Design of Static Output Feedback Active Suspension Controllers with Quarter-Car Model for Motion Sickness Mitigation
Abstract
1. Introduction
- Novel sensor output configurations for SOF control: Two distinct sets of sensor outputs are proposed for the quarter-car model, from which two static output feedback (SOF) controllers are designed. These sensor outputs are subsequently mapped to state variables in the half-car model, enabling the extension of quarter-car-based control strategies to more complex vehicle configurations. Using the state-space formulation and LQOF derived from the half-car model, two SOF controllers are further developed through LQOC and SBOM.
- Validation through simulation: The performance of the proposed controllers is evaluated using CarSim 8. The simulation results confirm that the SOF controllers designed within the quarter-car framework can be directly applied to the half-car system. Furthermore, the responses demonstrate that these controllers effectively enhance ride comfort while mitigating motion sickness, thereby validating the practical utility of the proposed control architecture.
2. Design of SOF Controllers with Linear Quadratic Optimal Control
2.1. Design of LQR with Quarter-Car Model
2.2. Design of Static Output Feedback Controller with Quarter-Car Model
2.3. Derivation of State-Space Equation for Half-Car Model
- It simplifies controller synthesis by reusing quarter-car formulations, thereby reducing computational complexity.
- It enables systematic extension of quarter-car-based strategies to the half-car domain while maintaining consistency across different model scales.
2.4. How to Use LQSOF for Quarter-Car Model as a Controller for Half-Car One
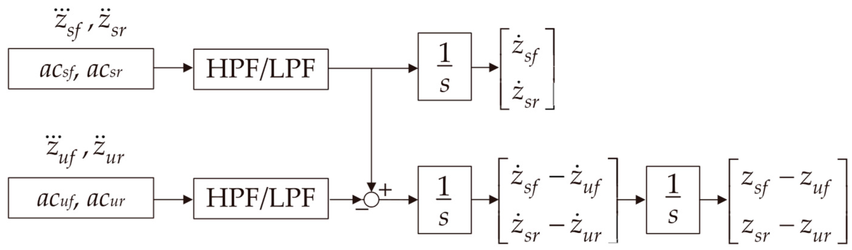
2.5. Sensor Signal Processing for SOF Controllers
3. Design of SOF Controllers with Simulation-Based Optimization Method
4. Simulation and Discussion
4.1. Simulation Condition
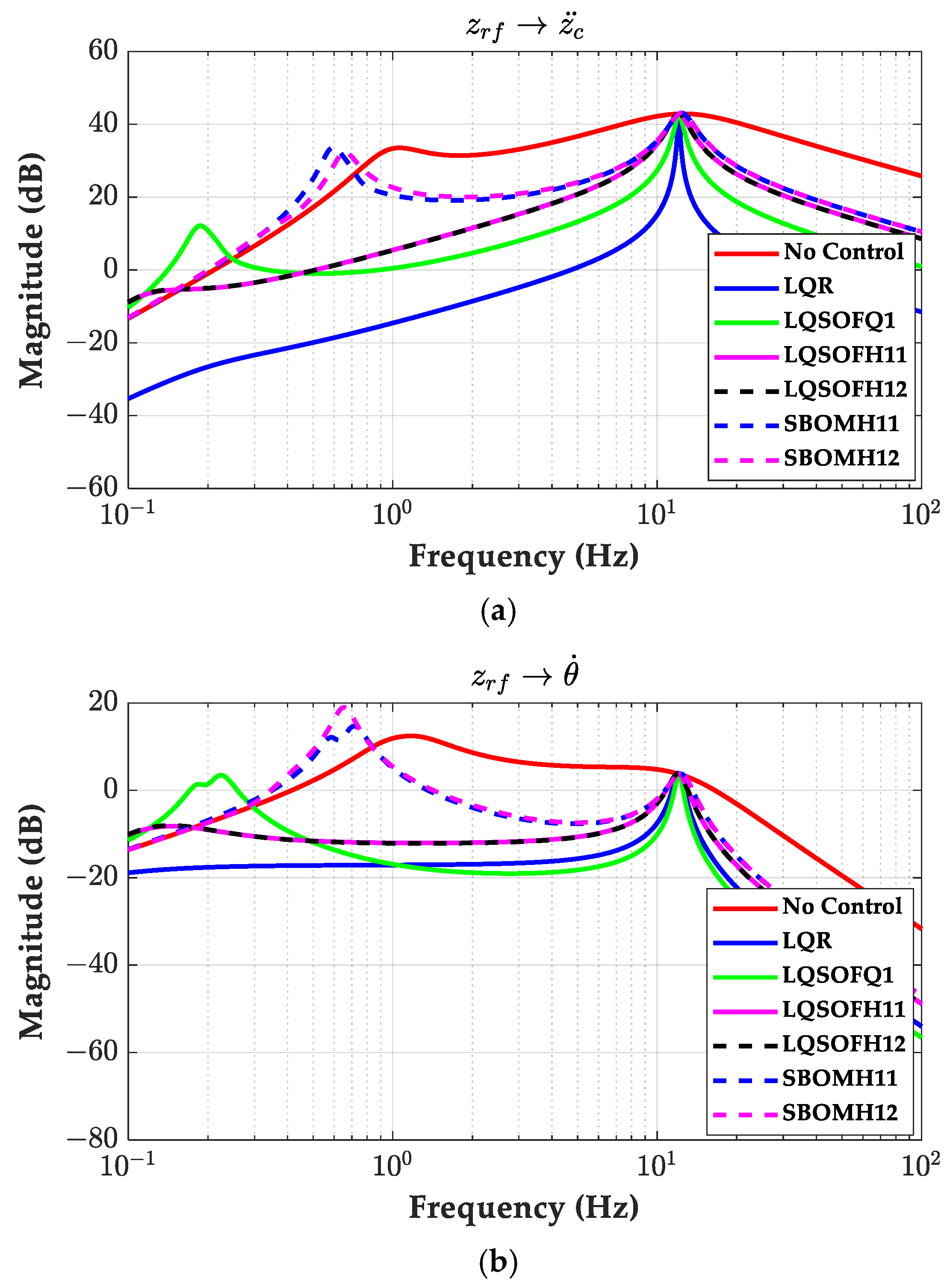
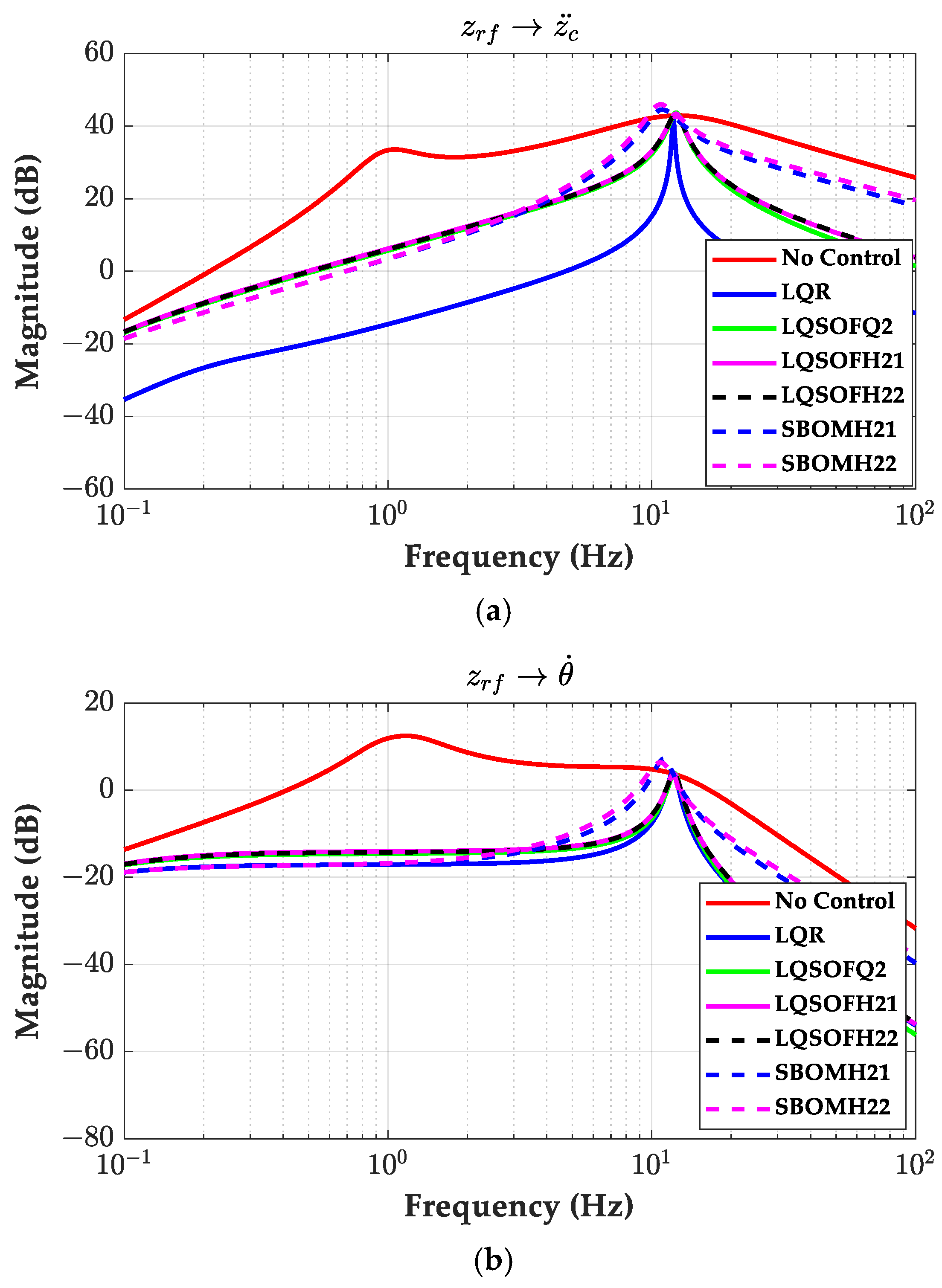
4.2. Frequency Response Analysis with the SOF Controllers
4.3. Simulation on CarSim
5. Conclusions
- The SOF controller designed via LQOC with OS2 demonstrated strong performance in terms of both ride comfort and motion sickness mitigation. In contrast, the SOF controllers designed with OS1 exhibited poor performance, particularly under sinusoidal road excitations, and are, therefore, unsuitable for real-world implementation.
- The SOF controllers designed with the quarter-car model could be directly extended to real vehicles without requiring higher-degree-of-freedom models. This result highlights the practicality of the quarter-car model as a computationally efficient yet sufficiently accurate framework for active suspension control design. Owing to its simplicity, the method is amenable to real-time implementation on a full-scale vehicle.
Funding
Institutional Review Board Statement
Informed Consent Statement
Data Availability Statement
Conflicts of Interest
Abbreviations
| LQOF | Linear quadratic objective function |
| LQR | Linear quadratic regulator |
| SBOM | Simulation-based optimization method |
| SOF | Static output feedback |
| SPM | Sprung mass |
| USPM | Unsprung mass |
| lf, lr | distances from center of gravity of a sprung mass to front/rear corners (m) |
| acsf, acsr | accelerometers installed on the front/rear corners of the sprung mass |
| acuf, acur | accelerometers installed on the wheel centers of front/rear tires. |
| az | vertical acceleration of a sprung mass at C.G. (m/s2) |
| bs | damping coefficient of a damper in the quarter-car model (N·s/m) |
| bsf, bsr | damping coefficient of a damper at front/rear suspensions in the half-car model (N·s/m) |
| fq | suspension force in the quarter-model (N) |
| ff, fr | suspension forces at front/rear suspensions in the half-model (N) |
| Iy | pitch moment of inertia (kg·m2) |
| Jq, Jh | LQ objective functions on the quarter-car and half-car model |
| JS | objective function of the SBOM |
| ks | stiffness of a spring in the quarter-car model (N/m) |
| ksf, ksr | stiffness of a spring at front/rear suspensions in the half-car model (N/m) |
| kt | stiffness of a tire in the quarter-car model (N/m) |
| ktf, ktr | stiffness of front/rear tires in the half-car model (N/m) |
| msq | sprung mass of the quarter-car model (kg) |
| ms | sprung mass of the half-car models (kg) |
| mu | unsprung mass in the quarter-car model (kg) |
| muf, mur | unsprung masses under front/rear suspensions in the half-car model (kg) |
| uq | forces generated by an actuator at suspension in the quarter-model (N) |
| uf, ur | forces generated by an actuator at suspensions in the half-car model (N) |
| vz | vertical velocity of a sprung mass (m/s) |
| zc | vertical displacement at center of gravity of a sprung mass (m) |
| zr | road elevation acting on a tire in the quarter-car model (m) |
| zrf, zrr | road elevation acting on front/rear tires in the half-car model (m) |
| zs | vertical displacement of a sprung mass in the quarter-car model (m) |
| zsf, zsr | vertical displacement of front/rear corners of a sprung mass (m) |
| zu | vertical displacement of wheel center in the quarter-car model (m) |
| zuf, zur | vertical displacement of front/rear wheel centers in the half-car model (m) |
| ξi, χi | maximum allowable value (MAV) of weight in LQOFs, Jq and Jh |
| ωy | pitch rate of a sprung mass (rad/s) |
| ρi, ζi | weights in LQOFs, Jq and Jh |
| θ | pitch angle of a sprung mass (rad) |
References
- Hrovat, D. Survey of advanced suspension developments and related optimal control applications. Automatica 1997, 33, 1781–1817. [Google Scholar] [CrossRef]
- Cao, D.; Song, X.; Ahmadian, M. Editors’ perspectives: Road vehicle suspension design, dynamics, and control. Veh. Syst. Dyn. 2011, 49, 3–28. [Google Scholar] [CrossRef]
- Poussot-Vassal, C.; Spelta, C.; Sename, O.; Savaresi, S.M.; Dugard, L. Survey and performance evaluation on some automotive semi-active suspension control methods: A comparative study on a single-corner model. Annu. Rev. Control 2012, 36, 148–160. [Google Scholar] [CrossRef]
- Tseng, H.E.; Hrovat, D. State of the art survey: Active and semi-active suspension control. Veh. Syst. Dyn. 2015, 53, 1034–1062. [Google Scholar] [CrossRef]
- Theunissen, J.; Tota, A.; Gruber, P.; Dhaens, M.; Sorniotti, A. Preview-based techniques for vehicle suspension control: A state-of-the-art review. Annu. Rev. Control 2021, 51, 206–235. [Google Scholar] [CrossRef]
- Tang, Q.; Xiang, H.; Cheng, J.; Xiao, X.; Yu, W.; Zhang, S.; Tang, B.; Ghu, G. Study on evaluation method of motion sickness in electric vehicles. In Proceedings of the 2024 8th CAA International Conference on Vehicular Control and Intelligence, CVCI 2024, Chongqing, China, 25–27 October 2024. [Google Scholar]
- Shi, Z.; He, L.; Wang, M.; Bian, Y.; Cui, S.; Chen, P. Ideal comfort ellipses and comfort dynamics model for mitigating motion sickness in battery electric vehicle. Veh. Syst. Dyn. 2025; online first. [Google Scholar]
- Deng, Z.; Yuan, K.; Xiao, X. Investigative examination of motion sickness indicators for electric vehicles. Proc. Inst. Mech. Eng. Part. D J. Automob. Eng. 2025; online first. [Google Scholar]
- Dam, A.; Jeon, M. A review of motion sickness in automated vehicles. In Proceedings of the AutomotiveUI ‘21: 13th International Conference on Automotive User Interfaces and Interactive Vehicular Applications, Leeds, UK, 9–14 September 2021; pp. 39–48. [Google Scholar]
- Asua, E.; Gutiérrez-Zaballa, J.; Mata-Carballeira, O.; Ruiz, J.A.; del Campo, I. Analysis of the motion sickness and the lack of comfort in car passengers. Appl. Sci. 2022, 12, 3717. [Google Scholar] [CrossRef]
- Kirst, L.; Ernst, B.; Kern, A.; Steinhauser, M. The Problem of motion sickness and its implications for automated driving. In User Experience Design in the Era of Automated Driving. Studies in Computational Intelligence; Riener, A., Jeon, M., Alvarez, I., Eds.; Springer: Cham, Switzerland, 2022; p. 980. [Google Scholar]
- Irmak, T.; Pool, D.M.; de Winkel, K.N.; Happee, R. Validating models of sensory conflict and perception for motion sickness prediction. Biol. Cybern. 2023, 117, 185–209. [Google Scholar] [CrossRef] [PubMed]
- Pereira, E.; Macedo, H.; Lisboa, I.C.; Sousa, E.; Machado, D.; Silva, E.; Coelho, V.; Arezes, P.; Costa, N. Motion sickness countermeasures for autonomous driving: Trends and future directions. Transp. Eng. 2024, 15, 100220. [Google Scholar] [CrossRef]
- Xie, W.; He, D.; Wu, G. Inducers of motion sickness in vehicles: A systematic review of experimental evidence and meta-analysis. Transp. Res. Part. F Traffic Psychol. Behav. 2023, 99, 167–188. [Google Scholar] [CrossRef]
- Diels, C.; Ye, Y.; Bos, J.; Maeda, S. Motion sickness in automated vehicles: Principal research questions and the need for common protocols. SAE Intl. J. CAV 2022, 5, 121–134. [Google Scholar] [CrossRef]
- Zhang, Y.; Zhao, H.; Hu, C.; Tian, Y.; Li, Y.; Jiao, X. Mitigation of motion sickness and optimization of motion comfort in autonomous vehicles: Systematic survey. IEEE Trans. Intell. Trans. Sys. 2024, 25, 21737–21756. [Google Scholar] [CrossRef]
- Li, D.; Yu, T.; Tang, B. A review of carsickness mitigation: Navigating challenges and exploiting opportunities in the era of intelligent vehicles. Proc. Inst. Mech. Eng. Part. D J. Automob. Eng. 2025, 239, 4574–4594. [Google Scholar] [CrossRef]
- Ekchian, J.; Graves, W.; Anderson, Z.; Giovanardi, M.; Godwin, O.; Kaplan, J.; Ventura, J.; Lackner, J.R.; DiZio, P. A High-Bandwidth Active Suspension for Motion Sickness Mitigation in Autonomous Vehicles; SAE Technical Paper 2016-01-1555; SAE International: Warrendale, PA, USA, 2016. [Google Scholar]
- DiZio, P.; Ekchian, J.; Kaplan, J.; Ventura, J.; Graves, W.; Giovanardi, M.; Anderson, Z.; Lackner, J.R. An active suspension system for mitigating motion sickness and enabling reading in a car. Aerosp. Med. Hum. Perform. 2018, 89, 822–829. [Google Scholar] [CrossRef]
- Wu, X.; Pan, Y.; Wang, G.; Hou, L. Pitch motion suppression of electric vehicle active suspensions based on multibody dynamics. Mech. Mach. Theory 2024, 198, 105667. [Google Scholar] [CrossRef]
- Jeong, Y.; Yim, S. Design of active suspension controller for ride comfort enhancement and motion sickness mitigation. Machines 2024, 12, 254. [Google Scholar] [CrossRef]
- Kim, J.; Yim, S. Design of static output feedback suspension controllers for ride comfort improvement and motion sickness reduction. Processes 2024, 12, 968. [Google Scholar] [CrossRef]
- Kim, J.; Yim, S. Design of a suspension controller with an adaptive feedforward algorithm for ride comfort enhancement and motion sickness mitigation. Actuators 2024, 13, 315. [Google Scholar] [CrossRef]
- Kim, J.; Yim, S. Design of a suspension controller with human body model for ride comfort improvement and motion sickness mitigation. Actuators 2024, 13, 520. [Google Scholar] [CrossRef]
- Zhou, F.; Zhao, D.; Zhong, Y.; Wang, P.; Jiang, J.; Wang, Z.; Fu, Z. Motion sickness suppression strategy based on dynamic coordination control of active suspension and ACC. Machines 2025, 13, 650. [Google Scholar] [CrossRef]
- Park, M.; Yim, S. Design of static output feedback and structured controllers for active suspension with quarter-car model. Energies 2021, 14, 8231. [Google Scholar] [CrossRef]
- Jeong, Y.; Sohn, Y.; Chang, S.; Yim, S. Design of static output feedback controllers for an active suspension system. IEEE Access 2022, 10, 26948–26964. [Google Scholar] [CrossRef]
- Lu, J.; DePoyster, M. Multiobjective optimal suspension control to achieve integrated ride and handling performance. IEEE Trans. Control Syst. Technol. 2002, 10, 807–821. [Google Scholar]
- Jung, Y.H.; Choi, J.W.; Seo, Y.B. Overlapping decentralized EA control design for an active suspension system of a full car model. In Proceedings of the 39th SICE Annual Conference, Iizuka, Japan, 28 July 2000; pp. 85–90. [Google Scholar]
- Bryson, A.E., Jr.; Ho, Y. Applied Optimal Control; Hemisphere: New York, NY, USA, 1975. [Google Scholar]
- Mechanical Simulation Corporation. CarSim Data Manual, version 8; Mechanical Simulation Corporation: Ann Arbor, MI, USA, 2009. [Google Scholar]












| Parameter | Value | Parameter | Value |
|---|---|---|---|
| ms | 1623 kg | mu | 40 kg |
| Iy | 2765 kg·m2 | kt, ktf, ktr | 230,000 N/m |
| lf | 1.40 m | lr | 1.65 m |
| ks, ksf, ksr | 34,000 N/m | bs, bsf, bsr | 3500 Ns·/m |
| msq | ms/4 |
| MAV | Value | MAV | Value | MAV | Value | MAV | Value |
|---|---|---|---|---|---|---|---|
| ξ1 | 0.5 m/s2 | ξ2 | 0.1 m | ξ3 | 0.1 m | ξ4 | 5000 N |
| χ1 | 0.1 m/s2 | χ2 | 30.0 deg/s2 | χ3 | 1.0 deg/s | χ4 | 5.0 deg |
| χ5 | 0.1 m | χ6 | 0.1 m | χ7 | 10,000 N |
| Controller | Gain Matrix | Controller | Gain Matrix |
|---|---|---|---|
| Kq1 LQSOFQ1 | |||
| Kh11 LQSOFH11 | Kh12 LQSOFH12 | ||
| KSOh11 SBOMH11 | KSOh12 SBOMH12 |
| Controller | Gain Matrix | Controller | Gain Matrix |
|---|---|---|---|
| Kq2 LQSOFQ2 | |||
| Kh21 LQSOFH21 | Kh22 LQSOFH22 | ||
| KSOh21 SBOMH21 | KSOh22 SBOMH22 |
| Controller | Max |az| (m/s2) | Max |ωy| (deg/s) | |
|---|---|---|---|
| No Control | 4.6 | 23.2 | |
| OSC1 | LQSOFQ1 | 3.4 (26%) | 9.6 (59%) |
| LQSOFH11 | 3.6 (22%) | 10.3 (56%) | |
| LQSOFH12 | 3.6 (22%) | 10.3 (56%) | |
| SBOMH11 | 3.6 (22%) | 10.3 (56%) | |
| SBOMH12 | 2.3 (50%) | 2.7 (88%) | |
| OSC2 | LQSOFQ2 | 3.3 (28%) | 7.8 (66%) |
| LQSOFH21 | 3.2 (30%) | 7.9 (66%) | |
| LQSOFH22 | 3.2 (30%) | 8.0 (66%) | |
| SBOMH21 | 3.0 (35%) | 6.7 (71%) | |
| SBOMH22 | 3.0 (35%) | 6.5 (72%) |
| Controller | Max |az| (m/s2) | Max |ωy| (deg/s) |
|---|---|---|
| No Control | 6.1 | 23.1 |
| LQSOFQ1 | 23.6 (−287%) | 91.8 (−297%) |
| LQSOFH11 | 21.9 (−259%) | 72.3 (−213%) |
| LQSOFH12 | 19.6 (−221%) | 89.0 (−285%) |
| SBOMH11 | 21.9 (−259%) | 72.3 (−213%) |
| SBOMH12 | 22.0 (−261%) | 88.0 (−281%) |
| LQSOFQ2 | 2.3 (62%) | 6.0 (74%) |
| LQSOFH21 | 2.2 (64%) | 6.4 (72%) |
| LQSOFH22 | 2.2 (64%) | 6.5 (72%) |
| SBOMH21 | 1.9 (69%) | 6.1 (74%) |
| SBOMH22 | 1.8 (70%) | 6.0 (74%) |
Disclaimer/Publisher’s Note: The statements, opinions and data contained in all publications are solely those of the individual author(s) and contributor(s) and not of MDPI and/or the editor(s). MDPI and/or the editor(s) disclaim responsibility for any injury to people or property resulting from any ideas, methods, instructions or products referred to in the content. |
© 2025 by the author. Licensee MDPI, Basel, Switzerland. This article is an open access article distributed under the terms and conditions of the Creative Commons Attribution (CC BY) license (https://creativecommons.org/licenses/by/4.0/).
Share and Cite
Yim, S. Design of Static Output Feedback Active Suspension Controllers with Quarter-Car Model for Motion Sickness Mitigation. Actuators 2025, 14, 539. https://doi.org/10.3390/act14110539
Yim S. Design of Static Output Feedback Active Suspension Controllers with Quarter-Car Model for Motion Sickness Mitigation. Actuators. 2025; 14(11):539. https://doi.org/10.3390/act14110539
Chicago/Turabian StyleYim, Seongjin. 2025. "Design of Static Output Feedback Active Suspension Controllers with Quarter-Car Model for Motion Sickness Mitigation" Actuators 14, no. 11: 539. https://doi.org/10.3390/act14110539
APA StyleYim, S. (2025). Design of Static Output Feedback Active Suspension Controllers with Quarter-Car Model for Motion Sickness Mitigation. Actuators, 14(11), 539. https://doi.org/10.3390/act14110539
