Numerical Modeling and Dynamic and Static Performance Analysis of Hydraulic Mounting
Abstract
1. Introduction
2. Constitutive Model of Rubber Elastomer
3. Construction of Finite Element Model of Hydraulic Mounting
3.1. Solid Finite Element Model Construction
3.2. Liquid Mesh Construction
4. Experiment on Mechanical Properties of Hydraulic Bushings
5. Hydraulic Suspension Finite Element Model Verification
6. Result Analysis
6.1. Effect of Temperature on Dynamic Characteristics
6.2. Influence of Main Spring Stiffness on Dynamic Characteristics
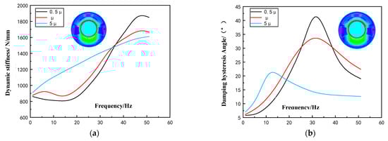
6.3. Effect of Liquid Viscosity on Dynamic Characteristics
6.4. Influence of Cross-Sectional Area of Inertial Channel on Dynamic Characteristics
6.5. Effect of Compensating Aperture on Dynamic Characteristics
7. Conclusions
Author Contributions
Funding
Data Availability Statement
Additional information
Conflicts of Interest
References
- Lu, M.; Ari-Gur, J. Study of dynamic properties of automotive hydrobushing. ASME Des. Eng. Div. Proc. 2000, 106, 135–140. [Google Scholar]
- Lu, M. Study of Automotive Hydromount Mechanism; Western Michigan University: Kalamazoo, MI, USA, 2001. [Google Scholar]
- Sauer, W.; Guy, Y. Hydro Bushings-Innovative NVH Solutions in Chassis Technology. SAE 2003 Noise & Vibration Conference and Exhibition; SAE International: Warrendale, PV, USA, 2003. [Google Scholar]
- Shangguan, W.B.; Xu, C. Measurement and calculation analysis of dynamic characteristics of hydraulic bushing of automobile suspension control arm. Vib. Shock. 2007, 9, 7–10. [Google Scholar]
- Li, L. Research on Measurement and Modeling Calculation Method of Dynamic Characteristics of Hydraulic Bushing; South China University of Technology: Guangzhou, China, 2013. [Google Scholar]
- Chai, T.; Dreyer, J.T.; Singh, R. Nonlinear dynamic properties of hydraulic suspension bushing with emphasis on the flow passage characteristics. Proc. Inst. Mech. Eng. Part D J. Automob. Eng. 2015, 229, 1327–1344. [Google Scholar] [CrossRef]
- Chai, T.; Dreyer, J.T.; Singh, R. Frequency domain properties of hydraulic bushing with long and short passages: System identification using theory and experiment. Mech. Syst. Signal Process. 2015, 56, 92–108. [Google Scholar] [CrossRef]
- Chai, T.; Dreyer, J.T.; Singh, R. Time domain responses of hydraulic bushing with two flow passages. J. Sound Vib. 2014, 333, 693–710. [Google Scholar] [CrossRef]
- Feng, M.F. Study on Constitutive Characteristics of Magnetorheological Fluid and Its Application Simulation for Hydraulic Bushing; Jilin University: Changchun, China, 2016. [Google Scholar]
- Chen, K.; Yu, X.P.; Zheng, H.M.; Wang, H.S.; Zhang, G.J.; Wu, R. Research on dynamic stiffness model of hydraulic bushing of vehicle suspension control arm. J. Comput. Mech. 2020, 37, 205–211. [Google Scholar]
- Muller, M.; Siebler, T.W. Methods for the Reduction of Noise and Vibration in Vehicles Using an Appropriate Engine Mount System; SAE: Sao Paulo, Brasil, 1994. [Google Scholar]
- Maas, C.A.; Capou, F.; Mahnken, B.; Borgerson, M. Application of NVH Countermeasures for Cabin Boom Isolation using Hydraulic Bushing and Silicone Tuned Mass Absorber; SAE: Warrendale, PV, USA, 2006. [Google Scholar]
- Yang, C.F. Study on Test and Calculation Method of Dynamic Characteristics of Hydraulic Resistance Rubber Bushing; South China University of Technology: Guangzhou, China, 2016. [Google Scholar]
- Gao, J.; Niu, Z.R.; Yang, L.; Zhang, K. Correlation analysis between hydraulic bushing of suspension control arm and vehicle ride comfort. Highw. Traffic Technol. 2015, 32, 150–158. [Google Scholar]
- Graeve, A. New Product Development for Anti-Vibration Systems; SAE Technical Paper; SAE: Warrendale, PV, USA, 2005. [Google Scholar]
- Gil-Negrete, N.; Rivas, A.; Vinolas, J. Predicting the dynamic behaviour of hydrobushings. Shock. Vib. 2005, 12, 91–107. [Google Scholar] [CrossRef]
- Lu, M. Design of Size Flexible and Leak Preventing Hydrobushing. In Proceedings of the World Congress on Engineering 2011 Volume III WCE 2011, London, UK, 6–8 July 2011. [Google Scholar]
- Pan, X.Y.; Xie, X.X.; Shangguan, W.B. Dynamic characteristic analysis of hydraulic rubber vibration isolator under variable amplitude excitation. Vib. Shock. 2012, 1, 144–149. [Google Scholar]
- Zhang, Y.G. Fluid-Structure Coupling Finite Element Analysis of Hydraulic Suspension in Cab of Light Vehicle; Jilin University: Changchun, China, 2011. [Google Scholar]
- Lin, C.L.; Peng, Y.; Chen, Z.J.; Lv, X.F. Modeling of suspension hydraulic bushing based on fluid-structure coupling and lumped parameter array method. Noise Vib. Control. 2019, 39, 224–229. [Google Scholar]
- Yang, C.-F.; Yin, Z.-H.; Shangguan, W.-B.; Duan, X.-C. A Study on the Dynamic Performance for Hydraulically Damped Rubber Bushings with Multiple Inertia Tracks and Orifices: Parameter Identification and Modeling. Shock. Vib. 2016, 2016, 3695950. [Google Scholar] [CrossRef]
























Disclaimer/Publisher’s Note: The statements, opinions and data contained in all publications are solely those of the individual author(s) and contributor(s) and not of MDPI and/or the editor(s). MDPI and/or the editor(s) disclaim responsibility for any injury to people or property resulting from any ideas, methods, instructions or products referred to in the content. |
© 2025 by the authors. Licensee MDPI, Basel, Switzerland. This article is an open access article distributed under the terms and conditions of the Creative Commons Attribution (CC BY) license (https://creativecommons.org/licenses/by/4.0/).
Share and Cite
Wu, T.; Xu, P.; Fu, J.; Su, J. Numerical Modeling and Dynamic and Static Performance Analysis of Hydraulic Mounting. Actuators 2025, 14, 28. https://doi.org/10.3390/act14010028
Wu T, Xu P, Fu J, Su J. Numerical Modeling and Dynamic and Static Performance Analysis of Hydraulic Mounting. Actuators. 2025; 14(1):28. https://doi.org/10.3390/act14010028
Chicago/Turabian StyleWu, Ti, Penghui Xu, Jianghua Fu, and Jintao Su. 2025. "Numerical Modeling and Dynamic and Static Performance Analysis of Hydraulic Mounting" Actuators 14, no. 1: 28. https://doi.org/10.3390/act14010028
APA StyleWu, T., Xu, P., Fu, J., & Su, J. (2025). Numerical Modeling and Dynamic and Static Performance Analysis of Hydraulic Mounting. Actuators, 14(1), 28. https://doi.org/10.3390/act14010028

