Observer-Based Adaptive Cruise Control with Input Saturation and Disturbance Attenuation: An LMI Approach
Abstract
1. Introduction
- LMI-based observer-based controller design conditions are proposed for ACC systems under input saturation.
- A level set condition is derived to ensure input constraint in the presence of external disturbances and state estimation errors.
- To incorporate input saturation into the LMI formulation, the saturated control input is represented as a convex combination of multiple linear state-feedback controllers outputs.
2. Problem Formulation
2.1. ACC System Configuration
2.2. Preliminaries
- 1.
- When , the equilibrium of the augmented system (10) is asymptotically stable.
- 2.
- If for all , then .
- 3.
- For and , the following disturbance attenuation performance is satisfied:where is a prescribed scalar; is a diagonal matrix that specifies the relative importance of the state components; and is a prescribed scalar denoting disturbance attenuation level.
3. Main Results
3.1. Observer-Based Control Under Input Saturation
3.2. LMI-Based State Feedback Controller Design
- 1.
- When , the equilibrium of the closed-loop system (15) is asymptotically stable.
- 2.
- If for all , then .
- 3.
- For and , the following disturbance attenuation performance is satisfied:
3.3. LMI-Based Observer-Based Controller Design
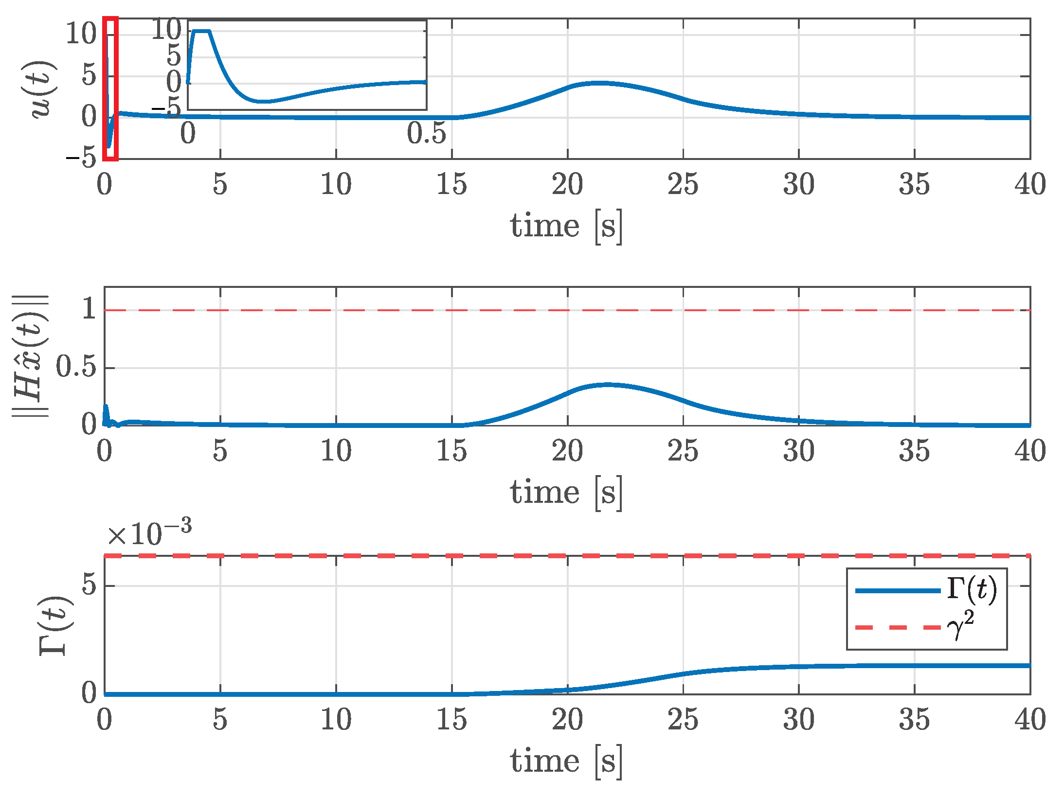
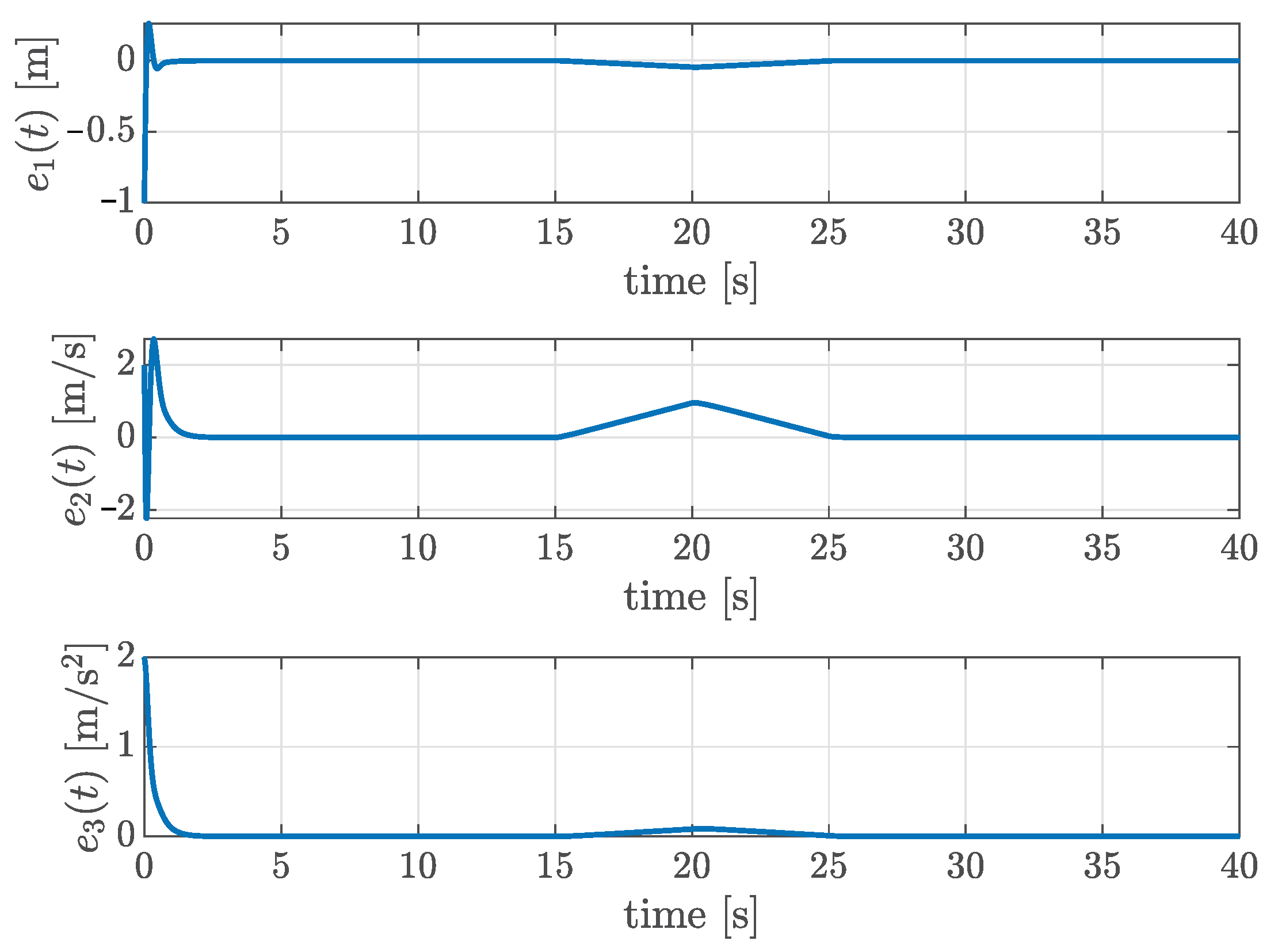
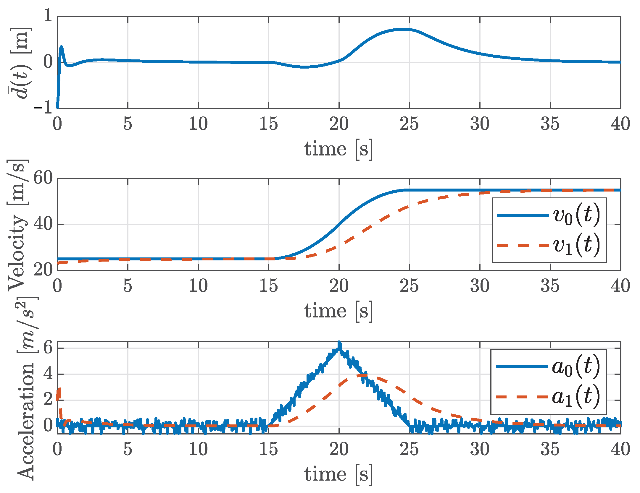
4. Simulation Examples
4.1. Example 1: Validation of Observer-Based ACC Controller
4.2. Example 2: Comparison of Full-State Feedback Controllers
5. Conclusions
Author Contributions
Funding
Data Availability Statement
Conflicts of Interest
Appendix A. Proof of Theorem 1
Appendix A.1. Asymptotic Stability Without Disturbance
Appendix A.2. Invariant Level Set
Appendix A.3. Disturbance Attenuation
Appendix B. Proof of Theorem 2
References
- Liu, C.Z.; Li, L.; Chen, X.; Yong, J.-W. An innovative adaptive cruise control method based on mixed H2/H∞ out-of-sequence measurement observer. IEEE Trans. Intell. Transp. Syst. 2022, 23, 5602–5614. [Google Scholar]
- Qiao, X.; Zheng, L.; Li, Y.; Zhang, Z.; Zeng, J.; Zheng, H. A novel stochastic model predictive control considering predictable disturbance with application to personalized adaptive cruise control. Int. J. Control Autom. Syst. 2024, 22, 446–459. [Google Scholar] [CrossRef]
- Thakur, A.; Ram, C.A.R.; Pachamuthu, R. LiDAR sensing-based exponential adaptive cruise control and steering assist for ADAS. IEEE Sens. J. 2025, 25, 3597–3607. [Google Scholar]
- Wang, Y.; Wang, Z.; Han, K.; Tiwari, P.; Work, D.B. Gaussian process-based personalized adaptive cruise control. IEEE Trans. Intell. Transp. Syst. 2022, 23, 21178–21189. [Google Scholar] [CrossRef]
- Hu, C.; Wang, Y.; Na, J.; Guo, G.; Zuo, Z.; Gao, H. Optimal adaptive cruise control in mixed traffic with communication latency and driver reaction. IEEE Trans. Intell. Transp. Syst. 2024, 25, 18636–18647. [Google Scholar] [CrossRef]
- Zhu, Y.; Zhao, D.; He, H. Synthesis of cooperative adaptive cruise control with feedforward strategies. IEEE Trans. Veh. Technol. 2020, 69, 3615–3627. [Google Scholar] [CrossRef]
- Liang, C.Y.; Peng, H. Optimal adaptive cruise control with guaranteed string stability. Veh. Syst. Dyn. 1999, 31, 313–330. [Google Scholar] [CrossRef]
- Nemeth, Z.; Kuczmann, M. Linear-matrix-inequality-based controller and observer design for induction machine. Electronics 2022, 11, 3894. [Google Scholar] [CrossRef]
- Dong, S.; Liu, M.; Wu, Z.G.; Shi, K. Observer-based sliding mode control for Markov jump systems with actuator failures and asynchronous modes. IEEE Trans. Circuits Syst. II Express Briefs 2021, 68, 1967–1971. [Google Scholar] [CrossRef]
- Li, B.; Wang, Z.; Ma, L.; Liu, H. Observer-based event-triggered control for nonlinear systems with mixed delays and disturbances: The input-to-state stability. IEEE Trans. Cybern. 2019, 49, 2806–2819. [Google Scholar] [PubMed]
- Wang, Y.; Zheng, L.; Zheng, H.; Zheng, W.X. Fuzzy observer-based repetitive tracking control for nonlinear systems. IEEE Trans. Fuzzy Syst. 2020, 28, 2401–2415. [Google Scholar] [CrossRef]
- Nagy, Z.; Lendek, Z.; Busoniu, L. TS fuzzy observer-based controller design for a class of discrete-time nonlinear systems. IEEE Trans. Fuzzy Syst. 2022, 30, 555–566. [Google Scholar] [CrossRef]
- Kim, H.S.; Lee, K. Sampled-data fuzzy observer design for nonlinear systems with a nonlinear output equation under measurement quantization. Inf. Sci. 2021, 575, 248–264. [Google Scholar] [CrossRef]
- Jang, Y.H.; Lee, K.; Kim, H.S. An intelligent digital redesign approach to the sampled-data fuzzy observer design. IEEE Trans. Fuzzy Syst. 2023, 31, 92–103. [Google Scholar] [CrossRef]
- Lee, S.; Hwang, S.; Kim, H.S. T–S fuzzy observer-based output feedback lateral control of UGVs using a disturbance observer. Drones 2024, 8, 685. [Google Scholar] [CrossRef]
- Jiang, H.; Duan, G.; Hou, M. State and disturbance observer-based controller design for fully actuated systems. IEEE Trans. Circuits Syst. II Express Briefs 2024, 71, 5261–5270. [Google Scholar] [CrossRef]
- Zhao, Y.; Li, X.; Song, S. Observer-based sliding mode control for stabilization of mismatched disturbance systems with or without time delays. IEEE Trans. Syst. Man Cybern. Syst. 2021, 51, 7337–7345. [Google Scholar] [CrossRef]
- Karami, H.; Nguyen, N.P.; Ghadiri, H.; Mobayen, S.; Bayat, F.; Skruch, P. LMI-based Luenberger observer design for uncertain nonlinear systems with external disturbances and time-delays. IEEE Access 2023, 11, 71823–71839. [Google Scholar] [CrossRef]
- Lens, H.; Adamy, J. Observer based controller design for linear systems with input constraints. IFAC Proc. Vol. 2008, 41, 9916–9921. [Google Scholar] [CrossRef]
- Zhao, Y.; Mu, D.; Wang, G.; Fan, Y. Trajectory tracking control for unmanned surface vehicle subject to unmeasurable disturbance and input saturation. IEEE Access 2020, 8, 191278–191285. [Google Scholar] [CrossRef]
- Cao, L.; Li, H.; Dong, G.; Lu, R. Event-triggered control for multiagent systems with sensor faults and input saturation. IEEE Trans. Syst. Man Cybern. Syst. 2021, 51, 3855–3866. [Google Scholar] [CrossRef]
- Zhang, C.; Lam, H.-K.; Qiu, J.; Qi, P.; Chen, Q. Fuzzy-model-based output feedback steering control in autonomous driving subject to actuator saturation. IEEE Trans. Fuzzy Syst. 2021, 29, 457–470. [Google Scholar] [CrossRef]
- Wu, H.; Li, C.; Wang, Y.; Deng, H. Robust stabilization of uncertain switched nonlinear systems with hybrid saturated inputs. IEEE Trans. Syst. Man Cybern. Syst. 2023, 53, 5084–5095. [Google Scholar] [CrossRef]
- Chen, M.; Ge, S.S.; Ren, B. Adaptive tracking control of uncertain MIMO nonlinear systems with input constraints. Automatica 2011, 47, 452–465. [Google Scholar] [CrossRef]
- Benzaouia, A.; Mesquine, F.; Benhayoun, M. Saturated Control of Linear Systems; Springer: Cham, Switzerland, 2018. [Google Scholar]
- Wang, H.; Zhang, T.; Zhang, X.; Li, Q. Observer-based path tracking controller design for autonomous ground vehicles with input saturation. IEEE/CAA J. Autom. Sin. 2023, 10, 749–761. [Google Scholar] [CrossRef]
- Tiko, S.; Mesquine, F. Constrained control for a class of TS fuzzy systems. IEEE Trans. Fuzzy Syst. 2023, 31, 348–353. [Google Scholar] [CrossRef]
- Zhou, B. Analysis and design of discrete-time linear systems with nested actuator saturations. Syst. Control Lett. 2013, 62, 871–879. [Google Scholar] [CrossRef]
- Chatavi, M.; Vu, M.T.; Mobayen, S.; Fekih, A. H∞ robust LMI-based nonlinear state feedback controller of uncertain nonlinear systems with external disturbances. Mathematics 2022, 10, 3518. [Google Scholar] [CrossRef]
- Zhao, D.; Wang, Z.; Ding, D.; Wei, G. H∞ PID control with fading measurements: The output-feedback case. IEEE Trans. Syst. Man Cybern. Syst. 2020, 50, 2170–2180. [Google Scholar] [CrossRef]
- Li, Y.; Liu, L.; Feng, G. Finite-time H∞ controller synthesis of T-S fuzzy systems. IEEE Trans. Syst. Man Cybern. Syst. 2020, 50, 1956–1963. [Google Scholar] [CrossRef]
- Zhu, Y.; Wu, J.; Su, H. V2V-based cooperative control of uncertain, disturbed and constrained nonlinear CAVs platoon. IEEE Trans. Intell. Transp. Syst. 2022, 23, 1796–1806. [Google Scholar] [CrossRef]
- Wu, C.; Xu, Z.; Liu, Y.; Fu, C.; Li, K.; Hu, M. Spacing policies for adaptive cruise control: A survey. IEEE Access 2020, 8, 50149–50162. [Google Scholar] [CrossRef]
- Hu, T.; Lin, Z. Control Systems with Actuator Saturation: Analysis and Design; Birkhäuser: Boston, MA, USA, 2001. [Google Scholar]
- Grant, M.; Boyd, S. CVX: Matlab Software for Disciplined Convex Programming, Version 2.2. Available online: http://cvxr.com/cvx (accessed on 4 December 2025).
- Löfberg, J. YALMIP: A toolbox for modeling and optimization in MATLAB. In Proceedings of the 2004 IEEE International Conference on Robotics and Automation, New Orleans, LA, USA, 26 April–1 May 2004; pp. 284–289. [Google Scholar]
- Chilali, M.; Gahinet, P. H∞ design with pole placement constraints: An LMI approach. IEEE Trans. Autom. Control 1996, 41, 358–367. [Google Scholar] [CrossRef]




| Controller | [m] | [m/s] |
|---|---|---|
| Theorem 2 | 0.1012 | 3.2491 |
| Conventional control | 0.6086 | 3.3561 |
| State feedback control | 0.2045 | 3.2086 |
Disclaimer/Publisher’s Note: The statements, opinions and data contained in all publications are solely those of the individual author(s) and contributor(s) and not of MDPI and/or the editor(s). MDPI and/or the editor(s) disclaim responsibility for any injury to people or property resulting from any ideas, methods, instructions or products referred to in the content. |
© 2025 by the authors. Licensee MDPI, Basel, Switzerland. This article is an open access article distributed under the terms and conditions of the Creative Commons Attribution (CC BY) license (https://creativecommons.org/licenses/by/4.0/).
Share and Cite
Jeon, H.; Lee, K.; Kim, H.S. Observer-Based Adaptive Cruise Control with Input Saturation and Disturbance Attenuation: An LMI Approach. Actuators 2025, 14, 610. https://doi.org/10.3390/act14120610
Jeon H, Lee K, Kim HS. Observer-Based Adaptive Cruise Control with Input Saturation and Disturbance Attenuation: An LMI Approach. Actuators. 2025; 14(12):610. https://doi.org/10.3390/act14120610
Chicago/Turabian StyleJeon, Hayoon, Kwangil Lee, and Han Sol Kim. 2025. "Observer-Based Adaptive Cruise Control with Input Saturation and Disturbance Attenuation: An LMI Approach" Actuators 14, no. 12: 610. https://doi.org/10.3390/act14120610
APA StyleJeon, H., Lee, K., & Kim, H. S. (2025). Observer-Based Adaptive Cruise Control with Input Saturation and Disturbance Attenuation: An LMI Approach. Actuators, 14(12), 610. https://doi.org/10.3390/act14120610

