Performance Analysis of Anaplasma Antibody Competitive ELISA Using the ROC Curve for Screening of Anaplasmosis in Camel Populations in Egypt
Abstract
1. Introduction
2. Materials and Methods
2.1. Sampling and Serological Testing
2.2. DNA Preparation and PCR Amplification
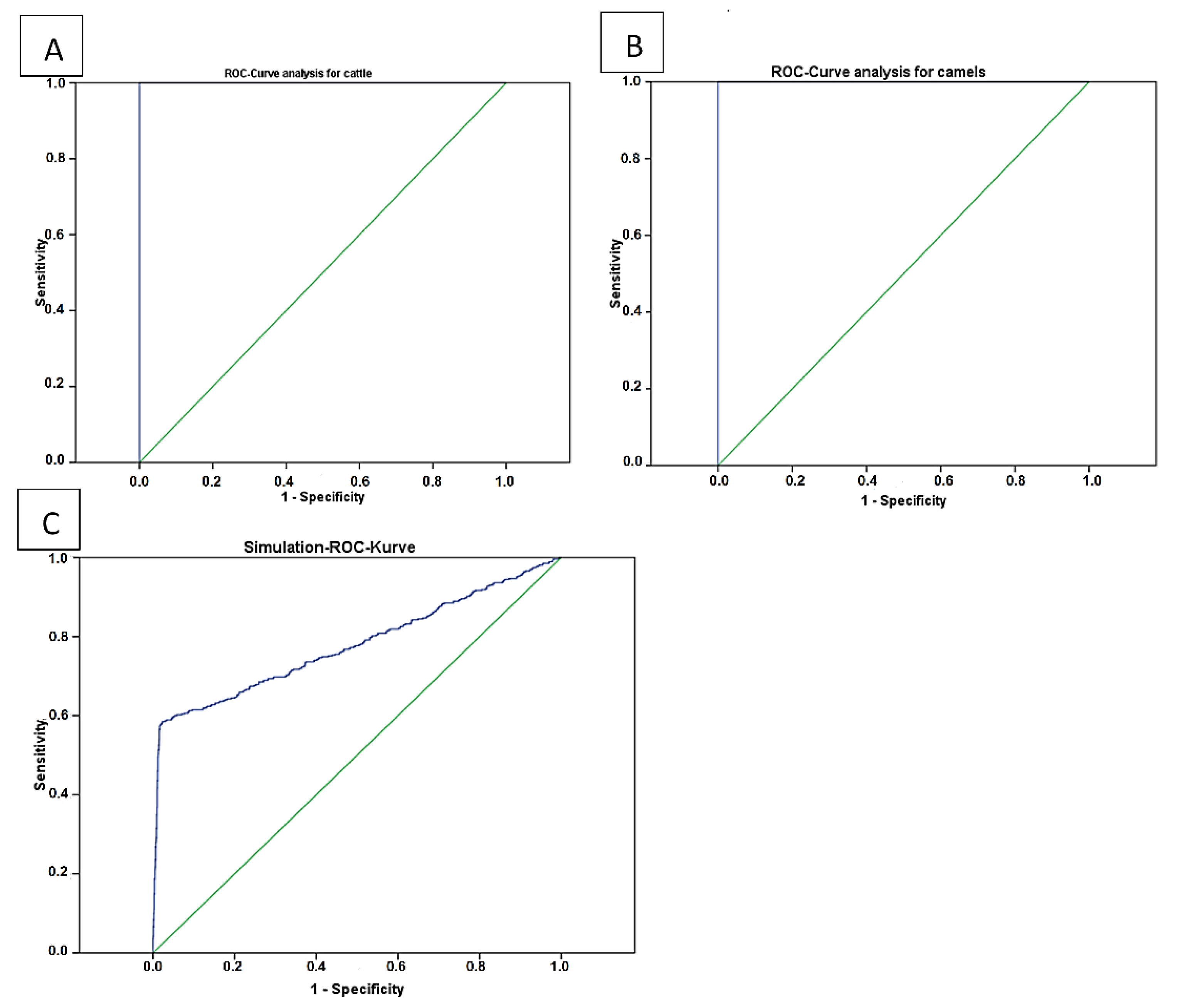
2.3. Performed ROC Analyses
2.4. Statistical Analyses
3. Results
4. Discussion
Author Contributions
Funding
Acknowledgments
Conflicts of Interest
References
- Herbison, L.; Frame, G.W. Encyclopedia Britannica: Camel. Available online: https://www.britannica.com/animal/camel (accessed on 27 February 2020).
- CAPMAS. Central Agency for Public Mobilization and Statistics Egypt. Available online: http://www.capmas.gov.eg/HomePage.aspx (accessed on 27 February 2020).
- Azmat, M.; Ijaz, M.; Farooqi, S.H.; Ghaffar, A.; Ali, A.; Masud, A.; Saleem, S.; Rehman, A.; Ali, M.M.; Mehmood, K.; et al. Molecular epidemiology, associated risk factors, and phylogenetic analysis of anaplasmosis in camel. Microb. Pathog. 2018, 123, 377–384. [Google Scholar] [CrossRef] [PubMed]
- Dahlgren, F.S.; Mandel, E.J.; Krebs, J.W.; Massung, R.F.; McQuiston, J.H. Increasing incidence of Ehrlichia chaffeensis and Anaplasma phagocytophilum in the United States, 2000–2007. Am. Soc. Trop. Med. Hyg. 2011, 85, 124–131. [Google Scholar] [CrossRef] [PubMed]
- Constable, P.D.; Hinchcliff, K.W.; Done, S.H.; Grünberg, W. Diseases of the hemolymphatic and immune systems. In Veterinary Medicine, 11th ed.; Saunders Ltd.: London, UK, 2017; pp. 1–2278. [Google Scholar] [CrossRef]
- Sudan, V.; Sharma, R.L.; Borah, M.K. Subclinical anaplasmosis in camel (Camelus dromedarius) and its successful therapeutic management. J. Parasit. Dis. 2014, 38, 163–165. [Google Scholar] [CrossRef] [PubMed]
- Abou El-Naga, T.R.; Barghash, S.M. Blood parasites in camels (Camelus dromedarius) in Northern West Coast of Egypt. J. Bacteriol. Parasitol. 2016, 07. [Google Scholar] [CrossRef]
- Bastos, A.D.S.; Mohammed, O.B.; Bennett, N.C.; Petevinos, C.; Alagaili, A.N. Molecular detection of novel Anaplasmataceae closely related to Anaplasma platys and Ehrlichia canis in the dromedary camel (Camelus dromedarius). Vet. Microbiol. 2015, 179, 310–314. [Google Scholar] [CrossRef]
- Schotthoefer, A.M.; Meece, J.K.; Ivacic, L.C.; Bertz, P.D.; Zhang, K.; Weiler, T.; Uphoff, T.S.; Fritsche, T.R. Comparison of a real-time PCR method with serology and blood smear analysis for diagnosis of human anaplasmosis: Importance of infection time course for optimal test utilization. J. Clin. Microbiol. 2013, 51, 2147–2153. [Google Scholar] [CrossRef]
- Madruga, C.R.; Marques, A.P.C.; Leal, C.R.B.; Carvalho, C.M.E.; Araújo, F.R.; Kessler, R.H. Evaluation of an enzyme-linked immunosorbent assay to detect antibodies against Anaplasma marginale %J Pesquisa Veterinária Brasileira. Pesqui. Veterinária Bras. 2000, 20, 109–112. [Google Scholar] [CrossRef]
- Greiner, M.; Pfeiffer, D.; Smith, R.D. Principles and practical application of the receiver-operating characteristic analysis for diagnostic tests. Prev. Vet. Med. 2000, 45, 23–41. [Google Scholar] [CrossRef]
- OIE. Chapter 1.1.8. Principles and Methods of Validation of Diagnostic Assays for Infectious Diseases. In Manual of Diagnostic Tests and Vaccines for Terrestrial Animals 2018; OIE: Paris, France, 2019; Available online: http://www.oie.int/standard-setting/terrestrial-manual/access-online/ (accessed on 27 February 2020).
- Pontius, R.; Si, K. The total operating characteristic to measure diagnostic ability for multiple thresholds. Int. J. Geogr. Inf. Sci. 2014, 28, 570–583. [Google Scholar] [CrossRef]
- Perkins, N.J.; Schisterman, E.F.; Vexler, A. Receiver operating characteristic curve inference from a sample with a limit of detection. Am. J. Epidemiol. 2007, 165, 325–333. [Google Scholar] [CrossRef]
- Mason, K.L.; Gonzalez, M.V.; Chung, C.; Mousel, M.R.; White, S.N.; Taylor, J.B.; Scoles, G.A. Validation of an improved Anaplasma antibody competitive ELISA for detection of Anaplasma ovis antibody in domestic sheep. J. Vet. Diagn. Investig. 2017, 29, 763–766. [Google Scholar] [CrossRef] [PubMed]
- Scoles, G.A.; Goff, W.L.; Lysyk, T.J.; Lewis, G.S.; Knowles, D.P. Validation of an Anaplasma marginale cELISA for use in the diagnosis of A. ovis infections in domestic sheep and Anaplasma spp. in wild ungulates. Vet. Microbiol. 2008, 130, 184–190. [Google Scholar] [CrossRef] [PubMed]
- Classen, D.C.; Morningstar, J.M.; Shanley, J.D. Detection of antibody to murine cytomegalovirus by enzyme-linked immunosorbent and indirect immunofluorescence assays. J. Clin. Microbiol. 1987, 25, 600–604. [Google Scholar] [CrossRef]
- Pan, A.A.; Rosenberg, G.B.; Hurley, M.K.; Schock, G.J.; Chu, V.P.; Aiyappa, A. Clinical evaluation of an EIA for the sensitive and specific detection of serum antibody to Trypanosoma cruzi (Chagas’ disease). J. Infect. Dis. 1992, 165, 585–588. [Google Scholar] [CrossRef] [PubMed]
- Lardeux, F.; Torrico, G.; Aliaga, C. Calculation of the ELISA’s cut-off based on the change-point analysis method for detection of Trypanosoma cruzi infection in Bolivian dogs in the absence of controls. Memórias Inst. Oswaldo Cruz 2016, 111, 501–504. [Google Scholar] [CrossRef]
- Frey, A.; Di Canzio, J.; Zurakowski, D. A statistically defined endpoint titer determination method for immunoassays. J. Immunol. Methods 1998, 221, 35–41. [Google Scholar] [CrossRef]
- Elhariri, M.D.; Elhelw, R.A.; Hamza, D.A.; Soliman, D.E. Molecular detection of Anaplasma marginale in the Egyptian water bufaloes (Bubuloes bubalis) based on major surface protein 1α. J. Egy. Soc. Parasitol. 2017, 47, 247–252. [Google Scholar]
- Fereig, R.M.; Mohamed, S.G.A.; Mahmoud, H.; AbouLaila, M.R.; Guswanto, A.; Nguyen, T.T.; Ahmed Mohamed, A.E.; Inoue, N.; Igarashi, I.; Nishikawa, Y. Seroprevalence of Babesia bovis, B. bigemina, Trypanosoma evansi, and Anaplasma marginale antibodies in cattle in southern Egypt. Ticks Tick-Borne Dis. 2017, 8, 125–131. [Google Scholar] [CrossRef]
- Loftis, A.D.; Reeves, W.K.; Szumlas, D.E.; Abbassy, M.M.; Helmy, I.M.; Moriarity, J.R.; Dasch, G.A. Rickettsial agents in Egyptian ticks collected from domestic animals. Exp. Appl. Acarol. 2006, 40, 67–81. [Google Scholar] [CrossRef]
- Loftis, A.D.; Reeves, W.K.; Szumlas, D.E.; Abbassy, M.M.; Helmy, I.M.; Moriarity, J.R.; Dasch, G.A. Surveillance of egyptian fleas for agents pf public health significance: Anaplasma, bartonella, coxiella, ehrlichia. Am. Soc. Trop. Med. Hyg. 2006, 75, 41–48. [Google Scholar] [CrossRef]
- Loftis, A.D.; Reeves, W.K.; Szumlas, D.E.; Abbassy, M.M.; Helmy, I.M.; Moriarity, J.R.; Dasch, G.A. Population survey of Egyptian arthropods for rickettsial agents. Ann. N. Y. Acad. Sci. 2006, 1078, 364–367. [Google Scholar] [CrossRef] [PubMed]
- Radwan, M.E.; Ali, A.; Abd el Hamied, O. Epidemiological Studies, Molecular Diagnosis of Anaplasma marginale in Cattle and Biochemical Changes Associated with it in Kaliobia Governorate. Glob. Adv. Res. J. Med. Med. Sci. 2013, 1, 46–49. [Google Scholar] [CrossRef][Green Version]
- Barghash, S.M.; Hafez, A.A. Molecular detection of pathogens in ticks infesting camels in Matrouh governorate, Egypt. J. Bacteriol. Parasitol. 2016, 7, 1–7. [Google Scholar] [CrossRef]
- Ghafar, M.W.; Amer, S.A. Prevalence and first molecular characterization of Anaplasma phagocytophilum, the agent of human granulocytic anaplasmosis, in Rhipicephalus sanguineus ticks attached to dogs from Egypt. J. Adv. Res. 2012, 3, 189–194. [Google Scholar] [CrossRef]
- Salm, F.F.; Younis, E.E.; Hegazy, N.M.; El-Sawalhy, A.A. Epidemiological studies on bovine anaplasmosis. Bull. Anim. Health Prod. Afr. 2011, 59, 179–189. [Google Scholar]
- Klemmer, J.; Njeru, J.; Emam, A.; El-Sayed, A.; Moawad, A.A.; Henning, K.; Elbeskawy, M.A.; Sauter-Louis, C.; Straubinger, R.K.; Neubauer, H.; et al. Q fever in Egypt: Epidemiological survey of Coxiella burnetii specific antibodies in cattle, buffaloes, sheep, goats and camels. PLoS ONE 2018, 13, e0192188. [Google Scholar] [CrossRef]
- VMRD. Product Catalog. Available online: https://www.vmrd.com/core/files/vmrd/uploads/files/VMRD%20Catalog_4_2_18.pdf (accessed on 27 February 2020).
- Scoles, G.A.; Ueti, M.W.; Palmer, G.H. Variation among geographically separated populations of dermacentor andersoni (Acari: Ixodidae) in midgut susceptibility to Anaplasma marginale (Rickettsiales: Anaplasmataceae). J. Med. Entomol. 2005, 42, 153–162. [Google Scholar] [CrossRef]
- Davies, C. Immunoassay Performance Measures. In The Immunoassay Handbook, 4th ed.; Wild, D., Ed.; Elsevier: Oxford, UK, 2013; pp. 11–26. [Google Scholar] [CrossRef]
- Theodorsson, E.; Magnusson, B.; Leito, I. Bias in clinical chemistry. Bioanalysis 2014, 6, 2855–2875. [Google Scholar] [CrossRef]
- Perez, A.M. Past, present, and future of veterinary epidemiology and economics: One health, many challenges, no silver bullets. Front. Vet. Sci. 2015, 2, 60. [Google Scholar] [CrossRef]
- Napp, S.; Chevalier, V.; Busquets, N.; Calistri, P.; Casal, J.; Attia, M.; Elbassal, R.; Hosni, H.; Farrag, H.; Hassan, N.; et al. Understanding the legal trade of cattle and camels and the derived risk of Rift Valley Fever introduction into and transmission within Egypt. PLoS Negl. Trop. Dis. 2018, 12. [Google Scholar] [CrossRef]
- Agarwal, S.; Cunningham-Rundles, C. Assessment and clinical interpretation of reduced IgG values. Ann. Allergy Asthma Immunol. 2007, 99, 281–283. [Google Scholar] [CrossRef]
- IMGT. Camelidae IgG Antibodies. Available online: http://www.imgt.org/IMGTbiotechnology/Camel_IgG.html (accessed on 18 July 2019).



| Domain | Western Desert 193 (44.2%) | Nile Valley and Delta 175 (40%) | Eastern Desert 69 (15.8%) | Total Samples 437 | |
|---|---|---|---|---|---|
| Age | ≤4 years | 32 (16.6%) | 48 (27.4%) | 17 (24.6%) | 97 (22.2%) |
| >4 years | 161 (83.4%) | 127 (72.6%) | 52 (75.4%) | 340 (77.8%) | |
| Origin (Egypt/other country) | 193/0 (100%/0) | 13/162 (7.4%, 92.6%) | 0/69 (0/100%) | 206/231 (47.1%/52.9%) | |
| Husbandry | Stable | 0 | 15 (8.6%) | 0 | 15 (3.4%) |
| Nomadic | 193 (100%) | 133 (76.0%) | 69 (100%) | 395 (90.4%) | |
| Missing | 0 | 27 (15.4%) | 0 | 27 (6.2%) | |
| Tick infestation | 0 | 13 (7.4%) | 21 (10.0%) | 34 (7.78%) | |
| Animal Species | Samples | Area Under the Curve | Coordinates of the Curve | |||||||
|---|---|---|---|---|---|---|---|---|---|---|
| Positive | Negative | Area | Std. Error | Asymptotic Signs | Asymptotic 95% Confidence Intervals | |||||
| Low Bound | Upper Bound | Positive | Sensitivity | Specificity | ||||||
| Cattle | 7 | 60 | 1.000 | 0.000 (<001) | 0.000 (<001) | 1 | 1 | ≤0.18 | 0.857 | 0 (100%) |
| ≤0.40 * | 1 * | 0 (100%) * | ||||||||
| ≤0.61 | 1 | 0.017 (98.3%) | ||||||||
| Camels | 7 | 29 | 1.000 | 0.000 (<001) | 0.000 (<001) | 1 | 1 | ≤0.33 | 0.857 | 0 (100%) |
| ≤0.42 * | 1 * | 0 (100% ) * | ||||||||
| ≤0.51 | 1 | 0.034 (96.6%) | ||||||||
| Simulation for camels | 470 | 1830 | 0.779 | 0.015 | 0.000 (<001) | 0.750 | 0.807 | ≤0.42 | 0.581 | 0.021 (97.7%) |
| ≤0.42 * | 0.581 * | 0.022 (97.8%) * | ||||||||
| ≤0.42 | 0.581 | 0.022 (97.8%) | ||||||||
| Risk Factors | cELISA | Chi-Quadrat-Pearson | Phi and Cramer Value | |||
|---|---|---|---|---|---|---|
| No. of Positive Animals | ||||||
| Proportion in Total Positive Animals (%) | Proportion in Population (Seroprevalence) | |||||
| Domain | Western Desert | 34 | 22.8 | 17.6 | Χ(2) = 41.8 (p value ≤ 0.001) | 0.309 (p value ≤ 0.001) |
| Nile Valley and Delta | 83 | 55.7 | 47.4 | |||
| Eastern Desert | 32 | 21.5 | 46.4 | |||
| Total | 149 | 100 | 34.1 | |||
| Origin (Egypt/other country) | 39/110 | 26.2/72.5 | 18.9/48.6 | Χ(2) = 42.568 (p value ≤ 0.001) | 0.312 (p value ≤ 0.001) | |
| Age group | ≤4 years | 40 | 22.2 | 41.2 | Χ(1) = 2.899 (p value = 0.093) | 0.080 (p value = 0.093) |
| >4 years | 109 | 77.8 | 32.1 | |||
| Husbandry | Stable | 6 | 4.3 | 0.4 | Χ(1) = 0.258 (p value = 0.61) | 0.025 (p value = 0.611) |
| Nomadic | 133 | 95.7 | 33.7 | |||
| missing | 10 | 6.7 | 10/27 = 37 | |||
| Tick infestation | 16 | 10.7 | 47.1 | Χ(2) = 3.819 (p value = 0.148) | 0.0930 (p value = 0.148) | |
| Domain | Governorate | No. of Tested Camels | Seroprevalence n (%) |
|---|---|---|---|
| Western Desert Area | Matrouh | 91 | 12 (13.2%) |
| New valley | 102 | 22 (21.6%) | |
| Eastern Desert Area | Red Sea | 69 | 32 (46.4%) |
| Nile valley and Delta Area | Alexandria | 8 | 1 (12.5%) |
| Aswan | 31 | 24 (77.4%) | |
| Beheira | 8 | 2 (2.5.0%) | |
| Beni-Suef | 10 | 5 (50.0%) | |
| Cairo | 8 | 3 (37.5%) | |
| Dakahlia | 8 | 3 (37.5%) | |
| Damietta | 8 | 3 (37.5%) | |
| Fayoum | 8 | 3 (37.5%) | |
| Gharbia | 6 | 2 (33.3%) | |
| Giza | 7 | 3 (42.9%) | |
| Ismailia | 7 | 2 (28.6%) | |
| Kafr el-Sheikh | 5 | 3 (60.0%) | |
| Luxor | 9 | 6 (66.7%) | |
| Menofia | 7 | 5 (71.4%) | |
| Port Said | 8 | 3 (37.5%) | |
| Qena | 11 | 4 (36.4%) | |
| Qualyubia | 1 | 1 (100%) | |
| Sharkia | 7 | 3 (42.9%) | |
| Sohag | 10 | 5 (50.0%) | |
| Suez | 8 | 2 (25.0%) | |
| Total | 437 | 149 (34.7%) | |
© 2020 by the authors. Licensee MDPI, Basel, Switzerland. This article is an open access article distributed under the terms and conditions of the Creative Commons Attribution (CC BY) license (http://creativecommons.org/licenses/by/4.0/).
Share and Cite
Parvizi, O.; El-Adawy, H.; Roesler, U.; Neubauer, H.; Mertens-Scholz, K. Performance Analysis of Anaplasma Antibody Competitive ELISA Using the ROC Curve for Screening of Anaplasmosis in Camel Populations in Egypt. Pathogens 2020, 9, 165. https://doi.org/10.3390/pathogens9030165
Parvizi O, El-Adawy H, Roesler U, Neubauer H, Mertens-Scholz K. Performance Analysis of Anaplasma Antibody Competitive ELISA Using the ROC Curve for Screening of Anaplasmosis in Camel Populations in Egypt. Pathogens. 2020; 9(3):165. https://doi.org/10.3390/pathogens9030165
Chicago/Turabian StyleParvizi, Omid, Hosny El-Adawy, Uwe Roesler, Heinrich Neubauer, and Katja Mertens-Scholz. 2020. "Performance Analysis of Anaplasma Antibody Competitive ELISA Using the ROC Curve for Screening of Anaplasmosis in Camel Populations in Egypt" Pathogens 9, no. 3: 165. https://doi.org/10.3390/pathogens9030165
APA StyleParvizi, O., El-Adawy, H., Roesler, U., Neubauer, H., & Mertens-Scholz, K. (2020). Performance Analysis of Anaplasma Antibody Competitive ELISA Using the ROC Curve for Screening of Anaplasmosis in Camel Populations in Egypt. Pathogens, 9(3), 165. https://doi.org/10.3390/pathogens9030165

