In Vivo Demonstration of the Superior Replication and Infectivity of Genotype 2.1 with Respect to Genotype 3.4 of Classical Swine Fever Virus by Dual Infections
Abstract
1. Introduction
2. Results
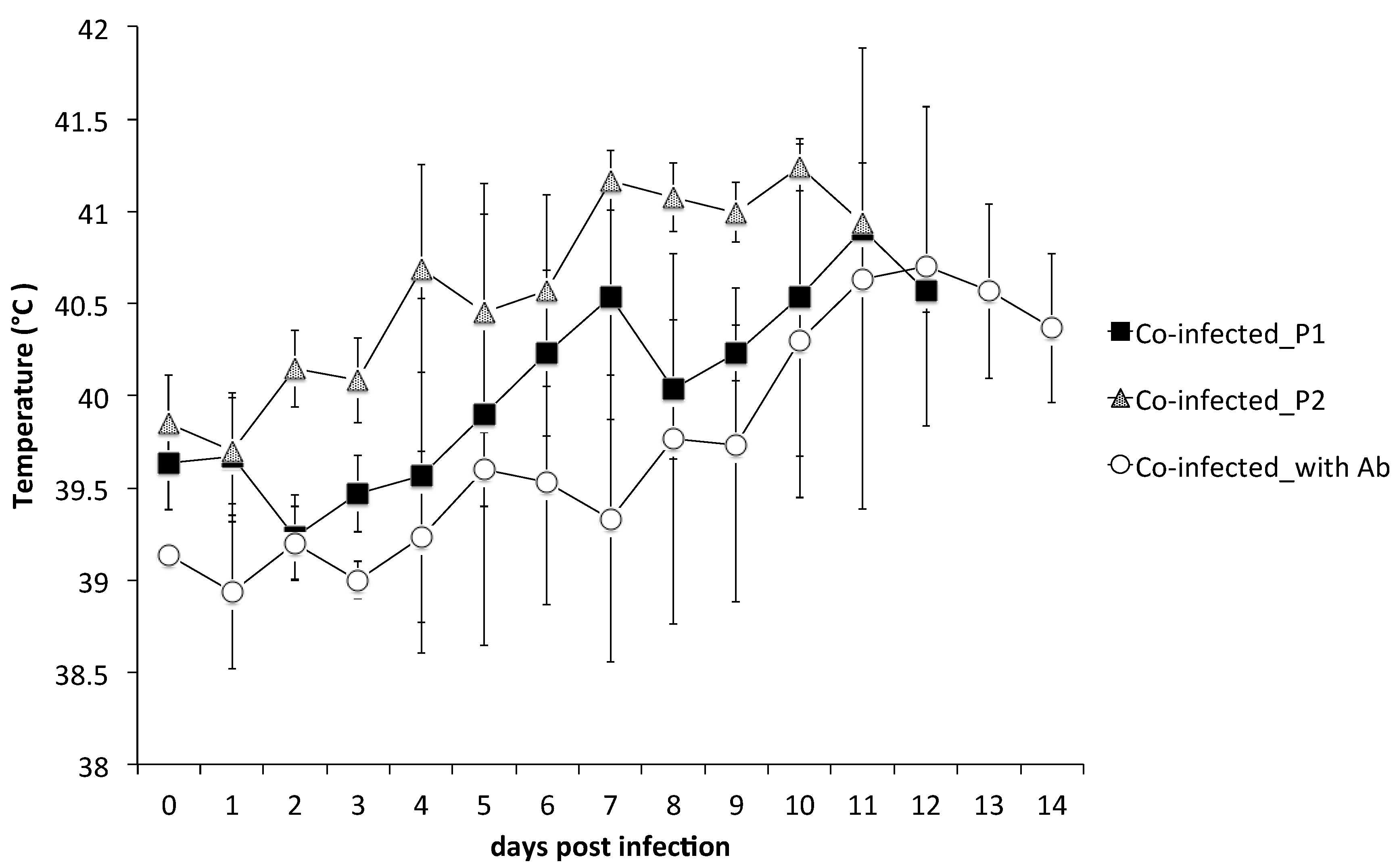
2.1. Clinical Manifestation
2.2. Virus Titration of Viremia for Co-Infected_P2 Pigs Inoculation
2.3. Cross-Neutralizing Antibodies against Three Genotypes of CSFVs
2.4. Viral Loads in Bloods
2.5. Viral Loads in Secretions and Excretions
2.6. Viral Loads in Visceral Organs
3. Discussion
4. Materials and Methods
4.1. Cells and Viruses
4.2. mAbs Specific for CSFV
4.3. Experimental Infections
4.4. Clinical Signs, Body Temperature, and Sampling Procedures
4.5. Virus Titration
4.6. Quantitative Reverse Transcription Multiplex Real-Time Polymerase Chain Reaction (RT-MRT-PCR)
4.7. Cross-Neutralizing Antibodies against Three Genotypes of CSFV
4.8. Indirect Fluorescent Assay (IFA)
4.9. Statistical Analysis
Author Contributions
Funding
Acknowledgments
Conflicts of Interest
References
- Simmonds, P.; Becher, P.; Collett, M.; Gould, E.; Heinz, F.; Meyers, G.; Monath, T.; Pletnev, A.; Rice, C.; Stiasny, K.; et al. Family Flaviviridae. In Virus Taxonomy: Ninth Report of the International Committee on Taxonomy of Viruses; King, A.M.Q., Adams, M.J., Carstens, E.B., Eds.; Elsevier Academic Press: San Diego, CA, USA, 2011; pp. 1003–1020. [Google Scholar]
- Lindenbach, B.D.; Murray, C.L.; Thiel, H.J.; Rice, C.M. Flaviviridae: The viruses and their replication. In Fields Virology, 6th ed.; Knipe, D.M., Howley, P.M., Eds.; Lippincott Williams&Wilkins: Philadelphia, PA, USA, 2013; pp. 712–747. [Google Scholar]
- Paton, D.J.; McGoldrick, A.; Greiser-Wilke, I.; Parchariyanon, S.; Song, J.Y.; Liou, P.P.; Stadejek, T.; Lowings, J.P.; Björklund, H.; Belák, S. Genetic typing of classical swine fever virus. Vet. Microbiol. 2000, 73, 137–157. [Google Scholar] [CrossRef]
- Postel, A.; Schmeiser, S.; Perera, C.L.; Rodríguez, L.J.P.; Frias-Lepoureau, M.T.; Becher, P. Classical swine fever virus isolates from Cuba form a new subgenotype 1.4. Vet. Microbiol. 2013, 161, 334–338. [Google Scholar] [CrossRef]
- Beer, M.; Goller, K.V.; Staubach, C.; Blome, S. Genetic variability and distribution of classical swine fever virus. Anim. Health Res. Rev. 2015, 16, 33–39. [Google Scholar] [CrossRef] [PubMed]
- Everett, H.; Salguero, F.J.; Graham, S.P.; Haines, F.; Johns, H.; Clifford, D.; Nunez, A.; La Rocca, S.A.; Parchariyanon, S.; Steinbach, F.; et al. Characterisation of experimental infections of domestic pigs with genotype 2.1 and 3.3 isolates of classical swine fever virus. Vet. Microbiol. 2010, 142, 26–33. [Google Scholar] [CrossRef] [PubMed][Green Version]
- Sakoda, Y.; Ozawa, S.; Damrongwatanopokin, S.; Sato, M.; Ishikawa, K.; Fukusho, A. Genetic heterogeneity of porcine and ruminant pestiviruses mainly isolated in Japan. Vet. Microbiol. 1999, 65, 75–86. [Google Scholar] [CrossRef]
- Cha, S.H.; Choi, E.J.; Park, J.H.; Yoon, S.R.; Kwon, J.H.; Yoon, K.J.; Song, J.Y. Phylogenetic characterization of classical swine fever viruses isolated in Korea between 1988 and 2003. Virus Res. 2007, 126, 256–261. [Google Scholar] [CrossRef] [PubMed]
- Greiser-Wilke, I.; Fritzemeier, J.; Koenen, F.; Vanderhallen, H.; Rutili, D.; De Mia, G.M.; Romero, L.; Rosell, R.; Sanchez-Vizcaino, J.M.; San Gabriel, A. Molecular epidemiology of a large classical swine fever epidemic in the European Union in 1997–1998. Vet. Microbiol. 2000, 77, 17–27. [Google Scholar] [CrossRef]
- Shivaraj, D.B.; Patil, S.S.; Rathnamma, D.; Hemadri, D.; Isloor, S.; Geetha, S.; Manjunathareddy, G.B.; Gajendragad, M.R.; Rahman, H. Genetic clustering of recent classical swine fever virus isolates from Karnataka, India revealed the emergence of subtype 2.2 replacing subtype 1.1. Virus Dis. 2015, 26, 170–179. [Google Scholar] [CrossRef][Green Version]
- Tu, C.; Lu, Z.; Li, H.; Yu, X.; Liu, X.; Li, Y.; Zhang, H.; Yin, Z. Phylogenetic comparison of classical swine fever virus in China. Virus Res. 2001, 81, 29–37. [Google Scholar] [CrossRef]
- Deng, M.C.; Huang, C.C.; Huang, T.S.; Chang, C.Y.; Lin, Y.J.; Chien, M.S.; Jong, M.H. Phylogenetic analysis of classical swine fever virus isolated from Taiwan. Vet. Microbiol. 2005, 106, 187–193. [Google Scholar] [CrossRef]
- Lin, Y.J.; Chien, M.S.; Deng, M.C.; Huang, C.C. Complete sequence of a subgroup 3.4 strain of classical swine fever virus from Taiwan. Virus Genes 2007, 35, 737–744. [Google Scholar] [CrossRef]
- Suradhat, S.; Damrongwatanapokin, S.; Thanawongnuwech, R. Factors critical for successful vaccination against classical swine fever in endemic areas. Vet. Microbiol. 2007, 119, 1–9. [Google Scholar] [CrossRef] [PubMed]
- Graham, S.P.; Everett, H.E.; Haines, F.J.; Johns, H.L.; Sosan, O.A.; Salguero, F.J.; Clifford, D.J.; Steinbach, F.; Drew, T.W.; Crooke, H.R. Challenge of pigs with classical swine fever viruses after C-strain vaccination reveals remarkably rapid protection and insights into early immunity. PLoS ONE 2012, 7, e29310. [Google Scholar] [CrossRef] [PubMed]
- van Oirschot, J.T. Vaccinology of classical swine fever: From lab to field. Vet. Microbiol. 2003, 96, 367–384. [Google Scholar] [CrossRef] [PubMed]
- Huang, Y.L.; Deng, M.C.; Wang, F.I.; Huang, C.C.; Chang, C.Y. The challenges of classical swine fever control: Modified live and E2 subunit vaccines. Virus Res. 2014, 179, 1–11. [Google Scholar] [CrossRef]
- Huang, Y.L.; Deng, M.C.; Tsai, K.J.; Liu, H.M.; Huang, C.C.; Wang, F.I.; Chang, C.Y. Competitive replication kinetics and pathogenicity in pigs co-infected with historical and newly invading classical swine fever viruses. Virus Res. 2017, 228, 39–45. [Google Scholar] [CrossRef]
- Rios, L.; Coronado, L.; Naranjo-Feliciano, D.; Martínez-Pérez, O.; Perera, C.L.; Hernandez-Alvarez, L.; Díaz de Arce, H.; Núñez, J.I.; Ganges, L.; Pérez, L.J. Deciphering the emergence, genetic diversity and evolution of classical swine fever virus. Sci. Rep. 2017, 7, 17887. [Google Scholar] [CrossRef]
- Chen, N.; Hu, H.; Zhang, Z.; Shuai, J.; Jiang, L.; Fang, W. Genetic diversity of the envelope glycoprotein E2 of classical swine fever virus: Recent isolates branched away from historical and vaccine strains. Vet. Microbiol. 2008, 127, 286–299. [Google Scholar] [CrossRef]
- Coronado, L.; Rios, L.; Frías, M.T.; Amarán, L.; Naranjo, P.; Percedo, M.I.; Perera, C.L.; Prieto, F.; Fonseca-Rodriguez, O.; Perez, L.J. Positive selection pressure on E2 protein of classical swine fever virus drives variations in virulence, pathogenesis and antigenicity: Implication for epidemiological surveillance in endemic areas. Transbound. Emerg. Dis. 2019, 66, 2362–2382. [Google Scholar] [CrossRef]
- Ji, W.; Niu, D.D.; Si, H.L.; Ding, N.Z.; He, C.Q. Vaccination influences the evolution of classical swine fever virus. Infect. Genet. Evol. 2014, 25, 69–77. [Google Scholar] [CrossRef]
- Yoo, S.J.; Kwon, T.; Kang, K.; Kim, H.; Kang, S.C.; Richt, J.A.; Lyoo, Y.S. Genetic evolution of classical swine fever virus under immune environments conditioned by genotype 1-based modified live virus vaccine. Transbound. Emerg. Dis. 2018, 65, 735–745. [Google Scholar] [CrossRef] [PubMed]
- Chen, N.; Tong, C.; Li, D.; Wan, J.; Yuan, X.; Li, X.; Peng, J.; Fang, W. Antigenic analysis of classical swine fever virus E2 glycoprotein using pig antibodies identifies residues contributing to antigenic variation of the vaccine C-strain and group 2 strains circulating in China. Virol. J. 2010, 7, 378. [Google Scholar] [CrossRef] [PubMed]
- Oleksiewicz, M.B.; Rasmussen, T.B.; Normann, P.; Uttenthal, Å. Determination of the sequence of the complete open reading frame and the 5′NTR of the Paderborn isolate of classical swine fever virus. Vet. Microbiol. 2003, 92, 311–325. [Google Scholar] [CrossRef]
- Deng, M.C. Molecular Analysis of Classical Swine Fever Viruses in Taiwan and the Development of Rapid Diagnostic Method. Ph.D. Thesis, Department of Veterinary Medicine, National Chung Shing University, Taichung, Taiwan, 2008. [Google Scholar]
- Muñoz-González, S.; Pérez-Simó, M.; Colom-Cadena, A.; Cabezón, O.; Bohórquez, J.A.; Rosell, R.; Pérez, L.J.; Marco, I.; Lavín, S.; Domingo, M.; et al. Classical swine fever virus vs. classical swine fever virus: The superinfection exclusion phenomenon in experimentally infected wild boar. PLoS ONE 2016, 11, e0149469. [Google Scholar] [CrossRef] [PubMed]
- Edwards, S.; Moennig, V.; Wensvoort, G. The development of an international reference panel of monoclonal antibodies for the differentiation of hog cholera virus from other pestiviruses. Vet. Microbiol. 1991, 29, 101–108. [Google Scholar] [CrossRef]
- Mittelholzer, C.; Moser, C.; Tratschin, J.D.; Hofmann, M.A. Analysis of classical swine fever virus replication kinetics allows differentiation of highly virulent from avirulent strains. Vet. Microbiol. 2000, 74, 293–308. [Google Scholar] [CrossRef]
- Reed, L.J.; Muench, H.A. A simple method of estimating fifty percent endpoints. Am. J. Epidemiol. 1938, 27, 493–497. [Google Scholar] [CrossRef]
- Huang, Y.L.; Pang, V.F.; Pan, C.H.; Chen, T.H.; Jong, M.H.; Huang, T.S.; Jeng, C.R. Development of a reverse transcription multiplex real-time PCR for the detection and genotyping of classical swine fever virus. J. Virol. Methods 2009, 160, 111–118. [Google Scholar] [CrossRef]



| Inoculated Group | Time (dpi) of the First Observation of Fever | Maximum Clinical Score | Time (dpi) of Death | Time (dpi) of the First Detection of Virus in Blood | Time (dpi) of the First Detection of Virus in Oral Swabs | Time (dpi) of the First Detection of Virus in Fecal Swabs | |||
|---|---|---|---|---|---|---|---|---|---|
| TD/96† | 94.4 | TD/96 | 94.4 | TD/96 | 94.4 | ||||
| Group 1: Co-infected_P1 | 4 | 17 | 13 | 2 | 4 | 6 | 8 | 6 | 8 |
| (TD/96 106 TCID50 + 94.4 106 TCID50) | 6 | 16 | 13 | 2 | 4 | 6 | 8 | 8 | 10 |
| 6 | 14 Average 15.67 ± 1.53b* | 13 | 2 | 4 | 6 | 8 | 6 | 8 | |
| Group 2: Co-infected_P2 | 2 | 19 | 9 | 2 | 6 | 4 | ND§ | 4 | ND |
| (blood of group 1 pig containing TD/96 108.3 TCID50 and 94.4 105.87 TCID50) | 3 | 20 | 12 | 2 | 6 | 4 | 8 | 6 | 8 |
| 2 | 19 Average 19.33 ± 0.58a | 11 | 2 | 6 | 6 | 8 | 6 | 8 | |
| Group 3: Co-infected with Ab | 12 | 5 | 14¶ | 4 | 6 | 6 | 8 | 8 | 8 |
| (TD/96 106 TCID50 + 94.4 106 TCID50) | 10 | 5 | 14¶ | 4 | 6 | 6 | 8 | 6 | 8 |
| 6 | 4 Average 4.67 ± 0.58c | 14¶ | 4 | 6 | 8 | 8 | 8 | 8 | |
| Viral Loads | Log | Methods | ||
|---|---|---|---|---|
| TD/96† | 94.4 | TD/96 | 94.4 | |
| Viral titer (TCID50/mL) | 8.3 | 5.87 | By IFA* using mAb T6 specific for TD/96 | By IFA using mAb L71 specific for 94.4 |
| Viral genome (copies/μL) | 7.64 | 5.23 | By RT-MRT-PCR¶ using specific TaqMan probe for TD/96 | By RT-MRT-PCR using specific TaqMan probe for 94.4 |
| Time (dpi) of the Collected Pig Sera | Cross-Neutralizing Antibodies Against (log2) | Time (dpi) of the Collected Pig Sera | Cross-neutralizing Antibodies Against (log2) | ||||
|---|---|---|---|---|---|---|---|
| LPC† | TD/96 | 94.4 | LPC | TD/96 | 94.4 | ||
| 0 | 4.5 | 2.5 | 2.5 | 8 | 2.5 | <2 | <2 |
| 4.5 | 3.5 | 3.5 | 3.5 | <2 | <2 | ||
| 5 | 3.5 | 2.5 | <2 | <2 | <2 | ||
| Average 4.7 ± 0.3a* | Average 3.2 ± 0.6b | Average 2.8 ± 0.6b | |||||
| 2 | 4 | 2 | 2 | 10 | <2 | <2 | <2 |
| 4.5 | 3 | 3 | <2 | <2 | <2 | ||
| 5 | 3.5 | 2.5 | <2 | <2 | <2 | ||
| Average 4.5 ± 0.5a | Average 2.8 ± 0.8b | Average 2.5 ± 0.5b | |||||
| 4 | 3 | 2.5 | 2 | 12 | <2 | <2 | <2 |
| 5 | 3.5 | 3 | <2 | <2 | <2 | ||
| 5 | 3 | 2.5 | <2 | <2 | <2 | ||
| Average 4.3 ± 1.2a | Average 3 ± 0.5ab | Average 2.5 ± 0.5b | |||||
| 6 | 3 | 2.5 | 2 | 14 | <2 | <2 | <2 |
| 4.5 | 3.5 | 3 | <2 | <2 | <2 | ||
| 5 | 2.5 | 2 | <2 | <2 | <2 | ||
| Average 4.2 ± 1a | Average 2.8 ± 0.6ab | Average 2.3 ± 0.6b | |||||
© 2020 by the authors. Licensee MDPI, Basel, Switzerland. This article is an open access article distributed under the terms and conditions of the Creative Commons Attribution (CC BY) license (http://creativecommons.org/licenses/by/4.0/).
Share and Cite
Huang, Y.-L.; Tsai, K.-J.; Deng, M.-C.; Liu, H.-M.; Huang, C.-C.; Wang, F.-I.; Chang, C.-Y. In Vivo Demonstration of the Superior Replication and Infectivity of Genotype 2.1 with Respect to Genotype 3.4 of Classical Swine Fever Virus by Dual Infections. Pathogens 2020, 9, 261. https://doi.org/10.3390/pathogens9040261
Huang Y-L, Tsai K-J, Deng M-C, Liu H-M, Huang C-C, Wang F-I, Chang C-Y. In Vivo Demonstration of the Superior Replication and Infectivity of Genotype 2.1 with Respect to Genotype 3.4 of Classical Swine Fever Virus by Dual Infections. Pathogens. 2020; 9(4):261. https://doi.org/10.3390/pathogens9040261
Chicago/Turabian StyleHuang, Yu-Liang, Kuo-Jung Tsai, Ming-Chung Deng, Hsin-Meng Liu, Chin-Cheng Huang, Fun-In Wang, and Chia-Yi Chang. 2020. "In Vivo Demonstration of the Superior Replication and Infectivity of Genotype 2.1 with Respect to Genotype 3.4 of Classical Swine Fever Virus by Dual Infections" Pathogens 9, no. 4: 261. https://doi.org/10.3390/pathogens9040261
APA StyleHuang, Y.-L., Tsai, K.-J., Deng, M.-C., Liu, H.-M., Huang, C.-C., Wang, F.-I., & Chang, C.-Y. (2020). In Vivo Demonstration of the Superior Replication and Infectivity of Genotype 2.1 with Respect to Genotype 3.4 of Classical Swine Fever Virus by Dual Infections. Pathogens, 9(4), 261. https://doi.org/10.3390/pathogens9040261

