Vector Competence of Aedes aegypti, Aedes albopictus and Culex quinquefasciatus from Brazil and New Caledonia for Three Zika Virus Lineages
Abstract
:1. Introduction
2. Results
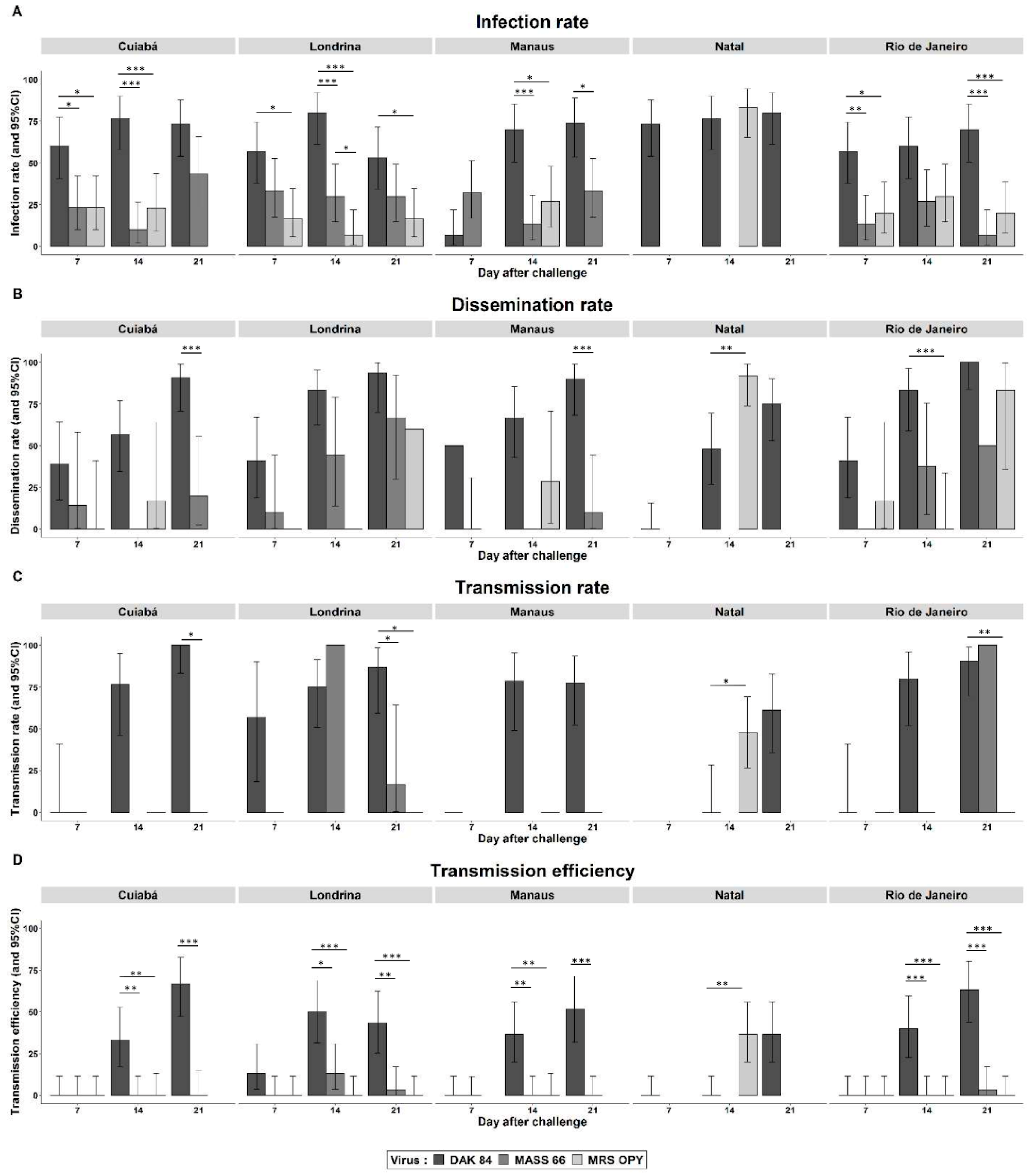
2.1. Aedes aegypti from All Brazilian Regions Can Experimentally Transmit ZIKV Isolated from Africa, Asia and America, but with Different Competence
2.2. Two Populations of Aedes aegypti from New Caledonia Can Experimentally Transmit ZIKV Isolated from Africa, Asia and America, but with Different Competence
2.3. Aedes aegypti from Brazil and New Caledonia Have Similar Transmission Efficiency for ZIKV of the American Lineage, but Differ Regarding the African and Asian Lineages at Some Incubation Periods
2.4. Brazilian Ae. albopictus Poorly Transmits ZIKV Isolates of the Asian Genotype Compared to the African One
2.5. Brazilian Ae. aegypti Are Superior in Vector Competence to All Tested ZIKV Compared to Sympatric Ae. albopictus
2.6. Culex quinquefasciatus from New Caledonia Is Refractory to ZIKV
3. Discussion
4. Materials and Methods
4.1. Ethic Statements
4.2. Viral Strains
4.3. Mosquito Populations
4.4. Oral Challenge
4.5. Infection, Dissemination and Transmission Analyses
4.6. Statistical Analyses
Supplementary Materials
Author Contributions
Funding
Acknowledgments
Conflicts of Interest
References
- Duffy, M.R.; Guillaumot, L.; Biggerstaff, B.J.; Hancock, W.T.; Lanciotti, R.S.; Holzbauer, S.; Lambert, A.J.; Chen, T.-H.; Bel, M.; Hayes, E.B.; et al. Zika virus outbreak on Yap Island, Federated States of Micronesia. N. Engl. J. Med. 2009, 360, 2536–2543. [Google Scholar] [CrossRef]
- Musso, D.; Gubler, D.J. Zika virus. Clin. Microbiol. Rev. 2016, 29, 487–524. [Google Scholar] [CrossRef] [Green Version]
- Cao-Lormeau, V.; Roche, C.; Teissier, A.; Robin, E.; Berry, A.; Mallet, H.; Sall, A.A.; Musso, D. Zika virus, French Polynesia, South Pacific, 2013. Emerg. Infect. Dis. 2014, 20, 1085–1086. [Google Scholar] [CrossRef]
- Cao-Lormeau, V.M.; Blake, A.; Mons, S.; Lastère, S.; Roche, C.; Vanhomwegen, J.; Dub, T.; Baudouin, L.; Teissier, A.; Larre, P.; et al. Guillain-Barré Syndrome outbreak associated with Zika virus infection in French Polynesia: A case-control study. Lancet 2016, 387, 1531–1539. [Google Scholar] [CrossRef] [Green Version]
- Aubry, M.; Teisser, A.; Huart, M.; Merceron, S.; Vanhomwegen, J.; Roche, C.; Vial, A.L.; Teururai, S.; Sicard, S.; Paulous, S.; et al. ZIKV seroprevalence French Polynesia 2014–2015. Emerg. Infect. Dis. 2017, 23, 669–672. [Google Scholar] [CrossRef] [Green Version]
- Dupont-Rouzeyrol, M.; O’Connor, O.; Calvez, E.; Daures, M.; John, M.; Grangeon, J.P.; Gourinat, A.C. Co-infection with Zika and dengue viruses in 2 patients, New Caledonia, 2014. Emerg. Infect. Dis. 2015, 21, 381–382. [Google Scholar] [CrossRef] [PubMed] [Green Version]
- Gourinat, A.C.; O’Connor, O.; Calvez, E.; Goarant, C.; Dupont-Rouzeyrol, M. Detection of Zika virus in urine. Emerg. Infect. Dis. 2015, 21, 84–86. [Google Scholar] [CrossRef] [PubMed]
- Calvez, E.; Mousson, L.; Vazeille, M.; O’Connor, O.; Cao-Lormeau, V.M.; Mathieu-Daudé, F.; Pocquet, N.; Failloux, A.B.; Dupont-Rouzeyrol, M. Zika virus outbreak in the Pacific: Vector competence of regional vectors. PLoS Negl. Trop. Dis. 2018, 12, 1–12. [Google Scholar] [CrossRef] [PubMed]
- Roth, A.; Mercier, A.; Lepers, C.; Hoy, D.; Duituturaga, S.; Benyon, E.; Guillaumot, L.; Souarès, Y. Concurrent outbreaks of dengue, chikungunya and Zika virus infections—An unprecedented epidemic wave of mosquito-borne viruses in the Pacific 2012–2014. Eurosurveillance 2014, 19, 1–8. [Google Scholar] [CrossRef] [Green Version]
- Possas, C.; Brasil, P.; Marzochi, M.C.; Tanuri, A.; Martins, R.M.; Marques, E.T.; Bonaldo, M.C.; Ferreira, A.G.; Lourenço-de-Oliveira, R.; Nogueira, R.M.R.; et al. Zika puzzle in Brazil: Peculiar conditions of viral introduction and dissemination—A review. Mem. Inst. Oswaldo Cruz 2017, 112, 319–327. [Google Scholar] [CrossRef] [PubMed] [Green Version]
- MS—Ministério da Saúde/Secretaria de Vigilância em Saúde. Boletim Epidemiológico 47: Situação epidemiológica da Infecção Pelo Vírus Zika no Brasil, de 2015 a 2017. Available online: https://www.saude.gov.br/images/pdf/2018/novembro/12/2018-034.pdf (accessed on 11 June 2020).
- MS—Ministério da Saúde/Secretaria de Vigilância em Saúde. Boletim Epidemiológico—Até a Semana Epidemiológica 52. 2016. Available online: http://portalarquivos2.saude.gov.br/images/pdf/2017/abril/06/2017-002-Monitoramento-dos-casos-de-dengue--febre-de-chikungunya-e-febre-pelo-v--rus-Zika-ate-a-Semana-Epidemiologica-52--2016.pdf (accessed on 11 June 2020).
- MS—Ministério da Saúde/Secretaria de Vigilância em Saúde. Monitoramento dos Casos de Arboviroses Urbanas Transmitidas Pelo Aedes (Dengue, Chikungunya e Zika), Semanas Epidemiológicas 1 a 34. 2019. Available online: http://www.saude.gov.br/images/pdf/2019/setembro/11/BE-arbovirose-22.pdf (accessed on 3 May 2020).
- MS—Ministério da Saúde/Secretaria de Vigilância em Saúde. Monitoramento dos Casos de Arboviroses Urbanas Transmitidas Pelo Aedes (Dengue, Chikungunya e Zika), Semanas Epidemiológicas 01 a 52. 2019. Available online: https://portalarquivos2.saude.gov.br/images/pdf/2020/janeiro/20/Boletim-epidemiologico-SVS-02-1-.pdf (accessed on 3 May 2020).
- Coelho, A.V.; Crovella, S. Microcephaly prevalence in infants born to Zika virus-infectedwomen: A systematic review and meta-analysis. Int. J. Mol. Sci. 2017, 18, 1714. [Google Scholar] [CrossRef] [PubMed] [Green Version]
- Kuadkitkan, A.; Wikan, N.; Sornjai, W.; Smith, D.R. Zika virus and microcephaly in Southeast Asia: A cause for concern? J. Infect. Public Health 2020, 13, 11–15. [Google Scholar] [CrossRef] [PubMed]
- Brady, O.J.; Osgood-Zimmerman, A.; Kassebaum, N.J.; Ray, S.E.; De Araùjo, V.E.M.; Da Nóbrega, A.A.; Frutuoso, L.C.V.; Lecca, R.C.R.; Stevens, A.; De Oliveira, B.Z.; et al. The association between Zika virus infectionand microcephaly in Brazil 2015–2017: An observational analysis of over 4 million births. PLoS Med. 2019, 16, 1–21. [Google Scholar] [CrossRef] [PubMed]
- Keane, Í.; Dias, R.; Luciana, C.; Maria, R.; Martins, G.; Fernanda, K.; Santana, S.; Vieira, S.; Joventino, E.S.; Corina, M.; et al. Review Article Zika virus:—A review of the main aspects of this type of arbovirosis. Rev. Soc. Bras. Med. Trop. 2018, 51, 261–269. [Google Scholar] [CrossRef] [Green Version]
- Petersen, L.R.; Jamieson, D.J.; Powers, A.M.; Honein, M.A. Zika virus. N. En gl. J. Med. 2016, 374, 1552–1563. [Google Scholar] [CrossRef]
- Gutiérrez-Bugallo, G.; Piedra, L.A.; Rodriguez, M.; Bisset, J.A.; Lourenço-de-Oliveira, R.; Weaver, S.C.; Vasilakis, N.; Vega-Rúa, A. Vector-borne transmission and evolution of Zika virus. Nat. Ecol. Evol. 2019, 3, 561–569. [Google Scholar] [CrossRef] [Green Version]
- Ferreira-de-Brito, A.; Ribeiro, I.P.; De Miranda, R.M.; Fernandes, R.S.; Campos, S.S.; Antunes, K.; Da Silva, B.; De Castro, M.G.; Bonaldo, M.C.; Brasil, P.; et al. First detection of natural infection of Aedes aegypti with Zika virus in Brazil and throughout South America. Mem. Inst. Oswaldo Cruz 2016, 11, 655–658. [Google Scholar] [CrossRef] [Green Version]
- Weaver, S.C.; Costa, F.; Garcia-Blanco, M.A.; Ko, A.I.; Ribeiro, G.S.; Saade, G.; Shi, P.Y.; Vasilakis, N. Zika virus: History, emergence, biology, and prospects for control. Antivir. Res. 2016, 130, 69–80. [Google Scholar] [CrossRef]
- Epelboin, Y.; Talaga, S.; Epelboin, L.; Dusfour, I. Zika virus: An updated review of competent or naturally infected mosquitoes. PLoS Negl. Trop. Dis. 2017, 11, 1–22. [Google Scholar] [CrossRef] [Green Version]
- Grard, G.; Caron, M.; Mombo, M.; Nkoghe, D.; Ondo, S.M.; Jiolle, D.; Fontenille, D.; Paupy, C.; Leroy, E.M. Zika virus in Gabon (Central Africa )–2007: A new threat from Aedes albopictus? PLoS Negl. Trop. Dis. 2014, 8, 1–6. [Google Scholar] [CrossRef] [Green Version]
- Pereira-dos-Santos, T.; Roiz, D.; Lourenço-de-Oliveira, R.; Paupy, C. A systematic review: Is Aedes albopictus an efficient bridge vector for zoonotic arboviruses? Pathogens 2020, 9, 266. [Google Scholar] [CrossRef] [PubMed] [Green Version]
- Ayres, C.F.J.; Guedes, D.R.D.; Paiva, M.H.S.; Morais-Sobral, M.C.; Krokovsky, L.; Machado, L.C.; Melo-Santos, M.A.V.; Crespo, M.; Oliveira, C.M.F.; Ribeiro, R.S.; et al. Zika virus detection, isolation and genome sequencing through Culicidae sampling during the epidemic in Vitória, Espírito Santo, Brazil. Parasites Vectors 2019, 12, 1–9. [Google Scholar] [CrossRef] [PubMed] [Green Version]
- Moutailler, S.; Yousfi, L.; Mousson, L.; Devillers, E.; Vazeille, M.; Vega-Rúa, A.; Perrin, Y.; Jourdain, F.; Chandre, F.; Cannet, A.; et al. A new high-throughput tool to screen mosquito-borne viruses in Zika virus endemic/epidemic areas. Viruses 2019, 11, 904. [Google Scholar] [CrossRef] [Green Version]
- Fernandes, S.R.; Campos, S.S.; Ferreira-de-Brito, A.; Miranda, M.R.; Silva, A.B.K.; Gonçalves, C.M.; Raphael, L.M.; Brasil, P.; Failloux, A.; Bonaldo, M.C.; et al. Culex quinquefasciatus from Rio de Janeiro is not competent to transmit the local Zika Virus. PLoS Negl. Trop. Dis. 2016, 10, 1–13. [Google Scholar] [CrossRef] [PubMed]
- Leal, W.S. Zika mosquito vectors: The jury is still out. F1000Research 2016, 5, 1–10. [Google Scholar] [CrossRef] [Green Version]
- Lourenço-de-Oliveira, R.; Failloux, A.B. Lessons learned on Zika virus vectors. PLoS Negl. Trop. Dis. 2017, 11, 15–17. [Google Scholar] [CrossRef] [Green Version]
- Roundy, C.M.; Azar, S.R.; Rossi, S.L.; Huang, J.H.; Leal, G.; Yun, R.; Fernandez-Salas, I.; Vitek, C.J.; Paploski, I.A.D.; Kitron, U.; et al. Variation in Aedes aegypti mosquito competence for Zika virus transmission. Emerg. Infect. Dis. 2017, 23, 625–632. [Google Scholar] [CrossRef]
- Musso, D.; Nilles, E.J.; Cao-Lormeau, V.M. Rapid spread of emerging Zika virus in the Pacific area. Clin. Microbiol. Infect. 2014, 20, 595–596. [Google Scholar] [CrossRef] [Green Version]
- Zanluca, C.; De Melo, V.C.A.; Mosimann, A.L.P.; Dos Santos, G.I.V.; dos Santos, C.N.D.; Luz, K. First report of autochthonous transmission of Zika virus in Brazil. Mem. Inst. Oswaldo Cruz 2015, 110, 569–572. [Google Scholar] [CrossRef]
- Bonaldo, M.C.; Ribeiro, I.P.; Lima, N.S.; Santos, A.A.C. Isolation of infective Zika virus from urine and saliva of patients in Brazil. PLoS Negl. Trop. Dis. 2016, 10, 1–17. [Google Scholar] [CrossRef] [Green Version]
- Chouin-carneiro, T.; Vega-rua, A.; Vazeille, M.; Yebakima, A. Differential susceptibilities of Aedes aegypti and Aedes albopictus from the Americas to Zika virus. PLoS Negl. Trop. Dis. 2016, 10, 1–11. [Google Scholar] [CrossRef] [PubMed]
- Pompon, J.; Morales-Vargas, R.; Manuel, M.; Tan, C.H.; Vial, T.; Tan, J.H.; Sessions, O.M.; Vasconcelos, P.D.C.; Ng, L.C.; Missé, D. A Zika virus from America is more efficiently transmitted than an Asian virus by Aedes aegypti mosquitoes from Asia. Sci. Rep. 2017, 7, 1–8. [Google Scholar] [CrossRef] [PubMed]
- Lambrechts, L. Quantitative genetics of Aedes aegypti vector competence for dengue viruses: Towards a new paradigm? Trends Parasitol. 2011, 27, 111–114. [Google Scholar] [CrossRef] [PubMed] [Green Version]
- Tabachnick, W.J. Nature, nurture and evolution of intra-species variation in mosquito arbovirus transmission competence. Int. J. Environ. Res. Public Health 2013, 10, 249–277. [Google Scholar] [CrossRef] [Green Version]
- Hery, L.; Boullis, A.; Delannay, C.; Vega-Rúa, A. Transmission potential of African, Asian and American Zika virus strains by Aedes aegypti and Culex quinquefasciatus from Guadeloupe (French West Indies). Emerg. Microbes Infect. 2019, 8, 699–706. [Google Scholar] [CrossRef] [PubMed] [Green Version]
- Weger-Lucarelli, J.; Ruckert, C.; Chotiwan, N.; Nguyen, C.; Weger-lucarelli, J.; Ru, C.; Luna, M.G.; Fauver, J.R.; Foy, B.D.; Perera, R.; et al. Vector competence of American Mosquitoes for three strains of Zika virus. PLoS Negl. Trop. Dis. 2016, 10, 1–16. [Google Scholar] [CrossRef] [Green Version]
- Smith, D.R.; Sprague, T.R.; Hollidge, B.S.; Valdez, S.M.; Padilla, S.L.; Bellanca, S.A.; Golden, J.W.; Coyne, S.R.; Kulesh, D.A.; Miller, L.J.; et al. African and Asian Zika virus isolates display phenotypic differences both in vitro and in vivo. Am. J. Trop. Med. Hyg. 2018, 98, 432–444. [Google Scholar] [CrossRef]
- Calvez, E.; O’Connor, O.; Pol, M.; Rousset, D.; Faye, O.; Richard, V.; Tarantola, A.; Dupont-Rouzeyrol, M. Differential transmission of Asian and African Zika virus lineages by Aedes aegypti from New Caledonia. Emerg. Microbes Infect. 2018, 7, 1–10. [Google Scholar] [CrossRef] [Green Version]
- Wilcox, B.A.; Gubler, D.J. Disease ecology and the global emergence of zoonotic pathogens. Environ. Health Prev. Med. 2005, 10, 263–272. [Google Scholar] [CrossRef]
- Tabachnick, W.J. Challenges in predicting climate and environmental effects on vector-borne disease episystems in a changing world. J. Exp. Biol. 2010, 213, 946–954. [Google Scholar] [CrossRef] [Green Version]
- Azar, S.R.; Roundy, C.M.; Rossi, S.L.; Huang, J.H.; Leal, G.; Yun, R.; Fernandez-Salas, I.; Vitek, C.J.; Paploski, I.A.D.; Stark, P.M.; et al. Differential vector competency of Aedes albopictus populations from the Americas for Zika virus. Am. J. Trop. Med. Hyg. 2017, 97, 330–339. [Google Scholar] [CrossRef] [PubMed]
- Di Luca, M.; Severini, F.; Toma, L.; Boccolini, D.; Romi, R.; Remoli, M.E.; Sabbatucci, M.; Rizzo, C.; Venturi, G.; Rezza, G.; et al. Experimental studies of susceptibility of Italian Aedes albopictus to Zika virus. Eurosurveillance 2016, 21. [Google Scholar] [CrossRef] [PubMed]
- Lozano-Fuentes, S.; Kenney, J.L.; Varnado, W.; Byrd, B.D.; Kristen, L.; Savage, H.M. Susceptibility and vectorial capacity of American Aedes albopictus and Aedes aegypti (Diptera: Culicidae) to American Zika virus strains. J. Med. Entomol. 2020, 56, 233–240. [Google Scholar] [CrossRef] [Green Version]
- Ciota, A.T.; Bialosuknia, S.M.; Zink, S.D.; Brecher, M.; Ehrbar, D.J.; Morrissette, M.N.; Kramer, L.D. Effects of Zika virus strain and Aedes mosquito species on vector competence. Emerg. Infect. Dis. 2017, 23, 1110–1117. [Google Scholar] [CrossRef] [PubMed] [Green Version]
- Musso, D. Zika virus transmission from French Polynesia to Brazil. Emerg. Infect. Dis. 2015, 21, 1887–1889. [Google Scholar] [CrossRef] [PubMed]
- Musso, D.; Cao-Lormeau, V.M.; Gubler, D.J. Zika virus: Following the path of dengue and chikungunya? Lancet 2015, 386, 243–244. [Google Scholar] [CrossRef]
- Calvez, E.; Guillaumot, L.; Millet, L.; Marie, J.; Bossin, H.; Rama, V.; Faamoe, A.; Kilama, S.; Teurlai, M.; Mathieu-Daudé, F.; et al. Genetic diversity and phylogeny of Aedes aegypti, the main arbovirus vector in the Pacific. PLoS Negl. Trop. Dis. 2016, 10, 1–17. [Google Scholar] [CrossRef] [PubMed] [Green Version]
- Powell, J.R.; Tabachnick, W.J. History of domestication and spread of Aedes aegypti—A review. Mem. Inst. Oswaldo Cruz 2013, 108, 11–17. [Google Scholar] [CrossRef] [PubMed]
- Kotsakiozi, P.; Gloria-Soria, A.; Caccone, A.; Evans, B.; Schama, R.; Martins, A.J.; Powell, J.R. Tracking the return of Aedes aegypti to Brazil, the major vector of the dengue, chikungunya and Zika viruses. PLoS Negl. Trop. Dis. 2017, 11, 1–20. [Google Scholar] [CrossRef]
- Powell, J.R.; Gloria-Soria, A.; Kotsakiozi, P. Recent history of Aedes aegypti: Vector genomics and epidemiology records. Bioscience 2018, 68, 854–860. [Google Scholar] [CrossRef] [Green Version]
- Guillaumot, L. Arboviruses and their vectors in the Pacific—Status report. Pac. Health Dialog 2005, 12, 45–52. [Google Scholar] [PubMed]
- Alto, B.W. Lounibos Vector competence for arboviruses in relation to the larval environment of mosquitoes. Ecol. Parasite–Vector Interact. 2013, 3, 81–101. [Google Scholar] [CrossRef]
- Instituto Brasileiro de Geografia e Estatística/IBGE. Censo Demográfico 2010. Available online: https://www.ibge.gov.br/estatisticas/sociais/populacao/2098-np-censo-demografico/9662-censo-demografico-2010.html?=&t=sobre (accessed on 31 May 2020).
- Rivero, A.; Vézilier, J.; Weill, M.; Read, A.F.; Gandon, S. Insecticide control of vector-borne diseases: When is insecticide resistance a problem? PLoS Pathog. 2010, 6, 5–6. [Google Scholar] [CrossRef] [PubMed] [Green Version]
- Lima, J.B.P.; Da-Cunha, M.P.; Da Silva, R.C.; Galardo, A.K.R.; Da Silva Soares, S.D.; Braga, I.A.; Ramos, R.P.; Valle, D. Resistance of Aedes aegypti to organophosphates in several municipalities in the state of Rio de Janeiro and Espírito Santo, Brazil. Am. J. Trop. Med. Hyg. 2003, 68, 329–333. [Google Scholar] [CrossRef] [PubMed]
- Da-Cunha, M.P.; Lima, J.B.P.; Brogdon, W.G.; Moya, G.E.; Valle, D. Monitoring of resistance to the pyrethroid cypermethrin in Brazilian Aedes aegypti (Diptera Culicid) populations collected between 2001 and 2003. Mem. Inst. Oswaldo Cruz 2005, 100, 441–444. [Google Scholar] [CrossRef] [Green Version]
- Montella, I.R.; Martins, A.J.; Viana-Medeiros, P.F.; Lima, J.B.P.; Braga, I.A.; Valle, D. Insecticide resistance mechanisms of Brazilian Aedes aegypti populations from 2001 to 2004. Am. J. Trop. Med. Hyg. 2007, 77, 467–477. [Google Scholar] [CrossRef]
- Martins, A.J.; Lima, J.B.P.; Peixoto, A.A.; Valle, D. Frequency of Val1016Ile mutation in the voltage-gated sodium channel gene of Aedes aegypti Brazilian populations. Trop. Med. Int. Health 2009, 14, 1351–1355. [Google Scholar] [CrossRef]
- Bellinato, D.F.; Viana-Medeiros, P.F.; Araújo, S.C.; Martins, A.J.; Lima, J.B.P.; Valle, D. Resistance status to the insecticides temephos, deltamethrin, and diflubenzuron in Brazilian Aedes aegypti populations. Biomed Res. Int. 2016, 2016, 1–12. [Google Scholar] [CrossRef] [Green Version]
- Aguirre-Obando, O.A.; Martins, A.J.; Navarro-Silva, M.A. First report of the Phe1534Cys kdr mutation in natural populations of Aedes albopictus from Brazil. Parasites Vectors 2017, 10, 1–10. [Google Scholar] [CrossRef] [Green Version]
- Valle, D.; Bellinato, D.F.; Viana-Medeiros, P.F.; Lima, J.B.P.; Martins Junior, A.D.J. Resistance to temephos and deltamethrin in Aedes aegypti from Brazil between 1985 and 2017. Mem. Inst. Oswaldo Cruz 2019, 114, 1–17. [Google Scholar] [CrossRef]
- Salgueiro, P.; Restrepo-Zabaleta, J.; Costa, M.; Galardo, A.K.R.; Pinto, J.; Gaborit, P.; Guidez, A.; Martins, A.J.; Dusfour, I. Liaisons dangereuses: Cross-border gene flow and dispersal of insecticide resistance-associated genes in the mosquito Aedes aegypti from Brazil and French Guiana. Mem. Inst. Oswaldo Cruz 2019, 114, 1–9. [Google Scholar] [CrossRef] [PubMed]
- Dusfour, I.; Zorrilla, P.; Guidez, A.; Issaly, J.; Girod, R.; Guillaumot, L.; Robello, C.; Strode, C. Deltamethrin resistance mechanisms in Aedes aegypti populations from three French Overseas Territories Worldwide. PLoS Negl. Trop. Dis. 2015, 9, 1–17. [Google Scholar] [CrossRef] [PubMed] [Green Version]
- Ayres, C.F.J.; Romao, T.P.A.; Melo-Santos, M.A.V.; Furtado, A.F. Genetic diversity in Brazilian populations of Aedes albopictus. Mem. Inst. Oswaldo Cruz 2002, 97, 871–875. [Google Scholar] [CrossRef] [PubMed]
- Ayres, C.F.J.; Melo-santos, M.A.V.; Solé-Cava, A.M.; Furtado, A.F. Genetic differentiation of Aedes aegypti (Diptera: Culicidae), the major dengue vector in Brazil. J. Med. Entomol. 2003, 40, 430–435. [Google Scholar] [CrossRef]
- Lourenço-de-Oliveira, R.; Vazeille, M.; De Filippis, A.M.B.; Failloux, A.B. Aedes aegypti in Brazil: Genetically differentiated populations with high susceptibility to dengue and yellow fever viruses. Trans. 2004, 98, 43–45. [Google Scholar]
- Da Costa-Ribeiro, M.C.V.; Lourenço-de-Oliveira, R.; Failloux, A.B. Geographic and temporal genetic patterns of Aedes aegypti populations in Rio de Janeiro, Brazil. Trop. Med. Int. Health 2006, 11, 1276–1285. [Google Scholar] [CrossRef]
- Monteiro, F.A.; Shama, R.; Martins, A.J.; Gloria-Soria, A.; Brown, J.E.; Powell, J.R. Genetic diversity of Brazilian Aedes aegypti: Patterns following an Eradication Program. PLoS Negl. Trop. Dis. 2014, 8, 1–10. [Google Scholar] [CrossRef] [Green Version]
- Kenney, J.L.; Romo, H.; Duggal, N.K.; Tzeng, W.; Kristen, L.; Brault, A.C.; Savage, H.M. Transmission Incompetence of Culex quinquefasciatus and Culex pipiens pipiens from North America for Zika Virus. Am. J. Trop. Med. Hyg. 2017, 96, 1235–1240. [Google Scholar] [CrossRef] [Green Version]
- Lourenço-de-Oliveira, R.; Marques, J.T.; Sreenu, V.B.; Nten, C.A.; Aguiar, E.R.G.R.; Varjak, M.; Kohl, A.; Failloux, A.B. Culex quinquefasciatus mosquitoes do not support replication of Zika virus. J. Gen. Virol. 2018, 99, 258–264. [Google Scholar] [CrossRef]
- Boccolini, D.; Toma, L.; Di Luca, M.; Severini, F.; Romi, R.; Remoli, M.E.; Sabbatucci, M.; Venturi, G.; Rezza, G.; Fortuna, C. Experimental investigation of the susceptibility of Italian Culex pipiens mosquitoes to Zika virus infection. Eurosurveillance 2016, 21. [Google Scholar] [CrossRef]
- Hall-Mendelin, S.; Pyke, A.T.; Moore, P.R.; Mackay, I.M.; Mcmahon, L.; Ritchie, S.A.; Taylor, C.T.; Moore, F.A.J.; Van, A.F. Assessment of local mosquito species incriminates Aedes aegypti as the potential vector of Zika virus in Australia. PLoS Negl. Trop. Dis. 2016, 10, 1–14. [Google Scholar] [CrossRef] [PubMed]
- Aliota, M.T.; Peinado, S.A.; Osorio, J.E.; Bartholomay, L.C. Culex pipiens and Aedes triseriatus mosquito susceptibility to Zika virus. Emerg. Infect. Dis. 2016, 22, 1857–1859. [Google Scholar] [CrossRef] [PubMed] [Green Version]
- Fernandes, R.S.; Campos, S.S.; Ribeiro, P.S.; Raphael, L.M.S.; Bonaldo, M.C.; Lourenço-de-Oliveira, R. Culex quinquefasciatus from areas with the highest incidence of microcephaly associated with Zika virus infections in the Northeast region of Brazil are refractory to the virus. Mem. Inst. Oswaldo Cruz 2017, 112, 577–579. [Google Scholar] [CrossRef] [PubMed]
- Amraoui, F.; Atyame-Nten, C.; Vega-Rúa, A.; Lourenço-de-Oliveira, R.; Vazeille, M.; Failloux, A.B. Culex mosquitoes are experimentally unable to transmit Zika virus. Eurosurveillance 2016, 21. [Google Scholar] [CrossRef] [Green Version]
- Heitmann, A.; Jansen, S.; Lühken, R.; Leggewie, M.; Badusche, M.; Pluskota, B.; Becker, N.; Vapalahti, O.; Chanasit, J.S.; Tannich, E. Experimental transmission of Zika virus By mosquitoes from Central Europe. Eurosurveillance 2017, 22. [Google Scholar] [CrossRef]
- Roundy, C.M.; Azar, S.R.; Brault, A.C.; Ebel, G.D.; Failloux, A.B.; Fernandez-Salas, I.; Kitron, U.; Kramer, L.D.; Lourenço-de-Oliveira, R.; Osorio, J.E.; et al. Lack of evidence for Zika virus transmission by Culex mosquitoes. Emerg. Microbes Infect. 2017, 6, 1–2. [Google Scholar] [CrossRef] [Green Version]
- Azar, S.R.; Weaver, S.C. Vector competence: What has Zika virus taught us? Viruses 2019, 11, 867. [Google Scholar] [CrossRef] [Green Version]
- Dickson, L.B.; Merkling, S.H.; Gautier, M.; Ghozlane, A.; Jiolle, D.; Paupy, C.; Ayala, D.; Moltini-Conclois, I.; Fontaine, A.; Lambrechts, L. Exome-wide association study reveals largely distinct gene sets underlying specific resistance to dengue virus types 1 and 3 in Aedes aegypti. PLoS Genet. 2020, 16. [Google Scholar] [CrossRef]
- Vazeille, M.; Mousson, L.; Martin, E.; Failloux, A.B. Orally co-infected Aedes albopictus from La Reunion Island, Indian Ocean, can deliver both dengue and chikungunya infectious viral particles in their saliva. PLoS Negl. Trop. Dis. 2010, 4. [Google Scholar] [CrossRef]
- R Core T. R: A Language and Environment for Statistical Computing. Available online: http://www.r-project.org/ (accessed on 2 April 2020).





© 2020 by the authors. Licensee MDPI, Basel, Switzerland. This article is an open access article distributed under the terms and conditions of the Creative Commons Attribution (CC BY) license (http://creativecommons.org/licenses/by/4.0/).
Share and Cite
Fernandes, R.S.; O’Connor, O.; Bersot, M.I.L.; Girault, D.; Dokunengo, M.R.; Pocquet, N.; Dupont-Rouzeyrol, M.; Lourenço-de-Oliveira, R. Vector Competence of Aedes aegypti, Aedes albopictus and Culex quinquefasciatus from Brazil and New Caledonia for Three Zika Virus Lineages. Pathogens 2020, 9, 575. https://doi.org/10.3390/pathogens9070575
Fernandes RS, O’Connor O, Bersot MIL, Girault D, Dokunengo MR, Pocquet N, Dupont-Rouzeyrol M, Lourenço-de-Oliveira R. Vector Competence of Aedes aegypti, Aedes albopictus and Culex quinquefasciatus from Brazil and New Caledonia for Three Zika Virus Lineages. Pathogens. 2020; 9(7):575. https://doi.org/10.3390/pathogens9070575
Chicago/Turabian StyleFernandes, Rosilainy S., Olivia O’Connor, Maria Ignez L. Bersot, Dominique Girault, Marguerite R. Dokunengo, Nicolas Pocquet, Myrielle Dupont-Rouzeyrol, and Ricardo Lourenço-de-Oliveira. 2020. "Vector Competence of Aedes aegypti, Aedes albopictus and Culex quinquefasciatus from Brazil and New Caledonia for Three Zika Virus Lineages" Pathogens 9, no. 7: 575. https://doi.org/10.3390/pathogens9070575

