high-speed morphing [29].
While these material-specific strategies are effective, they can be complex to implement or offer limited dynamic performance. In this study, we adopt a fuzzy PID controller embedded within a conventional PID framework. This approach dynamically adjusts the control gains, enhancing both responsiveness and accuracy, without the modeling burden or computational overhead of advanced nonlinear controllers. The resulting system is well-suited to embedded, real-time pneumatic systems.
The key novelty of this study is the integration of a fuzzy-tuned PID control algorithm with a newly designed three-chamber cylindrical actuator. This combination enables precise three-dimensional pose modulation while maintaining low fabrication complexity—an aspect seldom explored in previous soft-pneumatic actuator studies. This study investigates a silicone-rubber multi-chamber actuator capable of complex pose changes through differential inflation. A prototype was fabricated using 3D printing and lost-wax casting, with both numerical and experimental analyses, based on the Yeoh model, conducted to characterize its bending behavior across various pressures.

2. Design and Fabrication of Multi-Chamber Flexible Mechanism

2.1. Structural Design of the Multi-Chamber Mechanism

Flexible silicone products achieve deformation by controlling changes in local pressure. In pneumatic control technology, there are two commonly used deformation modes: contraction bending caused by lower than ambient pressure and expansion bending caused by higher than ambient pressure. Compared to low-pressure contraction, high-pressure expansion bending is easier to achieve and has a wider range of applications, such as the reverse bending of the elephant trunk and the rotation of the wrist. Therefore, this article focuses on the study of expansion bending deformation.
Cylindrical structures are widely adopted due to their universality in shape and function. For example, an elephant trunk can be seen as a cylindrical structure with multiple segments connected in series; the wrist structure can be approximated as a single cylindrical structure with a larger outer diameter; and finger joints can be regarded as cylindrical structures on a fixed base moving along a specific plane. Therefore, designing multi-chamber mechanisms as cylindrical shapes can better simulate the motion of these structures and simplify the manufacturing process and simulation analysis.
When there is a central chamber inside the cylindrical structure, only a single expansion and elongation will occur under high-pressure driving. If the chamber is located at a non-central point of the cylinder, the overall structure will undergo unidirectional bending due to high-pressure driving, as shown in Figure 1a. When there are two cavities inside the cylindrical structure, and these two cavities are distributed 180° apart along the centerline, the overall structure will bend in opposite directions under high pressure driving, as shown in Figure 1b. When there are three cavities inside the cylindrical structure, and these three cavities are distributed 120° apart along the centerline, the structural endpoints can reach any position on the designated semi-spherical in three-dimensional space through high-pressure driving of different cavities, as shown in Figure 1c.
In order to reduce the cost of simulation operations, simplify the manufacturing process, and maintain the flexibility of the overall mechanism, this paper adopts a design scheme where three cavities are distributed 120° apart along the centerline. Due to the small stress concentration and ease of processing of circular cavities, all cavities are designed as circular. The main dimensions of this structure include the overall length L, center point O, outer cylinder radius R, internal chamber radius r, and the distance d from the center of the chamber to the central axis, as shown in Figure 2.

2.2. Fabrication of the Multi-Chamber Mechanism

3D printing technology has become increasingly important in the manufacturing sector due to its convenience and flexibility, particularly for small-batch or complex part production. Unlike traditional subtractive manufacturing, it is more suitable for creating components with multiple internal cavities. In this study, Fused Deposition Modeling (FDM) technology was employed to produce the physical mold. Using FDM, the base shell, top shell, outer shell, and inner core were printed (as shown in Figure 3). However, to further improve the mold’s precision and surface finish, this study combined the FDM process with the lost-wax casting technique. Common materials used in FDM include ABS, TPU, and PLA. Considering that PLA is a biodegradable and more environmentally friendly material, it was chosen as the material for the outer shell.
In the lost-wax casting process, a wax model that matches the internal chamber of the flexible mechanism is first created using a meltable wax material. This wax model is then encased in a refractory material, which is cured and subsequently heated to melt the wax, leaving behind a hollow chamber. Silicone rubber is then injected into this chamber, ensuring the final product’s internal structural precision and external smoothness. This process is particularly suited for manufacturing flexible chambers with complex internal structures and significantly improves the sealing performance and surface quality of the mechanism.
The overall mold consists of a bottom shell, a top shell, an outer shell, and an inner core, as shown in Figure 3. Due to their complex structure, the top and bottom shells are printed with PLA and have alignment planes to prevent core displacement. The inner core is made of 304 stainless steel, and the outer shell is made of a transparent acrylic tube. After assembly, use the mixed Shore hardness 0020 silicone rubber for pouring and molding.
The mold assembly consists of a transparent acrylic outer shell (inner Ø 20 mm), a fully filled PLA core equipped with 2 mm-thick end caps, and two alignment collars that keep the core concentric. Degassed Shore-00-20 silicone is injected into the 2 mm annular gap and cured at 80 °C for 2 h, and the assembly is then heated to 180 °C for 30 min so that the softened PLA core can be withdrawn, leaving a smooth, dimension-accurate three-chamber cavity. After flash trimming, the distal end is hermetically sealed, and an 8 mm polyurethane hose is bonded to the proximal end for pneumatic connection. The three-chamber actuator is now ready for subsequent performance testing. Figure 4 illustrates each fabrication step, and Figure 5 shows the finished actuator.

3. Material Performance Testing Experiment of Multi-Chamber Flexible Mechanism Based on the Yeoh Model

3.1. Tensile Test of Silicone Rubber Based on the Yeoh Model

This paper is based on the ASTM/D412-16 standard for tensile testing, using uniaxial tensile experiments for the acquisition of material data. Silicone rubber with Shore hardness 0020 is mixed in the ratio of 1:1, and the dumbbell-shaped specimen size is shown in Figure 6, and the thicknesses of 2.5 mm and 5 mm are used for the experiments, and the results of the tensile experiments are shown in Figure 7, which can be seen in the case of a small thickness of the specimen; the invisible bubbles have a greater impact on the experimental results, and therefore it is preferable to use the specimen with a thickness of 5 mm to carry out the following Yeoh model calculation and simulation experiments.
The uniaxial tensile test fulfills two design-critical functions. First, its derived stress-strain curve enables the determination of the Yeoh coefficients. Specifically, C10 = 0.886 MPa and C20 = 7.40 × 10−5 MPa (Table 1), which are subsequently imported into Abaqus to predict the three-chamber actuator’s bending behavior, burst pressure, and tip displacement. Second, the ultimate stretch ratio (λmax ≈ 6.2 for the 5 mm specimen) establishes a strain limit of approximately 420%, yielding a safety factor greater than 2 relative to the maximum simulated wall strain (≈190% under 90 kPa pressure). In this way, the tensile test connects the intrinsic properties of the rubber to both the global performance and structural integrity of the flexible mechanism.

3.2. Simulation Analysis of Hyperelastic Material Based on the Yeoh Model

Silicone rubber is a typical hyperelastic material with high flexibility, high ductility, and high elasticity, thus requiring the use of hyperelastic material models for simulation.
If the deformation of rubber materials used in experiments is simplified as isotropic and incompressible uniform deformation, a phenomenological model based on a strain energy function can be used to describe the large deformation of silicone [30]. Based on the stress-strain relationship, the constitutive relationship of rubber materials can be represented by the strain energy density function W:
W = W ( I 1 , I 2 , I 3 ) I 1 = λ 1 2 + λ 2 2 + λ 3 2 I 2 = λ 1 2 λ 2 2 + λ 2 2 λ 3 2 + λ 1 2 λ 3 2 I 3 = λ 1 2 λ 2 2 λ 3 2 λ i = 1 + γ i
where: I 1 , I 2 , I 3 —invariant of the deformation tensor;
λ 1 , λ 2 , λ 3 —principal elongation ratio;
γ i —principal strain.
For incompressible rubber materials, I 3 = λ 1 2 λ 2 2 λ 3 2 = 1 .
The Yeoh model is more suitable for simulating the large deformation behavior of carbon black-filled natural rubber (NR) and can describe the mechanical behavior of other deformations using simple uniaxial tension test data. However, it does not explain biaxial tension test data well and cannot accurately describe small deformations [31]. The strain energy density function model is given by:
W = i = 1 N C i 0 ( I 1 3 ) i + k = 1 N 1 d k ( J 1 ) 2 k
where: N , C i j and d k —material constants, determined experimentally.
For incompressible materials J = 1 , initial shear modulus is m = 2 C 10 ,its typical binomial parameter form is:
W = C 10 ( I 1 3 ) + C 20 ( I 1 3 ) 2
where: C 10 , C 20 is a material constant determined through experiments.
Using Abaqus for simulation and modeling, the stress-strain data collected previously are incorporated into the second-order expansion of the Yeoh model to approximate the stress-strain relationship of the overall flexible component [32].
The final parameter identification results using the Yeoh model are shown in Figure 8.
The identified parameters are shown in Table 1.
As shown in Figure 2b, the overall chamber length of the model is set to 105 mm, the radius of the outer cylindrical structure is set to 10 mm, d is set to 5 mm, and r is set to 3.5 mm for design.
Firstly, Solidworks is used to establish the 3D model. After establishing the various models to be analyzed according to the table above, the 3D models are imported into Abaqus. The fitted Yeoh model is used as the hyperelastic material model for simulation. The bottom surface is selected as the fixed surface, and the connection method is hinged. A new pressure load is established and applied to any single- chamber. The final loading force is shown in Figure 9.
The hybrid formula with reduced integration in the form of C3D8RH is used for grid partitioning, and an analysis step is created to apply a linear load that increases uniformly over time to the model. The maximum value is set at 80 kPa and reaches the maximum value after 1 s and is maintained.

3.3. Performance Simulation Analysis of Multi-Chamber Flexible Units

The strain relationships of single-chamber loading, dual-chamber loading, and three-chamber loading under a pressure of 65 kPa are shown in Figure 10. The figure shows the bending simulation of a flexible multi-chamber mechanism after loading pressure.
Figure 11 is a simulation diagram of single-chamber inflation bending. It can be seen from the figure that when the driving pressure is 0 kPa, the bending angle is the smallest, that is, 0°; When the pressure increases to 60 kPa, the bending angle increases to 16°, and when the driving pressure is 80 kPa, the bending angle is about 82°. As can be seen from Figure 11, the bending degree of the multi-chamber flexible mechanism gradually increases with the increase in pressure, which indicates that the simulation results are consistent with the model.

4. Control System Design for Multi-Chamber Flexible Mechanisms

4.1. Overall Pneumatic Control Circuit Design

Real-time deformation sensing on soft silicone chambers is impractical for high-bandwidth feedback. Strain gauges or optical fibers weaken the seal, while the vision system (Section 6.1) delivers only 30 Hz and adds ≈40 ms processing delay—too slow for a stable inner loop. By contrast, the XGZP6847D silicon-piezoresistive pressure sensor samples at 1 kHz on the STM32 bus with negligible latency. The actuator exhibits a monotonic, rate-independent pressure–strain curve in the 0–90 kPa range (Figure 8 and Figure 11), so chamber pressure can serve as a reliable proxy for tip displacement. Limiting pressure to ±2 kPa around the set point prevents exposure to the >120 kPa burst-and-creep region and stays below the 100 kPa rating of the pump/valve assembly. For these reasons the controller is closed on pressure; an outer shape loop will be added in future work once a faster, non-intrusive deformation sensor becomes available.
In order to control the motion trajectory of multi-chamber flexible mechanisms, a pneumatic control platform as shown in Figure 12 is constructed. This control platform demonstrates the working principle of the flexible mechanism’s motion. The overall system consists of a multi-chamber flexible mechanism, electromagnetic switch valve, small flow pump, pressure sensor, accumulator, and main control board. The control principle is shown in Figure 13, and the basic equipment parameters are shown in Table 2.
The air pressure sensor is used to collect air pressure data inside the chamber, the main control board serves as the data processing center, the micro flow pump is used to inflate the flexible actuator, the accumulator is used to stabilise the air pressure, and the electromagnetic switch valve is used to release air and pressure.
As shown in Figure 14, it displays the experimental platform for charging and discharging a single-chamber.
When inflating the flexible mechanism, the program sets the air pressure value and sends it to the central control board. The real air pressure value collected by the air pressure sensor is compared with the set air pressure value. The PID algorithm is used to control the PWM duty cycle of the small flow pump, thereby stabilizing the internal air pressure of the flexible mechanism. When releasing air, the central control board controls the opening and closing of the solenoid valve through a switch function, thereby achieving pressure relief of the flexible mechanism chamber.

4.2. Microcontroller-Based Control System Design

According to the current experimental requirements of multi-chamber mechanisms, the main control board can be divided into several parts: the central control circuit, power supply circuit, communication circuit, driving circuit for processing small flow pumps, and switch circuit for driving solenoid valves, which handle most of the data and interaction problems.
The main control core of the central control circuit adopts the LQFP48 package of the STM32F103C8T6 model from the ST company as the main control core.
In order to meet the stable power supply requirements of 3.3 V and 5 V for the peripheral circuits of the main control IC, this design adopts ASM1117-5V and ASM1117-3.3V chips to build a two-stage step-down circuit, with the input voltage range of 9~12 V, compatible with the characteristics of the driver and switching circuits, and a preferred 12 V reference input to balance the compatibility and stability of the system. The power supply is connected through the KF301_2P terminal, and the input side is configured with 3 groups (6 in total) of bypass capacitors, which combine with the typical circuit architecture of the chip manual to achieve precise voltage reduction and collaborative filtering, effectively suppressing the interference of transient fluctuations of the back-end load on other modules of the system and ensuring the stability of the input/output voltages and anti-noise capability.
In order to meet the demand for efficient acquisition and transmission of multi-channel pressure signals, this design uses the CFSensor XGZP6847D pressure sensor (IIC digital signal output, default address 0X6D) [33], combined with TI’s TCA9548A multiplexer to achieve the signal expansion. Based on the constraints that the system needs to collect 3-channel pressure information and needs to compress the PCB size, the 4-channel communication interface (channels 0~3) of TCA9548A is selected to optimise the layout space through its flexible IIC bus expansion capability while ensuring the signal integrity to satisfy the centralised reading and processing of multi-sensor data by the main controller.
For the driver circuit to deal with micro-flow pumps, in order to make the overall PCB size as compact as possible and to drive 12 V power below 3 W micro-flow pumps to work, the TB6612FNG driver IC was selected as the core of the overall circuit design.
For driving the solenoid valve switching circuit, there is a need to control at least 3-way solenoid valve switching, and the solenoid valve uses 12 V to drive, so the single circuit planning, in accordance with the corresponding form of the same array, can be obtained in accordance with the same function of the multi-group interface similar circuit diagrams.
The actual product of the final main control board is shown in Figure 15.

4.3. Flow Characteristics Analysis of Micro Pressure Pumps

Because the motor speed and outlet pressure are different, the output flow is affected to a certain extent. To further study the output characteristics of the micro-flow pump, the theoretical model of the pump is studied using the control variable method. Since the micro-flow pump uses a brushless DC motor as the main mechanical energy component for electrical energy conversion, PWM (Pulse Width Modulation) control can be adopted as the primary control method [34]. However, due to the complexity of analog control circuits, which hinder overall circuit structure planning, this paper adopts the PWM mode to control the DC brushless motor to regulate the outlet flow. To test the flow characteristics of the entire micro-flow pump, the experimental platform shown in Figure 16 is used for testing. The main focus of the test is the relationship between outlet pressure, output flow, and PWM output. Since the energy storage container uses a 5 L container tank, the volume of the outlet chamber is approximately infinite relative to the volume pumped by the micro-flow pump each time, meaning the outlet pressure can be assumed to remain constant for a short period.
First, control the PWM output to a specific duty cycle (0~100%), then read the corresponding outlet pressure and the output flow rate under the given duty cycle conditions. This allows us to establish the relationship among the three variables. By adopting a strategy of increasing the PWM by 10% each time, the pressure-flow characteristics of the micro flow pump in relation to PWM were analyzed. The resulting data is shown in Figure 17. Due to some fluctuations in each measurement, 20 data points were collected and averaged to serve as calibration points. In practical operation, at a PWM of 10%, the pressure and flow values were extremely small, approximately zero, due to experimental equipment errors, and thus are not displayed in the graph. In Figure 17, a fourth-order polynomial was used to fit the data points, and the corresponding curves were obtained. As shown in Table 3, the corresponding coefficients ( a 0 , a 1 , a 2 , a 3 , a 4 ) of the fourth-order polynomial for the fitting curves and the goodness of fit R2 are provided.
As shown in Figure 17, the output pressure of the micro pressure pump is related to the output flow rate and the corresponding PWM duty cycle. Its mathematical model is expressed as:
P ( Q , U ) = a 4 Q 4 + a 3 Q 3 + a 2 Q 2 + a 1 Q + a 0
In the equation, P represents pressure (kPa), Q represents flow rate (L/min), U represents PWM (%), and ai represents the coefficients of the fourth-order polynomial. ( i = 4 , 3 , 2 , 1 , 0 ) To describe the relationship between PWM and the polynomial coefficients, a third-order polynomial is used for fitting. The form of the third-order polynomial is as follows:
a i = b 3 U 3 + b 2 U 2 + b 1 U + b 0
In the equation, b 3 , b 2 , b 1 , b 0 represents the fitting coefficients, bi represents the fitting relationship between the PWM signal and the polynomial coefficients ai.
By inputting the PWM and corresponding coefficient values into the fitting function, the least squares method is used to fit the third-order polynomial, obtaining the relationship of each coefficient as a function of PWM:
a 4 = 8.53 10 3 U 3 1.75 U 2 + 111.43 U 2123.73 a 3 = 1.97 10 2 U 3 + 3.97 U 2 243.28 U + 4294.76 a 2 = 1.73 10 2 U 3 3.43 U 2 + 202.04 U 3151.38 a 1 = 6.64 10 3 U 3 + 1.33 U 2 77.87 U + 988.38 a 0 = 6.50 10 4 U 3 0.15 U 2 + 11.14 U 105.22
By substituting Equation (6) into the fourth-order polynomial mathematical model of Equation (4), the mathematical model for the entire microflow pump can be obtained:
P ( Q , U ) = 0.00853 U 3 Q 4 0.0197 U 3 Q 3 + 0.0173 U 3 Q 2 0.00664 U 3 Q + 0.00065 U 3 1.75 U 2 Q 4 + 3.97 U 2 Q 3 3.43 U 2 Q 2 + 1.33 U 2 Q 0.15 U 2 + 111.43 U Q 4 243.28 U Q 3 + 202.0 4 U Q 2 77.87 U Q + 11.14 U 2123.73 Q 4 + 4294.76 Q 3 3151.38 Q 2 + 988.38 Q 105.22

4.4. Characteristics Analysis of Electromagnetic Switch Valves

The electromagnetic switching valve, as a critical component widely used in fluid control systems, directly affects the system’s dynamic response, control accuracy, and operational efficiency. This study systematically tested and analyzed the pressure-flow relationship of the valve, examined its operating characteristics, and established a mathematical model through experimental data fitting to elucidate the characteristic patterns of the electromagnetic switching valve.
The experimental setup, as shown in Figure 18, primarily consists of a gas source, a regulating valve, a pressure gauge, an electromagnetic switching valve, a flow meter, and data acquisition equipment. The experiment involved adjusting the input pressure and recording the flow rate variations of the electromagnetic switching valve under different pressure conditions. A total of 20 sets of experimental data were collected, and their average values were used to plot the pressure-flow relationship curve, as shown in Figure 19. The experimental results indicate that the flow rate of the electromagnetic switching valve exhibits a clear nonlinear variation with increasing pressure.
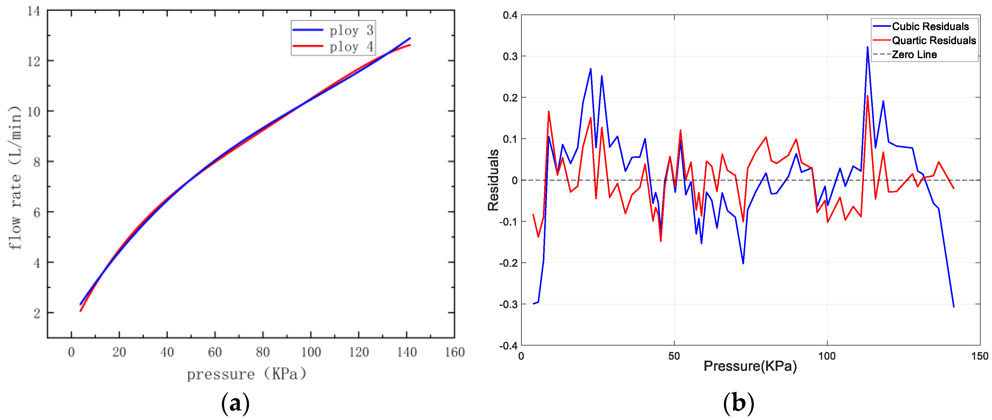
In order to describe the relationship between pressure and flow more precisely, the experimental data were fitted using third- and fourth-degree polynomials, and the fitted curves (Figure 20) and the corresponding residual distribution plots (Figure 21) were generated using MATLAB software.
From the residual distribution plot (Figure 20b), it can be observed that the residual fluctuation range of the quartic polynomial is smaller and more evenly distributed, indicating higher fitting accuracy and data consistency. Therefore, the quartic polynomial fitting curve is selected as the mathematical model to describe the pressure-flow relationship of the electromagnetic switching valve.
In summary, through polynomial fitting analysis, the mathematical model of the electromagnetic switching valve is obtained as shown in Equation (8). This model can accurately describe the pressure-flow relationship of the electromagnetic switching valve in practical operation.
f i t ( y ) = 5.28469 × 10 8 x 4 + 1.83288 × 10 5 x 3 0.00237 x 2 + 0.19829 x + 1.34417

4.5. Accumulator Design for Pneumatic Control Circuits

Due to the structural characteristics of the microflow pump, its supply flow is not continuously stable. Therefore, in order to smooth the overall pipeline pressure, an accumulator is added as a buffer device. The accumulator consists of three parts: a 300 mL volumetric bottle, a pneumatic quick-release interface, and a 3D-printed connector. In order to ensure the airtightness of the overall accumulator, sealant is applied at the connection between the two ends of the 3D-printed part, as shown in Figure 21.

5. Fuzzy PID Control Study of Multi-Chamber Flexible Mechanisms

5.1. Incremental PID Control Strategy

In recent years, the development of microprocessor technology and the exploration of the universality of embedded system development have provided a good implementation platform for some complex control strategies. Due to the increasing complexity of production technology required for industrial production, some non-traditional control systems also urgently need further processing, especially for some nonlinear and parameter-unknown systems, which require high robustness of the controller. However, PID control, as the focus of traditional control, has always been the most common and widely used traditional control algorithm. Digital PID control, also known as discrete PID control, can be subdivided into positional PID control and incremental PID control. The output of incremental PID control is the increment of the control quantity, which can reduce the impact of accumulated errors and accuracy issues on the output [35]. This article intends to adopt a discrete incremental PID control strategy.
The control law of the PID control strategy is:
u ( t ) = K p e ( t ) + 1 T i 0 t e ( t ) d t + T d d e ( t ) d t
where:
t—The time interval from the start of adjustment to the output of the current control quantity;
u ( t ) —output value;
e ( t ) —deviation, the difference between the output value and the input value of the controlled object;
K p —proportional gain;
T i —integral time constant;
T d —derivative time constant.
The transfer function of the PID controller is:
G ( s ) = U ( s ) E ( s ) = K p ( 1 + 1 K i s + K d s ) ,
To discretize the integral and derivative terms in a simulated PID controller, first replace time t with a series of sampled points. Then, use a summation formula to replace the integral term and a difference formula to replace the derivative term.
t = k T 0 t e ( t ) d t T j = 0 k e ( j T ) = T j = 0 k e ( j ) d e ( t ) d t = e ( k T ) e ( k 1 ) T T = e ( k ) e ( k 1 ) T ,
In the equation, k represents the sampling index, and T is the sampling period. Replacing e ( k T ) with e ( k ) , we obtain the following formula. As can be seen from the formula, when the sampling period T is sufficiently short, the control accuracy of the position-based PID controller can be ensured to a certain extent.
u ( k ) = K p e ( k ) + T T i j = 0 k e ( j ) + T d T e ( k ) e ( k 1 ) ,
where:
u ( k ) —The system output value at the k-th sampling;
e ( k ) —The input error value at the k-th sampling;
e ( k 1 ) —The input error value at the (k − 1)-th sampling.
The algorithm for the incremental PID control strategy can be derived from Equation (11) using the recursive principle:
u ( k 1 ) = K p e ( k 1 ) + K p T T i j = 0 k 1 e ( j ) + K p T d T e ( k 1 ) e ( k 2 ) ,
Subtracting Equation (12) from Equation (9) yields:
Δ u ( k ) = K p e ( k ) e ( k 1 ) + K i e ( k ) + K d e ( k ) 2 e ( k 1 ) + e ( k 2 ) ,
The block diagram of the discrete incremental PID control system is shown in Figure 22.

5.2. Fuzzy PID Control Strategy

When using traditional PID control logic, the control effects, such as response speed and steady-state precision, are often not well balanced. One solution to this problem is to modify the main PID tuning parameters K p , K i , K d in real time, thereby achieving both fast dynamic response and accurate steady-state precision.
Fuzzy PID is a control strategy that uses a fuzzy controller to adjust PID parameters in real time. Compared to conventional PID control, fuzzy PID integrates a fuzzy controller that utilizes the error and its derivative to dynamically modify the main PID tuning parameters K p , K i , K d for control optimization. This enables the PID parameters to be adjusted dynamically, making the system adaptable to nonlinear and time-varying characteristics.
Fuzzy PID control introduces a fuzzy controller to adjust the main tuning parameters of the PID controller in real time based on the current error and the error rate of change (error derivative). This rule-based gain scheduling enables fuzzy PID control to adapt to complex and nonlinear control requirements. The control structure is shown in Figure 23 [36].
Pressure is kept as the 1 kHz inner-loop variable, whereas vision sensing operates at ~30 Hz. The fuzzy rules (Table 4, Table 5 and Table 6, ZO column) impose a no-overshoot constraint that keeps chamber pressure within ±2 kPa of the set-point and eliminates pressure spikes, while still achieving a comparable (and in our tests slightly faster) rise-time, as shown in Figure 27.

5.3. Establishment of Fuzzy PID Database

Considering the limited computing performance of the microcontroller and the constraints on the range of the main PID tuning parameter K p , K i , K d , a triangular membership function is adopted, and the centroid method is used to calculate the final output value. Figure 24 shows the schematic diagram of the triangular membership function used in fuzzy PID control.
Using Table 4, Table 5 and Table 6 as the corresponding fuzzy rule libraries for the main adjustment parameters of PID, the changes in the main adjustment parameters and their first derivative ec of PID are divided into five levels for regulation: positive large (PB), positive small (PS), zero (ZO), negative small (NS), and negative large (NB).
Figure 24 depicts the membership functions, and Table 4, Table 5 and Table 6 list the resulting rules.
To show how these rules were generated, the design methodology is summarized below.
The fuzzy rule-base was generated by the following structured procedure:
(1)
Input variables: The normalized error e(k) and its first-order difference Δe(k) fully describe the closed loop.
(2)
Linguistic partitioning: Both inputs are divided into five symmetric terms {NB, NS, ZO, PS, PB} with 50 % overlap, represented by triangular membership functions (Figure 24).
(3)
Output strategy: Three 5 × 5 tables are defined: Table 4 updates ΔKp, Table 5 updates ΔKi, and Table 6 updates ΔKd. Their design follows the Mac Vicar-Whelan heuristics:
  • increase k p when |e| is large;
  • add k i only when |e| is small to prevent wind-up;
  • raise k d when the error slope is steep to improve phase lead.
(4)
Illustrative derivation: If e = PB and ec = NB (large positive error that is already decreasing), the chosen actions are ΔKp = PS, ΔKi = NB, ΔKd = PB.
(5)
Scaling factors—Hardware tests on a 20 → 70 kPa step input yielded optimal gains α p = 0.12, α i = 0.08, and α d = 0.15 (Equation (17)), identified by minimizing the integral of absolute error.
The resulting 5 × 5 × 5 rule-base (Table 4, Table 5 and Table 6) is conflict-free, symmetric, and readily implementable on the STM32 microcontroller.
The fuzzy rules are processed by segmented judgement, and the deviation and its first-order derivative are firstly normalized. Due to the discrete PID control, the first-order derivative can be regarded as the error between the error of the last sampling result and the error of the current sampling result, which further determines the approximate range of the error and its first-order derivative, and this is used to carry out the normalization process, which is convenient for the fuzzy operations to be carried out in the subsequent period.
Since the triangular membership function is used and the input values have been normalized, the affiliation of the fuzzy variables in which the inputs and outputs are located is the same at any sampling moment, so the quantitative value of each output can be calculated using the center of gravity method [37]. Its formula is shown in Equation (15):
V o = i = 0 n M i F i i = 0 n M i ,
where M is the membership degree, F is the fuzzy quantitative value, and V o is the output value calculated using the centroid method. Since the sum of the membership degrees calculated in any direction for the chosen membership function is always 1, the denominator in Equation (15) can be omitted. Therefore, the actual calculation can be simplified to the following matrix operation, as shown in Equation (16):
K = M e 1 M e 2 F a F b F c F d M ec 1 M ec 2 T ,
Since the input variables of fuzzy control are normalized, the output variables of fuzzy control need to be converted into actual values to obtain the real variation. To achieve this, a coefficient can be introduced to scale the variation in K p , K i , K d and the specific implementation is shown in Equation (17):
K ( n ) = K ( n 1 ) + Δ K α ,
where ∆K is the fuzzy logic output value, α is the scaling factor, K ( n 1 ) is the PID parameter value at the previous time step, and K ( n ) is the PID parameter value at the current time step.
To implement the fuzzy logic controller, this experiment uses triangular membership functions to process the fuzzy operation rules. First, the normalized value of e is checked to determine whether it falls within one of the four intervals: −1 to −0.5, −0.5 to 0, 0 to 0.5, or 0.5 to 1. Then, the normalized value of ec is similarly checked to see if it lies within one of these four intervals. Based on this, the corresponding fuzzy logic parameters are selected to perform the fuzzy logic operations. The centroid method is used to calculate the output membership degree, yielding a normalized fuzzy output result. Based on this result, the parameter K p , K i , K d is adjusted to achieve better response speed and steady-state accuracy. The overall logic operation is shown in Figure 25.

5.4. PID Parameter Tuning Experiment Using the Fuzzy Control Rule Base

In order to better exploit the effect of fuzzy controllers on the tuning of PID parameters [38], a fixed chamber inflation and deflation platform as described above was used to test the overall control performance. Similarly, in order to compare the accuracy of the experimental results, the same two signals were used for input testing, namely the first step signal that increases the pressure setting value by 10 kPa every 5 s, and the second square wave signal that switches signal settings between 20 kPa and 80 kPa pressures every 10 s. Thus, algorithm parameters can be adjusted and optimised, and based on this, further research can be conducted on the robustness and real-time characteristics of algorithms in small deformation cavities.
Collect the overall output information of the controller, mainly focusing on real-time pressure signals and PID parameter changes. Both the traditional PID and fuzzy PID controllers were tuned using the same experimental setup and test signal to ensure a fair comparison. The tuning process was based on optimizing key performance indicators using the same criteria for both controllers. By collecting and displaying the collected information, a comparison chart of the stair-step signal following effect can be obtained, as shown in Figure 26 From the graph, it can be seen that under the optimization of PID parameters by the fuzzy controller, the overall inflation speed and signal-following effect have been significantly improved.
Furthermore, the real-time data obtained using the square wave signal is shown in Figure 27. In terms of sinusoidal signal inflation and deflation tracking, fuzzy PID also has certain advantages, with faster response speed and the ability to quickly approach the set value.
To characterise the closed-loop dynamics, seven key performance indicators were extracted from the 20→80 kPa step response in Figure 26 and Figure 27: rise-time t r (10–90%), settling-time t s (±2% band), maximum overshoot M p , steady-state error e s s ess, integral of squared error (ISE), integral of absolute error (IAE), and total variation in the control signal (TV). As summarized in Table 7, the fuzzy-PID shortens t s by 22%, suppresses M p to below 2%, and reduces e s s by roughly 40%, corroborating the trend observed in Figure 26. It further lowers Integral of Squared Error (ISE) by 74%, halves Integral of Absolute Error (IAE), and cuts Total Variation (TV) by 45%, demonstrating both tighter tracking accuracy and smoother, more energy-efficient actuation.

6. Comprehensive Performance Experiment of the Multi-Chamber Flexible Mechanism

Mainly aimed at the systematic testing of the overall experimental setup and further control testing of position and corresponding speed, in order to achieve certain control effects and provide theoretical and experimental data support for more complex mechanisms using flexible multi-chamber mechanisms in the future. Earthworm-inspired pneumatic soft robots integrating winding transmission structures have also shown promising multimodal locomotion performance, supporting the potential of flexible continuous actuation [39]. Firstly, prepare the posture acquisition device by using a camera to record the object’s posture and establishing a database to link pressure with posture. Then, analyze the collected pressure and posture data to understand the working characteristics and steady-state dynamic performance of this multi-chamber flexible mechanism.

6.1. Position Measurement of the Multi-Chamber Flexible Mechanism

Since images captured by standard cameras often exhibit some degree of distortion, particularly when using fisheye lenses, it becomes crucial to correct these distortions to accurately measure the posture changes in the multi-chamber flexible mechanism during experiments. In this study, camera calibration techniques were used to correct the camera’s intrinsic parameters, which describe the geometric relationship between a 3D object and its 2D projection. These parameters mainly include the focal length, principal point location, and distortion coefficients. By calibrating the intrinsic parameters, image distortion caused by lens aberrations (such as fisheye effects) can be effectively reduced. In our experiments, we first conducted camera calibration using a checkerboard calibration pattern to obtain the intrinsic matrix of the camera. Subsequently, these intrinsic parameters were applied to undistort the captured images, ensuring that the 2D images provided more accurate posture measurements of the multi-chamber flexible mechanism.

6.1.1. Correction of Camera Intrinsic Parameters

In order to achieve this goal, a camera calibration plate is used for printing, and Matlab’s built-in tool library Camera Calibrator is used for the solution process of automatic internal reference [40]. So firstly, it is necessary to take the corresponding pictures of the 9 cameras to be tested and generally take 20 sets of calibration paper that can appear completely in the lens and clearer, and the pose is not exactly the same in the pictures for corner detection and identification. Input the corresponding reference physical quantities, such as the real physical square edge length of the grid paper and other parameters, and Matlab’s built-in tool library Camera Calibrator can be carried out to automatically calculate the corresponding camera internal reference. The postures of the multi-chamber flexible mechanism after pressure stabilisation are photographed and recorded in each test, and the postures under different pressures are recorded separately, and then the OpenCV open-source vision library is used for the test, and the recorded postures are processed with anti-aliasing.

6.1.2. Establishment of the Pose Correspondence Table for the Multi-Chamber Flexible Mechanism

Due to the use of a three-chamber deformation mechanism, the area that can be swept by the end movement without considering axial elongation can be approximated as the area enclosed by a set of envelope lines in a two-dimensional plane. Place the camera centered on the central axis of the entire multi-chamber flexible mechanism model and capture the end effector motion clearly.
During the experiment, the experimental effect was not significant at pressures below 60 kPa. Therefore, the obvious and non-damaging area of 60 kPa to 90 kPa was used for testing. The test results can be roughly divided into three parts: single-chamber inflation and deflation, dual-chamber inflation and deflation, and three-chamber inflation and deflation. However, triple chamber inflation and deflation will cause the entire structure to antagonize. If three-chamber inflation and deflation control is used, the multi-chamber flexible mechanism will waste more energy after stabilizing at a certain position. Therefore, the deformation of the flexible multi-chamber mechanism is mainly controlled by single-chamber and dual-chamber posture, thereby achieving stable motion.
The overall measurement process for multi-chamber mechanisms is as follows:
(1)
Connect the corresponding hardware camera and main control USB interface.
(2)
Control the upper computer program to set pressure information.
(3)
Wait for the pressure sensor value to stabilize within ±1 kPa before taking photos of the object’s pose.
(4)
Record the pressure state corresponding to the corresponding pose.
(5)
Perform anti-distortion processing on captured images.
(6)
Measure the number of pixels between the stationary origin at the end and the pose points after inflation at the end.
(7)
Using the outer cylinder diameter of a multi-chamber flexible mechanism as a ruler, perform point-to-point distance conversion.
(8)
Establish a corresponding pressure data table and record it.
In order to map the pixel coordinate system in the figure to the real physical coordinate system, the outer circumference of the model without inflation is used as the reference object. Before testing, the multi-chamber flexible mechanism in a stationary state is first photographed and recorded, and its circumference is 160 pixels. Therefore, this data can be used as an approximation of the conversion relationship between the physical dimensions and the pixels in the captured image in order to obtain the end displacement of the multi-chamber flexible mechanism when controlling the pressure change of the chamber each time. In summary, the upper computer program is controlled to inflate each single chamber from 60 kPa to 90 kPa and record relevant data. Then, adjacent chambers are simultaneously inflated and stabilized, and the relevant pose changes are recorded.
For the stable motion experiment of a single-chamber, the pressure loading of 60 kPa~90 kPa is first carried out, as shown in Figure 28, which are several obvious experimental images in the corresponding images after the pressure loading of a single-chamber. Due to certain cropping and anti-distortion processing of the image, the position of the center point at rest can be directly measured, thereby estimating the position of its end points on the entire compression plane and estimating its attitude change.
For dual-chamber control, as mentioned above, due to the fact that single-chamber pressure control can only move in the plane determined by the axis of the single-chamber and the axis of the model chamber, it cannot cover the entire compression plane well. Therefore, it is necessary to control the dual-chamber pressure so that the end movement of the entire flexible multi-chamber mechanism can cover the entire hemisphere well. The bending experiment diagram of dual-chamber control is shown in Figure 29.
Therefore, without the need for internal antagonism, the execution point of the manipulation end can be moved in a hemispherical manner by manipulating the pressure changes in at most two pressure chambers to complete the movement of the point pose.

6.2. Motion Experiment and Analysis

The upper computer is used to adjust the real-time pressure setting of the main control board. After the pressure stabilises, the posture of the endpoint is collected after each change in pressure. The final data obtained is shown in Table 8, which is the projection coordinates of the end point on the projection plane after the pressure in each chamber is fixed.
The projection plane diagram of the final endpoint is shown in Figure 30, which is the corresponding relationship diagram between the measured pressure curve and the endpoint projection points, namely the pressure pose correspondence diagram. Based on this image, the pose of the physical model of the entire multi-chamber mechanism and the pressure relationship of each chamber can be obtained in order to further control the endpoint position.
The final experimental result is shown in Figure 31, indicating that the bending degree of the physical mechanism is in good agreement with the simulation result.
Table 8 provides data including experimental values and simulation values and calculates the displacement error (Error E) between them. The error is calculated by comparing the experimental data ( X exp and Y exp ) with the simulation data ( X s i m and Y s i m ), using the formula:
E = X s i m X exp 2 + Y s i m Y exp 2 X exp 2 + Y exp 2 × 100 % ,
where:
X exp and Y exp : experimental tip coordinates (mm);
X s i m and Y s i m : simulated tip coordinates (mm);
Error E (%) represents the relative error between the experimental and simulation data, expressed as a percentage.
The mean relative tip-position error, evaluated with Equation (18) over all 24 test points in Table 8, is 3.2%, confirming that the Yeoh-based model reproduces the pressure–pose map with satisfactory accuracy. The residual spread is mainly attributed to sub-millimetre air bubbles trapped during molding and to slight coaxial misalignments introduced by manual assembly.

6.3. Repeatability Analysis

To evaluate the repeatability of the three-chamber flexible actuator under typical working pressures, this section adopts the driving mode of “synchronous inflation of two chambers”. At four pressure settings of 60 kPa, 70 kPa, 80 kPa, and 90 kPa, 30 inflation-discharge cycles are performed at each setting point.
The specific test plan is as follows: (1) Inflate to the target pressure. (2) When feedback pressure settles within ±1 kPa, record the end-effector coordinates ( X i , Y i ) . (3) Vent to ambient and allow 5 s for silicone relaxation. (4) Repeat until 30 cycles are logged.
The repeatability of the flexible chamber was quantified by calculating the single-cycle positioning error from 30 experimental trials.
The analysis relies on two complementary quantities:
Single-cycle Euclidean error:
e i = X i , Y i X r e f , Y r e f 2 ,
where:
X i , Y i are the measured tip coordinates at cycle i;
X r e f , Y r e f are the reference coordinates obtained from the static.
Repeatability σ t i p : standard deviation of e i i = 1 30 .
Table 7 and Figure 32 jointly capture the statistical story. Numerically, Table 7 shows that the cycle-to-cycle standard deviation increases modestly with pressure—from 0.35 mm at 60 kPa to 0.72 mm at 90 kPa, yet even the worst-case value remains well below the 1 mm threshold. The associated ±3 σ bands confirm that 99.7 % of repeat cycles stay within ±2.2 mm. Figure 32 further visualizes the data: median errors (red lines) hover near 0 mm, the inter-quartile ranges tighten under 0.6 mm, and no whisker or outlier exceeds 1 mm, underscoring the consistency implied by Table 9.
Table 9 lists σ t i p for each pressure together with:
±3 σ repeatability band, covering ~99.7% of normally distributed outcomes,
95% confidence interval (CI) for, derived from the χ2 distribution with v = N 1 = 29 degrees of freedom:
σ l o w = s v x 2 0.975 , v , σ h i g h = s v x 2 0.025 , v
The manipulator therefore delivers sub-millimeter repeatability throughout the 60–90 kPa operating window, comfortably meeting the precision demanded by soft-robotic positioning tasks.

7. Conclusions

This study presents a novel three-chamber cylindrical soft actuator made from silicone rubber, controlled by a fuzzy-tuned PID algorithm. By integrating a structurally balanced multi-cavity design with a low-complexity, real-time control system, this actuator provides precise 3D pose modulation—an achievement not previously reported in pneumatic soft actuators.
The key contributions of this research include:
  • The actuator was modeled using the Yeoh hyper-elastic formulation, numerically analyzed in Abaqus, and physically fabricated using 3D printing combined with lost-wax casting. Experimental results validated the design methodology, with simulated bending behavior closely matching the physical tests.
  • An STM32-based pneumatic hardware platform was developed, including a micro-pump driver for inflation and a solenoid-valve exhaust system. Dynamic characteristics were quantified, laying the groundwork for future multi-chamber studies.
  • Experiments demonstrated that the fuzzy PID controller reaches pressure setpoints faster and with less overshoot compared to conventional PID controllers, confirming its suitability for nonlinear multi-cavity systems.
  • A camera-calibrated pose–pressure database was created, providing quantitative benchmarks for displacement accuracy and response time, which will inform future optimizations.
Despite these advancements, the study acknowledges some limitations: the actuation speed is limited by a single micro-pump, and preliminary single-camera tracking restricts deformation analysis to two-dimensional displacement, limiting full 6DOF control. Future work will focus on integrating multiple pumps to accelerate inflation, incorporating multi-camera vision for 3D motion tracking, and using multi-axis pressure sensors for full 6DOF analysis. Additionally, we aim to refine the human-machine interface and explore advanced control algorithms to extend the approach to high-DOF soft arms, ultimately validating performance in dexterous real-world applications.

Author Contributions

Conceptualization, Y.Z., F.W. and P.Z.; methodology, P.Z., M.C., G.W. and Q.Y.; software, H.Z., S.L. and P.Z.; validation, Y.Z., F.W. and P.Z.; writing—original draft preparation, P.Z. and L.W.; writing—review and editing, P.Z., L.W. and M.C.; supervision, Y.Z., F.W., G.W., H.Z., Q.Y., S.L. and P.Z.; project administration, Y.Z., F.W. and P.Z.; funding acquisition, Y.Z., F.W. and P.Z. All authors have read and agreed to the published version of the manuscript.

Funding

This research was funded by Outstanding Young Scientists Program of Beijing Higher Education Institutions (grant number BJJWZYJH01201910006021); Sub project of Key Basic Research Projects under the Basic Strengthening Plan (grant number 2019-JCJQ-ZD-120-13); and Science and Technology Research Project of Henan Province (grant numbers 202102210081, 212102210050).

Data Availability Statement

The original contributions presented in this study are included in the article. Further inquiries can be directed to the corresponding authors.

Acknowledgments

The authors thank Henan Polytechnic University, Inner Mongolia University of Science and Technology, Pingyuan Filter Co., Ltd., Southwest University of Science and Technology and Beijing University of Aeronautics and Astronautics for providing necessary equipment and machinery for the development of this experimental prototype. The author sincerely thanks the reviewers for their valuable comments, which have made substantial improvements to this paper.

Conflicts of Interest

Sikai Lv is affiliated with China Mobile Online Marketing Service Center. Other authors declare no conflicts of interest.

References

  1. Zhang, Y.; Kong, D.; Shi, Y.; Cai, M.; Yu, Q.; Li, S.; Wang, K.; Liu, C. Recent progress on underwater soft robots: Adhesion, grabbing, actuating, and sensing. Front. Bioeng. Biotechnol. 2023, 11, 1196922. [Google Scholar] [CrossRef] [PubMed]
  2. Ma, Z.; Wang, Y.; Zhang, T.; Liu, J. Reconfigurable Exomuscle System Employing Parameter Tuning to Assist Hip Flexion or Ankle Plantarflexion. IEEE/ASME Trans. Mechatron. 2025, 1–12. [Google Scholar] [CrossRef]
  3. Tyagi, M.; Spinks, G.M.; Jager, E.W. 3D Printing Microactuators for Soft Microrobots. Soft Robot. 2021, 8, 19–27. [Google Scholar] [CrossRef]
  4. Zhang, Y. Research on Deformation Analysis and Coordinated Motion Control of Soft Modular Robots. Ph.D. Thesis, Harbin Institute of Technology, Harbin, China, 2021. [Google Scholar]
  5. Wang, Y.; Zhang, P.; Huang, H.; Zhu, J. Bio-Inspired Transparent Soft Jellyfish Robot. Soft Robot. 2023, 10, 590–600. [Google Scholar] [CrossRef]
  6. Cheng, T.; Li, G.; Liang, Y.; Zhang, M.; Liu, B.; Wong, T.-W.; Forman, J.; Chen, M.; Wang, G.; Tao, Y.; et al. Untethered soft robotic jellyfish. Smart Mater. Struct. 2018, 28, 015019. [Google Scholar] [CrossRef]
  7. Sui, L.; Zhang, L. Application of Pneumatic Technology in the Field of Rehabilitation. Hydraul. Pneum. Seals 2006, 4, 38–40. [Google Scholar]
  8. Robertson, M.A.; Paik, J. New soft robots really suck: Vacuum-powered systems empower diverse capabilities. Sci. Robot. 2017, 2, eaan6357. [Google Scholar] [CrossRef]
  9. Gong, Z.; Cheng, J.; Chen, X.; Sun, W.; Fang, X.; Hu, K.; Xie, Z.; Wang, T.; Wen, L. A Bio-inspired Soft Robotic Arm: Kinematic Modeling and Hydrodynamic Experiments. J. Bionic Eng. 2018, 15, 204–219. [Google Scholar] [CrossRef]
  10. Kurumaya, S.; Phillips, B.T.; Becker, K.P.; Rosen, M.H.; Gruber, D.F.; Galloway, K.C.; Suzumori, K.; Wood, R.J. A Modular Soft Robotic Wrist for Underwater Manipulation. Soft Robot. 2018, 5, 399–409. [Google Scholar] [CrossRef]
  11. Sun, E.; Wang, T.; Zhu, S. An experimental study of bellows-type fluidic soft bending actuators under external water pressure. Smart Mater. Struct. 2020, 29, 087005. [Google Scholar] [CrossRef]
  12. Bhat, S.K.; Doreswamy, D.; Hegde, A.H.; Nukarapu, V.K.; Bhat, S.; Puneeth, S.; Das, V.; Bayezeed, A.A.; Bongale, A.M. Numerical and experimental methods for the assessment of a human finger-inspired soft pneumatic actuator for gripping applications. MethodsX 2024, 14, 103111. [Google Scholar] [CrossRef] [PubMed]
  13. Jiang, H.; Han, X.; Jing, Y.; Guo, N.; Wan, F.; Song, C. Rigid–Soft Interactive Design of a Lobster-Inspired Finger Surface for Enhanced Grasping Underwater. Front. Robot. AI 2021, 8, 787187. [Google Scholar] [CrossRef] [PubMed]
  14. Capalbo, C.E.; Tomaino, D.; Bruno, F.; Rizzo, D.; Phillips, B.; Licht, S. A Soft Robotic Gripper With Neutrally Buoyant Jamming Pads for Gentle Yet Secure Grasping of Underwater Objects. IEEE J. Ocean. Eng. 2022, 47, 975–983. [Google Scholar] [CrossRef]
  15. Gong, Z.; Chen, B.; Liu, J.; Fang, X.; Liu, Z.; Wang, T.; Wen, L. An Opposite-Bending-and-Extension Soft Robotic Manipulator for Delicate Grasping in Shallow Water. Front. Robot. AI 2019, 6, 26. [Google Scholar] [CrossRef]
  16. Gong, Z.; Cheng, J.; Hu, K.; Wang, T.; Wen, L. An inverse kinematics method of a soft robotic arm with three-dimensional locomotion for underwater manipulation. In Proceedings of the 2018 IEEE International Conference on Soft Robotics (RoboSoft), Livorno, Italy, 24–28 April 2018; pp. 516–521. [Google Scholar]
  17. Gong, Z.; Fang, X.; Chen, X.; Cheng, J.; Xie, Z.; Liu, J.; Chen, B.; Yang, H.; Kong, S.; Hao, Y.; et al. A soft manipulator for efficient delicate grasping in shallow water: Modeling, control, and real-world experiments. Int. J. Robot. Res. 2020, 40, 449–469. [Google Scholar] [CrossRef]
  18. Wu, M.; Zheng, X.; Liu, R.; Hou, N.; Afridi, W.H.; Afridi, R.H.; Guo, X.; Wu, J.; Wang, C.; Xie, G. Glowing Sucker Octopus (Stauroteuthis syrtensis)-Inspired Soft Robotic Gripper for Underwater Self-Adaptive Grasping and Sensing. Adv. Sci. 2022, 9, e2104382. [Google Scholar] [CrossRef]
  19. Licht, S.; Collins, E.; Ballat-Durand, D.; Lopes-Mendes, M. Universal jamming grippers for deep-sea manipulation. In Proceedings of the OCEANS 2016 MTS/IEEE, Monterey, NJ, USA, 19–23 September 2016; pp. 1–5. [Google Scholar] [CrossRef]
  20. Licht, S.; Collins, E.; Mendes, M.L.; Baxter, C. Stronger at Depth: Jamming Grippers as Deep Sea Sampling Tools. Soft Robot. 2017, 4, 305–316. [Google Scholar] [CrossRef]
  21. Galloway, K.C.; Becker, K.P.; Phillips, B.; Kirby, J.; Licht, S.; Tchernov, D.; Wood, R.J.; Gruber, D.F. Soft Robotic Grippers for Biological Sampling on Deep Reefs. Soft Robot. 2016, 3, 23–33. [Google Scholar] [CrossRef]
  22. Sinatra, N.R.; Teeple, C.B.; Vogt, D.M.; Parker, K.K.; Gruber, D.F.; Wood, R.J. Ultragentle manipulation of delicate structures using a soft robotic gripper. Sci. Robot. 2019, 4, eaax5425. [Google Scholar] [CrossRef]
  23. Shen, Z.; Zhong, H.; Xu, E.; Zhang, R.; Yip, K.C.; Chan, L.L.; Chan, L.L.; Pan, J.; Wang, W.; Wang, Z. An Underwater Robotic Manipulator with Soft Bladders and Compact Depth-Independent Actuation. Soft Robot. 2020, 7, 535–549. [Google Scholar] [CrossRef]
  24. Xavier, M.S.; Fleming, A.J.; Yong, Y.K. Design and Control of Pneumatic Systems for Soft Robotics: A Simulation Approach. IEEE Robot. Autom. Lett. 2021, 6, 5800–5807. [Google Scholar] [CrossRef]
  25. Joshi, S.; Paik, J. Pneumatic Supply System Parameter Optimization for Soft Actuators. Soft Robot. 2021, 8, 152–163. [Google Scholar] [CrossRef] [PubMed]
  26. Chen, C.; Tang, W.; Hu, Y.; Lin, Y.; Zou, J. Fiber-Reinforced Soft Bending Actuator Control Utilizing On/Off Valves. IEEE Robot. Autom. Lett. 2020, 5, 6732–6739. [Google Scholar] [CrossRef]
  27. Ko, J.; Kim, C.; Kim, D.; Song, Y.; Lee, S.; Yeom, B.; Huh, J.; Han, S.; Kang, D.; Koh, J.-S.; et al. High-performance electrified hydrogel actuators based on wrinkled nanomembrane electrodes for untethered insect-scale soft aquabots. Sci. Robot. 2022, 7, eabo6463. [Google Scholar] [CrossRef] [PubMed]
  28. De La Morena, J.; Redrejo, D.; Ramos, F.; Feliu, V.B.; Vázquez, A.S. Fractional Order Modeling and Control of Hydrogel-Based Soft Pneumatic Bending Actuators. In Proceedings of the 2024 IEEE/RSJ International Conference on Intelligent Robots and Systems (IROS), Abu Dhabi, United Arab Emirates, 14–18 October 2024; pp. 11362–11367. [Google Scholar]
  29. Shen, Q.; Trabia, S.; Stalbaum, T.; Palmre, V.; Kim, K.; Oh, I.-K. A multiple-shape memory polymer-metal composite actuator capable of programmable control, creating complex 3D motion of bending, twisting, and oscillation. Sci. Rep. 2016, 6, 24462. [Google Scholar] [CrossRef]
  30. Huang, J.; Xie, G.; Liu, Z. Finite Element Analysis of Hyperelastic Rubber Materials Based on Mooney-Rivlin and Yeoh Models. Rubber Plast. Technol. Equip. 2008, 34, 22–26. [Google Scholar]
  31. Chen, J.; Huang, M.; Wang, X. Several Typical Constitutive Models of Rubber Materials and Their Applicability. Mater. Rev. 2015, 29, 118–120+124. [Google Scholar]
  32. Xie, Y. Design and Analysis of Embedded Skeleton Anti-buckling Soft Pneumatic Gripper. Master’s Thesis, Zhejiang Sci-Tech University, Hangzhou, China, 2022. [Google Scholar]
  33. Kan, W.K. Design and Verification of EEPROM Based on IIC Bus. Master’s Thesis, Xidian University, Xi’an, China, 2018. [Google Scholar]
  34. Yang, G.; Sun, L.; Cui, N.; Lu, Y. Research on Space Vector Pulse Width Modulation Method. Proc. CSEE 2001, 5, 80–84. [Google Scholar]
  35. Natsheh, E.; Buragga, K.A. Comparison between Conventional and Fuzzy Logic PID Controllers for Controlling DC Motors. Int. J. Comput. Sci. Issues 2010, 7, 128–130. [Google Scholar]
  36. Xie, S.; Chen, S.; Lou, S. Application of Digital PID Algorithm in Brushless DC Motor Controllers. Mod. Electron. Technol. 2004, 2, 59–61. [Google Scholar]
  37. Wang, S.; Shi, Y.; Feng, Z. Research on Control Methods Based on Fuzzy PID Controller. Mech. Sci. Technol. 2011, 30, 166–172. [Google Scholar]
  38. Zhang, Y.; Kong, D.; Jin, G.; Shi, Y.; Cai, M.; Li, S.; Lv, B. Nonlinear Control of Magnetically Coupled Rodless Cylinder Position Servo System. Chin. J. Mech. Eng. 2023, 36, 145. [Google Scholar] [CrossRef]
  39. Liu, J.; Li, P.; Huang, Z.; Liu, H.; Huang, T. Earthworm-Inspired Multimodal Pneumatic Continuous Soft Robot Enhanced by Winding Transmission. Think. Ski. Creat. 2025, 6, 0204. [Google Scholar] [CrossRef]
  40. Liang, Y. Research on Digital Image Processing System Based on MATLAB. Master’s Thesis, Changchun University of Science and Technology, Jilin, China, 2009. [Google Scholar]
Figure 1. Bending characteristics of different chamber structures: (a) single-chamber bending; (b) dual-chamber bending; (c) three-chamber bending.
Figure 1. Bending characteristics of different chamber structures: (a) single-chamber bending; (b) dual-chamber bending; (c) three-chamber bending.
Actuators 14 00399 g001
Figure 2. Three-chamber model dimensions: (a) main view; (b) top view.
Figure 2. Three-chamber model dimensions: (a) main view; (b) top view.
Actuators 14 00399 g002
Figure 3. Mold components and materials used for fabricating the actuator: (a) bottom shell; (b) top shell; (c) outer casing; (d) inner core.
Figure 3. Mold components and materials used for fabricating the actuator: (a) bottom shell; (b) top shell; (c) outer casing; (d) inner core.
Actuators 14 00399 g003
Figure 4. Schematic diagram of the production process.
Figure 4. Schematic diagram of the production process.
Actuators 14 00399 g004
Figure 5. Schematic diagram of flexible multi-chamber mold forming process and finished product: (a) finished products with molds; (b) finished product after demolding; (c) standard flexible multi-chamber mechanism.
Figure 5. Schematic diagram of flexible multi-chamber mold forming process and finished product: (a) finished products with molds; (b) finished product after demolding; (c) standard flexible multi-chamber mechanism.
Actuators 14 00399 g005
Figure 6. Dumbbell-type tensile specimen.
Figure 6. Dumbbell-type tensile specimen.
Actuators 14 00399 g006
Figure 7. Experimental diagram of force displacement of silicone rubber material.
Figure 7. Experimental diagram of force displacement of silicone rubber material.
Actuators 14 00399 g007
Figure 8. Yeoh model fitting curve.
Figure 8. Yeoh model fitting curve.
Actuators 14 00399 g008
Figure 9. Loading force diagram of a single-chamber.
Figure 9. Loading force diagram of a single-chamber.
Actuators 14 00399 g009
Figure 10. Final model abaqus simulation loading diagram: (a) single-chamber loading; (b) dual-chamber loading; (c) three-chamber loading.
Figure 10. Final model abaqus simulation loading diagram: (a) single-chamber loading; (b) dual-chamber loading; (c) three-chamber loading.
Actuators 14 00399 g010
Figure 11. Abaqus single-chamber Inflation bending simulation results figure: (a) 0 Kpa phase change diagram; (b) 60 Kpa phase change diagram; (c) 80 Kpa phase change diagram.
Figure 11. Abaqus single-chamber Inflation bending simulation results figure: (a) 0 Kpa phase change diagram; (b) 60 Kpa phase change diagram; (c) 80 Kpa phase change diagram.
Actuators 14 00399 g011
Figure 12. Overall control loop platform.
Figure 12. Overall control loop platform.
Actuators 14 00399 g012
Figure 13. Control principle framework diagram.
Figure 13. Control principle framework diagram.
Actuators 14 00399 g013
Figure 14. Experimental platform for multi-chamber Inflation and deflation of flexible mechanisms.
Figure 14. Experimental platform for multi-chamber Inflation and deflation of flexible mechanisms.
Actuators 14 00399 g014
Figure 15. Overall circuit physical diagram.
Figure 15. Overall circuit physical diagram.
Actuators 14 00399 g015
Figure 16. Micro-pressure pump performance test platform: (a) physical diagram of the experiment; (b) schematic diagram.
Figure 16. Micro-pressure pump performance test platform: (a) physical diagram of the experiment; (b) schematic diagram.
Actuators 14 00399 g016
Figure 17. Input-Output characteristic surface plot of a micro-pressure pump.
Figure 17. Input-Output characteristic surface plot of a micro-pressure pump.
Actuators 14 00399 g017
Figure 18. Electromagnetic switching valve performance testing platform: (a) physical diagram of the experiment; (b) schematic diagram.
Figure 18. Electromagnetic switching valve performance testing platform: (a) physical diagram of the experiment; (b) schematic diagram.
Actuators 14 00399 g018
Figure 19. Pressure-Flow relationship curve of electromagnetic switching valve.
Figure 19. Pressure-Flow relationship curve of electromagnetic switching valve.
Actuators 14 00399 g019
Figure 20. (a) Electromagnetic Valve Characteristic Fitting Curve; (b) residuals of Electromagnetic Valve Characteristic Fitting Curve.
Figure 20. (a) Electromagnetic Valve Characteristic Fitting Curve; (b) residuals of Electromagnetic Valve Characteristic Fitting Curve.
Actuators 14 00399 g020
Figure 21. Accumulator adapter.
Figure 21. Accumulator adapter.
Actuators 14 00399 g021
Figure 22. Schematic diagram of discrete incremental PID control system.
Figure 22. Schematic diagram of discrete incremental PID control system.
Actuators 14 00399 g022
Figure 23. Block diagram of fuzzy PID control system.
Figure 23. Block diagram of fuzzy PID control system.
Actuators 14 00399 g023
Figure 24. Membership function diagram.
Figure 24. Membership function diagram.
Actuators 14 00399 g024
Figure 25. Fuzzy PID control logic operation.
Figure 25. Fuzzy PID control logic operation.
Actuators 14 00399 g025
Figure 26. Step signal tracking comparison and parameter variation diagram: (a) pressure information comparison diagram; (b) fuzzy PID parameter adjustment diagram.
Figure 26. Step signal tracking comparison and parameter variation diagram: (a) pressure information comparison diagram; (b) fuzzy PID parameter adjustment diagram.
Actuators 14 00399 g026
Figure 27. Square wave signal tracking comparison and parameter variation diagram (a) Pressure information comparison diagram (b) Fuzzy PID parameter adjustment diagram.
Figure 27. Square wave signal tracking comparison and parameter variation diagram (a) Pressure information comparison diagram (b) Fuzzy PID parameter adjustment diagram.
Actuators 14 00399 g027
Figure 28. Variation diagram of single-chamber loading: (a) loading at 60 kPa; (b) loading at 70 kPa; (c) loading at 80 kPa; (d) loading at 90 kPa.
Figure 28. Variation diagram of single-chamber loading: (a) loading at 60 kPa; (b) loading at 70 kPa; (c) loading at 80 kPa; (d) loading at 90 kPa.
Actuators 14 00399 g028
Figure 29. Variation diagram of dual-chamber loading: (a) loading at 60 kPa; (b) loading at 70 kPa; (c) loading at 80 kPa; (d) loading at 90 kPa.
Figure 29. Variation diagram of dual-chamber loading: (a) loading at 60 kPa; (b) loading at 70 kPa; (c) loading at 80 kPa; (d) loading at 90 kPa.
Actuators 14 00399 g029
Figure 30. Comparison of experimental (blue squares) and Yeoh-based simulation (red dots) tip positions under different chamber-pressure combinations.
Figure 30. Comparison of experimental (blue squares) and Yeoh-based simulation (red dots) tip positions under different chamber-pressure combinations.
Actuators 14 00399 g030
Figure 31. Final experimental deformation diagram and image acquisition: (a) unpressurized state; (b) pressurized state.
Figure 31. Final experimental deformation diagram and image acquisition: (a) unpressurized state; (b) pressurized state.
Actuators 14 00399 g031
Figure 32. Cycle-to-cycle tip-error distribution at four pressure set-points (n = 30 each).
Figure 32. Cycle-to-cycle tip-error distribution at four pressure set-points (n = 30 each).
Actuators 14 00399 g032
Table 1. Yeoh model parameters.
Table 1. Yeoh model parameters.
C10 (MPa)C20 (MPa)
0.8860226927.401624909 × 10−5
Table 2. Basic equipment parameters of the control system for multi-chamber soft actuators.
Table 2. Basic equipment parameters of the control system for multi-chamber soft actuators.
Equipment NameEquipment TypeMain Parameters
Pressure SensorXGZP6847DOutput Voltage: 0.5–4.5 V
Measurement Range: −100–700 kPa
Micro Air Pump370-BOperating Voltage: 0–12 V
Flow Rate: 1.5 L/min
Solenoid Valve0520DInput Voltage: 12 V
Operating Pressure: 0–800 kPa
AccumulatorXNQZZCapacity: 300 mL
Main Control BoardSTM32F103C8T6Operating Voltage:
2.0–3.6 V Main Frequency: 72 MHz
Table 3. Coefficients of the fourth-degree polynomial for the fitted curve.
Table 3. Coefficients of the fourth-degree polynomial for the fitted curve.
PWM (100%) a 4 a 3 a 2 a 1 a 0 R 2
100−2.1311.67−3.69−98.18187.240.9995
90−5.5828.38−25.42−93.21172.670.9993
80−8.3442.58−46.69−83.60160.610.9994
70−5.8714.8832.49−160.14166.710.9993
6025.98−145.81312.31−343.63184.060.9994
5046.51−221.37400.71−370.68167.020.9996
4082.51−364.15576.20−440.35153.560.9992
30340.91−960.441027.90−544.18129.980.9998
20−1025.601918.20−1187222.0614.811
Table 4. PID parameter k p regulation fuzzy rule table.
Table 4. PID parameter k p regulation fuzzy rule table.
Δ k p e c
e NBNSZOPSPB
PBPBPSPSZO
PBPSPSZONS
PSPSZONSNS
PSZONSNSNB
ZONSNSNBNB
Table 5. PID parameter k i regulation fuzzy rule table.
Table 5. PID parameter k i regulation fuzzy rule table.
Δ k i e c
e NBNSZOPSPB
NBNBNSNSZO
NBNSNSZOPS
NSNSZOPSPS
NSZOPSPSPB
ZOPSPSPBPB
Table 6. PID parameter k d regulation fuzzy rule table.
Table 6. PID parameter k d regulation fuzzy rule table.
Δ k d e c
e NBNSZOPSPB
PSNBNBNBPS
ZONSNSNSZO
ZONSNSNSZO
ZOZOZOZOZO
PBPSPSPSPB
Table 7. Closed-loop performance indices for the 20→80 kPa step (Δt = 1 ms).
Table 7. Closed-loop performance indices for the 20→80 kPa step (Δt = 1 ms).
Controller t r (s) t s (s) M p (%) e s s (kPa)ISE (kPa2 · s)IAE (kPa · s)TV (kPa)
Conventional PID0.321.006.50.424.2118.925.3
Fuzzy PID 0.280.781.80.251.089.613.9
Table 8. Pressure-Position correspondence table.
Table 8. Pressure-Position correspondence table.
Pressure in Chamber A (kPa)Pressure in Chamber B (kPa)Pressure in Chamber C (kPa) X exp (mm) Y exp
(mm)
X s i m (mm) Y s i m (mm)Error E (%)
600016.570.1217.10.123.2
0600−11.41−9.74−11.8−10.054.12
0060−9.7413.4−10.0513.83.86
06060−10.450.14−10.780.143.16
600605.438.215.68.472.98
606006.01−8.046.2−8.33.23
700027.430.2228.250.232.99
0700−15.04−22.86−15.5−23.553.21
0070−15.1122.77−15.5823.483.17
07070−16.600.22−17.10.233.01
700709.1813.989.4614.413.24
707009.21−13.669.49−14.083.32
800043.870.3345.150.342.92
0800−25.01−35.55−25.76−36.623.15
0080−25.3135.14−26.0736.23.17
08080−31.550.24−32.50.253.01
8008018.3125.8418.8626.623.26
8080018.02−25.7618.56−26.533.31
900058.140.3159.880.322.99
0900−33.1−46.89−34.1−48.33.78
0090−33.3247.12−34.3248.533.8
09090−47.840.56−49.280.583.01
9009027.3838.6628.2139.823.26
9090027.1−38.3127.91−39.463.32
Table 9. Repeatability statistics for the dual-chamber mode (n = 30 cycles).
Table 9. Repeatability statistics for the dual-chamber mode (n = 30 cycles).
Pressure (kPa) σ t i p (mm)Repeatability (±3 σ) (mm) 95   %   CI   for σ t i p (mm)
600.35±1.050.28–0.47
700.45±1.350.36–0.61
800.58±1.740.46–0.78
900.72±2.160.57–0.97
Disclaimer/Publisher’s Note: The statements, opinions and data contained in all publications are solely those of the individual author(s) and contributor(s) and not of MDPI and/or the editor(s). MDPI and/or the editor(s) disclaim responsibility for any injury to people or property resulting from any ideas, methods, instructions or products referred to in the content.

Share and Cite

MDPI and ACS Style

Zhang, P.; Cai, M.; Wang, G.; Zhang, H.; Yu, Q.; Lv, S.; Wang, L.; Zhang, Y.; Wei, F. Modeling, Fabrication and Control Optimization Based on Fuzzy PID of Multi-Chamber Flexible Mechanisms. Actuators 2025, 14, 399. https://doi.org/10.3390/act14080399

AMA Style

Zhang P, Cai M, Wang G, Zhang H, Yu Q, Lv S, Wang L, Zhang Y, Wei F. Modeling, Fabrication and Control Optimization Based on Fuzzy PID of Multi-Chamber Flexible Mechanisms. Actuators. 2025; 14(8):399. https://doi.org/10.3390/act14080399

Chicago/Turabian Style

Zhang, Pengyun, Maolin Cai, Geng Wang, Hui Zhang, Qihui Yu, Sikai Lv, Liang Wang, Yeming Zhang, and Feng Wei. 2025. "Modeling, Fabrication and Control Optimization Based on Fuzzy PID of Multi-Chamber Flexible Mechanisms" Actuators 14, no. 8: 399. https://doi.org/10.3390/act14080399

APA Style

Zhang, P., Cai, M., Wang, G., Zhang, H., Yu, Q., Lv, S., Wang, L., Zhang, Y., & Wei, F. (2025). Modeling, Fabrication and Control Optimization Based on Fuzzy PID of Multi-Chamber Flexible Mechanisms. Actuators, 14(8), 399. https://doi.org/10.3390/act14080399

Note that from the first issue of 2016, this journal uses article numbers instead of page numbers. See further details here.

Article Metrics

Back to TopTop