Impact of Environmental Conditions and Agronomic Practices on the Prevalence of Fusarium Species Associated with Ear- and Stalk Rot in Maize
Abstract
1. Introduction
2. Results
2.1. Fusarium Species Involved in Ear and Stalk Infections
2.2. Effect of Previous Crop
2.3. Effect of Tillage
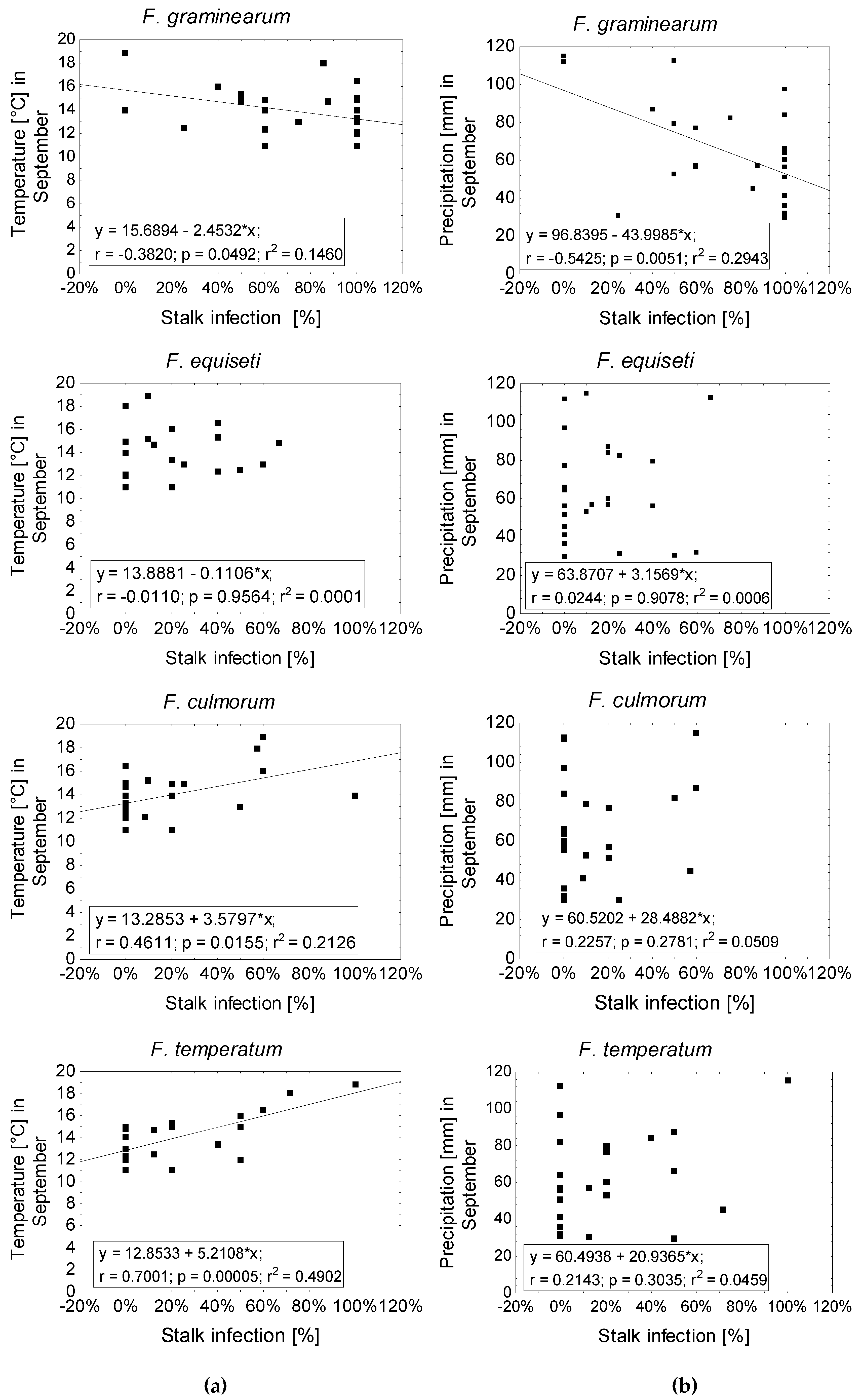
2.4. Effect of Environmental Conditions
2.5. Relative Impact of Main Effects
3. Discussion
4. Materials and Methods
4.1. Sampling and Isolation
4.2. Species Identification
4.3. Meteorological and Agronomical Data
4.4. Statistical Analyses
Supplementary Materials
Author Contributions
Funding
Acknowledgments
Conflicts of Interest
References
- Munkvold, G.P.; McGee, D.C.; Carlton, W.M. Importance of different pathways for maize kernel infection by Fusarium moniliforme. Phytopathology 1997, 87, 209–217. [Google Scholar] [CrossRef]
- Reid, L.M.; Nicol, R.W.; Ouellet, T.; Savard, M.; Miller, J.D.; Young, J.C.; Stewart, D.W.; Schaafsma, A.W. Interaction of Fusarium graminearum and F. moniliforme in maize ears: Disease progress, fungal biomass, and mycotoxin accumulation. Phytopathology 1999, 89, 1028–1037. [Google Scholar] [CrossRef] [PubMed]
- Christensen, J.J.; Wilcoxsen, R.D. Stalk Rot of Corn; The American Phytopathological Society: Worcester, MA, USA, 1966. [Google Scholar]
- IARC. International Ageny of Research on Cancer: Fumonsisin B1 (Group 2B), Summary of Data Reported and Evaluation. Int. Peer Rev. Chem. Saf. Inf. 2002, 82, 301–309. [Google Scholar]
- Desjardins, A.E.; Maragos, C.M.; Proctor, R.H. Maize ear rot and moniliformin contamination by cryptic species of Fusarium subglutinans. J. Agric. Food Chem. 2006, 54, 7383–7390. [Google Scholar] [CrossRef] [PubMed]
- Logrieco, A.; Bailey, J.A.; Corazza, L.; Cooke, B.M. Mycotoxins in Plant Disease; Springer: Dordrecht, The Netherlands, 2002. [Google Scholar]
- Alshannaq, A.; Yu, J.-H. Occurrence, toxicity, and analysis of major mycotoxins in food. Int. J. Environ. Res. Public Health 2017, 14, 632. [Google Scholar] [CrossRef] [PubMed]
- Arino, A.A.; Bullermann, L.B. Fungal colonization of corn grown in Nebraska in relation to year, genotype and growing conditions. J. Food Prot. 1994, 57, 1084–1087. [Google Scholar] [CrossRef] [PubMed]
- Mansfield, M.A.; Wolf, E.D.d.; Kuldau, G.A. Relationships between weather conditions, agronomic practices, and fermentation characteristics with deoxynivalenol content in fresh and ensiled maize. Plant Dis. 2005, 89, 1151–1157. [Google Scholar] [CrossRef]
- Flett, B.C.; McLaren, N.W.; Wehner, F.C. Incidence of ear rot pathogens under alternating corn tillage practices. Plant Dis. 1998, 82, 781–784. [Google Scholar] [CrossRef]
- Scala, V.; Aureli, G.; Cesarano, G.; Incerti, G.; Fenelli, C.; Scala, F.; Reverberi, M.; Bonanomi, G. Climate, soil management, and cultivar affect Fusarium head blight incidence and deoxynivalenol accumulation in durum wheat of southern Italy. Frontiers 2016, 7, 1014. [Google Scholar] [CrossRef]
- Fernandes, M.R.; Huber, D.; Basnyat, P.; Zentner, R.P. Impact of agronomic practices on populations of Fusarium and other fungi in cereal and noncereal crop residues on the Canadian Prairies. Soil Tillage Res. 2008, 100, 60–71. [Google Scholar] [CrossRef]
- Edwards, S.; Jennings, P. Impact of agronomic factors on Fusarium mycotoxins in harvested wheat. Food Addit. Contam. Part A 2018, 35, 2443–2454. [Google Scholar] [CrossRef] [PubMed]
- Munkvold, G.P.; Hellmich, R.L.; Showers, W.B. Reduced Fusarium ear rot and symptomless infection in kernels of maize genetically engineered for European corn borer resistance. Phytopathology 1997, 87, 1071–1077. [Google Scholar] [CrossRef] [PubMed]
- Schaafsma, A.W.; Hooker, D.C.; Baute, T.S.; Illincic-Tamburic, L. Effect of Bt-corn hybrids on deoxynivalenol content in grain at harvest. Am. Phytopathol. Soc. 2002, 86, 1123–1126. [Google Scholar]
- Sobeck, E.A.; Munkvold, G.P. European corn borer (Lepidoptera: Pyralidae) larvae as vectors of Fusarium moniliforme, causing kernel rot and symptomless infection of maize kernels. J. Econ. Entomol. 1999, 92, 503–509. [Google Scholar] [CrossRef]
- Reid, L.M.; Hamilton, R.l. Effects of inoculation position, timing, macroconidial concentration, and irrigation on resistance of maize to Fusarium graminearum infection through kernels. Can. J. Plant Pathol. 1996, 18, 279–285. [Google Scholar] [CrossRef]
- Reid, L.M.; Bolton, A.T.; Hamilton, R.I.; Woldemariam, T.; Mather, D.E. Effect of silk age on resistance of maize to Fusarium graminearum. Can. J. Plant Pathol. 1992, 14, 293–298. [Google Scholar] [CrossRef]
- Windels, C.E. Late-season colonization and survival of Fusarium graminearum group II in cornstalks in Minnesota. Plant Dis. 1984, 68, 791–798. [Google Scholar] [CrossRef]
- Kommedahl, T.; Windels, C.E.; Stucker, R.E. Occurrence of Fusarium species in root and stalks of symptomless corn plants during the growing season. Phytopathology 1979, 69, 961–966. [Google Scholar] [CrossRef]
- Dodd, J.L. The role of plant stresses in development of corn stalk rots. Plant Dis. 1980, 64, 533–535. [Google Scholar] [CrossRef]
- Bottalico, A. Fusarium diseases of cereals: Species complex and related mycotoxin profiles in Europe. J. Plant Pathol. 1998, 80, 85–103. [Google Scholar]
- Munkvold, G.P. Epidemiology of Fusarium diseases and their mycotoxins in maize ears. Eur. J. Plant Pathol. 2003, 109, 705–713. [Google Scholar] [CrossRef]
- Dill-Macky, R.; Jones, R.K. The effect of previous crop residues and tillage on Fusarium head blight of wheat. Plant Dis. 2000, 84, 71–76. [Google Scholar] [CrossRef] [PubMed]
- Sutton, J.C. Epidemiology of wheat head blight and maize ear rot caused by Fusarium graminearum. Can. J. Plant Pathol. 1982, 4, 195–209. [Google Scholar] [CrossRef]
- Cotten, T.K.; Munkvold, G.P. Survival of Fusarium moniliforme, F. proliferatum, and F. subglutinans in maize stalk residue. Phytopathology 1998, 88, 550–555. [Google Scholar] [CrossRef]
- Flett, B.C.; Wehner, F.C. Incidence of Stenocarpella and Fusarium cob rots in monoculture maize under different tillage systems. J. Phytopathol. 1991, 133, 327–333. [Google Scholar] [CrossRef]
- Parker, D.T.; Burrows, W.C. Root and stalk rot in corn as affected by fertilizer and tillage treatment. Agron 1959, 51, 414–417. [Google Scholar] [CrossRef]
- Schlüter, K.; Kropf, U. Fusarium-Befall aus Dem Boden? Infektionswege von Fusarien. Landwirtschaft ohne Pflug, February 2006; 28–33. [Google Scholar]
- Skoglund, L.G.; Brown, W.M. Effects of tillage regimes and herbicides on Fusarium species associated with corn stalk rot. Can. J. Plant Pathol. 1988, 10, 332–338. [Google Scholar] [CrossRef]
- Steinkellner, S.; Shala-Mayrhofer, V.; Langer, I. Influence of tillage on Fusarium spp. in different crop rotation systems. Mycotoxin Res. 2002, 18, 11–15. [Google Scholar] [CrossRef]
- Khonga, E.B.; Sutton, J.C. Inoculum production and survival of Gibberella zeae in maize and wheat residues. Can. J. Plant Pathol. 1988, 10, 232–239. [Google Scholar] [CrossRef]
- Juroszek, P.; Von Tiedemann, A. Climatic changes and the potential future importance of maize diseases: A short review. J. Plant Dis. Prot. 2013, 120, 49–56. [Google Scholar] [CrossRef]
- Dorn, B.; Forrer, H.-R.; Schürch, S.; Vogelgsang, S. Fusarium species complex on maize in Switzerland: Occurrence, prevalence, impact and mycotoxins in commercial hybrids under natural infection. Eur. J. Plant Pathol. 2009, 125, 51–61. [Google Scholar] [CrossRef]
- Bottalico, A.; Perrone, G. Toxigenic Fusarium species and mycotoxins associated with head blight in small-grain cereals in Europe. Eur. J. Plant Pathol. 2002, 108, 611–624. [Google Scholar] [CrossRef]
- Logrieco, A.; Mul, G.; Moretti, A.; Bottalico, A. Toxigenic Fusarium species and mycotoxins associated with maize ear rot in Europe. Eur. J. Plant Pathol. 2002, 108, 597–609. [Google Scholar] [CrossRef]
- Booth, C. The Genus Fusarium; Commonwealth Mycological Institute: Kew, UK, 1971; ISBN 0851980465. [Google Scholar]
- Marín, S.; Sanchis, V.; Magan, N. Water activity, temperature, and pH effects on growth of Fusarium moniliforme and Fusarium proliferatum isolates from maize. Can. J. Microbiol. 1995, 41, 1063–1070. [Google Scholar] [CrossRef] [PubMed]
- Shelby, R.A.; White, D.G.; Bauske, E.M. Different fumonsin production in maize hybrids. Plant Dis. 1994, 78, 582–584. [Google Scholar] [CrossRef]
- Miller, J.D. Factors that affect the occurrence of fumonisin. Environ. Health Perspect. 2001, 109, 321–324. [Google Scholar] [PubMed]
- De-Wolf, E.D.; Madden, L.V.; Lipps, P.E. Risk assessment models for wheat Fusarium head blight epidemics based on within-season weather data. Phytopathology 2002, 93, 428–435. [Google Scholar] [CrossRef]
- Munkvold, G.P. Cultural and genetic approaches to managing mycotoxins in maize. Annu. Rev. Phytopathol. 2003, 41, 99–116. [Google Scholar] [CrossRef]
- Stewart, D.W.; Reid, L.M.; Nicol, R.W.; Schaafsma, A.W. A mathematical simulation of growth of Fusarium in maize ears after artificial inoculation. Phytopathology 2002, 92, 534–541. [Google Scholar] [CrossRef]
- Murillo-Williams, A.; Munkvold, G.P. Systemic infection by Fusarium verticillioides in maize plants grown under three temperature regimes. Plant Dis. 2008, 92, 1695–1700. [Google Scholar] [CrossRef]
- Gai, X.; Dong, H.; Wang, S.; Liu, B.; Zhang, Z.; Li, X.; Gao, Z. Infection cycle of maize stalk rot and ear rot caused by Fusarium verticillioides. PLoS ONE 2018, 13, e0201588. [Google Scholar] [CrossRef] [PubMed]
- Desai, S.; Hedge, R. Identification of suitable method and time for artificial inoculation of maize with stalk rotting fungi. Indien Phytopathol. 1992, 45, 381–382. [Google Scholar]
- Scauflaire, J.; Gourgue, M.; Munaut, F. Fusarium temperatum sp. nov. from maize, an emergent species closely related to Fusarium subglutinans. Mycologia 2011, 103, 586–597. [Google Scholar] [CrossRef] [PubMed]
- Czembor, E.; Stępień, Ł.; Waśkiewicz, A. Effect of environmental factors on Fusarium species and associated mycotoxins in maize grain grown in Poland. PLoS ONE 2015, 10, e013364. [Google Scholar] [CrossRef] [PubMed]
- Boutigny, A.-L.; Scauflaire, J.; Ballois, N.; Ioos, R. Fusarium temperatum isolated from maize in France. Eur. J. Plant Pathol. 2017, 148, 997–1001. [Google Scholar] [CrossRef]
- Venturini, G.; Toffolatti, S.L.; Passera, A.; Pilu, R.; Quaglino, F.; Casati, P. First report of Fusarium temperatum causing ear rot on maize in Italy: Disease note. J. Plant Pathol. 2016, 98, 677–697. [Google Scholar]
- Lanza, F.E.; Mayfield, D.A.; Munkvold, G.P. First report of Fusarium temperatum causing maize seedling blight and seed rot in North America. Plant Dis. 2016, 100, 1019–1024. [Google Scholar] [CrossRef]
- Shin, J.-H.; Han, J.-H.; Lee, J.K.; Kim, K.S. Characterization of the maize stalk rot pathogens Fusarium subglutinans and F. temperatum and the effect of fungicides on their mycelial growth and colony formation. Plant Pathol. J. 2014, 30, 397–406. [Google Scholar] [CrossRef]
- Wang, J.-H.; Zhang, J.-B.; Li, H.-P.; Gong, A.-D.; Xue, S.; Agboola, R.S.; Liao, Y.-C. Molecular identification, mycotoxin production and comparative pathogenicity of Fusarium temperatum isolated from maize in China. J. Phytopathol. 2014, 162, 147–157. [Google Scholar] [CrossRef]
- Robles-Barrios, K.F.; Medina-Canales, M.G.; Rodríguez-Tovar, A.V.; Pérez, N.O. Morphological and molecular characterization, enzyme production and pathogenesis of Fusarium temperatum on corn in Mexico. Can. J. Plant Pathol. 2015, 37, 495–505. [Google Scholar] [CrossRef]
- Fumero, M.V.; Reynoso, M.M.; Chulze, S. Fusarium temperatum and Fusarium subglutinans isolated from maize in Argentina. Int. J. Food Microbiol. 2015, 199, 86–92. [Google Scholar] [CrossRef] [PubMed]
- Moretti, A.; Mulé, G.; Ritieni, A.; Láday, M.; Stubnya, V.; Hornok, L.; Logrieco, A. Cryptic subspecies and beauvericin production by Fusarium subglutinans from Europe. Int. J. Food Microbiol. 2008, 127, 312–315. [Google Scholar] [CrossRef] [PubMed]
- Schaafsma, A.W.; Tamburic-Ilincic, L.; Hooker, D.C. Effect of previous crop, tillage, field size, adjacent crop, and sampling direction on airborne propagules of Gibberella zeae/Fusarium graminearum, Fusarium head blight severity and deoxynivalenol accumulation in winter wheat. Can. J. Plant Pathol. 2005, 27, 217–224. [Google Scholar] [CrossRef]
- Gödecke, R. Einflussfaktoren der Mykotoxinbildung durch Ährenbefall mit Fusarium spp. in Verschiedenen Winterweizenfruchtfolgen. Ph.D. Thesis, University of Goettingen, Goettingen, Germany, 2010. [Google Scholar]
- Parry, D.W.; Jenkinson, P.; McLeod, L. Fusarium ear blight (scab) in small grain cereals—A review. Plant Pathol. 1995, 44, 207–238. [Google Scholar] [CrossRef]
- Nyvall, R.F.; Kommedahl, T. Saprophytism and survival of Fusarium moniliforme in corn stalks. Phytopathology 1970, 60, 1233–1235. [Google Scholar] [CrossRef]
- Vasileiadis, V.P.; Sattin, M.; Otto, S.; Veres, A.; Pálinkás, Z.; Ban, R.; Pons, X.; Kudsk, P.; van der Weide, R.; Czembor, E.; et al. Crop protection in European maize-based cropping systems: Current practices and recommendations for innovative Integrated Pest Management. Agric. Syst. 2011, 104, 533–540. [Google Scholar] [CrossRef]
- Steinkellner, S.; Langer, I. Impact of tillage on the incidence of Fusarium spp. in soil. Plant Soil 2004, 267, 13–22. [Google Scholar] [CrossRef]
- Parr, J.F.; Papendick, R.I. Factors affecting the decomposition of crop residues by microorganisms. Crop Residue Manag. Syst. 1978, 31, 1001–1129. [Google Scholar]
- Pereyra, S.A.; Dill-Macky, R.; Sims, A.L. Survival and inoculum production of Gibberella zeae in wheat residue. Plant Dis. 2004, 88, 724–730. [Google Scholar] [CrossRef]
- Byrnes, K.; Carroll, R.B. Fungi causing stalk rot of conventional-tillage and no-tillage corn in Delaware. Plant Dis. 1986, 70, 238–239. [Google Scholar] [CrossRef]
- Sutton, J.C.; Baliko, W.; Funnell, H.S. Relation of weather variables to incidence of zearalenone in corn in southern Ontario. Can. J. Plant Sci. 1980, 60, 149–155. [Google Scholar] [CrossRef]
- Lori, G.A.; Sisterna, M.N.; Sarandón, S.J.; Rizzo, I.; Chidichimo, H. Fusarium head blight in wheat: Impact of tillage and other agronomic practices under natural infection. Crop Prot. 2009, 28, 495–502. [Google Scholar] [CrossRef]
- Kurtz, B.; Karlovsky, P.; Vidal, S. Interaction between western corn rootworm (Coleoptera chrysomelidae) larvae and root-infecting Fusarium verticillioides. Environ. Entomol. 2010, 39, 1532–1538. [Google Scholar] [CrossRef] [PubMed]
- EPPO. PP 1/285. PP 1/285 (1): Fursarium Ear Rot of Maize; European and Mediterranean Plant Protection Organisation (EPPO): Paris, France, 2015; Volume 45, pp. 336–339. [Google Scholar]
- Leslie, J.F.; Summerell, B.A. The Fusarium Laboratory Manual; Blackwell Publishing: Hoboken, NJ, USA, 2006. [Google Scholar]
- Brandfass, C.; Karlovsky, P. Upscaled CTAB-based DNA extraction and real-time PCR assays for Fusarium culmorum and F. graminearum DNA in plant material with reduced sampling error. Int. J. Mol. Sci. 2008, 9, 2306–2321. [Google Scholar] [CrossRef] [PubMed]
- O’Donnell, K.; Cigelnik, E.; Nirenberg, H.I. Molecular systematics and phylogeography of the Gibberella fujikuroi species complex. Mycologia 1998, 90, 465–469. [Google Scholar] [CrossRef]
- Thompson, J.D.; Higgins, D.G.; Gibson, T.J. CLUSTAL W: Improving the sensitivity of progressive multiple sequence alignment through sequence weighting, position-specific gap penalties and weight matrix choice. Nucleic Acid Res. 1994, 22, 4673–4680. [Google Scholar] [CrossRef]
- Kumar, S.; Stecher, G.; Tamura, K. MEGA7: Molecular evolutionary genetics analysis version 7.0 for bigger datasets. Mol. Biololgie Evol. 2016, 33, 1870–1874. [Google Scholar] [CrossRef]







| Ears Infection | Stalk Infection | ||||||||||||
|---|---|---|---|---|---|---|---|---|---|---|---|---|---|
| Fusarium Species | Frequency [%] | Sample Sites | Fusarium Species | Frequency [%] | Sample Sites | ||||||||
| 2016 | 2017 | 2018 | Total | 2016 | 2017 | 2018 | 2017 | 2018 | Total | 2017 | 2018 | ||
| n = 94 | n = 180 | n = 113 | n = 18 | n = 42 | n = 18 | n = 110 | n = 80 | n = 21 | n = 14 | ||||
| F. gramineaum | 79 | 71 | 30 | 60 | 17 | 41 | 15 | F. graminearum | 81 | 43 | 62 | 20 | 11 |
| F. verticillioides | 19 2 | 13 | 39 | 24 | 11 | 11 | 16 | F. equiseti | 11 | 34 | 22 | 10 | 9 |
| F. temperatum | 33 1 | 15 | 21 | 23 | 11 | 21 | 15 | F. culmorum | 22 | 16 | 19 | 14 | 11 |
| F. poae | 11 | 15 | 12 | 14 | 6 | 11 | 12 | F. temperatum | 15 | 20 | 17 | 7 | 13 |
| F. cerealis | 11 | 12 | 3 | 9 | 6 | 13 | 2 | F. cerealis | 19 | 15 | 17 | 9 | 10 |
| F. proliferatum | ** | 4 | 13 | 6 | ** | 3 | 12 | F. verticillioides | 7 | 9 | 8 | 6 | 3 |
| F. tricinctum | 4 | 7 | 2 | 5 | 3 | 8 | 3 | F. avenaceum | 6 | 5 | 5 | 5 | 3 |
| F. avenaceum | 10 | 5 | 1 | 5 | 4 | 8 | 1 | F. tricinctum | 5 | 8 | 6 | 4 | 5 |
| F. culmorum | 1 | 5 | 4 | 4 | 1 | 9 | 3 | F. proliferatum | 3 | 11 | 6 | 3 | 5 |
| F. subglutinans | * | 2 | 2 | 2 | * | 3 | 3 | F. poae | 3 | 5 | 4 | 3 | 3 |
| F. subglutinans | 1 | 3 | 2 | 1 | 2 | ||||||||
| F. sporotrichoides | 4 | 1 | 5 | 2 | 3 | 1 | 4 | F. sporotrichoides | 1 | 0 | 1 | 1 | 0 |
© 2020 by the authors. Licensee MDPI, Basel, Switzerland. This article is an open access article distributed under the terms and conditions of the Creative Commons Attribution (CC BY) license (http://creativecommons.org/licenses/by/4.0/).
Share and Cite
Pfordt, A.; Ramos Romero, L.; Schiwek, S.; Karlovsky, P.; von Tiedemann, A. Impact of Environmental Conditions and Agronomic Practices on the Prevalence of Fusarium Species Associated with Ear- and Stalk Rot in Maize. Pathogens 2020, 9, 236. https://doi.org/10.3390/pathogens9030236
Pfordt A, Ramos Romero L, Schiwek S, Karlovsky P, von Tiedemann A. Impact of Environmental Conditions and Agronomic Practices on the Prevalence of Fusarium Species Associated with Ear- and Stalk Rot in Maize. Pathogens. 2020; 9(3):236. https://doi.org/10.3390/pathogens9030236
Chicago/Turabian StylePfordt, Annette, Lucia Ramos Romero, Simon Schiwek, Petr Karlovsky, and Andreas von Tiedemann. 2020. "Impact of Environmental Conditions and Agronomic Practices on the Prevalence of Fusarium Species Associated with Ear- and Stalk Rot in Maize" Pathogens 9, no. 3: 236. https://doi.org/10.3390/pathogens9030236
APA StylePfordt, A., Ramos Romero, L., Schiwek, S., Karlovsky, P., & von Tiedemann, A. (2020). Impact of Environmental Conditions and Agronomic Practices on the Prevalence of Fusarium Species Associated with Ear- and Stalk Rot in Maize. Pathogens, 9(3), 236. https://doi.org/10.3390/pathogens9030236

