Next Article in Journal
Design and Experimental Analysis of Charge Recovery for Piezoelectric Fan
Previous Article in Journal
An Enhanced Sliding Mode Speed Control for Induction Motor Drives
 
 
Font Type:
Arial Georgia Verdana
Font Size:
Aa Aa Aa
Line Spacing:
Column Width:
Background:
Article

Modeling and Experiments of an Annular Multi-Channel Magnetorheological Valve

School of Mechanical and Automotive Engineering, Guangxi University of Science and Technology, Liuzhou 545006, China
*
Author to whom correspondence should be addressed.
Actuators 2022, 11(1), 19; https://doi.org/10.3390/act11010019
Submission received: 11 November 2021 / Revised: 30 December 2021 / Accepted: 5 January 2022 / Published: 10 January 2022
(This article belongs to the Section Actuators for Surface Vehicles)

Abstract

:
With the increasing number of cars, the demand for vehicle maintenance lifts is also increasing. The hydraulic valve is one of its core components, but there are problems with it such as inaccurate positioning and failure. In order to improve the service performance of vehicle maintenance elevators, a novel annular multi-channel magnetorheological (MR) valve structure was creatively proposed based on intelligent material MR fluid (MRF), and its magnetic circuit was designed. The influence of current, damping gap and coil turns on the pressure drop performance of the annular multi-channel MR valve was numerically studied and compared with ordinary type magnetorheological valve pressure drop performance through contrast and analysis. The influence of different loads and currents on the pressure drop performance of annular multi-channel magnetorheological valve was verified by experiments, and the reliability of numerical analysis results was verified. The results show that the single winding excitation coil is 321 to meet the demand. The pressure drop performance of the annular multi-channel magnetorheological valve is 5.6 times that of the ordinary magnetorheological valve. The load has little influence on the regulating range and performance of pressure drop of the MR valve. Compared with the common type, the pressure drop performance of the annular multi-channel MR Valve is improved by 3.7 times, which is basically consistent with the simulation results.

1. Introduction

A magnetorheological valve [1] is a kind of hydraulic control valve that uses a new intelligent material, magnetorheological fluid [2,3,4], as the working medium. The MR valve is widely used in hydraulic systems because of its advantages: simple structure, simple operation and fast response without relative movement between parts. At present, there are many studies on the annular structure of the MR valve [5,6,7,8]. Ai et al. designed a MR valve with both annular and radial flow resistance channels and introduced its structure and working principle. In addition, mathematical models of annular and radial magnetorheological valves have been established, and the newly developed magnetorheological valves have been simulated and evaluated [9]. Fitrian et al. [10,11] developed a compact magnetorheological valve with a complex winding curved channel structure as the main structure in their study. The valve consists of multiple damping channel structures, such as annular and radial ones, forming a flow path together, giving the valve a longer flow channel and effectively increasing the length of the effective flow channel. It can be found through simulation experiments that, When the outer diameter of the valve is 50 mm, the pressure drop value can be greatly increased to more than 2.5 MPa.
Research on the structure of the disc MR valve has also been carried out [12,13]. Sahin et al. designed a radial flow magnetorheological valve structure with disc damping clearance. In addition to installing spool and excitation coil, a pair of fixed disks were installed in the structure. Based on this, from the perspective of response time, the study found that compared with the traditional valve structure, the new one has a higher response speed [14,15]. Fitrian et al. [11] designed a radial flow MR valve with a three-layer spool structure. The external diameter of the MR valve was only 50 mm, which could form six sections of effective radial flow channel and maximize the effective area of MRF in confined space. Experimental results showed that the pressure drop of the MR valve could reach more than 2.5 MPa. At present, there are few research reports on disc and annular hybrid magnetorheological valves.
In order to improve the pressure drop of the magnetorheological valve performance, the theory of magnetic circuit, design an annular multi-channel MR valve structure was used. The influence of current, damping gap width [16] and coil turns on the pressure drop performance of the annular multi-channel MR valve was studied by numerical analysis. The influence of the experimental research on the different loads and current effects on the performance of the pressure drop, as well as the correctness of the numerical analysis results, were verified. The research results provide important theoretical guidance for the design of a high-reliability annular multi-channel MR valve.

2. Design of Annular Multi-Channel MR Valve

2.1. Working Principle and Structure

A ring multi-channel MR valve is designed according to the demands of a vehicle maintenance lift. It includes three axial annular damping channels, two-disc damping channels and a round tube damping channel, and a convex platform is designed on the magnetic guide disc to achieve axial positioning.
Figure 1 shows the structure of the designed annular multi-channel MR valve, which consists of (1) screw and (2) left magnetic separator, (3) left excitation coil, (4) coil holder, (5) right magnetic separator, (6) right excitation coil, (7) shell, (8) right end cover sealing ring, (9) right end cover, (10) right magnetic block, (11) middle magnetic guide ring, (12) middle magnetic ring, (13) sliding disc seal ring, (14) left magnetic guide block, (15) valve core, (16) valve core sealing ring, (17) left end cover and (18) left end cover sealing ring components. By changing the structure of the valve core and magnetic guide ring, the valve core and magnetic guide block are designed with modular thinking, and multiple channels are formed on the outer surface of the valve core and magnetic guide block, so as to increase the effective flow length. The magnetic separation ring is added on the coil bracket to force the magnetic force to pass through the flow damping channel vertically, so as to increase the utilization rate of the magnetic field and reduce the loss of magnetic force lines, thus realizing an annular multi-channel MR valve device. This structure overcomes the problem that the performance of the MR valve declines due to excessive inlet pressure. The control valve device of this structure greatly increases the pressure drop performance of the MR valve and expands its safe working range.
The experimental part of this article uses the MRF-J25T (Chongqing Materials Research Institute Co.Ltd, Chongqing, China) (hydrocarbon oil carrier fluid MRF) magnetorheological fluid developed by the Chongqing Institute of Materials. The relevant characteristic parameters are shown in Table 1. Figure 2 describes the relationship between B–H magnetization curve of MRF-J25T magnetorheological fluid.
Permeable materials need to choose materials that have good permeability, can withstand huge impacts and are easy to process. Therefore, 45# steel is used. Figure 3 shows the B–H curve of 45# steel.

2.2. Magnetic Circuit Design

Figure 4a is the magnetic circuit diagram of the annular multi-channel MR valve. The magnetic field lines generated by the left excitation coil reach the shell from the left through the left magnetic guide block and coil bracket and then pass through the shell and coil bracket from the middle. Finally, they pass through the damping gap, the middle magnetic guide block and reach the left side to form a complete loop. The magnetic field lines of the right coil reach the shell from the right through the right magnetic block and the coil bracket and then pass through the shell and the coil bracket from the middle; finally, they pass through the damping gap and the middle magnetic guide block and finally reach the right side to form a complete magnetic loop. Figure 4b shows the equivalent magnetic circuit effect diagram of the annular multi-channel MR valve. Table 2 is the preliminary definition and numerical introduction of structural parameters of the annular multi-channel MR valve.
In material selection, the magnetic conductivity material is 45# steel, which belongs to the uniform material. The calculation formula of the magnetic resistance of the uniform material is as follows:
r = l μ A
where L represents the length of the magnetic line of force in the magnetic circuit that can pass through the magnetic conductive material vertically; µ is the permeability of the magnetic material 45# steel that constitutes the magnetic circuit, and A is the cross-sectional area of the magnetic line of force that can pass through the magnetic material vertically.
The reluctance r a of the shell is
r a = h 7 2 μ π [ ( r 4 + r 3 + 2 r 2 + 3 r 1 ) 2 ( r 3 + 2 r 2 + 3 r 1 ) 2 ]
The reluctances r b 1 and r b 3 of the magnetic disk are 2 r b 1 = r b 7
      r b 1 = r 3 μ π h 5 ( r 3 + 2 r 2 + 3 r 1 ) 2
The reluctances r b 2 and r b 2 of the magnetic disk are 2 R b 2 = R b 6
r b 2 = r 2 μ π h 3 ( 2 r 2 + 2 r 1 ) 2
The reluctance r d of the spool is r d 1 = r d 2
r d 2 = h 1 2 μ π ( r 2 + r 1 ) 2 r 1 2
The reluctances r c 1 and r c 3 of the damping gap are 2 r c 1 = r c 7
r c 1 = r 1 μ π h 1 + r 1 + h 2 4 ( 2 r 2 + 3 r 1 ) 2
The reluctances r c 2 and r c 6 of the damping gap are 2 r c 6 = r c 2 , 0.5 r c 2 = r c 5
r c 2 = r 1 2 μ π h 3 ( r 2 + 2 r 1 )
The reluctances r d 1 and r d 2 of the spool are 0.8 r d 1 = r d 2
r d 1 = r 2 2 μ π h 1 + h 2 + 2 r 1 2 ( r 2 + r 1 )
The magnetic disk reluctance r b 5 is
r b 5 = r 2 + 2 r 1 2 μ π h 2 ( r 2 + r 1 )
r e = r a 1 + r b 1 + r c 1 + r b 2 + r c 2 + r d 1
r f = r b 6 + r c 7 + r b 7 + r c 6
r g = r d 2 + r b 4 + r c 3 + r b 3 + r a 2 + r c 4 ( r b 5 + r c 5 ) r c 4 + r b 5 + r c 5
The total reluctance r is
r = r f + r e r g r e + r g
Known:
absolute permeability in air μ 0 = 4 π × 10 7   H / m ;
Relative permeability of valve sleeve, valve core and other magnetic materials μ r = 1000;
Relative permeability of MRF in flow channel μ w = 2.5   H / m .
Then it can be deduced that:
The permeability of a magnetic material μ = μ r × μ 0 = 4 π × 10 4   H / m ;
The permeability of the damping gap μ = μ w × μ 0 = π × 10 6   H / m .
See Table 1 for the parameter definition and parameter value in the formula of magnetoresistance calculation. By substituting the parameter value in the table, the magnetoresistance size of each part can be obtained in Table 3.
As can be seen from Table 1, the cross-section area in the circular circulation MR valve groove is S = 12   mm × 30   mm = 360   mm 2 . There are 600 circles of wire wound with 0.6 mm enameled wire.
The total magnetic flux ϕ can be obtained according to ohm’s law of magnetic circuit:
ϕ = N I R = B i S
where N represents the number of excitation coils to be wound; I is the input coil current; R is the total reluctance in the magnetic circuit; Bi is the intensity of the magnetic field in the radial flow gap, and 0.6255 T is calculated according to the MRF-J01T b–H curve of the MRF. S is the flux area in the radial flow damping gap MR valve. The total value of each parameter is:
N I = R B i S = 654060   H / m × 0.6255   T × π × 1   mm × 1   mm = 1284   A
When the applied excitation current I is 2 A, the single winding excitation coil N is about 321 turns.

2.3. Pressure Drop Analysis of Annular Multi-Channel MR Valve

The mixed damping channel of the axial torus, axial circular tube and radial disc is one of the reasons for the high performance of the annular multi-channel MR valve. The channel mixer can increase the efficiency of the magnetic field, and according to the mechanics model of the magnetorheological valve, three different calculations of the damping clearance are different, so the ring of the multiple single magnetorheological damping channel valve is divided into six regions; see Figure 5.
The magnetorheological fluid flows in the axial circular tubular damping channel in region 1; the magnetorheological fluid flows in the radial disc damping channel in regions 2, 4 and 6, and the magnetorheological fluid flows in the axial annular damping channel in regions 3 and 5. The axial pipe clearance in zone 1 is formed by the magnetorheological fluid flowing from the tank into the magnetorheological valve along the pipeline through the round hole on one end cover. The damping clearance of the radial disc in region 2 is composed of the damping clearance between the valve core, the magnetic guide block and the magnetic guide disc. The damping clearance of region 3 ring is composed of the flow from the axial disc damping clearance to the inner wall of the magnetic guide block and the outer wall of the valve core. Then, it flows into a radial annular disk-type damping clearance region with a clearance of 1 mm formed between the shell and the magnetic conductive block 4. Finally, the magnetorheological valve flows out through another annular region 5 and disk 6.
Viscous pressure drop means that it is not affected by external influences and is caused by its properties, such as the viscosity of the fluid itself and the diameter and length of the flow channel. Magnetic hysteresis pressure drop refers to the pressure drop performance generated by the input current and magnetic field. It can be seen from the figure that regions 2, 3 and 5 are affected by the hysteresis pressure drop, while the viscous pressure drop is generated in any region. Therefore, the pressure drop calculation formula of the annular multi-channel MR valve can be expressed as follows:
Δ P = Δ P z + Δ P c = Δ P z 1 + Δ P z 2 + Δ P c 2 + Δ P z 3 + Δ P c 3 + Δ P z 4 + Δ P z 5 + Δ P c 5 + Δ P z 6
The viscous pressure drop of the round tube is
Δ P z = 8 μ L π R 1 4 Q
where L is the length of the tube; R 1 is the inner diameter of the tube; Q is the flow velocity through the tube; μ is the zero-field viscosity of the magnetorheological fluid.
The ring viscous pressure drop is
Δ P z = 6 μ L π r z h 3 Q
where L is the length of the ring; Rz is the thickness of the ring; Q is the flow velocity through the disk; μ is the zero-field viscosity of the magnetorheological fluid; h is the inner diameter of the ring.
The ring hysteresis voltage drop is
Δ P c = L h τ
where L is the length of the ring; h is the inner diameter of the ring; is the shear stress of magnetorheology.
The disc viscous pressure drop is
Δ P z = 6 μ Q π r 2 3 l n r z r 1
where R z is the inner diameter of the disc; R 1 is the inner diameter of the gap; R 2 is the thickness of the disc.
The disc yield pressure drop is
Δ P c = c ( r z r 1 ) r 2 τ

3. Numerical Analysis Results and Discussion

The physical environment of the magnetic fluid seal is created in the preprocessor of ANSYS finite element analysis software. Due to the symmetry of the structure, the three-dimensional axisymmetric problem of the MR valve can be simplified to a two-dimensional plane problem. The magnetic conductivity material of the annular multi-channel MR valve structure is 45 steel, shown in area A1 of Figure 6a; the magnetic insulation material is stainless steel, shown in area A3 of Figure 6a; the coil is shown in area A2, A5 of Figure 6a, and the gap is shown in area A4 of Figure 6a. Oil-based MRF with saturation magnetization of 295 KA/m is adopted. Since the magnetic force generated by the energized coil is greater than the saturation magnetization of MRF within the damping gap, MRF is saturated magnetized, and the saturation magnetization of MRF is almost the same as that of air, so the magnetic fluid can be treated like air. Corresponding material attributes are assigned to each part, intelligent grid division is selected, and the precision of the grid is level 1. The boundary condition of parallel magnetic force lines is applied to the model boundary. When a current of 1A is applied to the excitation coil, the electromagnetic field simulation results are shown in Figure 6b.
When dividing the grid, choose the mode of smart grid division. For the entire model, use the smart grid division with Smartsize of 1, which means that the grid precision is the highest. Choosing the grid precision to 1 is conducive to the calculated ring multi-channel The magnetic field distribution result of the type magnetorheological valve is more accurate. The generated grid is shown in Figure 7, where the grid shape is quadrilateral. It can be seen that the mesh density is denser at the damping gap, which is beneficial to analyze the magnetic field distribution in the sealing gap.

3.1. Influence of Current on Pressure Drop Performance of Annular Multi-Channel MR Valve

Magnetic field intensity is the main factor affecting the pressure drop performance of the MR valve, and the greater the input current of the excitation coil, the greater the magnetic field intensity. Therefore, the performance of annular multi-channel MR valve is related to the size of the input current. The study of the influence of input current on the performance of the MR valve will provide important experimental basis for the design of the MR valve.
Figure 8a shows the distribution of magnetic flux density when the spool of the annular multi-channel MR valve is 10 mm and the damping gap is 1 mm. It can be seen from the figure that when the current increases, the magnetic flux density in the annular damping gap increases sharply, while the magnetic flux density in the axial damping gap increases slowly. This is because the increase of current will increase the total magnetic potential, and the magnetic flux density of the whole magnetic circuit will increase, and because the reluctance of the damping gap remains unchanged, according to the magnetic circuit theory, the magnetic flux density will increase.
When the valve core of the MR valve is 10 mm and the damping gap is 1 mm, the pressure drop performance of the MR valve under different input current is shown in Figure 8b. Compared with the ordinary MR valve, the pressure drop performance of the annular multi-channel MR valve increases by 2.8–5.02 times. First, the effective flow length of the annular multi-channel MR valve is 3.2 times that of the ordinary MR valve, and the magnetic flux density vertically passing through the damping gap is the same. Therefore, the longer the effective flow length, the better the pressure drop performance of the MR valve. Second, when MRF flows in a small gap, it is forced to change the flow direction at the shoulder of the shaft, which will consume part of the energy. Therefore, the performance of the annular multi-channel MR valve far exceeds the pressure drop performance of the ordinary MR valve.

3.2. Influence of Damping Gap Width on Pressure Drop Performance of Annular Multi-Channel MR Valve

The performance of annular multi-channel MR valve is related to damping clearance. The study of the influence of damping clearance on the performance of annular multi-channel MR valve will provide an important experimental basis for the design of the MR valve. Figure 9a shows the magnetic flux density distribution diagram when the valve core of the annular multi-channel MR valve is 10 mm and the input current is 1A. Figure 9b shows that when the damping gap increases, the magnetic flux density in the annular damping gap decreases significantly, while the magnetic flux density in the axial damping gap also decreases slowly. This is because the increase of the damping gap leads to the increase of the reluctance of the damping gap. Therefore, according to the magnetic circuit theory, the magnetic flux density decreases accordingly.
When the valve core of the MR valve is 10 mm, and the damping gap is 1 mm, the pressure drop performance of the MR valve under a different input current is shown in Figure 9. Compared with the ordinary MR valve, the pressure drop performance of annular multi-channel MR valve is improved by 2.7–5.7 times. This depends on the length of the effective damping gap and the magnetic flux density. If the magnetic potential remains unchanged, the effective damping gap is an important factor to measure the pressure drop performance of the MR valve. When MRF flows in a small gap, it is forced to change the flow direction at the corner of the damping channel, which will consume part of the energy. Therefore, the performance of annular multi-channel MR valve is far better than that of ordinary MR valve.

3.3. Influence of Coil Turns on Pressure Drop Performance of Annular Multi-Channel MR Valve

The performance of the annular multi-channel MR valve is related to the number of turns of the coil. The study of the influence of the number of turns of the coil on the performance of the MR valve will provide an important experimental basis for the design of the annular multi-channel MR valve.
Figure 10a shows the magnetic flux density distribution of different coil turns when the valve core of the annular multi-channel MR valve is 10 mm and the input current is 1A. It can be seen from the figure that when the number of turns of the coil increases, the magnetic flux density in the damping gap increases at a decreasing speed. This is because the increase in the number of turns of the coil will increase the strength of the magnetic field, so the total magnetic potential in the magnetic circuit will also increase, and because the reluctance of the damping gap remains unchanged, according to the magnetic circuit theory, the magnetic flux density of the magnetic circuit will also increase.
When the valve core of the MR valve is 10 mm and the damping gap is 1 mm, the pressure drop performance of the annular multi-channel MR valve with different coil turns is shown in Figure 10b. It shows that the pressure drop performance of the annular multi-channel MR valve increases sharply first and then slowly with the increase of coil turns. The voltage drop performance reaches the maximum value when the number of turns of the coil is 500. This is because when the number of turns of the magnetorheological valve coil increases, its magnetic flux intensity also increases. According to the pressure drop theory formula of the magnetorheological valve, the greater the magnetic flux density, the greater the pressure drop performance. Therefore, selecting a larger number of turns is one of the conditions for obtaining better pressure drop performance of the MR valve. However, the larger the coil turns, the larger the size of the annular multi-channel MR valve will be, which will affect the overall effect of the hydraulic system. Therefore, 321 coil turns are selected in this paper to meet the pressure drop requirements of vehicle maintenance lifts. Compared with the ordinary MR valve, the pressure drop performance of annular multi-channel MR valve is improved by 3.1–5.6 times. This depends on the length of the effective damping gap and the size of the magnetic flux density. If the magnetic potential remains unchanged, the effective damping gap is an important factor to measure the pressure drop performance of the MR valve. The effective damping gap of annular multi-channel MR valve is 3.2 times that of ordinary MR valve. In addition, because the fluid flows in a small gap, it is forced to change the direction of flow at the shoulder of the shaft, and part of the energy is lost here. Therefore, the performance of annular multi-channel MR valve is far better than that of the ordinary MR valve.

4. Experimental Study on Annular Multi-Channel MR Valve

The pressure drop experiment of the annular multi-channel MR valve and the ordinary magnetorheological valve is carried out on the hydraulic system test table as shown in Figure 11. The test system includes oil tank, relief valve Ⅰ, gear pump, motor, temperature sensor, magnetorheological valve, pressure sensor Ⅰ, power supply, PLC, computer, pressure sensor II, 1 reversing valve, hydraulic cylinder, displacement sensor, relief valve II. When the motor is turned on, the fluid is pressurized through the gear pump and transmitted to the magnetorheological valve. The required pressure is obtained by controlling the magnetorheological valve and flows through the hydraulic cylinder. The reciprocating movement of the hydraulic cylinder is made by controlling the reversing valve. Sensor–actuator displacement change and observation of the stability of the hydraulic cylinder, pressure sensor Ⅰ, pressure sensor II magnetorheological valve import and export pressure are measured by the transformation of the PLC into the measured data of the computer, using a computer for data analysis and processing, as demanded by the experimental data. The relief valve Ⅰ is used as a safety valve to prevent damage to the hydraulic components due to excessive oil pressure. The relief valve II is used as a load simulation to observe the pressure drop performance of the MR valve under different loads.

5. Analysis and Discussion of Experimental Results

5.1. Influence of Different Loads on Pressure Drop Performance of Annular Multi-Channel MR Valve

Figure 12a–c shows the pressure drop performance of the annular multi-channel MR valve changing with current under the same load. Relief valve II is used to simulate different external loads and then observe the inlet pressure, outlet pressure and pressure drop performance under different current levels to judge whether the pressure drop performance of the ring-shaped multi-channel magnetorheological valve is stable. It can be seen from Figure 12a–c that when the load is the same, the inlet pressure and outlet pressure increase with the increase of current, while the pressure drop increases first and then stays constant with the increase of the current. This is because the current increases, the annular multi-channel MR valve internal consumption increases, and then, the inlet and outlet pressures increase. The pressure drop reaches saturation when the current is 1.5 A and the inlet and outlet pressure difference reaches 4.2 MPa. With the gradual increase of current (0–1.5 A range), based on the respective load, the outlet pressure keeps stable; the inlet pressure and the inlet and outlet pressure difference both increase with the increase of current value, so the annular multi-channel MR valve has excellent differential pressure performance and wide adjustable range. Figure 12d shows the influence of different loads on the performance of the annular multi-channel MR valve. The three curves overlap, so it can be considered that the load has little influence on the regulating range of pressure drop and pressure drop performance, and the pressure drop performance of the annular multi-channel MR valve is stable.

5.2. Comparison of Annular Multi-Channel MR Valve and Common MR Valve

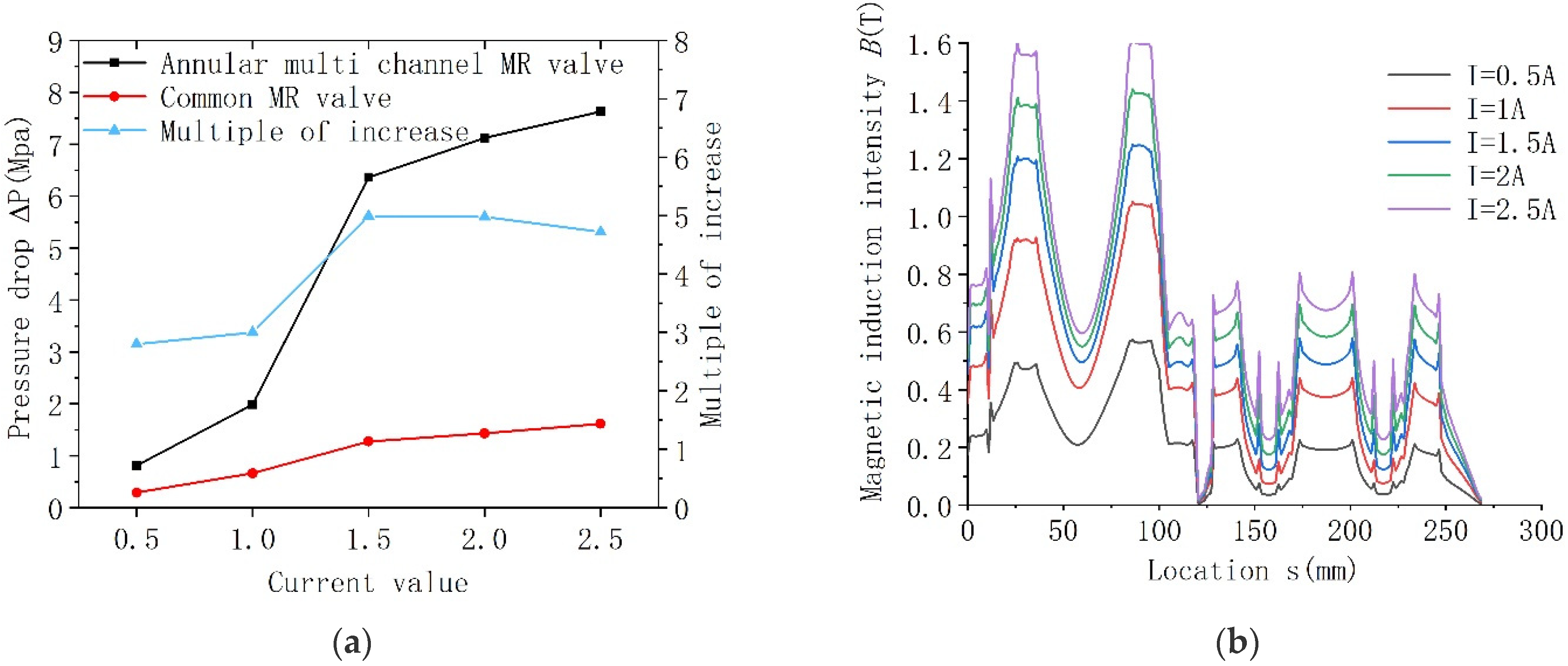
Figure 13 shows the annular multi-channel MR valve compared with the ordinary type magnetorheological valve pressure drop. Figure 10 shows that annular multi-channel MR valve and ordinary type magnetorheological valve pressure drop performance increase along with the increase of current. This is because, by the theory of magnetic circuit, the current increases. The magnetic potential increases in the magnetic circuit, by damping clearance of magnetic induction strength increases. The pressure drop performance of the MR valve increases. Compared with the common type, the pressure drop performance of the annular multi-channel MR valve is improved by 3.7 times, which is consistent with the simulation results.

5.3. The Simulation Results Are Compared with the Experimental Results

In order to verify the reliability of the structural design of the annular multi-channel MR valve and the accuracy of electromagnetic field simulation, this section verifies the comparison of the electromagnetic field analysis results and experimental results of the annular multi-channel MR valve under different current sizes. The correctness of the simulation results proves that of the electromagnetic field, the mesh and the result of the experiment.
Figure 14 shows the circular single magnetorheological valve pressure drop performance of the experimental results compared with the results of the simulation diagram. Figure 11 shows that annular multi-channel MR valve pressure drop performance of the simulation results and experimental results rise with the increase of current. When the current is less than 1A, the experimental results are greater than the electromagnetic field simulation results and vice versa when the current is greater than 1A. This is because the more complex the structure is, the greater the influence of the damping channel corner on the pressure drop performance of the MR valve. The annular multi-channel MR valve needs to consider the influence of the corner due to its complex structure, while the electromagnetic field simulation does not consider the influence of the corner on the pressure drop performance of the MR valve. Therefore, when the current is less than 1 a, the experimental results are slightly bigger than the electromagnetic field simulation. When the current is greater than 1 a ring more, the single magnetorheological valve pressure drop performance simulation results are greater than the experimental value. This is because as the current increases more than one ring, the leading magnetorheological valve pressure drop performance increase is greater than the speed of the corner of the influence of the magnetorheological valve. The experimental value of pressure drop performance of annular multi-channel MR valve is also affected by machining and assembly errors, resulting in smaller experimental results than its theoretical value. On the other hand, the precipitation of magnetorheological fluid is also one of the important factors leading to the small experimental value.

6. Conclusions

(1)
Display of magnetic circuit design results: The number of turns required by a single excitation coil is greater than 321.
(2)
Electromagnetic field finite element analysis results: The pressure drop performance of annular multi-channel MR valve increases with the increase of current and coil turns and decreases with the increase of spool thickness and damping clearance. Compared with the common MR valve, the pressure drop performance of the annular multi-channel MR valve is 5.6 times better than that of the common MR valve. This is because the effective flow length of the annular multi-channel MR valve is 3.2 times that of the ordinary magnetorheological valve, and the magnetic flux density that passes through the damping gap vertically is the same. Therefore, the longer the effective flow length, the better the pressure drop performance of the magnetorheological valve. Second, when MRF flows in a small gap, it is forced to change the flow direction at the shoulder of the shaft, which will consume part of the energy. Therefore, the performance of the annular multi-channel MR valve far exceeds the pressure drop performance of the ordinary MR valve.
(3)
Experimental results show that the pressure drop performance curves of the annular multi-channel MR valve coincide under different loads, so the load has little influence on the pressure drop performance of the annular multi-channel MR valve. Compared with the common type, the pressure drop performance of the annular multi-channel MR valve is improved 2–3.7 times, which is basically consistent with the simulation results.

Author Contributions

Conceptualization, X.Y. and R.Z.; methodology, Y.C.; software, Y.C.; validation, R.Z. and Y.L.; formal analysis, R.Z.; investigation, Y.L.; resources, X.Y.; data curation, R.Z.; writing—original draft preparation, Y.C.; writing—review and editing, Y.C. and X.Y.; visualization, Y.C. All authors have read and agreed to the published version of the manuscript.

Funding

The research was funded by the National Nature Science Foundation of China Grant No.51905114. The Science and Technology Project of Guangxi Province (Grant No. 2020GXNSFAA159042).

Institutional Review Board Statement

Not applicable.

Informed Consent Statement

Not applicable.

Conflicts of Interest

The authors declare no conflict of interest.

References

  1. Idris, M.H.; Imaduddin, F.; Mazlan, S.A.; Choi, S.B. A concentric design of a bypass magnetorheological fluid damper with a serpentine flux valve. Actuators 2020, 9, 16. [Google Scholar] [CrossRef] [Green Version]
  2. Chen, P.; Qian, L.J.; Bai, X.X.; Choi, S.B. Velocity-dependent characteristics of magnetorheological fluids in squeeze mode considering the hydrodynamic and the magnetic field interactions. J. Rheol. 2017, 61, 455–465. [Google Scholar] [CrossRef]
  3. Ruan, X.H.; Wang, Y.; Xuan, S.H.; Gong, X. Magnetic field dependent electric conductivity of the magnetorheological fluids: The influence of oscillatory shear. Smart Mater. Struct. 2017, 26, 35067. [Google Scholar] [CrossRef]
  4. Versaci, M.; Cutrupi, A.; Palumbo, A. A Magneto-Thermo-Static Study of a Magneto-Rheological Fluid Damper: A Finite Element Analysis. IEEE Trans. Magn. 2020, 57, 1–10. [Google Scholar] [CrossRef]
  5. Nguyen, Q.H.; Choi, S.B.; Lee, Y.S.; Han, M.S. Optimal design of high damping force engine mount featuring MR valve structure with both annular and radial flow paths. Smart Mater. Struct. 2013, 22, 5024. [Google Scholar] [CrossRef]
  6. Abd Fatah, A.Y.; Mazlan, S.A.; Koga, T.; Zamzuri, H. Increasing Effective Region in Magnetorheological Valve using Serpentine Flux Path Method. In Proceedings of the 2013 World Congress on Advances in Structural Engineering and Mechanics, Jeju, Korea, 8–12 September 2013; pp. 2916–2929. [Google Scholar]
  7. Hu, G.; Liao, M.; Li, W. Analysis of a compact annular-radial-orifice flow magnetorheological valve and evaluation of its performance. J. Intell. Mater. Syst. Struct. 2017, 28, 1321333. [Google Scholar] [CrossRef] [Green Version]
  8. Abd Fatah, A.Y.; Mazlan, S.A.; Koga, T.; Zamzuri, H.; Zeinali, M.; Imaduddin, F. A review of design and modeling of magnetorheological valve. Int. J. Mod. Phys. B 2015, 29, 1530004. [Google Scholar] [CrossRef] [Green Version]
  9. Hai, X.; Wang, D.H.; Liao, W.H. Design and modeling of a magnetorheological valve with both annular and radial flow. J. Intell. Mater. Syst. Struct. 2006, 17, 327–334. [Google Scholar] [CrossRef]
  10. Imaduddin, F.; Mazlan, S.A.; Rahman, M.A.A.; Zamzuri, H.; Ichwan, B. A high performance magnetorheological valve with a meandering flow path. Smart Mater. Struct. 2014, 23, 065017. [Google Scholar] [CrossRef]
  11. Imaduddin, F.; Mazlan, S.A.; Zamzuri, H.; Yazid II, M. Design and performance analysis of a compact magnetorheological valve with multiple annular and radial gaps. J. Intell. Mater. Syst. Struct. 2015, 26, 1038–1049. [Google Scholar] [CrossRef]
  12. Hu, G.; Zhou, F.; Yu, L. Optimal Design and Performance Analysis of Radial MR Valve with Single Excitation Coil. Actuators 2021, 10, 34. [Google Scholar] [CrossRef]
  13. Hu, G.; Zhang, J.; Zhong, F.; Yu, L. Performance evaluation of an improved radial magnetorheological valve and its application in the valve controlled cylinder system. Smart Mater. Struct. 2019, 28, 047003. [Google Scholar] [CrossRef]
  14. Sahin, H. Theoretical and Experimental Studies of Magnetorheological (MR) Fluids and MR Greases/Gels from Rheology to System Application. Ph.D. Thesis, University of Nevada, Reno, NV, USA, 2008. [Google Scholar]
  15. Sahin, H.; Gordaninejad, F.; Wang, X.; Liu, Y. Response time of magnetorheological fluids and magnetorheological valves under various flow conditions. J. Intell. Mater. Syst. Struct. 2012, 23, 949–957. [Google Scholar] [CrossRef]
  16. Hu, G.L.; Zhang, J.W.; Liao, M.K.; Ding, R.Q. The effect of radial resistance gap on the pressure drop of a compact annular-radial-orifice flow magnetorheological valve. J. Beijing Inst. Technol. 2018, 27, 535–546. [Google Scholar]
Figure 1. Structure of annular multi-channel MR valve.
Figure 1. Structure of annular multi-channel MR valve.
Actuators 11 00019 g001
Figure 2. B–H curve of MRF-J25T.
Figure 2. B–H curve of MRF-J25T.
Actuators 11 00019 g002
Figure 3. B–H curve of 45# steel.
Figure 3. B–H curve of 45# steel.
Actuators 11 00019 g003
Figure 4. Magnetic circuit of annular multi-channel MR valve: (a) magnetic circuit diagram and (b) equivalent magnetic circuit diagram.
Figure 4. Magnetic circuit of annular multi-channel MR valve: (a) magnetic circuit diagram and (b) equivalent magnetic circuit diagram.
Actuators 11 00019 g004
Figure 5. Division of damping channels and flow direction diagram of annular multi-channel MR valve.
Figure 5. Division of damping channels and flow direction diagram of annular multi-channel MR valve.
Actuators 11 00019 g005
Figure 6. (a) simulation model diagram of the annular multi-channel MR valve; (b) shows the magnetic field line distribution of the annular multi-channel MR valve.
Figure 6. (a) simulation model diagram of the annular multi-channel MR valve; (b) shows the magnetic field line distribution of the annular multi-channel MR valve.
Actuators 11 00019 g006
Figure 7. Meshing diagram of annular multi-channel MR valve.
Figure 7. Meshing diagram of annular multi-channel MR valve.
Actuators 11 00019 g007
Figure 8. (a) Influence of current size on magnetic flux density of the valve; (b) influence of current size on valve pressure drop performance.
Figure 8. (a) Influence of current size on magnetic flux density of the valve; (b) influence of current size on valve pressure drop performance.
Actuators 11 00019 g008
Figure 9. (a) Influence of damping clearance on magnetic flux density of annular multi-channel type; (b) influence of damping clearance on annular multi-channel pressure drop performance.
Figure 9. (a) Influence of damping clearance on magnetic flux density of annular multi-channel type; (b) influence of damping clearance on annular multi-channel pressure drop performance.
Actuators 11 00019 g009
Figure 10. (a) Influence of coil turns on magnetic flux density of valve; (b) influence of coil turns on valve pressure drop performance.
Figure 10. (a) Influence of coil turns on magnetic flux density of valve; (b) influence of coil turns on valve pressure drop performance.
Actuators 11 00019 g010
Figure 11. (a) Schematic diagram of the experimental system; (b) test rig picture; (c) three-dimensional assembly drawing of annular multi-channel MR valve.
Figure 11. (a) Schematic diagram of the experimental system; (b) test rig picture; (c) three-dimensional assembly drawing of annular multi-channel MR valve.
Actuators 11 00019 g011
Figure 12. (a) Pressure variation diagram of load 1. (b) Pressure change diagram of load 2. (c) Pressure change diagram of load 3. (d) Influence of different loads on the performance of annular multi-channel MR valve.
Figure 12. (a) Pressure variation diagram of load 1. (b) Pressure change diagram of load 2. (c) Pressure change diagram of load 3. (d) Influence of different loads on the performance of annular multi-channel MR valve.
Actuators 11 00019 g012aActuators 11 00019 g012b
Figure 13. Comparison of pressure drop between annular multi-channel MR valve and ordinary MR valve.
Figure 13. Comparison of pressure drop between annular multi-channel MR valve and ordinary MR valve.
Actuators 11 00019 g013
Figure 14. Comparison between experimental results and simulation results of annular multi-channel MR valve.
Figure 14. Comparison between experimental results and simulation results of annular multi-channel MR valve.
Actuators 11 00019 g014
Table 1. Related characteristic parameters of MRF-J25T magnetorheological fluid.
Table 1. Related characteristic parameters of MRF-J25T magnetorheological fluid.
ProjectParameter
density2.65 g/cm3
Zero field viscosity (r = 10/s, 20 °C)0.8 Pa s
Shear stress (5000 Gs)50 kPa
temperature range−40~130 °C
Magnetization performance (Ms)365.29 KA/m
Table 2. Dimension parameters of annular multi-channel MR valve parameter.
Table 2. Dimension parameters of annular multi-channel MR valve parameter.
Numerical Value
(mm)
Parameter
Numerical Value
(mm)
The damping clearance (r1)1Magnetic disk 11 width (h2)10
The thickness of the valve core (r2)10Left magnetic block 14 width (h3)24
Magnetic block thickness (r3)19Middle magnetic block 12 width (h4)48
The thickness of the shell (r4)8Left coil holder 4 width (h5)15
Height of the coil (w)12Middle coil stand 4 width (h6)30
The width of the coil (t)30The shell width (h7)120
The width of the valve core (h1)108The end cover width (h8)20
Table 3. Resistance value of each part of valve body.
Table 3. Resistance value of each part of valve body.
Magnetic ResistanceValue
(H/mm)
Magnetic ResistanceValue
(H/mm)
ra120.65 r d 2 21.52
r b 1 3.34 r b 4 2.36
r c 1 91.78 r c 3 91.78
r b 2 2.36 r b 3 3.34
r c 2 175.93 r a 2 20.65
r b 6 4.72 r c 4 37.28
r c 7 183.56 r b 5 12.75
r b 7 6.68 r c 5 45.89
r c 6 351.86 r d 1 21.52
r d 2 21.52 r e 315.58
r f 546.82 r g 162.44
r 654.06
Publisher’s Note: MDPI stays neutral with regard to jurisdictional claims in published maps and institutional affiliations.

Share and Cite

MDPI and ACS Style

Yang, X.; Chen, Y.; Liu, Y.; Zhang, R. Modeling and Experiments of an Annular Multi-Channel Magnetorheological Valve. Actuators 2022, 11, 19. https://doi.org/10.3390/act11010019

AMA Style

Yang X, Chen Y, Liu Y, Zhang R. Modeling and Experiments of an Annular Multi-Channel Magnetorheological Valve. Actuators. 2022; 11(1):19. https://doi.org/10.3390/act11010019

Chicago/Turabian Style

Yang, Xiaolong, Yingjie Chen, Yuting Liu, and Ruibo Zhang. 2022. "Modeling and Experiments of an Annular Multi-Channel Magnetorheological Valve" Actuators 11, no. 1: 19. https://doi.org/10.3390/act11010019

APA Style

Yang, X., Chen, Y., Liu, Y., & Zhang, R. (2022). Modeling and Experiments of an Annular Multi-Channel Magnetorheological Valve. Actuators, 11(1), 19. https://doi.org/10.3390/act11010019

Note that from the first issue of 2016, this journal uses article numbers instead of page numbers. See further details here.

Article Metrics

Back to TopTop