Bovine Tuberculosis (Mycobacterium bovis) Outbreak Duration in Cattle Herds in Ireland: A Retrospective Observational Study
Abstract
1. Introduction
2. Results
2.1. Model Distribution and Class Probability
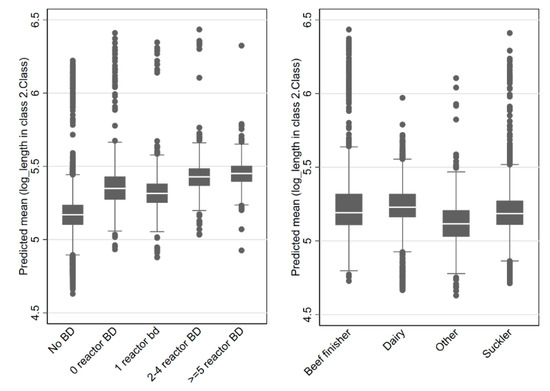
2.2. Development of a Multivariable Log-Normal FMM
3. Discussion
4. Materials and Methods
4.1. Data
4.2. Model
Supplementary Materials
Author Contributions
Funding
Acknowledgments
Conflicts of Interest
References
- Clarke, A.; Maher, J.; Byrne, A.W.; More, S.J.; Horan, M.; Barrett, D. Development and application of a prioritisation tool for animal health surveillance activities in Ireland. Front. Vet. Sci. 2020, 5. in review. [Google Scholar]
- Byrne, A.W.; Barrett, D.; Breslin, P.; Madden, J.M.; O’Keeffe, J.; Ryan, E. Future risk of bovine tuberculosis breakdown: A dominance analysis approach. BioRxiv 2020. [Google Scholar]
- Allen, A.R.; Skuce, R.A.; Byrne, A.W. Bovine tuberculosis in Britain and Ireland–A perfect storm? The confluence of potential ecological and epidemiological impediments to controlling a chronic infectious disease. Front. Vet. Sci. 2018, 5, 109. [Google Scholar] [CrossRef] [PubMed]
- De Garine-Wichatitsky, M.; Caron, A.; Kock, R.; Tschopp, R.; Munyeme, M.; Hofmeyr, M.; Michel, A. A review of bovine tuberculosis at the wildlife–livestock–human interface in sub-Saharan Africa. Epidemiol. Infect. 2013, 141, 1342–1356. [Google Scholar] [CrossRef] [PubMed]
- De Kantor, I.N.; Ritacco, V. An update on bovine tuberculosis programs in Latin American and Caribbean countries. Vet. Microbiol. 2006, 112, 111–118. [Google Scholar] [CrossRef] [PubMed]
- Cawley, A.; Cronin, A. Spending Review Animal Health: TB Eradication. Irish Government Economic and Evaluation Service (IGEES), Government of Ireland. Available online: http://budget.gov.ie/Budgets/2020/Documents/Budget/Animal%20Health%20-%20TB%20Eradication.pdf (accessed on 15 July 2020).
- More, S.J. Perspectives from the science-policy interface in animal health and welfare. Front. Vet. Sci. 2019, 6, 382. [Google Scholar] [CrossRef]
- Karolemeas, K.; McKinley, T.J.; Clifton-Hadley, R.S.; Goodchild, A.V.; Mitchell, A.; Johnston, W.T.; Conlan, A.J.K.; Donnelly, C.A.; Wood, J.L.N. Predicting prolonged bovine tuberculosis breakdowns in Great Britain as an aid to control. Prev. Vet. Med. 2010, 97, 183–190. [Google Scholar] [CrossRef]
- Milne, G.; Allen, A.; Graham, J.; Lahuerta-Marin, A.; McCormick, C.; Presho, E.; Reid, N.; Skuce, R.; Byrne, A.W. Bovine tuberculosis breakdown duration in cattle herds: An investigation of herd, host, pathogen and wildlife risk factors. PeerJ 2020, 8, e8319. [Google Scholar] [CrossRef]
- Kelly, P.; Shalloo, L.; Wallace, M.; Dillon, P. The Irish dairy industry–Recent history and strategy, current state and future challenges. Int. J. Dairy Technol. 2020, 73, 309–323. [Google Scholar] [CrossRef]
- Ashe, S.; More, S.J.; O’Keeffe, J.; White, P.; McGrath, G.; Aznar, I. Survival and dispersal of a defined cohort of Irish cattle. Ir. Vet. J. 2009, 62, 1–6. [Google Scholar] [CrossRef]
- Brown, E.; Marshall, A.H.; Mitchell, H.J.; Byrne, A.W. Cattle movements in Northern Ireland form a robust network: Implications for disease management. Prev. Vet. Med. 2019, 170, 104740. [Google Scholar] [CrossRef] [PubMed]
- Gilbert, M.; Mitchell, A.; Bourn, D.; Mawdsley, J.; Clifton-Hadley, R.; Wint, W. Cattle movements and bovine tuberculosis in Great Britain. Nature 2005, 435, 491–496. [Google Scholar] [CrossRef] [PubMed]
- Doyle, L.P.; Courcier, E.A.; Gordon, A.W.; O’Hagan, M.J.H.; Menzies, F.D. Bovine tuberculosis in Northern Ireland: Risk factors associated with duration and recurrence of chronic herd breakdowns. Prev. Vet. Med. 2016, 131, 1–7. [Google Scholar] [CrossRef]
- Wolfe, D.M.; Berke, O.; Kelton, D.F.; White, P.W.; More, S.J.; O’Keeffe, J.; Martin, S.W. From explanation to prediction: A model for recurrent bovine tuberculosis in Irish cattle herds. Prev. Vet. Med. 2010, 94, 170–177. [Google Scholar] [CrossRef]
- Moran, J.L.; Solomon, P.J. ANZICS Centre for Outcome and Resource Evaluation (CORE) of the Australian and New Zealand Intensive Care Society (ANZICS). A review of statistical estimators for risk-adjusted length of stay: Analysis of the Australian and New Zealand intensive care adult patient data-base, 2008–2009. BMC Med. Res. Methodol. 2012, 12, 68. [Google Scholar] [CrossRef]
- McLachlan, G.J.; Peel, D. Finite Mixture Models; John Wiley & Sons: Hoboken, NJ, USA, 2004. [Google Scholar]
- Griffin, J.M.; Martin, S.W.; Thorburn, M.A.; Eves, J.A.; Hammond, R.F. A case-control study on the association of selected risk factors with the occurrence of bovine tuberculosis in the Republic of Ireland. Prev. Vet. Med. 1996, 27, 75–87. [Google Scholar] [CrossRef]
- Olea-Popelka, F.J.; White, P.W.; Collins, J.D.; O’Keeffe, J.; Kelton, D.F.; Martin, S.W. Breakdown severity during a bovine tuberculosis episode as a predictor of future herd breakdowns in Ireland. Prev. Vet. Med. 2004, 63, 163–172. [Google Scholar] [CrossRef]
- Green, L.E.; Cornell, S.J. Investigations of cattle herd breakdowns with bovine tuberculosis in four counties of England and Wales using VETNET data. Prev. Vet. Med. 2005, 70, 293–311. [Google Scholar] [CrossRef]
- Brooks-Pollock, E.; Keeling, M. Herd size and bovine tuberculosis persistence in cattle farms in Great Britain. Prev. Vet. Med. 2009, 92, 360–365. [Google Scholar] [CrossRef]
- Skuce, R.A.; Allen, A.R.; McDowell, S.W. Herd-level risk factors for bovine tuberculosis: A literature review. Vet. Med. Int. 2012, 2012. [Google Scholar] [CrossRef]
- Bessell, P.R.; Orton, R.; White, P.C.; Hutchings, M.R.; Kao, R.R. Risk factors for bovine tuberculosis at the national level in Great Britain. BMC Vet. Res. 2012, 8, 51. [Google Scholar] [CrossRef] [PubMed]
- Griffin, J.M.; Hahesy, T.; Lynch, K.; Salman, M.D.; McCarthy, J.; Hurley, T. The association of cattle husbandry practices, environmental factors and farmer characteristics with the occurrence of chronic bovine tuberculosis in dairy herds in the Republic of Ireland. Prev. Vet. Med. 1993, 17, 145–160. [Google Scholar] [CrossRef]
- Milne, G.M.; Graham, J.; Allen, A.; Lahuerta-Marin, A.; McCormick, C.; Presho, E.; Skuce, R.; Byrne, A.W. Spatiotemporal analysis of prolonged and recurrent bovine tuberculosis breakdowns in Northern Irish cattle herds reveals a new infection hotspot. Spat. Spatio Temporal Epidemiol. 2019, 28, 33–42. [Google Scholar] [CrossRef] [PubMed]
- Reilly, L.A.; Courtenay, O. Husbandry practices, badger sett density and habitat composition as risk factors for transient and persistent bovine tuberculosis on UK cattle farms. Prev. Vet. Med. 2007, 80, 129–142. [Google Scholar] [CrossRef]
- Brooks-Pollock, E.; Conlan, A.J.; Mitchell, A.P.; Blackwell, R.; McKinley, T.J.; Wood, J.L. Age-dependent patterns of bovine tuberculosis in cattle. Vet. Res. 2013, 44, 97. [Google Scholar] [CrossRef]
- Milne, M.G.; Graham, J.; Allen, A.R.; Lahuerta-Marin, A.; McCormick, C.; Presho, E.; Skuce, R.A.; Byrne, A.W. Herd Characteristics, Wildlife Risk and Bacterial Strain Genotypes in Persistent Breakdowns of Bovine Tuberculosis in Northern Irish Cattle Herds. In Proceedings of the SVEPM 2018 Conference Society of Veterinary Epidemiology and Preventive Medicine, Tallinn, Estonia, 21–23 March 2018. [Google Scholar]
- Clegg, T.A.; Good, M.; Hayes, M.; Duignan, A.; McGrath, G.; More, S.J. Trends and predictors of large tuberculosis episodes in cattle herds in Ireland. Front. Vet. Sci. 2018, 5, 86. [Google Scholar] [CrossRef]
- Milne, M.G.; Graham, J.; Allen, A.; McCormick, C.; Presho, E.; Skuce, R.; Byrne, A.W. Variation in Mycobacterium bovis genetic richness suggests that inwards cattle movements are a more important source of infection in beef herds than in dairy herds. BMC Microbiol. 2019, 19, 154. [Google Scholar] [CrossRef]
- Johnston, W.T.; Gettinby, G.; Cox, D.R.; Donnelly, C.A.; Bourne, J.; Clifton-Hadley, R.; Le Fevre, A.M.; McInerney, J.P.; Mitchell, A.; Morrison, W.I.; et al. Herd-level risk factors associated with tuberculosis breakdowns among cattle herds in England before the 2001 foot-and-mouth disease epidemic. Biol. Lett. 2005, 1, 53–56. [Google Scholar] [CrossRef]
- Mill, A.C.; Rushton, S.P.; Shirley, M.D.F.; Murray, A.W.A.; Smith, G.C.; Delahay, R.J.; McDonald, R.A. Farm-scale risk factors for bovine tuberculosis incidence in cattle herds during the Randomized Badger Culling Trial. Epidemiol. Infect. 2012, 140, 219–230. [Google Scholar] [CrossRef]
- Broughan, J.M.; Maye, D.; Carmody, P.; Brunton, L.A.; Ashton, A.; Wint, W.; Alexander, N.; Naylor, R.; Ward, K.; Goodchild, A.V.; et al. Farm characteristics and farmer perceptions associated with bovine tuberculosis incidents in areas of emerging endemic spread. Prev. Vet. Med. 2016, 129, 88–98. [Google Scholar] [CrossRef]
- Vial, F.; Johnston, W.T.; Donnelly, C.A. Local cattle and badger populations affect the risk of confirmed tuberculosis in British cattle herds. PLoS ONE 2011, 6, e18058. [Google Scholar] [CrossRef] [PubMed][Green Version]
- Houtsma, E.; Clegg, T.A.; Good, M.; More, S.J. Further improvement in the control of bovine tuberculosis recurrence in Ireland. Vet. Rec. 2018, 183, 622. [Google Scholar] [CrossRef] [PubMed]
- Byrne, A.W.; Barrett, D.; Breslin, P.; Madden, J.M.; O’Keeffe, J.; Ryan, E. Post-mortem surveillance of bovine tuberculosis in Ireland: Herd-level variation in the probability of herds disclosed with lesions at routine slaughter to have skin test reactors at follow-up test. Vet. Res. Commun. 2020, 1–6. [Google Scholar] [CrossRef]
- McLachlan, G.J.; McGiffin, D.C. On the role of finite mixture models in survival analysis. Stat. Methods Med. Res. 1994, 3, 211–226. [Google Scholar] [CrossRef] [PubMed]
- Asuni, C.; Manchia, M.; Deidda, A.; Stochino, M.E.; Cherchi, A.; Del Zompo, M. Mixture analysis of age at onset in migraine without aura: Evidence for three subgroups. Headache 2010, 50, 1313–1319. [Google Scholar] [CrossRef]
- Gortazar, C.; Vicente, J.; Boadella, M.; Ballesteros, C.; Galindo, R.C.; Garrido, J.; Aranaz, A.; de La Fuente, J. Progress in the control of bovine tuberculosis in Spanish wildlife. Vet. Microbiol. 2011, 151, 170–178. [Google Scholar] [CrossRef]
- Manchia, M.; Zai, C.C.; Squassina, A.; Vincent, J.B.; De Luca, V.; Kennedy, J.L. Mixture regression analysis on age at onset in bipolar disorder patients: Investigation of the role of serotonergic genes. Eur. Neuropsychopharmacol. 2010, 20, 663–670. [Google Scholar] [CrossRef]
- Nowrouzi, B.; Kamhi, R.; Hu, J.; Kennedy, J.L.; Matmari, M.; de Luca, V. Age at onset mixture analysis and systematic comparison in schizophrenia spectrum disorders: Is the onset heterogeneity dependent on heterogeneous diagnosis? Schizophr. Res. 2015, 164, 83–91. [Google Scholar] [CrossRef]
- Royston, P. The lognormal distribution as a model for survival time in cancer, with an emphasis on prognostic factors. Stat. Neerl. 2001, 55, 89–104. [Google Scholar] [CrossRef]
- Van Horn, M.L.; Smith, J.; Fagan, A.A.; Jaki, T.; Feaster, D.J.; Masyn, K.; Hawkins, J.D.; Howe, G. Not quite normal: Consequences of violating the assumption of normality in regression mixture models. Struct. Equ. Model. 2012, 19, 227–249. [Google Scholar] [CrossRef]
- Jaki, T.; Kim, M.; Lamont, A.; George, M.; Chang, C.; Feaster, D.; Van Horn, M.L. The effects of sample size on the estimation of regression mixture models. Educ. Psychol. Meas. 2019, 79, 358–384. [Google Scholar] [CrossRef] [PubMed]
- Magnussen, S.; Næsset, E.; Gobakken, T. An application niche for finite mixture models in forest resource surveys. Can. J. For. Res. 2019, 49, 1453–1462. [Google Scholar] [CrossRef]






| Model | BIC | AIC |
|---|---|---|
| Log(duration), k = 1 | 17,678.83 | 17,663.32 |
| Log(duration), k = 2 | 6532.47 | 6493.67 |
| Log(duration), k = 3 | 6092.97 | 6030.90 |
| Log(duration), k = 4 | 5737.85 | 5652.50 |
| GLM lognormal, k = 2 | 182,664.06 | 182,625.26 |
| GLM gamma, k = 2 | 183,161.31 | 183,122.52 |
| GLM Weibull, k = 2 | 185,397.98 | 185,359.19 |
| Model | Class Probability | Regression Predictors | BIC | AIC |
|---|---|---|---|---|
| Log(duration), k = 2 | . | log_hs herd_history herd_type | 5893.03 | 5730.09 |
| Log(duration), k = 2 | log_hs | log_hs herd_history herd_type | 5858.36 | 5687.66 |
| Log(duration), k = 2 | herd_type | log_hs herd_history herd_type | 5853.46 | 5667.24 |
| Log(duration), k = 2 | herd_history | log_hs herd_history herd_type | 5924.37 | 5730.39 |
| Log(duration), k = 2 | log_hs, herd_type | log_hs herd_history herd_type | 5849.29 | 5655.31 |
| Log(duration), k = 2 | log_hs, herd_history | log_hs herd_history herd_type | 5884.57 | 5682.83 |
| Log(duration), k = 2 | herd_type, herd_history | log_hs herd_history herd_type | 5879.33 | 5662.08 |
| Log(duration), k = 2 | log_hs, herd_type, herd_history | log_hs herd_history herd_type | 5872.54 | 5647.52 |
| Coef. | exp(Coef.) | SE | z | p | Lower 95% | Upper 95% | |
|---|---|---|---|---|---|---|---|
| log_hs | 0.070 | 1.073 | 0.018 | 3.860 | <0.001 | 0.035 | 0.106 |
| herd_type_num | |||||||
| Beef | <0.001 | 1.000 | |||||
| Dairy | 0.158 | 1.171 | 0.061 | 2.590 | 0.010 | 0.039 | 0.277 |
| Other | −0.331 | 0.718 | 0.099 | −3.350 | 0.001 | −0.525 | −0.137 |
| Suckler | −0.096 | 0.909 | 0.051 | −1.870 | 0.061 | −0.196 | 0.005 |
| Log_Length | Class 1 “Central” | Class 2 “Tail” | ||||||
|---|---|---|---|---|---|---|---|---|
| Coef. | p | Lower 95% | Upper 95% | Coef. | p | Lower 95% | Upper 95% | |
| log_hs | <0.001 | 0.835 | −0.003 | 0.002 | 0.090 | <0.001 | 0.077 | 0.102 |
| herd_history | ||||||||
| TB free | ref | ref | ||||||
| Zero reactors | −0.001 | 0.787 | −0.009 | 0.007 | 0.115 | <0.001 | 0.068 | 0.162 |
| 1 reactors | 0.015 | <0.001 | 0.007 | 0.023 | 0.129 | <0.001 | 0.076 | 0.182 |
| 2–4 reactors | 0.017 | <0.001 | 0.009 | 0.025 | 0.219 | <0.001 | 0.166 | 0.273 |
| ≥5 reactors | 0.017 | 0.004 | 0.005 | 0.029 | 0.226 | <0.001 | 0.155 | 0.296 |
| herd_type_num | ||||||||
| Beef | ref | ref | ||||||
| Dairy | 0.025 | <0.001 | 0.018 | 0.031 | −0.075 | <0.001 | −0.114 | −0.036 |
| Other | 0.003 | 0.560 | −0.006 | 0.012 | −0.095 | 0.003 | −0.157 | −0.033 |
| Suckler | 0.006 | 0.015 | 0.001 | 0.011 | −0.014 | 0.373 | −0.046 | 0.017 |
| Controlled finishing units | ||||||||
| Never | ref | ref | ||||||
| Designated | −0.001 | 0.932 | −0.030 | 0.027 | 0.710 | <0.001 | 0.603 | 0.818 |
| log_NPH | −0.003 | 0.040 | −0.005 | <0.001 | −0.014 | 0.054 | −0.028 | <0.001 |
| parcel_cut | ||||||||
| 1 | ref | ref | ||||||
| 2 | <0.001 | 0.902 | −0.006 | 0.006 | 0.026 | 0.177 | −0.012 | 0.063 |
| 3 | 0.004 | 0.224 | −0.002 | 0.010 | 0.031 | 0.110 | −0.007 | 0.069 |
| 4 | 0.005 | 0.116 | −0.001 | 0.012 | 0.064 | 0.002 | 0.023 | 0.105 |
| ≥5 | 0.001 | 0.736 | −0.005 | 0.007 | 0.049 | 0.006 | 0.014 | 0.084 |
| med_area | <0.001 | <0.001 | <0.001 | <0.001 | <0.001 | 0.299 | <0.001 | 0.001 |
| cut_mmoves | ||||||||
| <90 | ref | ref | ||||||
| >90 | −0.039 | <0.001 | −0.047 | −0.032 | 0.108 | <0.001 | 0.062 | 0.155 |
| bd_start_yr | <0.001 | 0.470 | −0.001 | 0.001 | −0.023 | <0.001 | −0.029 | −0.017 |
| Variable | n | Mean | Std. Dev. | exp(Mean) | Min | Max |
|---|---|---|---|---|---|---|
| log_length | 17,312 | 5.087 | 0.403 | 161.869 | 0.095 | 7.736 |
| log_hs | 17,312 | 4.058 | 1.162 | 57.887 | <0.001 | 7.385 |
| log_NPH | 17,312 | 4.397 | 0.986 | 81.210 | −4.605 | 6.733 |
| med_area | 17,312 | 49.360 | 39.962 | <1.000 | 754.900 | |
| herd_history | ||||||
| TB free | 13,833 | 80% | 0 | 1 | ||
| Zero reactors | 1156 | 7% | 0 | 1 | ||
| 1 reactor | 896 | 5% | 0 | 1 | ||
| 2–4 reactors | 935 | 5% | 0 | 1 | ||
| ≥5 reactors | 492 | 3% | 0 | 1 | ||
| herd_type | ||||||
| Beef | 3576 | 21% | 0 | 1 | ||
| Dairy | 4743 | 27% | 0 | 1 | ||
| Other | 830 | 5% | ||||
| Suckler | 8163 | 47% | 0 | 1 | ||
| Feedlot | ||||||
| 0 | 17,173 | 99% | ||||
| 1 | 139 | 1% | 0 | 1 | ||
| parcel_cut | ||||||
| 1 | 3030 | 18% | ||||
| 2 | 3299 | 19% | 0 | 1 | ||
| 3 | 3069 | 18% | 0 | 1 | ||
| 4 | 2425 | 14% | 0 | 1 | ||
| ≥5 | 5489 | 32% | 0 | 1 | ||
| cut_mmoves | ||||||
| 0 | 15,660 | 90% | ||||
| 1 | 1652 | 10% | 0 | 1 | ||
| bd_start_yr | ||||||
| 2012 | 1231 | 7% | ||||
| 2013 | 2473 | 14% | 0 | 1 | ||
| 2014 | 2466 | 14% | 0 | 1 | ||
| 2015 | 2486 | 14% | 0 | 1 | ||
| 2016 | 2571 | 15% | 0 | 1 | ||
| 2017 | 2935 | 17% | 0 | 1 | ||
| 2018 | 3150 | 18% | 0 | 1 |
© 2020 by the authors. Licensee MDPI, Basel, Switzerland. This article is an open access article distributed under the terms and conditions of the Creative Commons Attribution (CC BY) license (http://creativecommons.org/licenses/by/4.0/).
Share and Cite
Byrne, A.W.; Barrett, D.; Breslin, P.; Madden, J.M.; O'Keeffe, J.; Ryan, E. Bovine Tuberculosis (Mycobacterium bovis) Outbreak Duration in Cattle Herds in Ireland: A Retrospective Observational Study. Pathogens 2020, 9, 815. https://doi.org/10.3390/pathogens9100815
Byrne AW, Barrett D, Breslin P, Madden JM, O'Keeffe J, Ryan E. Bovine Tuberculosis (Mycobacterium bovis) Outbreak Duration in Cattle Herds in Ireland: A Retrospective Observational Study. Pathogens. 2020; 9(10):815. https://doi.org/10.3390/pathogens9100815
Chicago/Turabian StyleByrne, Andrew W., Damien Barrett, Philip Breslin, Jamie M. Madden, James O'Keeffe, and Eoin Ryan. 2020. "Bovine Tuberculosis (Mycobacterium bovis) Outbreak Duration in Cattle Herds in Ireland: A Retrospective Observational Study" Pathogens 9, no. 10: 815. https://doi.org/10.3390/pathogens9100815
APA StyleByrne, A. W., Barrett, D., Breslin, P., Madden, J. M., O'Keeffe, J., & Ryan, E. (2020). Bovine Tuberculosis (Mycobacterium bovis) Outbreak Duration in Cattle Herds in Ireland: A Retrospective Observational Study. Pathogens, 9(10), 815. https://doi.org/10.3390/pathogens9100815

