Abstract
The drag-free satellite plays an important role in the space-based gravitational wave observatory. The capture control of test mass after release is a crucial technology that can affect the success of the mission. The test mass must be released to the center of the electrostatic suspension cage accurately. This paper presents a nonlinear dynamic model of drag-free satellites in Lagrange formalism. A capture control scheme for test mass release phase is proposed based on the state-dependent Riccati equation (SDRE) strategy. To deal with the actuator saturation problem, a nonlinear saturation model is introduced to the dynamics of satellite, while the SDRE strategy is applied to the non-affine system. The effectiveness of the proposed methodology is verified by the numerical simulation for the drag-free satellite.
1. Introduction
The general theory of relativity is one of the greatest discoveries of the 20th century in physics. As direct proof of the general theory of relativity, gravitational waves (GWs) have aroused great desire for exploration. In February 2016, human beings directly detected GWs for the first time [1]. Limited by the length of the interference arm, the ground-based GW observatory can only observe GW signals with frequencies above 1 Hz. However, low-frequency GW signals (1 mHz up to 0.1 Hz) contain richer astronomical information. The SGO (Space-based Gravitational wave Observatory) with a large enough interference arm is able to detect low-frequency GWs. Many mission concepts have been proposed for the SGO, including the LISA (Laser Interferometer Space Antenna) mission [2,3], Taiji plan [4,5], TianQin mission [6], BBO (Big Bang Observer) [7], DECIGO (DECi hertz Interferometer Gravitational wave Observatory) [8,9], and LAGRANGE (Laser Gravitational wave Antenna at Geo-lunar Lagrange) [10], etc.
The nature of the SGO is a space-based Michelson interferometer based on the formation of drag-free satellites. The SGO detects GWs by measuring the relative distance between two free falling test masses (TMs) in two drag-free satellites [11]. To withstand the high vibration forces during launch, the TM is fixed by the cage and vent mechanism (CVM) [12]. In the release phase, the TM is released by the grabbing positioning and release mechanism (GPRM) [13]. Nevertheless, the GPRM inevitably introduces some errors caused by the asymmetry and adhesion [14], which will lead to the TM in unfavorable initial conditions. To perform science mode, the TM must be precisely captured in the center of the electrostatic suspension cage. However, these critical initial conditions together with the saturation of the electrostatic suspension force raise great challenges to capture the TM after it is released [15]. Consequently, there are many studies that focus on the release mechanism. In Ref. [16], a mathematical model for the retraction dynamics of the release tip in the GPRM was proposed to predict the dynamic conditions of the TM injection. Benedetti et al. [17] investigated the dynamics of the TM in free-falling conditions typical of space applications and built an analytical model to predict the imparted momentum in the case of conservative interaction forces. To give an estimation of the TM release velocity in the scope of the LISA-Pathfinder space mission, Bortoluzzi et al. [18] developed a model based on laboratory measurements for both the release tip retraction and the adhesion phenomenon. Moreover, they not only made a significant contribution to the establishment of the analytical model for the release mechanism but also developed an experimental technique aimed at measuring the momentum transfer that occurs when two free-falling bodies interacting with surface forces are impulsively separated [19]. These studies mentioned above only focus on the release mechanism itself or the interaction between the release mechanism and the TM and do not involve the capture controller design. The release mechanism is just a subsystem of the whole drag-free satellite, and the drag-free satellite is a high-dimensional system with 20 DoFs (Degree of Freedom). To consider the Capture Control Problem (CCP) of the TM after release, the dynamics of the whole drag-free satellite must be built and analyzed.
However, it is challenging to deal with the control problem of such a high-dimensional dynamic system. There are relatively few papers related to the CCP of the TM after release. At present, the existing controllers designed for the CCP are almost based on either the Sliding Mode Control (SMC) method or optimization techniques. For example, Montemurro et al. [20] developed a capture controller based on SMC for the LISA pathfinder mission, which is a science and technology demonstrator designed to pave the way for the LISA mission. For the CCP for the LISA mission, Capicchiano [21] designed a second order controller named Super Twisting SMC to avoid the possible collisions between the walls of the electrostatic suspension cage and the TM. In order to further improve the robustness of SMC, Lian et al. [22] designed a Radial Basis Function (RBF) neural network to compensate for the disturbance and combined this RBF neural network with the SMC method to propose an adaptive SMC for the CCP of the TM. On the other hand, under the framework of optimal control, Vidano et al. [23] proposed a capture controller for the LISA mission based on a Model Predictive Control (MPC) strategy. Due to the tuning difficulty and higher computational load of the MPC algorithm caused by the high dimensionality of the drag-free satellite, it is very difficult, even impossible, to design an MPC controller for the whole plant. Hence, in Ref. [23], the cost function defined for the MPC optimization problem only includes 12 DoFs related to the TM in the drag-free satellite, and then the sub-optimal control inputs are provided by solving this optimization problem. The time-optimal control for capturing the TM has also been considered. For instance, Gioia [24] proposed a time-optimal control law to reduce the TM capturing time. Furthermore, Lin et al. [25] not only proposed a minimum-time capture control method for the TM release phase of drag-free satellites but also gave an analytical solution for this optimal control problem based on Pontryagin’s minimum principle and the simplified form of the high-dimensional nonlinear relative dynamics, which is the well-known Clohessy–Wiltshire equation [26,27]. These studies notes that, because of the complexity of high-dimensional systems or the limitations of the efficiency of optimization algorithms, these capture controllers must lose the accuracy of describing the nonlinearity of the system and adopt some simplified models. However, the whole drag-free satellite is a highly coupled nonlinear system, while the capture control requires high accuracy. Under such accuracy requirements, it is not appropriate to ignore some high-order nonlinear terms.
The other challenge in the CCP is the requirement of high control accuracy under the constraints of actuator saturation. Only little efforts have been made to address this issue. For example, in the Ref. [23], Vidano et al. considered the actuator saturation within the MPC framework, and the actuator saturation was treated as the constraints for the optimization problem. However, this method will cause the control inputs to jitter between saturation values.
The SDRE method is a systematic and effective way to design nonlinear feedback control for nonlinear systems and allows for the nonlinearities in the system states [28]. Hence, the SDRE strategy has become very popular within the control community over the last decade. Notably, to the best knowledge of the authors, the state-dependent Riccati equation (SDRE) method is never utilized for the CCP. To facilitate the design of an effective controller for drag-free satellites, this paper presents a 20 DoF dynamics model of drag-free satellites with the existence of external disturbances. Then, an SDRE controller considering the actuator saturation is proposed for the release phase of the drag-free satellite. Furthermore, when the actuator saturation is considered the constraints of the optimal problem, there will be a jitter phenomenon in the control input. In order to eliminate this jitter, a nonlinear saturation function is directly introduced to the dynamics of the drag-free satellite to model the actuator saturation. The main contributions of this study are as follows:
- Compared with Refs. [20,21,22,23,24,25], the capture controller is designed based on the whole 20 DoF nonlinear dynamics model of the drag-free satellite using the SDRE strategy. And the feasible linear-like structure is proposed for fulfilling the SDRE controller design.
- In contrast to the actuator saturation considered in Ref. [23], a nonlinear saturation model is introduced. Then, the actuator saturation is considered the non-affine term to the dynamics of drag-free satellites. The SDRE strategy is utilized to deal with this non-affine system.
The rest of this paper is organized as follows: In Section 2, the SDRE method is reviewed, and the dynamics model of drag-free satellites is presented. In Section 3, the control objective is presented, and the SDRE controller for the TM release phase is proposed. Section 4 provides the numerical simulation results to demonstrate the effectiveness of the proposed controller. The conclusions are summarized and analyzed in Section 5.
2. Problem Formulation
In this section, the mathematic notations used in this paper are introduced. Then, the traditional SDRE regulator is presented to show the SDRE integral servomechanism. The Euler angles are selected as the representation of attitude because of their advantages in small rotation cases compared to other method [29,30]. Finally, the dynamics model of the drag-free satellite is presented.
2.1. Mathematical Notations
2.1.1. Vectors and Coordinates
denotes a three-dimensional vector. The Cartesian coordinate system is introduced by an orthonormal basis denoted as . Then, the coordinates of with respect to are given by , i.e., . For a vector , the skew-symmetric matrix is defined as the following:
where the coordinate is denoted as .
2.1.2. Rotation Matrix
Assume that there are two different orthonormal bases and in , during the process of rotating from to . The rotation matrix is defined as follows:
Then, the different coordinates of the same vector have the following relationship:
where represents the coordinates of with respect to , and represents the coordinates of with respect to .
And the time derivative of the rotation matrix is given by the following formula:
where represents the coordinates of the angular velocity of with respect to in the basis .
2.1.3. Matrix Norms
For any matrix , the ∞-norm defined on is given by . As a matrix norm, the following property holds for any matrices :
Significantly, the ∞-norm defined on , , and is mutually consistent, i.e., the following inequality holds for any and :
2.2. SDRE Regulator
In this section, the traditional SDRE regulator for the optimal control problem of nonlinear system is reviewed [28].
Consider a nonlinear system, which is full-state observable, autonomous, and affine in the input, represented in the following form:
where is the state vector, represents the input vector, and the time variable with as the initial time. Note that and .
The infinite-time horizon optimal control problem (ITHOCP) is to seek the optimal input such that the performance criterion
is minimized, where and denote the positive semi-definite matrix and positive definite matrix, respectively.
The suboptimal solution to this ITHOCP based on the SDRE method can be obtained through the following steps [28]:
- 1.
- Use direct factorization to bring a nonlinear system into the following linear-like structure that contains SDC (State-Dependent Coefficient) matrices:
- 2.
- Solve the state-dependent Riccati equation
- 3.
- Use to obtain the nonlinear suboptimal feedback control law in the following equation.
2.3. SDRE Integral Servomechanism
To perform trajectory tracking control without steady-state error, the SDRE controller in the last subsection can be implemented as an integral servomechanism [31]. The process of tracking control is shown as follows:
- 1.
- The state vector is decomposed as the following:
- 2.
- The following new state vector is augmented with :
- 3.
- The augmented system equation is given by the following:
- 4.
- The positive semi-definite solution is obtained by solving the following state-dependent Riccati equation:
- 5.
- The SDRE integral servo controller is given by:
To arrive at the conclusion that the SDRE has a solution, the pointwise detectability condition must be satisfied. This step is accomplished by penalizing the integral states with the corresponding nonzero diagonal elements of [32].
2.4. Dynamic Equation of Drag-Free Satellites
The drag-free satellite for the SGO mission mainly consists of five rigid bodies, i.e., Spacecraft (SC), Optical Assembly-1 (OA1), Optical Assembly-2 (OA2), TM1, and TM2, as shown in Figure 1. The OA1 and OA2 can rotate around the pivot axis that is mounted on the SC. Each TM is suspended inside the corresponding Optical Assembly (OA). The whole dynamics model of the drag-free satellite established in this paper is built from two systems. One system is called the operation platform (OP), which consists of the SC and two OAs. The other system is called the TM system, which consists of two TMs.
Figure 1.
Drag-free satellite for SGO.
Essentially, the OP is a system of multiple rigid bodies. , , and represent the SC, OA1, and OA2, respectively. To describe the motion of , an inertial reference frame (IRF) and the body reference frame (BRF-i) are introduced, as shown in Figure 2. Without a loss of generality, assume that BRF-i is aligned along the principal axes of inertia of the corresponding .
Figure 2.
Reference system of OP.
The total kinetic energy of the OP system can be expressed as follows:
where the superscript “T” is the transpose operator, the mass of is denoted as , are the coordinates of the position of in the IRF, and represent the coordinates of the angular velocity of in BRF-i. Based on the assumption mentioned above, the inertia matrix of is given by a diagonal matrix .
By applying Lagrange’s equation of the second kind, the dynamic equation of the OP is given in a matrix form as
where is the generalized coordinate vector, represents the generalized inertia matrix, is the Coriolis matrix, and represents the generalized stiffness matrix. and are the position vector and the Euler 123 angle of the SC with respect to the IRF, respectively, is the rotation angle of the OA1 with respect to the SC, and is the rotation angle of the OA2 with respect to the SC. is the generalized force vector.
As shown in Figure 3, two OA reference frames (ORF-j) and two TM body reference frames (MRF-j) are built for deriving the dynamic equations of TMs. Assume that MRF-i is aligned along the principal axes of inertia of the corresponding TM.
Figure 3.
Reference system of TM.
The dynamic equation of j-th TM (j = 1, 2) can be obtained using the Newton–Euler equation [33] as follows:
where represents the position coordinates of the mass center of the j-th TM in the IRF, is the standard gravitational parameter of the Sun, represents the mass of the j-th TM, is the rotation matrix from BRF-1 to the IRF, represents the rotation matrix from ORF-j to BRF-1, represents the coordinates of the j-th electrostatic suspension force in ORF-j, and represents the coordinates of the coupling force in ORF-j. is the inertia matrix of the j-th TM in MRF-j, represents the coordinates of the inertial angular velocity of the j-th TM in MRF-j, is the rotation matrix from ORF-j to MRF-j, represents the coordinates of the electrostatic suspension torque in ORF-j, and represents the coordinates of the coupling torque in ORF-j.
The dynamics model of two TMs can be rewritten in a matrix form as
where is the generalized coordinate vector, represents the generalized inertia matrix, is the Coriolis matrix, denotes the generalized stiffness matrix, and is the generalized force.
The dynamic equation of the whole drag-free satellite reads
where represents the generalized coordinates of whole drag-free satellite, denotes the generalized inertia matrix, is the Coriolis matrix of this dynamic system, is the SDC matrix derived from the gravity, and the generalized force is denoted as .
3. Control Design
In this section, the control objective of the TM release phase is presented first. Then, to address the saturation of the electrostatic actuators and the micro propulsion system, an actuator saturation model is introduced. Finally, the capture controller based on the SDRE method is proposed.
3.1. Control Objective
Due to the error introduced by the GPRM in the release phase, the TM will deviate from the center of the electrostatic suspension cage. To perform science mode, the TM must be in the center and aligned with the ORF under required precision. During the capture process, the motion of the TM should be within the range of the electrostatic suspension cage [23]. Meanwhile, affected by the solar radiation pressure (SRP) and the reaction of the electrostatic actuators, the position and attitude of the SC and the rotation angles of OA will drift away. Hence, the SC should be controlled to keep the original position and attitude, and the rotation of OA should be stabilized in the nominal position. Furthermore, the actuator saturation of the electrostatic suspension is also considered as
where and are the saturation of electrostatic force and torque, respectively.
3.2. Controller Design
In order to implement the capture control using the SDRE method, the dynamic model of the TM should be modified to the state-space representation. The state vector is defined as , and the input vector is given by ., where and are the electrostatic forces generated by the electrostatic actuators, and the and are the electrostatic torque generated by the electrostatic actuators. Then, the dynamics model of two TMs can be converted to the state-space representation as follows:
where represents the system matrix, is the input matrix, the represents the 12-dimensional identity matrix, and denotes the zero matrix. The matrix describes the relationship between the generalized force and the control commands , i.e., .
The commonly used saturation model is a piecewise function as shown in Refs. [34,35]. However, this function is not smooth mathematically. Hence, the model of actuator saturation in this paper is considered by using the hyperbolic tangent function [36], denoted as , i.e., , where is the input of the system subject to saturation type nonlinearity, is the saturation value of , and is the virtual control input to be designed. In this way, the actuator output is written in the following matrix form:
where is the saturation matrix with its k-th components, is the saturation value of the k-th component of , represents the virtual control input to be designed, and the saturation function is defined as .
By substituting Equation (27) into Equation (26), one can obtain the following system:
Essentially, this system in the above equation is a non-affine system. The key step of the SDRE strategy for a non-affine system is the SDC parameterization of the non-affine term [37]. To implement the SDRE controller design, this system should be parameterized into an SDC form. Since as , then the SDC form of Equation (28) can be obtained
where
In order to apply the SDRE integral servomechanism to system (29), the state vector is decomposed as , where is desired to track a reference command , and is the vector consisting of the remaining elements. Then, the augmented state can be written as
where the state is the integral state of , i.e., . The augmented system is given by
where
The SDRE integral servomechanism controller is obtained by
where is the positive semi-definite solution of the following state-dependent Riccati equation:
As for designing the controller of the OP system with an SDRE strategy, the state vector is defined as , and the input vector is given by , where represents the coordinates of the micro propulsion force in SRF, represents the coordinates of the micro propulsion torque in SRF, and is the command torque of j-th OA. Then, the state-space representation of the OP is written in the following form:
where represents the system matrix, is the input matrix, and denotes the generalized forces.
Note that , where and are the SDC matrix, depending on the state of OP. It should be noted that will disturb the movement of the OP system. Fortunately, can be regarded as the matched disturbance to system (37) because the matrix is invertible. In this way, system (37) can be written as
where is considered as a new control input vector to system (38). The specific expression of and will be presented in the Appendix A.
The actuator saturation of the OP system is also considered by introducing the saturation model , where is the virtual control input to be designed, is the saturation matrix, and the k-th components represent the saturation value of k-th components of . Note that, because of the saturation of and , the virtual saturation of is introduced as
where is the virtual control input to be designed for system (38), the virtual saturation matrix is denoted as , and the k-th component are the virtual saturation value of k-th component of . Therefore, the following relationship holds by considering the actual saturation of and together with the virtual saturation of
In fact, the control law is already given by Equation (35); hence, once the is determined, the virtual control input can be obtained by
where , , specifically, for any , , and the represents the inverse hyperbolic tangent function. Hence, the term on the right side of (40) within the bracket of must satisfy the following condition to make to be solved:
It should be noted that the virtual control input would be determined by the controller designed in the last part of this subsection. Therefore, the virtual saturation matrix is the only parameter to be designed to make (42) hold. From a physical perspective, the virtual saturation matrix should be bounded, because of the saturation of the actual control input. The sufficient boundary is established in the following theorem:
Theorem 1.
if the inequality is satisfied, then (42) holds.
Proof of Theorem 1.
The specific nonzero element of the matrix is denoted as , where the is either a constant less than 1 or a linear combination of , , , and , and the coefficients of every linear combination are all less than 1. Hence, it can be conservatively concluded that by counting the maximum number of times , , , and the constant appear in a row. Then, the following inequality holds:
With this inequality (43), together with the inequality condition mentioned in Theorem 1, the following relationship can be obtained: . Obviously, it is equivalent to . According to the property of the ∞-norm shown in (6), . Then, the inequality is obtained, and the following inequality holds:
Finally, using the inequality (44) and the properties shown in the inequality (5, 6), the norm is bounded as shown in the following procedures:
Hence, , i.e., condition (42) holds. □
The virtual saturation matrix can be selected based on Theorem 1. Now, the following statement is going to design the virtual control input .
By substituting Equation (39) into Equation (38) and considering the SDC form of , i.e., , then the state-space representation of the OP system that considers the actuator saturation is obtained in the following SDC form:
where
In order to control the OP system using an SDRE integral servomechanism, the state vector is decomposed as , where the state represents the state expected to track a designed trajectory , and denotes the state vector composed of the remaining elements. is the elementary row transformation matrix from to . Then, can be augmented to , where is the integral state of , i.e., . Finally, the augmented system can be obtained as follows:
where
The SDRE control law is in the form of
where is the positive semi-definite solution of the following state-dependent Riccati equation:
4. Simulation Results
In this section, the effectiveness of the designed controller is verified in a simulation environment including the following setup. The time step of the numerical solution process is set to 0.1 s. At each step, the SDRE becomes an algebraic Riccati equation. An iterative procedure based on Newton’s method is used to solve such equations.
- Solar radiation pressure: the solar pressure acts on the spacecraft surface and pushes the spacecraft out of its nominal orbit, and it is the main disturbance source that can be described as a mathematical function [38].
- TM stiffness: the presence of this stiffness is determined by the interactions of the spacecraft’s gravitational and electromagnetic fields with test mass. According to Ref. [39], this stiffness can be modeled by a linear combination of the position and attitude of the test mass relative to the cage frame.
- Electrostatic actuator saturation: the TM is controlled by electrostatic actuators, which can provide control forces and torques with saturations. According to Ref. [23], the saturation value of the electrostatic actuator is given by , .
- The critical initial conditions of TMs: The TM is released by the GPRM. During this time interval, the test mass will move away from the cage center. According to Ref. [40], the initial conditions of the TM are selected as those shown in Table 1.
Table 1. The initial state of TM.
The parameters of the drag-free satellite shown in the Table 2 are selected as those in Ref. [41].
Table 2.
Parameters of drag-free spacecraft.
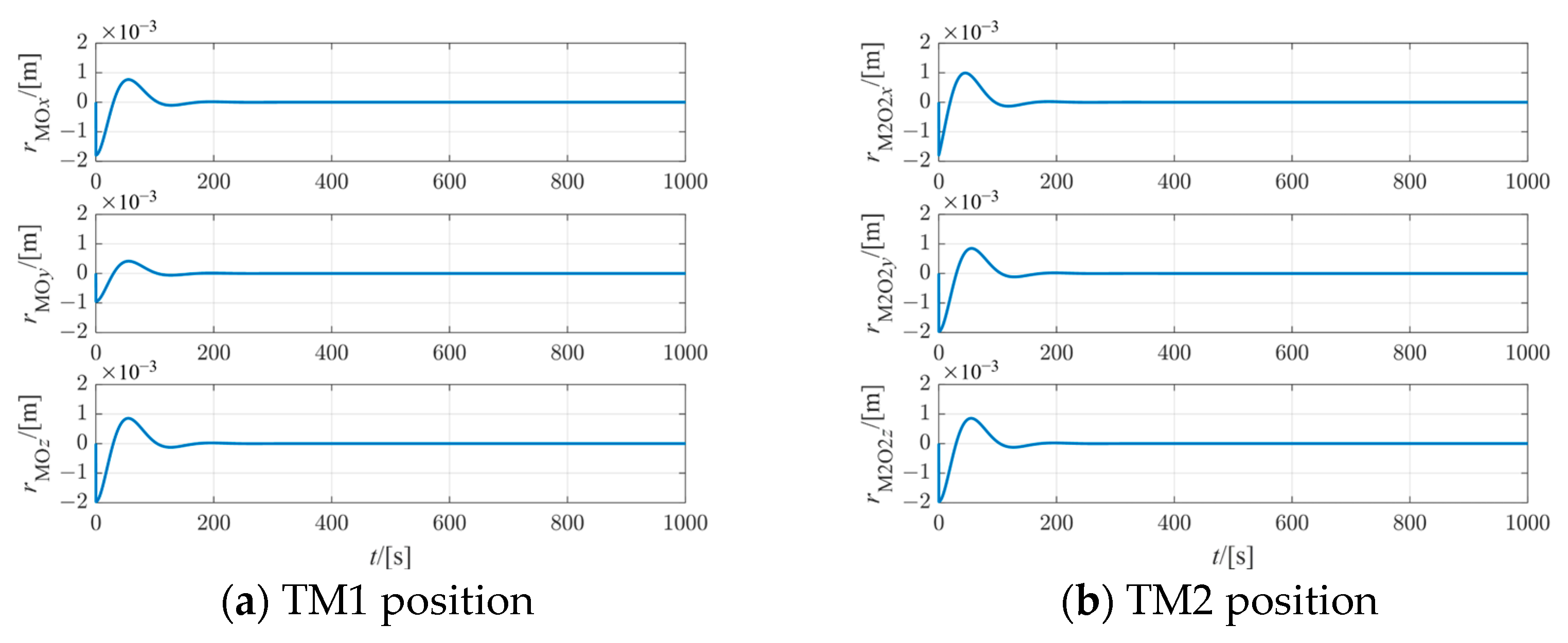
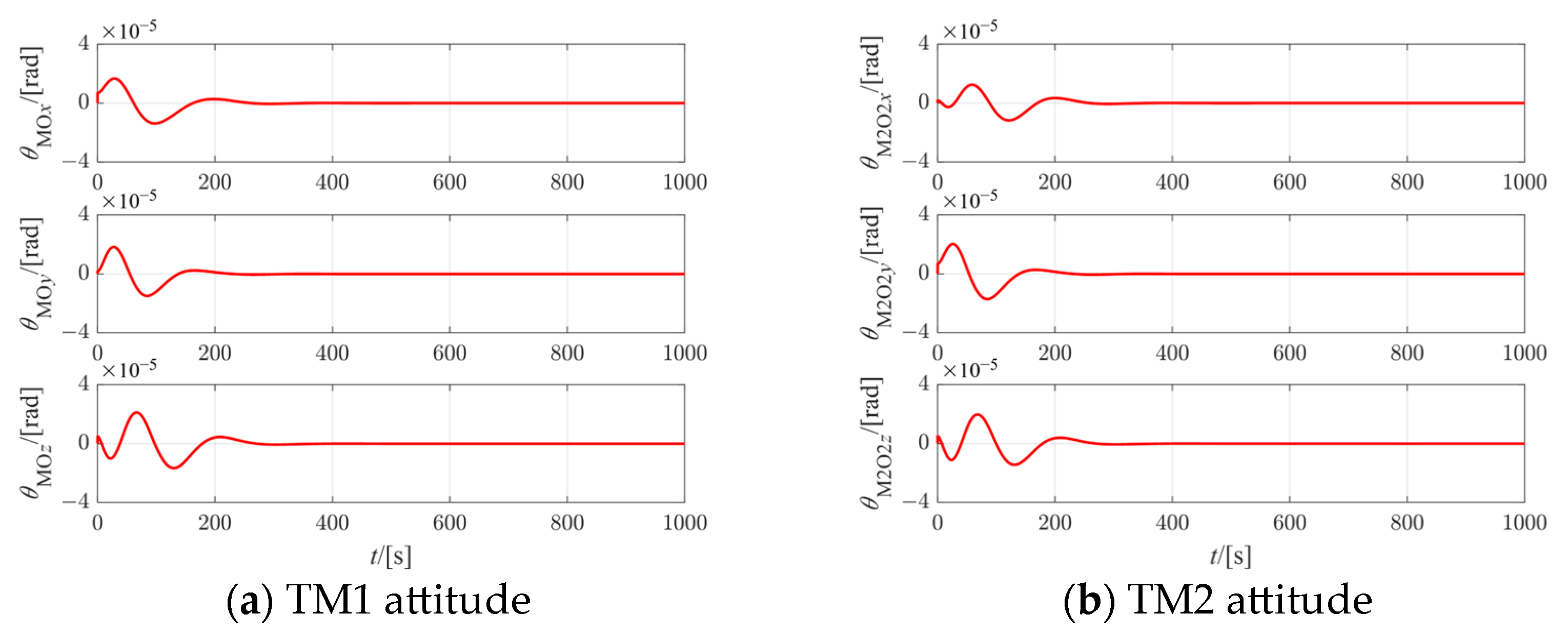
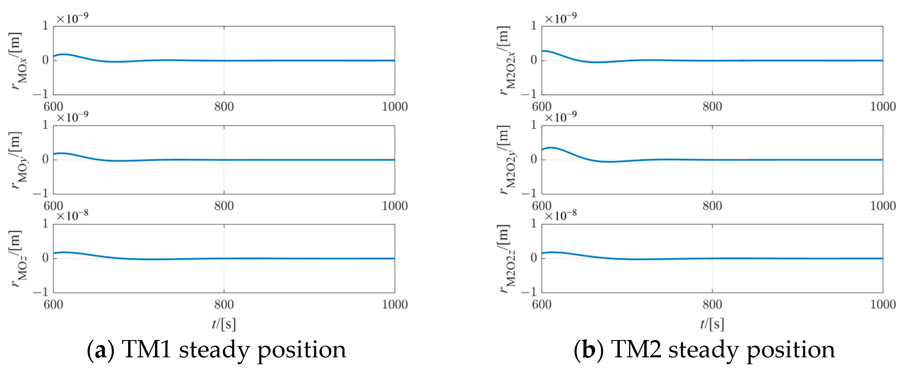
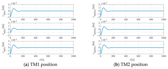
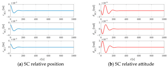
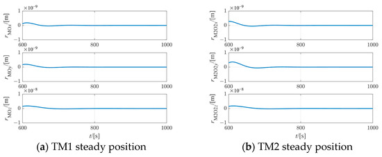
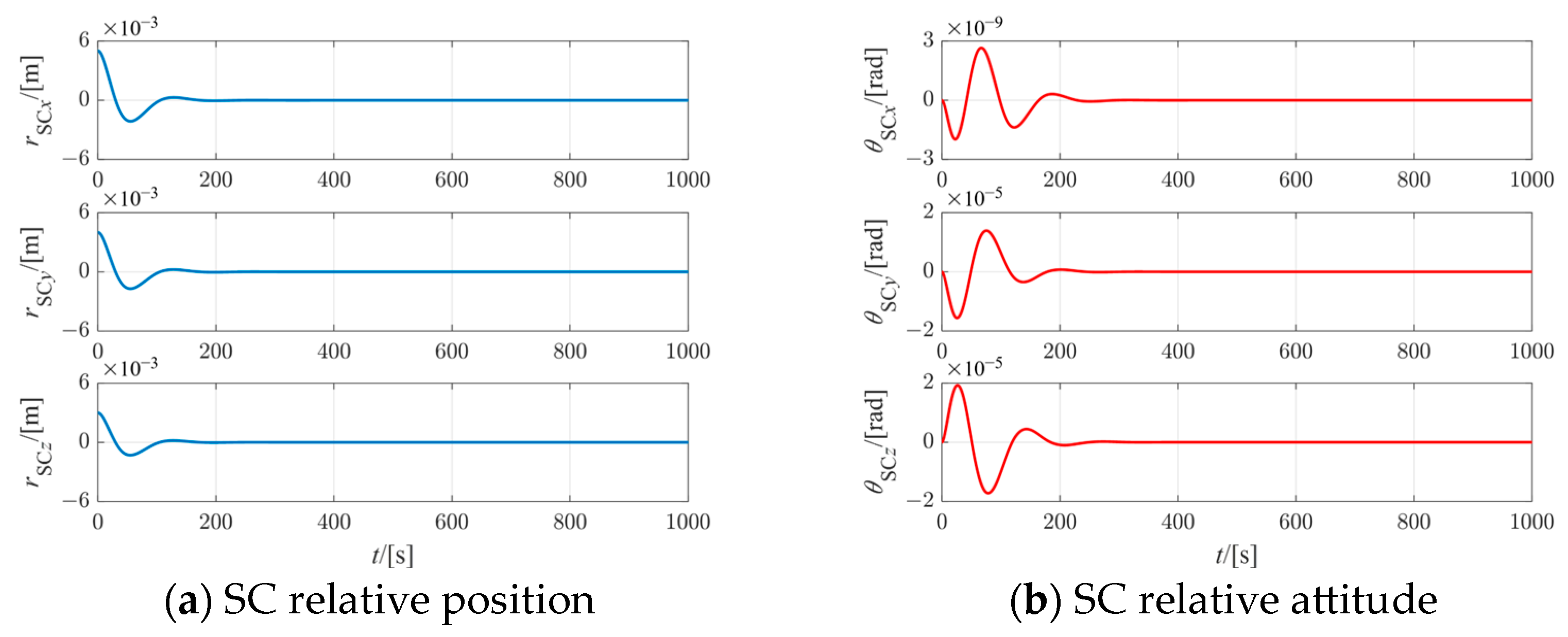
Once the TM is released, the control system is activated. The drag-free satellite is simulated by the nonlinear dynamic model (22) with a simulation horizon of 1000 s. The results in Figure 4 and Figure 5 verify the validity of the SDRE controller for capturing the TM after it is released. The relative position and attitude of the TM with respect to the local cage frame can be controlled effectively. In Figure 6 and Figure 7, the steady state of the TM is presented. The results further validate the control accuracy of the proposed controller. As shown in Figure 8 and Figure 9, the control inputs are strictly within the range of saturation values because of the property of the selected saturation function. The performance is summarized in Table 3. The max settling time is about 400 s. The maximum overshoot in the relative position of the TM with respect to the cage center is 1.967 mm, and the maximum overshoot of the attitude response of the TM is 2.111 × 10−5 rad. Both of these two values are within the range of the sensor [23]. The most important index to evaluate the performance of release control is the steady state error. According to Ref. [23], the steady state error of the TM position should be within ±2 × 10−6 m, and the steady state error of the TM attitude should be within ±5 × 10−6 rad. As shown in Table 3, the max steady state error of the TM position is 7.280 × 10−8 m, and the max steady state error of the TM attitude is 2.735 × 10−10 rad. In Table 4, the maximum value of control input is presented, and it is shown that the saturation constraints are satisfied.
Figure 4.
TM position varying with time during release control phase.
Figure 5.
TM attitude varying with time during release control phase.
Figure 6.
Steady position of TMs varying with time during release control phase.
Figure 7.
Steady attitude of TMs varying with time during release control phase.
Figure 8.
Control force for TMs varying with time during release control phase.
Figure 9.
Control torque for TMs varying with time during release control phase.
Table 3.
Performance of TM release control.
Table 4.
The peak value of control input in TM release phase.
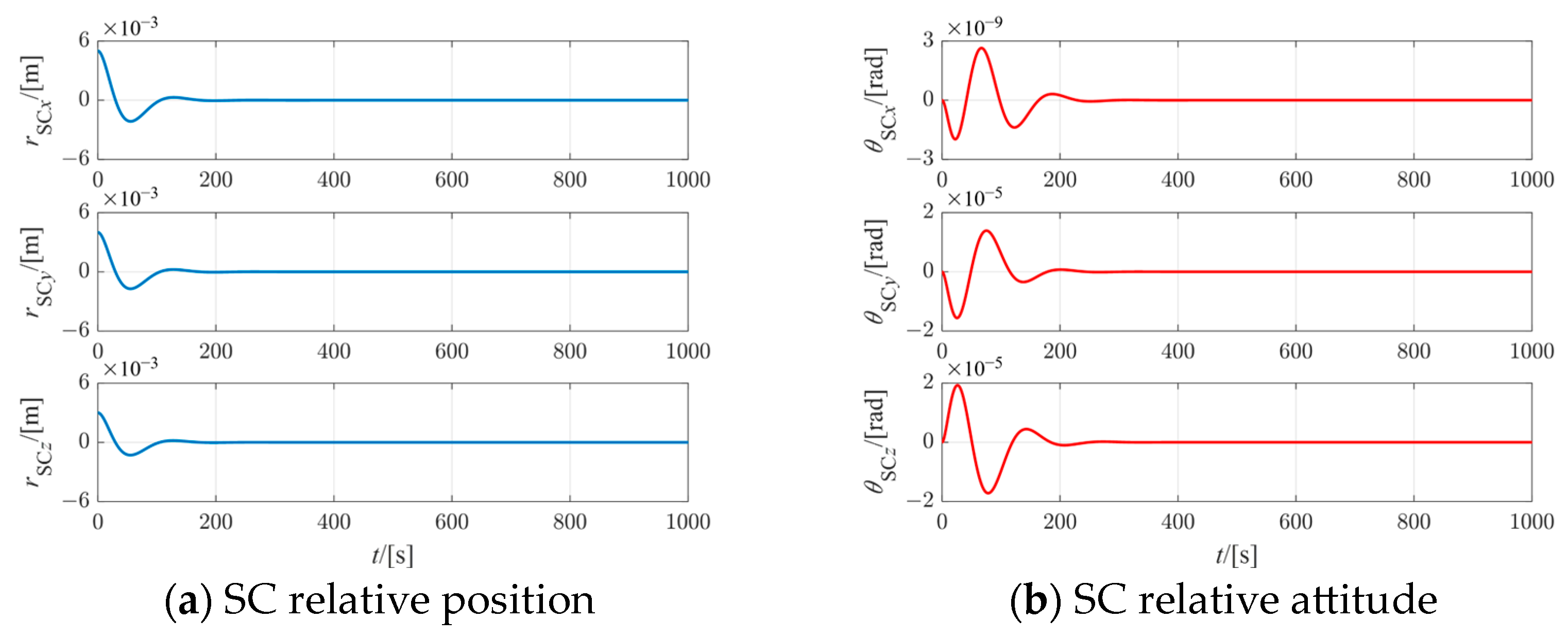
Figure 10 and Figure 11 show the states of spacecraft and the relative rotation angle of OA with respect to time. The solar radiation pressure is compensated to control the position and attitude of the spacecraft accurately, and, also, the rotation angle of OA is regulated to the equilibrium value.
Figure 10.
The relative position and attitude of SC varying with time during release control phase.
Figure 11.
The rotation angles of OA varying with time during release control phase.
5. Conclusions
This paper presents a novel capture controller for the TM release phase based on the SDRE scheme. The whole control system consists of two SDRE controllers. One is for regulating the OP and compensating for the solar radiation pressure. The other one is designed for capturing the TM. This control strategy can eliminate the control inputs coupling between the OP loop and TM loop. Meanwhile, the actuator saturation of the electrostatic suspension cage is considered by the hyperbolic tangent function. This saturation function will lead to a non-affine system, and the SDRE controller for non-affine systems is implemented to solve saturation constraints. The simulation results demonstrate the validity of the proposed capture controller, and the strategy to solve the problem of the actuator saturation is verified to be effective. In this study, only the solar radiation pressure suffered by drag-free satellites were considered as the main perturbation because its amplitude is larger than other perturbations. However, the various perturbations on drag-free and attitude control systems, such as the actuator faults and the noise generated by the sensors and the actuators, should be considered in our future research.
Author Contributions
Conceptualization, Y.C. and T.C.; methodology, Y.C.; software, Y.C.; validation, Y.C., Y.W. and Z.W.; formal analysis, Y.C. and T.C.; investigation, Y.C.; resources, T.C.; data curation, T.C.; writing—original draft preparation, Y.C.; writing—review and editing, T.C., Y.W., Z.W. and J.T.; visualization, Y.C.; supervision, T.C.; project administration, T.C.; funding acquisition, T.C., Z.W. and J.T. All authors have read and agreed to the published version of the manuscript.
Funding
This work was supported by the National Key Research and Development Program of China (Grant No. 2022YFC2204800) and Jiangsu Funding Program for Excellent Postdoctoral Talent.
Data Availability Statement
The datasets generated during and analyzed during the current study are available from the corresponding author upon reasonable request.
Conflicts of Interest
The authors declare no conflicts of interest.
Appendix A
The specific expression of the matrix is as follows:
and the expression of the matrix is as follows:
where represents the coordinates of the vector from O1 to the mounting point of the OA1 in BRF-1, represents the coordinates of the vector from the mounting point of the OA1 to the center of the corresponding electrostatic suspension cage in BRF-1, and is the modulus of . Similarly, represents the coordinates of the vector from O1 to the mounting point of the OA2 in BRF-1, represents the coordinates of the vector from the mounting point of the OA2 to the center of the corresponding electrostatic suspension cage in BRF-1, and is the modulus of .
References
- Aasi, J.; Abbott, B.P.; Abbott, R.; Abbott, T.; Abernathy, M.R.; Ackley, K.; Adams, C.; Adams, T.; Addesso, P.; Adhikari, R.X.; et al. Advanced ligo. Class. Quant. Grav. 2015, 32, 074001. [Google Scholar]
- Contaldi, C.R.; Pieroni, M.; Renzini, A.I.; Cusin, G.; Karnesis, N.; Peloso, M.; Ricciardone, A.; Tasinato, G. LISA Cosmology Working Group Maximum likelihood map making with the Laser Interferometer Space Antenna. Phys. Rev. D 2020, 102, 043502. [Google Scholar] [CrossRef]
- Barausse, E.; Berti, E.; Hertog, T.; Hughes, S.A.; Jetzer, P.; Pani, P.; Sotiriou, T.P.; Tamanini, N.; Witek, H.; Yagi, K.; et al. Prospects for fundamental physics with LISA. Gen. Relativ. Gravit. 2020, 52, 1–33. [Google Scholar] [CrossRef]
- Liu, H.; Luo, Z.; Jin, G. The Development of phasemeter for taiji space gravitational wave detection. Micrograv. Sci. Technol. 2018, 30, 775–781. [Google Scholar] [CrossRef]
- Ruan, W.-H.; Guo, Z.-K.; Cai, R.-G.; Zhang, Y.-Z. Taiji program: Gravitational-wave sources. Int. J. Mod. Phys. A 2020, 35, 2050075. [Google Scholar] [CrossRef]
- Luo, J.; Chen, L.-S.; Duan, H.-Z.; Gong, Y.-G.; Hu, S.; Ji, J.; Liu, Q.; Mei, J.; Milyukov, V.; Sazhin, M.; et al. TianQin: A space-borne gravitational wave detector. Class. Quant. Grav. 2016, 33, 035010. [Google Scholar] [CrossRef]
- Harry, G.M.; Fritschel, P.; A Shaddock, D.; Folkner, W.; Phinney, E.S. Laser interferometry for the Big Bang Observer. Class. Quant. Grav. 2006, 23, 4887–4894. [Google Scholar] [CrossRef]
- Sato, S.; Kawamura, S.; Ando, M.; Nakamura, T.; Tsubono, K.; Araya, A.; Funaki, I.; Ioka, K.; Kanda, N.; Moriwaki, S.; et al. The Status of DECIGO. J. Phys. Conf. Ser. 2017, 840, 012010. [Google Scholar]
- Geng, S.; Cao, S.; Liu, T.; Biesiada, M.; Qi, J.; Liu, Y.; Zhu, Z.-H. Gravitational-wave constraints on the cosmic opacity at z ∼ 5: Forecast from space gravitational-wave antenna DECIGO. Astrophys. J. 2020, 905, 54. [Google Scholar] [CrossRef]
- McKenzie, K.; Spero, R.; Klipstein, W.; de Vine, G.; Ware, B.; Vallisneri, M.; Cutler, C.; Ziemer, J.; Shaddock, D.; Skoug, R.; et al. LAGRANGE: A space-based gravitational-wave detector with geometric suppression of spacecraft noise. Presented at the Workshop on Gravitational Wave Mission Concepts, Linthicum, MD, USA, 20 December 2011. [Google Scholar]
- Caprini, C.; Chala, M.; Dorsch, G.C.; Hindmarsh, M.; Huber, S.J.; Konstandin, T.; Kozaczuk, J.; Nardini, G.; No, J.M.; Rummukainen, K.; et al. Detecting gravitational waves from cosmological phase transitions with LISA: An update. J. Cosmol. Astropart. Phys. 2020, 2020, 024. [Google Scholar] [CrossRef]
- Zanoni, C.; Bortoluzzi, D.; Conklin, J.W.; Köker, I.; Seutchat, B.; Vitale, S. Summary of the results of the LISA-Pathfinder Test Mass release. J. Phys. Conf. Ser. 2015, 610, 012022. [Google Scholar] [CrossRef]
- Koker, I.; Rozemeijer, H.; Stary, F.; Reichenberger, K. Alignment and testing of the GPRM as part of the LTP caging mechanism. In Proceedings of the 15th European Space Mechanisms and Tribology Symposium, Noordwijk, The Netherlands, 25–27 September 2013. [Google Scholar]
- Zanoni, C.; Bortoluzzi, D.; Conklin, J.W.; Köker, I.; Marirrodriga, C.G.; Nellen, P.M.; Vitale, S. Testing the injection of the LISA-pathfinder test mass into geodesic conditions. In Proceedings of the 15th European Space Mechanism and Tribology Symposium (ESMATS), Noordwijk, The Netherlands, 25–27 September 2013. [Google Scholar]
- Schleicher, A.; Ziegler, T.; Schubert, R.; Brandt, N.; Bergner, P.; Johann, U.; Fichter, W.; Grzymisch, J. In-orbit performance of the LISA Pathfinder drag-free and attitude control system. CEAS Space J. 2018, 10, 471–485. [Google Scholar] [CrossRef]
- Bortoluzzi, D.; Mäusli, P.A.; Antonello, R.; Nellen, P.M. Modeling and identification of an electro-mechanical system: The LISA grabbing positioning and release mechanism case. Adv. Space Res. 2011, 47, 453–465. [Google Scholar] [CrossRef]
- Benedetti, M.; Bortoluzzi, D.; Vitale, S. A Momentum transfer measurement technique between contacting free-falling bodies in the presence of adhesion. J. Appl. Mech. 2008, 75, 011016. [Google Scholar] [CrossRef]
- Bortoluzzi, D.; Conklin, J.W.; Zanoni, C. Prediction of the LISA-Pathfinder release mechanism in-flight performance. Adv. Space Res. 2013, 51, 1145–1156. [Google Scholar] [CrossRef]
- Bortoluzzi, D.; De Cecco, M.; Vitale, S.; Benedetti, M. Dynamic measurements of impulses generated by the separation of adhered bodies under near-zero gravity conditions. Exp. Mech. 2008, 48, 777–787. [Google Scholar] [CrossRef]
- Montemurro, F.; Fichter, W.; Schlotterer, M.; Vitale, S. Control Design of the test mass release mode for the lisa pathfinder mission. AIP Conf. Proc. 2006, 873, 583–587. [Google Scholar]
- Capicchiano, L. Test Mass Release for LISA ESA Mission–Control Design and MonteCarlo Analysis. Doctoral Dissertation, Politecnico di Torino, Turin, Italy, 2020. [Google Scholar]
- Lian, X.; Zhang, J.; Chang, L.; Song, J.; Sun, J. Test mass capture for drag-free satellite based on RBF neural network adaptive sliding mode control. Adv. Space Res. 2021, 69, 1205–1219. [Google Scholar] [CrossRef]
- Vidano, S.; Novara, C.; Grzymisch, J.; Pagone, M. The LISA DFACS: Preliminary model predictive control for the test mass release phase. In Proceedings of the 71st International Astronautical Congress, Online, 12–14 October 2020. [Google Scholar]
- Gioia, A. Time-Optimal Electrostatic Control and Capture of a Free-Falling Test Mass. Doctoral Dissertation, Politecnico di Milano, Milan, Italy, 2020. [Google Scholar]
- Lin, M.; Zhang, J.; He, Y. Minimum-time control for the test mass release phase of drag-free spacecraft. Space Sci. Technol. 2024, 4, 0151. [Google Scholar] [CrossRef]
- Bai, S.; Wang, Y.; Liu, H.; Sun, X. Spacecraft fast fly-around formations design using the parallelogram configuration. In Nonlinear Dynamics; Springer Nature: Berlin/Heidelberg, Germany, 2024; pp. 1–22. [Google Scholar]
- Zhou, H.; Jiao, B.; Dang, Z.; Yuan, J. Parametric formation control of multiple nanosatellites for cooperative observation of China Space Station. Astrodynamics 2024, 8, 77–95. [Google Scholar] [CrossRef]
- Çimen, T. State-Dependent Riccati Equation (SDRE) Control: A Survey. IFAC Proc. Vol. 2008, 41, 3761–3775. [Google Scholar] [CrossRef]
- Chen, T.; Shan, J.; Wen, H.; Xu, S. Review of attitude consensus of multiple spacecraft. Astrodynamics 2022, 6, 329–356. [Google Scholar] [CrossRef]
- Sun, G.; Zhou, M.; Jiang, X. Non-cooperative spacecraft proximity control considering target behavior uncertainty. Astrodynamics 2022, 6, 399–411. [Google Scholar] [CrossRef]
- Cloutier, J.; Stansbery, D. Control of a Continuously Stirred Tank Reactor Using an Asymmetric Solution of the State-Dependent Riccati Equation. In Proceedings of the Conference on Control Applications, Kohala Coast, HI, USA, 22–27 August 1999; pp. 893–898. [Google Scholar]
- Stansbery, D.T.; Cloutier, J.R. Position and attitude control of a spacecraft using the state-dependent Riccati equation technique. In Proceedings of the 2000 American Control Conference. ACC (IEEE Cat. No.00CH36334), Chicago, IL, USA, 28–30 June 2000; Volume 3, pp. 1867–1871. [Google Scholar]
- Vidano, S.; Novara, C.; Colangelo, L.; Grzymisch, J. The LISA DFACS: A nonlinear model for the spacecraft dynamics. Aerosp. Sci. Technol. 2020, 107, 106313. [Google Scholar] [CrossRef]
- An, J.H.; Kim, H.S. Interval Type-2 Fuzzy-Model-Based Sampled-Data Control of an AUV Depth System with Input Saturation. Actuators 2024, 13, 71. [Google Scholar] [CrossRef]
- Wu, J.; Li, B.; Li, J.; Li, M.; Yang, B. Global Stabilization of Control Systems with Input Saturation and Multiple Input Delays. Actuators 2024, 13, 306. [Google Scholar] [CrossRef]
- Zhou, Y.; Liu, H.; Guo, H. L1 Adaptive Fault-Tolerant Control for Nonlinear Systems Subject to Input Constraint and Multiple Faults. Actuators 2024, 13, 258. [Google Scholar] [CrossRef]
- Rafee Nekoo, S.; Geranmehr, B. Nonlinear observer based optimal control via state-dependent Riccati equation for a class of non-affine in control systems. J. Control Eng. Appl. Inf. 2014, 16, 5–13. [Google Scholar]
- Georgevic, R.M. Mathematical Model of the Solar Radiation Force and Torques Acting on the Components of a Spacecraft, Technical Report for NASA JPL; Jet Propulsion Lab.: Pasadena, CA, USA, October 1971.
- Merkowitz, S.M.; Haile, W.B.; Conkey, S.; Kelly, W.; Peabody, H. Self-gravity modelling for LISA. Class. Quant. Grav. 2005, 22, S395–S402. [Google Scholar] [CrossRef]
- Bortoluzzi, D.; Armano, M.; Audley, H.; Auger, G.; Baird, J.; Binetruy, P.; Born, M.; Bortoluzzi, D.; Brandt, N.; Bursi, A.; et al. Injection of a Body into a Geodesic: Lessons Learnt from the LISA Pathfinder Case. In Proceedings of the 43rd Aerospace Mechanisms Symposium, Santa Clara, CA, USA, 4–6 June 2016; p. 20160008114. [Google Scholar]
- Virdis, M. A Meteoroid Impact Recovery Control System for the LISA Gravitational Wave Observatory. Doctoral Dissertation, Politecnico di Torino, Turin, Italy, 2021. [Google Scholar]
Disclaimer/Publisher’s Note: The statements, opinions and data contained in all publications are solely those of the individual author(s) and contributor(s) and not of MDPI and/or the editor(s). MDPI and/or the editor(s) disclaim responsibility for any injury to people or property resulting from any ideas, methods, instructions or products referred to in the content. |
© 2024 by the authors. Licensee MDPI, Basel, Switzerland. This article is an open access article distributed under the terms and conditions of the Creative Commons Attribution (CC BY) license (https://creativecommons.org/licenses/by/4.0/).










