Sensing, Actuation, and Control of the SmartX Prototype Morphing Wing in the Wind Tunnel
Abstract
1. Introduction
2. Theory
2.1. Shape Assessment Logic
2.1.1. FBG Spectral Sensing
2.1.2. FBG Pair Interferometric Sensing
2.1.3. Multi-Modal Sensing Principle
2.2. Morphing Control Logic
2.2.1. Incremental Control Theory
2.2.2. Control Allocation with Virtual Shape Functions
2.2.3. Maneuver Load Alleviation
3. Experimental Setup
3.1. Actuator Design
3.2. Sensor Layout Design
4. Measurements
4.1. Calibration
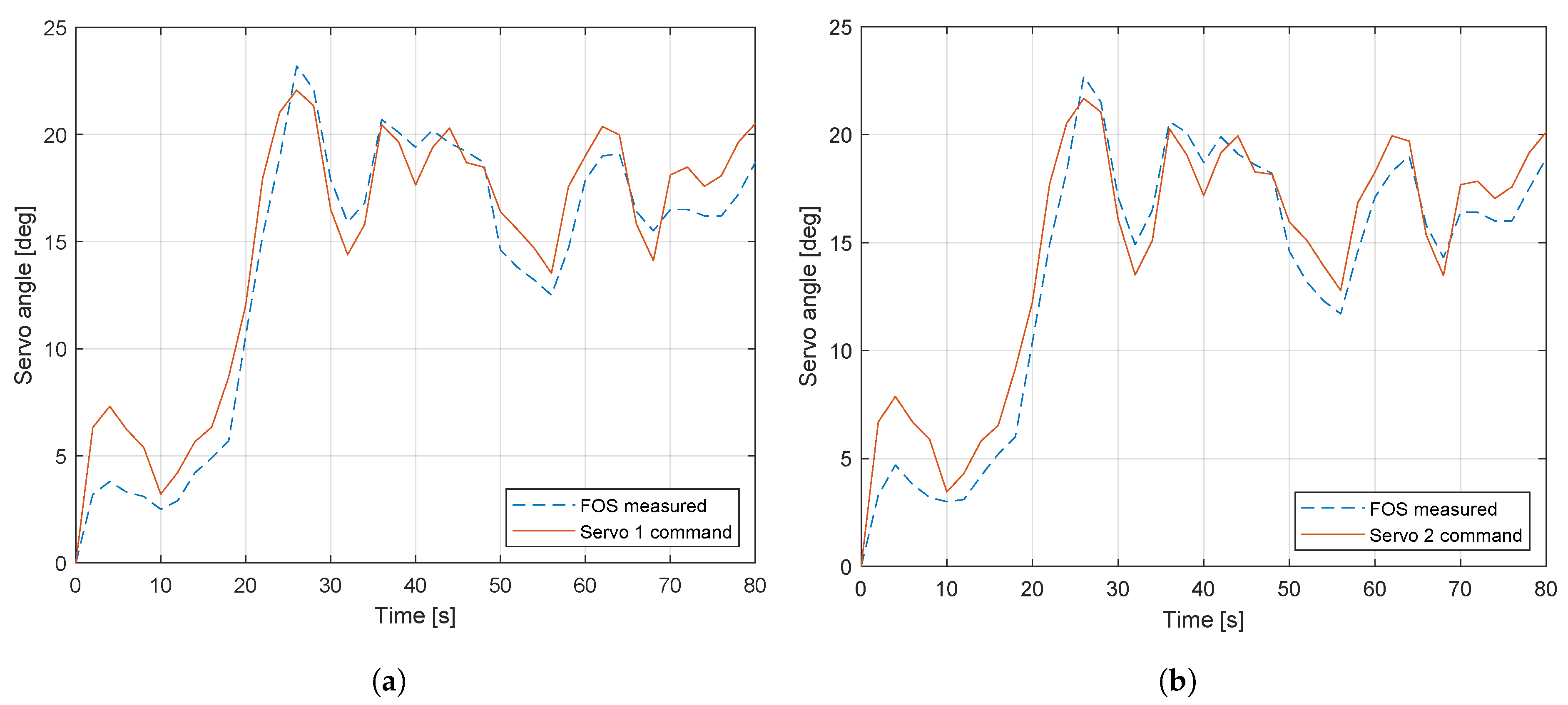
4.2. Camber Morphing—Wind Tunnel Test
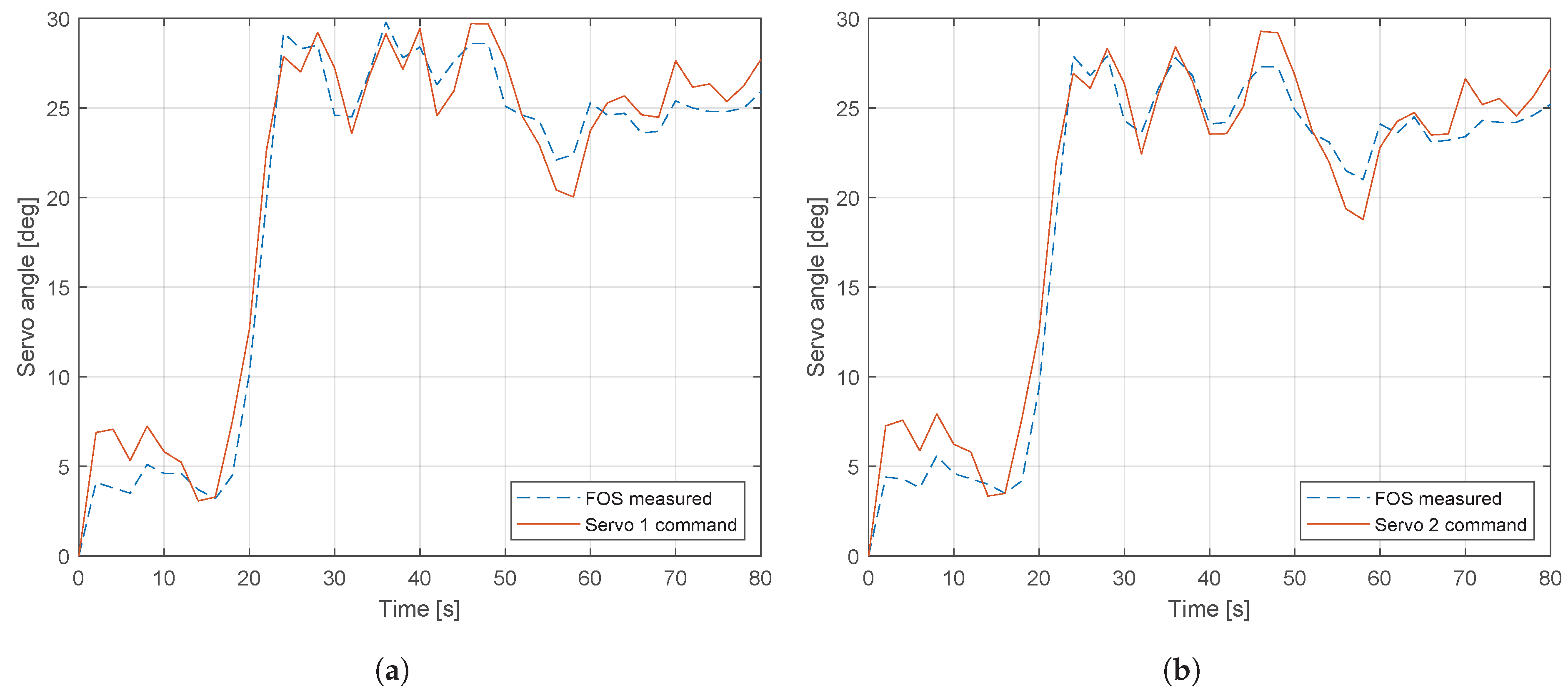
4.3. Maneuver Load Alleviation (MLA)
5. Results
6. Discussions
7. Conclusions
Author Contributions
Funding
Institutional Review Board Statement
Informed Consent Statement
Data Availability Statement
Acknowledgments
Conflicts of Interest
References
- Boller, C. Structural Health Monitoring—An Introduction and Definitions; Wiley: New York, NY, USA, 2009. [Google Scholar]
- Worden, K.; Dulieu-Barton, J. An Overview of Intelligent Fault Detection in Systems and Structures. Struct. Health Monit. 2004, 3, 85–98. [Google Scholar] [CrossRef]
- Giurgiutiu, V. Structural Health Monitoring of Aerospace Composites; Academic Press: New York, NY, USA, 2015. [Google Scholar]
- Groves, R.M. Inspection and Monitoring of Composite Aircraft Structures. In Reference Module in Materials Science and Materials Engineering; Elsevier: Oxford, UK, 2017. [Google Scholar] [CrossRef]
- Goossens, S.; De Pauw, B.; Geernaert, T.; Salmanpour, M.S.; Sharif Khodaei, Z.; Karachalios, E.; Saenz-Castillo, D.; Thienpont, H.; Berghmans, F. Aerospace-grade surface mounted optical fibre strain sensor for structural health monitoring on composite structures evaluated against in-flight conditions. Smart Mater. Struct. 2019, 28, 065008. [Google Scholar] [CrossRef]
- Iele, A.; Leone, M.; Consales, M.; Persiano, G.; Brindisi, A.; Ameduri, S.; Concilio, A.; Ciminello, M.; Apicella, A.; Bocchetto, F.; et al. Load monitoring of aircraft landing gears using fiber optic sensors. Sens. Actuators A Phys. 2018, 281, 31–41. [Google Scholar] [CrossRef]
- Cooperman, A.; Martinez, M. Load monitoring for active control of wind turbines. Renew. Sustain. Energy Rev. 2014, 41, 189–201. [Google Scholar] [CrossRef]
- Feng, X.; Han, Y.; Wang, Z.; Liu, H. Structural performance monitoring of buried pipelines using distributed fiber optic sensors. J. Civ. Struct. Health Monit. 2018, 8, 509–516. [Google Scholar] [CrossRef]
- Li, H.N.; Ren, L.; Jia, Z.G.; Yi, T.H.; Li, D.S. State-of-the-art in structural health monitoring of large and complex civil infrastructures. J. Civ. Struct. Health Monit. 2016, 6, 3–16. [Google Scholar] [CrossRef]
- De Breuker, R.; Abdalla, M.M.; Gürdal, Z. A Generic Morphing Wing Analysis and Design Framework. J. Intell. Mater. Syst. Struct. 2011, 22, 1025–1039. [Google Scholar] [CrossRef]
- Boller, C. Structural Health Monitoring—Its Association and Use. In New Trends in Structural Health Monitoring; Ostachowicz, W., Güemes, J.A., Eds.; Springer: Vienna, Austria, 2013; pp. 1–79. [Google Scholar]
- Li, D.; Zhao, S.; Da Ronch, A.; Xiang, J.; Drofelnik, J.; Li, Y.; Zhang, L.; Wu, Y.; Kintscher, M.; Monner, H.P.; et al. A review of modelling and analysis of morphing wings. Prog. Aerosp. Sci. 2018, 100, 46–62. [Google Scholar] [CrossRef]
- Mkhoyan, T.; Thakrar, R.N.; De Breuker, R.; Sodja, J. Design of a Smart Morphing Wing Using Integrated and Distributed Trailing-Edge Camber Morphing. In Proceedings of the ASME 2020 Conference on Smart Materials, Adaptive Structures and Intelligent Systems, Online, 15 September 2020. [Google Scholar]
- Virgilio Pereira, M.D.; Kolmanovsky, I.; Cesnik, C.E.; Vetrano, F. Model Predictive Control Architectures for Maneuver Load Alleviation in Very Flexible Aircraft. In AIAA Scitech 2019 Forum; Number January; American Institute of Aeronautics and Astronautics: San Diego, CA, USA, 2019. [Google Scholar] [CrossRef]
- Ferrier, Y.; Nguyen, N.T.; Ting, E.; Chaparro, D.; Wang, X.; de Visser, C.C.; Chu, Q.P. Active Gust Load Alleviation of High-Aspect Ratio Flexible Wing Aircraft. In Proceedings of the 2018 AIAA Guidance, Navigation, and Control Conference, Kissimmee, FL, USA, 8–12 January 2018; American Institute of Aeronautics and Astronautics: Kissimmee, FL, USA, 2018; pp. 1–36. [Google Scholar] [CrossRef]
- de Freitas Virgilio Pereira, M.; Kolmanovsky, I.; Cesnik, C.E.S.; Vetrano, F. Model Predictive Control for Maneuver Load Alleviation in Flexible Airliners. In Proceedings of the International Forum on Aeroelasticity and Structural Dynamics (IFASD 2019), Savannah, GA, USA, 9–13 June 2019; Volume 16, pp. 420–432. [Google Scholar]
- Bi, Y.; Xie, C.; An, C.; Yang, C. Gust load alleviation wind tunnel tests of a large-aspect-ratio flexible wing with piezoelectric control. Chin. J. Aeronaut. 2016. [Google Scholar] [CrossRef]
- Rugh, W.J. Analytical framework for gain scheduling. IEEE Control Syst. Mag. 1991, 11, 79–84. [Google Scholar] [CrossRef]
- Wang, X.; van Kampen, E.; Chu, Q.; Lu, P. Stability Analysis for Incremental Nonlinear Dynamic Inversion Control. J. Guid. Control Dyn. 2019, 42, 1116–1129. [Google Scholar] [CrossRef]
- Wang, X.; van Kampen, E.; Chu, Q.P.; De Breuker, R. Flexible Aircraft Gust Load Alleviation with Incremental Nonlinear Dynamic Inversion. J. Guid. Control Dyn. 2019, 42, 1519–1536. [Google Scholar] [CrossRef]
- Ma, Z.; Chen, X. Fiber Bragg Gratings Sensors for Aircraft Wing Shape Measurement: Recent Applications and Technical Analysis. Sensors 2018, 19, 55. [Google Scholar] [CrossRef]
- Udd, E.; Spillman, W. Fiber Optic Sensors: An Introduction for Engineers and Scientists, 2nd ed.; Wiley: New York, NY, USA, 2011. [Google Scholar]
- Ramakrishnan, M.; Rajan, G.; Semenova, Y.; Farrell, G. Overview of Fiber Optic Sensor Technologies for Strain/Temperature Sensing Applications in Composite Materials. Sensors 2016, 16, 99. [Google Scholar] [CrossRef]
- Floris, I.; Adam, J.M.; Calderón, P.A.; Sales, S. Fiber Optic Shape Sensors: A comprehensive review. Opt. Lasers Eng. 2021, 139, 106508. [Google Scholar] [CrossRef]
- Wada, D.; Igawa, H.; Tamayama, M.; Kasai, T.; Arizono, H.; Murayama, H. Flight demonstration of aircraft wing monitoring using optical fiber distributed sensing system. Smart Mater. Struct. 2019, 28. [Google Scholar] [CrossRef]
- Li, H.; Zhu, L.; Sun, G.; Dong, M.; Qiao, J. Deflection monitoring of thin-walled wing spar subjected to bending load using multi-element FBG sensors. Optik 2018, 164, 691–700. [Google Scholar] [CrossRef]
- Mizutani, Y.; Groves, R.M. Multi-Functional Measurement Using a Single FBG Sensor. Exp. Mech. 2011, 51, 1489–1498. [Google Scholar] [CrossRef]
- Nicolas, M.J.; Sullivan, R.W.; Richards, W.L. Large Scale Applications Using FBG Sensors: Determination of In-Flight Loads and Shape of a Composite Aircraft Wing. Aerospace 2016, 3, 18. [Google Scholar] [CrossRef]
- Gander, M.; Macpherson, W.; Mcbride, R.; Jones, J.; Zhang, L.; Bennion, I.; Blanchard, P.; Burnett, J.; Greenaway, A. Bend measurement using Bragg gratings in multicore fibre. Electron. Lett. 2000, 36, 120–121. [Google Scholar] [CrossRef]
- Flockhart, G.M.H.; MacPherson, W.N.; Barton, J.S.; Jones, J.D.C.; Zhang, L.; Bennion, I. Two-axis bend measurement with Bragg gratings in multicore optical fiber. Opt. Lett. 2003, 28, 387–389. [Google Scholar] [CrossRef]
- Westbrook, P.S.; Kremp, T.; Feder, K.S.; Ko, W.; Monberg, E.M.; Wu, H.; Simoff, D.A.; Taunay, T.F.; Ortiz, R.M. Continuous Multicore Optical Fiber Grating Arrays for Distributed Sensing Applications. J. Light. Technol. 2017, 35, 1248–1252. [Google Scholar] [CrossRef]
- Jutte, C.V.; Ko, W.L.; Stephens, C.A.; Bakalyar, J.A.; Richards, W.L.; Parker, A.R. Deformed Shape Calculation of a Full-Scale Wing Using Fiber Optic Strain Data from a Ground Loads Test; NASA Technical Reports Server, NASA/TP—2011—215975; NASA: Greenbelt, MD, USA, 2011.
- Nazeer, N.; Groves, R.M. Load Monitoring of a Cantilever Plate by a Novel Multi-modal Fibre Optic Sensing Configuration. SN Appl. Sci. 2021, in press. [Google Scholar] [CrossRef]
- Kashyap, R. Chapter Innovation and Intellectual Property Rights. In Fabrication of Bragg Gratings; Academic Press: Boston, UK, 2010; Chapter 3; pp. 53–118. [Google Scholar]
- Hill, K.O.; Meltz, G. Fiber Bragg grating technology fundamentals and overview. J. Light. Technol. 1997, 15, 1263–1276. [Google Scholar] [CrossRef]
- Kersey, A.D.; Davis, M.A.; Patrick, H.J.; LeBlanc, M.; Koo, K.P.; Askins, C.G.; Putnam, M.A.; Friebele, E.J. Fiber grating sensors. J. Light. Technol. 1997, 15, 1442–1463. [Google Scholar] [CrossRef]
- James, S.; Tatam, R. Optical fibre long-period grating sensors: Characteristics and application. Meas. Sci. Technol. 2003, 14, 49–61. [Google Scholar] [CrossRef]
- Kersey, A.D. A Review of Recent Developments in Fiber Optic Sensor Technology. Opt. Fiber Technol. 1996, 2, 291–317. [Google Scholar] [CrossRef]
- Gruca, G.; Rijnveld, N. Optical Fiber-Based Sensor System. GB Patent Application No. 3335014, 20 June 2018. [Google Scholar]
- Nazeer, N.; Groves, R.M.; Benedictus, R. Simultaneous Position and Displacement Sensing Using Two Fibre Bragg Grating Sensors. In Proceedings of the SPIE Smart Structures + Nondestructive Evaluation, Denver, CO, USA, 3–7 March 2019. [Google Scholar] [CrossRef]
- Wang, X.; Mkhoyan, T.; Mkhoyan, I.; De Breuker, R. Seamless Active Morphing Wing Simultaneous Gust and Maneuver Load Alleviations. arXiv 2020, arXiv:2012.14520. [Google Scholar]
- Isidori, A. Nonlinear Control Systems, 3rd ed.; Springer: Berlin, Germany, 1995; pp. 257–291. [Google Scholar]
- Khalil, H.K. Nonlinear Systems; Prentice-Hall: Upper Saddle River, NJ, USA, 2002. [Google Scholar]
- Werter, N.; Sodja, J.; Spirlet, G.; De Breuker, R. Design and Experiments of a Warp Induced Camber and Twist Morphing Leading and Trailing Edge Device. In Proceedings of the 24th AIAA/AHS Adaptive Structures Conference, San Diego, CA, USA, 4–8 January 2016. [Google Scholar]
- Nazeer, N.; Groves, R.M. Shape Sensing of a Morphing Trailing Edge Section Using Four Fibre Bragg Grating Sensor Pairs. 2021; Manuscript submitted for publication. [Google Scholar]

















| Property | S1 | S2 | S3 | S4 |
|---|---|---|---|---|
| Wavelength (nm) | 1530.007 | 1540.016 | 1550.104 | 1559.992 |
| Bandwidth (nm) | 0.875 | 0.852 | 0.892 | 0.954 |
| Reflectivity (%) | 86.29 | 84.61 | 84.15 | 89.11 |
Publisher’s Note: MDPI stays neutral with regard to jurisdictional claims in published maps and institutional affiliations. |
© 2021 by the authors. Licensee MDPI, Basel, Switzerland. This article is an open access article distributed under the terms and conditions of the Creative Commons Attribution (CC BY) license (https://creativecommons.org/licenses/by/4.0/).
Share and Cite
Nazeer, N.; Wang, X.; Groves, R.M. Sensing, Actuation, and Control of the SmartX Prototype Morphing Wing in the Wind Tunnel. Actuators 2021, 10, 107. https://doi.org/10.3390/act10060107
Nazeer N, Wang X, Groves RM. Sensing, Actuation, and Control of the SmartX Prototype Morphing Wing in the Wind Tunnel. Actuators. 2021; 10(6):107. https://doi.org/10.3390/act10060107
Chicago/Turabian StyleNazeer, Nakash, Xuerui Wang, and Roger M. Groves. 2021. "Sensing, Actuation, and Control of the SmartX Prototype Morphing Wing in the Wind Tunnel" Actuators 10, no. 6: 107. https://doi.org/10.3390/act10060107
APA StyleNazeer, N., Wang, X., & Groves, R. M. (2021). Sensing, Actuation, and Control of the SmartX Prototype Morphing Wing in the Wind Tunnel. Actuators, 10(6), 107. https://doi.org/10.3390/act10060107

