Common Structural Patterns in the Maxicircle Divergent Region of Trypanosomatidae
Abstract
1. Introduction
2. Results
2.1. Complete Maxicircle Assembly Overview
2.2. Nucleotide-Level Analysis of the DR Sequences
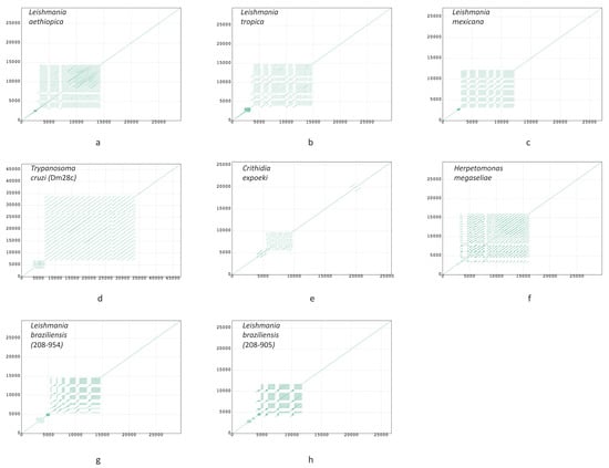
2.3. Large-Scale Divergent Region Architecture
2.4. Comparative Analysis and Dynamics of DR Structure
2.5. Quality Control of Maxicircle Assemblies
3. Discussion
4. Materials and Methods
4.1. Complete Maxicircle Assembly
4.2. Maxicircle Annotation
4.3. Quality Control of the Assemblies
4.4. Analysis of Repeats
4.5. Plotting DR Maps
5. Conclusions
Supplementary Materials
Author Contributions
Funding
Conflicts of Interest
Appendix


References
- Maslov, D.A.; Opperdoes, F.R.; Kostygov, A.Y.; Hashimi, H.; Lukeš, J.; Yurchenko, V. Recent advances in trypanosomatid research: Genome organization, expression, metabolism, taxonomy and evolution. Parasitology 2019, 146, 1–27. [Google Scholar] [CrossRef] [PubMed]
- Lukeš, J.; Butenko, A.; Hashimi, H.; Maslov, D.A.; Votýpka, J.; Yurchenko, V. Trypanosomatids are much more than just trypanosomes: Clues from the expanded family tree. Trends Parasitol. 2018, 34, 466–480. [Google Scholar] [CrossRef] [PubMed]
- Lukeš, J.; Guilbride, D.L.; Votýpka, J.; Zíková, A.; Benne, R.; Englund, P.T. Kinetoplast DNA network: Evolution of an improbable structure. Eukaryot Cell 2002, 1, 495–502. [Google Scholar] [CrossRef] [PubMed]
- Aphasizhev, R.; Aphasizheva, I. Mitochondrial RNA editing in trypanosomes: Small RNAs in control. Biochimie 2014, 100, 125–131. [Google Scholar] [CrossRef] [PubMed]
- Simpson, L.; Sbicego, S.; Aphasizhev, R. Uridine insertion/deletion RNA editing in trypanosome mitochondria: A complex business. RNA 2003, 9, 265–276. [Google Scholar] [CrossRef] [PubMed]
- Yurchenko, V.; Kolesnikov, A.A. [Minicircular kinetoplast DNA of Trypanosomatidae]. Mol. Biol. (Mosk) 2001, 35, 3–13. (In Russian) [Google Scholar] [CrossRef]
- Thomas, S.; Martinez, L.L.; Westenberger, S.J.; Sturm, N.R. A population study of the minicircles in Trypanosoma cruzi: Predicting guide RNAs in the absence of empirical RNA editing. BMC Genom. 2007, 8, 133. [Google Scholar] [CrossRef]
- Hong, M.; Simpson, L. Genomic organization of Trypanosoma brucei kinetoplast DNA minicircles. Protist 2003, 154, 265–279. [Google Scholar] [CrossRef]
- Shapiro, T.A. Kinetoplast DNA maxicircles: Networks within networks. Proc. Natl. Acad. Sci. USA 1993, 90, 7809–7813. [Google Scholar] [CrossRef]
- Flegontov, P.N.; Kolesnikov, A.A. Radically different maxicircle classes within the same kinetoplast: An artefact or a novel feature of the kinetoplast genome? Kinetoplastid Biol. Dis. 2006, 5, 5. [Google Scholar] [CrossRef][Green Version]
- Messenger, L.A.; Llewellyn, M.S.; Bhattacharyya, T.; Franzen, O.; Lewis, M.D.; Ramirez, J.D.; Carrasco, H.J.; Andersson, B.; Miles, M.A. Multiple mitochondrial introgression events and heteroplasmy in Trypanosoma cruzi revealed by maxicircle MLST and Next-Generation Sequencing. PLoS Negl. Trop. Dis. 2012, 6, e1584. [Google Scholar] [CrossRef] [PubMed]
- Westenberger, S.J.; Cerqueira, G.C.; El-Sayed, N.M.; Zingales, B.; Campbell, D.A.; Sturm, N.R. Trypanosoma cruzi mitochondrial maxicircles display species- and strain-specific variation and a conserved element in the non-coding region. BMC Genom. 2006, 7, 60. [Google Scholar] [CrossRef] [PubMed]
- Carranza, J.C.; Valadares, H.M.; D’Avila, D.A.; Baptista, R.P.; Moreno, M.; Galvao, L.M.; Chiari, E.; Sturm, N.R.; Gontijo, E.D.; Macedo, A.M.; et al. Trypanosoma cruzi maxicircle heterogeneity in Chagas disease patients from Brazil. Int. J. Parasitol. 2009, 39, 963–973. [Google Scholar] [CrossRef] [PubMed]
- Cooper, S.; Wadsworth, E.S.; Ochsenreiter, T.; Ivens, A.; Savill, N.J.; Schnaufer, A. Assembly and annotation of the mitochondrial minicircle genome of a differentiation-competent strain of Trypanosoma brucei. Nucleic Acids Res. 2019, 47, 11304–11325. [Google Scholar] [CrossRef] [PubMed]
- Kleisen, C.M.; Borst, P. Sequence heterogeneity of the mini-circles of kinetoplast DNA of Crithidia luciliae and evidence for the presence of a component more complex than mini-circle DNA in the kinetoplast network. Biochim. Biophys. Acta 1975, 407, 473–478. [Google Scholar] [CrossRef]
- Pestov, D.G.; Gladkaya, L.A.; Maslov, D.A.; Kolesnikov, A.A. Characterization of kinetoplast minicircle DNA in the lower trypanosomatid Crithidia oncopelti. Mol. Biochem. Parasitol. 1990, 41, 135–145. [Google Scholar] [CrossRef]
- Challberg, S.S.; Englund, P.T. Heterogeneity of minicircles in kinetoplast DNA of Leishmania tarentolae. J. Mol. Biol. 1980, 138, 447–472. [Google Scholar] [CrossRef]
- Camacho, E.; Rastrojo, A.; Sanchiz, A.; Gonzalez-de la Fuente, S.; Aguado, B.; Requena, J.M. Leishmania mitochondrial genomes: Maxicircle structure and heterogeneity of minicircles. Genes (Basel) 2019, 10, 758. [Google Scholar] [CrossRef]
- Maslov, D.A.; Kolesnikov, A.A.; Zaitseva, G.N. Conservative and divergent base sequence regions in the maxicircle kinetoplast DNA of several trypanosomatid flagellates. Mol. Biochem. Parasitol. 1984, 12, 351–364. [Google Scholar] [CrossRef]
- Simpson, L.; Neckelmann, N.; de la Cruz, V.F.; Simpson, A.M.; Feagin, J.E.; Jasmer, D.P.; Stuart, J.E. Comparison of the maxicircle (mitochondrial) genomes of Leishmania tarentolae and Trypanosoma brucei at the level of nucleotide sequence. J. Biol. Chem. 1987, 262, 6182–6196. [Google Scholar]
- Kaufer, A.; Barratt, J.; Stark, D.; Ellis, J. The complete coding region of the maxicircle as a superior phylogenetic marker for exploring evolutionary relationships between members of the Leishmaniinae. Infect. Genet. Evol. 2019, 70, 90–100. [Google Scholar] [CrossRef]
- Myler, P.J.; Glick, D.; Feagin, J.E.; Morales, T.H.; Stuart, K.D. Structural organization of the maxicircle variable region of Trypanosoma brucei: Identification of potential replication origins and topoisomerase II binding sites. Nucleic Acids Res. 1993, 21, 687–694. [Google Scholar] [CrossRef] [PubMed][Green Version]
- Borst, P.; Weijers, P.J.; Brakenhoff, G.J. Analysis by electron microscopy of the variable segment in the maxicircle of kinetoplast DNA from Trypanosoma brucei. Biochim. Biophys. Acta 1982, 699, 272–280. [Google Scholar] [CrossRef]
- Borst, P.; Fase-Fowler, F.; Hoeijmakers, J.H.; Frasch, A.C. Variations in maxicircle and minicircle sequences in kinetoplast DNAs from different Trypanosoma brucei strains. Biochim. Biophys. Acta 1980, 610, 197–210. [Google Scholar] [CrossRef]
- Muhich, M.L.; Simpson, L.; Simpson, A.M. Comparison of maxicircle DNAs of Leishmania tarentolae and Trypanosoma brucei. Proc. Natl. Acad. Sci. USA 1983, 80, 4060–4064. [Google Scholar] [CrossRef] [PubMed]
- Muhich, M.L.; Neckelmann, N.; Simpson, L. The divergent region of the Leishmania tarentolae kinetoplast maxicircle DNA contains a diverse set of repetitive sequences. Nucleic Acids Res. 1985, 13, 3241–3260. [Google Scholar] [CrossRef][Green Version]
- Sloof, P.; de Haan, A.; Eier, W.; van Iersel, M.; Boel, E.; van Steeg, H.; Benne, R. The nucleotide sequence of the variable region in Trypanosoma brucei completes the sequence analysis of the maxicircle component of mitochondrial kinetoplast DNA. Mol. Biochem. Parasitol. 1992, 56, 289–299. [Google Scholar] [CrossRef]
- Lee, S.T.; Liu, H.Y.; Chu, T.; Lin, S.Y. Specific A+T-rich repetitive DNA sequences in maxicircles from wildtype Leishmania mexicana amazonensis and variants with DNA amplification. Exp. Parasitol. 1994, 79, 29–40. [Google Scholar] [CrossRef]
- Borst, P.; Hoeijmakers, J.H.; Hajduk, S. Structure, function and evolution of kinetoplast DNA. Parasitology 1981, 82, 81–93. [Google Scholar]
- Ruvalcaba-Trejo, L.I.; Sturm, N.R. The Trypanosoma cruzi Sylvio X10 strain maxicircle sequence: The third musketeer. BMC Genom. 2011, 12, 58. [Google Scholar] [CrossRef]
- Lin, R.H.; Lai, D.H.; Zheng, L.L.; Wu, J.; Lukes, J.; Hide, G.; Lun, Z.R. Analysis of the mitochondrial maxicircle of Trypanosoma lewisi, a neglected human pathogen. Parasit Vectors 2015, 8, 665. [Google Scholar] [CrossRef] [PubMed][Green Version]
- Urrea, D.A.; Triana-Chavez, O.; Alzate, J.F. Mitochondrial genomics of human pathogenic parasite Leishmania (Viannia) panamensis. PeerJ 2019, 7, e7235. [Google Scholar] [CrossRef] [PubMed]
- Lee, S.T.; Tarn, C.; Wang, C.Y. Characterization of sequence changes in kinetoplast DNA maxicircles of drug-resistant Leishmania. Mol. Biochem. Parasitol. 1992, 56, 197–207. [Google Scholar] [CrossRef]
- Flegontov, P.N.; Strelkova, M.V.; Kolesnikov, A.A. The Leishmania major maxicircle divergent region is variable in different isolates and cell types. Mol. Biochem. Parasitol. 2006, 146, 173–179. [Google Scholar] [CrossRef] [PubMed]
- Lee, S.Y.; Lee, S.T.; Chang, K.P. Transkinetoplastidy—A novel phenomenon involving bulk alterations of mitochondrion-kinetoplast DNA of a trypanosomatid protozoan. J. Protozool. 1992, 39, 190–196. [Google Scholar] [CrossRef]
- Tørresen, O.K.; Star, B.; Mier, P.; Andrade-Navarro, M.A.; Bateman, A.; Jarnot, P.; Gruca, A.; Grynberg, M.; Kajava, A.V.; Promponas, V.J.; et al. Tandem repeats lead to sequence assembly errors and impose multi-level challenges for genome and protein databases. Nucleic Acids Res. 2019, 47, 10994–11006. [Google Scholar] [CrossRef]
- Gerasimov, E.S.; Gasparyan, A.A.; Kaurov, I.; Tichy, B.; Logacheva, M.D.; Kolesnikov, A.A.; Lukes, J.; Yurchenko, V.; Zimmer, S.L.; Flegontov, P. Trypanosomatid mitochondrial RNA editing: Dramatically complex transcript repertoires revealed with a dedicated mapping tool. Nucleic Acids Res. 2018, 46, 765–781. [Google Scholar] [CrossRef]
- Aravin, A.A.; Yurchenko, V.; Merzlyak, E.; Kolesnikov, A.A. The mitochondrial ND8 gene from Crithidia oncopelti is not pan-edited. FEBS Lett. 1998, 431, 457–460. [Google Scholar] [CrossRef]
- Gerasimov, E.S.; Kostygov, A.Y.; Yan, S.; Kolesnikov, A.A. From cryptogene to gene? ND8 editing domain reduction in insect trypanosomatids. Eur. J. Protistol. 2012, 48, 185–193. [Google Scholar] [CrossRef]
- Flegontov, P.; Guo, Q.; Ren, L.; Strelkova, M.V.; Kolesnikov, A.A. Conserved repeats in the kinetoplast maxicircle divergent region of Leishmania sp. and Leptomonas seymouri. Mol. Genet. Genom. 2006, 276, 322–333. [Google Scholar] [CrossRef]
- Horváth, A.; Maslov, D.A.; Peters, L.S.; Haviernik, P.; Wuestenhagen, T.; Kolesnikov, A.A. Analysis of the sequence repeats in the divergent region of maxicircle DNA from kinetoplasts of Crithidia oncopelti. Mol. Biol. (Mosk) 1990, 24, 1539–1548. (In Russian) [Google Scholar]
- Flegontov, P.; Butenko, A.; Firsov, S.; Kraeva, N.; Eliáš, M.; Field, M.C.; Filatov, D.; Flegontova, O.; Gerasimov, E.S.; Hlaváčová, J.; et al. Genome of Leptomonas pyrrhocoris: A high-quality reference for monoxenous trypanosomatids and new insights into evolution of Leishmania. Sci. Rep. 2016, 6, 23704. [Google Scholar] [CrossRef]
- Gerasimov, E.; Zemp, N.; Schmid-Hempel, R.; Schmid-Hempel, P.; Yurchenko, V. Genomic variation among strains of Crithidia bombi and C. expoeki. mSphere 2019, 4, e00482-19. [Google Scholar] [CrossRef] [PubMed]
- Koren, S.; Walenz, B.P.; Berlin, K.; Miller, J.R.; Bergman, N.H.; Phillippy, A.M. Canu: Scalable and accurate long-read assembly via adaptive k-mer weighting and repeat separation. Genome Res. 2017, 27, 722–736. [Google Scholar] [CrossRef] [PubMed]
- Kurtz, S.; Phillippy, A.; Delcher, A.L.; Smoot, M.; Shumway, M.; Antonescu, C.; Salzberg, S.L. Versatile and open software for comparing large genomes. Genome Biol. 2004, 5, R12. [Google Scholar] [CrossRef]
- Li, H.; Durbin, R. Fast and accurate long-read alignment with Burrows-Wheeler transform. Bioinformatics 2010, 26, 589–595. [Google Scholar] [CrossRef]
- Ramirez-Gonzalez, R.H.; Bonnal, R.; Caccamo, M.; Maclean, D. Bio-SAMtools: Ruby bindings for SAMtools, a library for accessing BAM files containing high-throughput sequence alignments. Source Code Biol. Med. 2012, 7, 6. [Google Scholar] [CrossRef]
- Langmead, B.; Salzberg, S.L. Fast gapped-read alignment with Bowtie 2. Nat. Methods 2012, 9, 357–359. [Google Scholar] [CrossRef]
- Freese, N.H.; Norris, D.C.; Loraine, A.E. Integrated genome browser: Visual analytics platform for genomics. Bioinformatics 2016, 32, 2089–2095. [Google Scholar] [CrossRef]
- Kolpakov, R.; Bana, G.; Kucherov, G. Mreps: Efficient and flexible detection of tandem repeats in DNA. Nucleic Acids Res. 2003, 31, 3672–3678. [Google Scholar] [CrossRef]
- Rice, P.; Longden, I.; Bleasby, A. EMBOSS: The European Molecular Biology Open Software Suite. Trends Genet. 2000, 16, 276–277. [Google Scholar] [CrossRef]
- Krzywinski, M.; Schein, J.; Birol, I.; Connors, J.; Gascoyne, R.; Horsman, D.; Jones, S.J.; Marra, M.A. Circos: An information aesthetic for comparative genomics. Genome Res. 2009, 19, 1639–1645. [Google Scholar] [CrossRef] [PubMed]






| Species (Strain) | Length, bp | DR, bp | CR, bp | Coverage | Reads | GenBank Accession |
|---|---|---|---|---|---|---|
| Leishmania (Viannia) guyanensis (204-365) | 27,631 | 11,485 | 16,146 | 8.2 | 39 | MN904521 |
| Leishmania (Leishmania) mexicana (215-49) | 27,138 | 10,860 | 16,278 | 10.6 | 36 | MN904523 |
| Leishmania (L.) aethiopica (209-622) | 29,037 | 12,978 | 16,059 | 5.1 | 20 * | MN904514 |
| Leishmania (L.) infantum (193-S1775) | 29,512 | 13,313 | 16,199 | 21.7 | 94 | MN904522 |
| Leishmania (L.) tropica (216-162) | 29,557 | 13406 | 16,151 | 20.1 | 64 | MN904525 |
| Leishmania (L.) amazonensis (210-660) | 33,779 | 17,521 | 16,258 | 10.0 | 37 | MN904515 |
| Leishmania (L.) donovani (193-S616) | 34,088 | 17,883 | 16,205 | 8.9 | 31 | MN904519 |
| Leishmania (L.) donovani (FDAARGOS_361) | 33,278 | 17,238 | 16,040 | 16.0 | 61 | MN904520 |
| Leishmania (L.) donovani (Pasteur) | 36,676 | 20,521 | 16,155 | 17.2 | 62 | MN904518 |
| Leishmania (V.) braziliensis (208-905) | 26,728 | 10,568 | 16,160 | 13.9 | 89 | MN904516 |
| Leishmania (V.) braziliensis (208-954) | 29,618 | 13,442 | 16,176 | 20.1 | 87 | MN904517 |
| Trypanosoma brucei (Lister 427) | 23,201 | 8391 | 14,810 | 9.1 | 33 * | MN904526 |
| Trypanosoma cruzi (TCC) | 39,883 | 24,498 | 15,385 | 25.7 | 93 | MN904528 |
| Trypanosoma cruzi (Dm28c) | 47,384 | 32,012 | 15,372 | 27.9 | 98 | MN904527 |
| Leptomonas pyrrhocoris (H10) | 31,564 | 15,450 | 16,114 | 19.9 | 47 | MN904524 |
| Herpetomonas megaseliae | 29,680 | 14,463 | 15,217 | 17.7 | 57 | MN904513 |
| Crithidia expoeki (BJ08_175) | 25,722 | 8594 | 17,128 | 26.78 | 57 | MN904512 |
| Species (Strain) | BioProject | Run Accession Number |
|---|---|---|
| Leishmania (L.) mexicana (215-49) | PRJNA484340 | SRR7867272, SRR7867273, SRR7867284,SRR7867285 |
| Leishmania guyanensis (204-365) | SRR7867261, SRR7867262, SRR7867269-SRR7867271 | |
| Leishmania (L.) aethiopica (209-622) | SRR8377733, SRR7867274, SRR7867278-SRR7867281 | |
| Leishmania (L.) infantum (193-S1775) | SRR7867264-SRR7867268 | |
| Leishmania (L.) tropica (216-162) | SRR7867286-SRR7867292 | |
| Leishmania (L.) amazonensis (210-660) | SRR7867275-SRR7867277, SRR8377732 | |
| Leishmania (V.) braziliensis (208-905) | SRR7880312; SRR7880319; SRR7880320 | |
| Leishmania (V.) braziliensis (208-954) | SRR7880309-SRR7880311 | |
| Leishmania (L.) donovani (193-S616) | SRR7880313, SRR7880314, SRR7880316 | |
| Leishmania donovani (1S line, FDAARGOS_361) | PRJNA231221 | SRR5932752-SRR5932754, SRR5932751 (Illumina, paired-end) |
| Leishmania donovani (1S2D line, Pasteur) 2 | PRJNA396645 | SRR5902665-SRR5902672 |
| Trypanosoma brucei (Lister 427) | PRJEB18945 | ERR1794935-ERR1794915 |
| Trypanosoma cruzi (TCC) | PRJNA432753 | SRR6822075 |
| Trypanosoma cruzi (Dm28c) | PRJNA433042 | SRR6809376 |
| Leptomonas pyrrhocoris (H10) | PRJNA598933 1 | |
| Herpetomonas megaseliae | PRJEB7883 | ERR1036240-ERR1036242, ERR1046607-ERR1046611 |
| Crithidia expoeki (BJ08_175) | Assembled sequence 3 |
© 2020 by the authors. Licensee MDPI, Basel, Switzerland. This article is an open access article distributed under the terms and conditions of the Creative Commons Attribution (CC BY) license (http://creativecommons.org/licenses/by/4.0/).
Share and Cite
Gerasimov, E.S.; Zamyatnina, K.A.; Matveeva, N.S.; Rudenskaya, Y.A.; Kraeva, N.; Kolesnikov, A.A.; Yurchenko, V. Common Structural Patterns in the Maxicircle Divergent Region of Trypanosomatidae. Pathogens 2020, 9, 100. https://doi.org/10.3390/pathogens9020100
Gerasimov ES, Zamyatnina KA, Matveeva NS, Rudenskaya YA, Kraeva N, Kolesnikov AA, Yurchenko V. Common Structural Patterns in the Maxicircle Divergent Region of Trypanosomatidae. Pathogens. 2020; 9(2):100. https://doi.org/10.3390/pathogens9020100
Chicago/Turabian StyleGerasimov, Evgeny S., Ksenia A. Zamyatnina, Nadezda S. Matveeva, Yulia A. Rudenskaya, Natalya Kraeva, Alexander A. Kolesnikov, and Vyacheslav Yurchenko. 2020. "Common Structural Patterns in the Maxicircle Divergent Region of Trypanosomatidae" Pathogens 9, no. 2: 100. https://doi.org/10.3390/pathogens9020100
APA StyleGerasimov, E. S., Zamyatnina, K. A., Matveeva, N. S., Rudenskaya, Y. A., Kraeva, N., Kolesnikov, A. A., & Yurchenko, V. (2020). Common Structural Patterns in the Maxicircle Divergent Region of Trypanosomatidae. Pathogens, 9(2), 100. https://doi.org/10.3390/pathogens9020100

