In Vitro Investigation of the Antimicrobial Properties of Gerês Propolis in Bacteria Isolated from Companion Animals and Safety Profile Characterization Using the Galleria mellonella Model
Abstract
1. Introduction
2. Materials and Methods
2.1. Propolis Sample and Extract Preparation
2.2. Chemical Characterization of Propolis Extract G23.EE
2.2.1. Total Polyphenol Content (TPC)
2.2.2. Total Flavonoid Content (TFC)
2.3. Microbial Strains and Growth Conditions
Antimicrobial Assays
2.4. Galleria Mellonella Larvae
Toxicity Assays
2.5. Statistical Analysis
3. Results
3.1. Extraction, Chemical Characterization, and In Vitro Antimicrobial Activity of Propolis Extract G23.EE
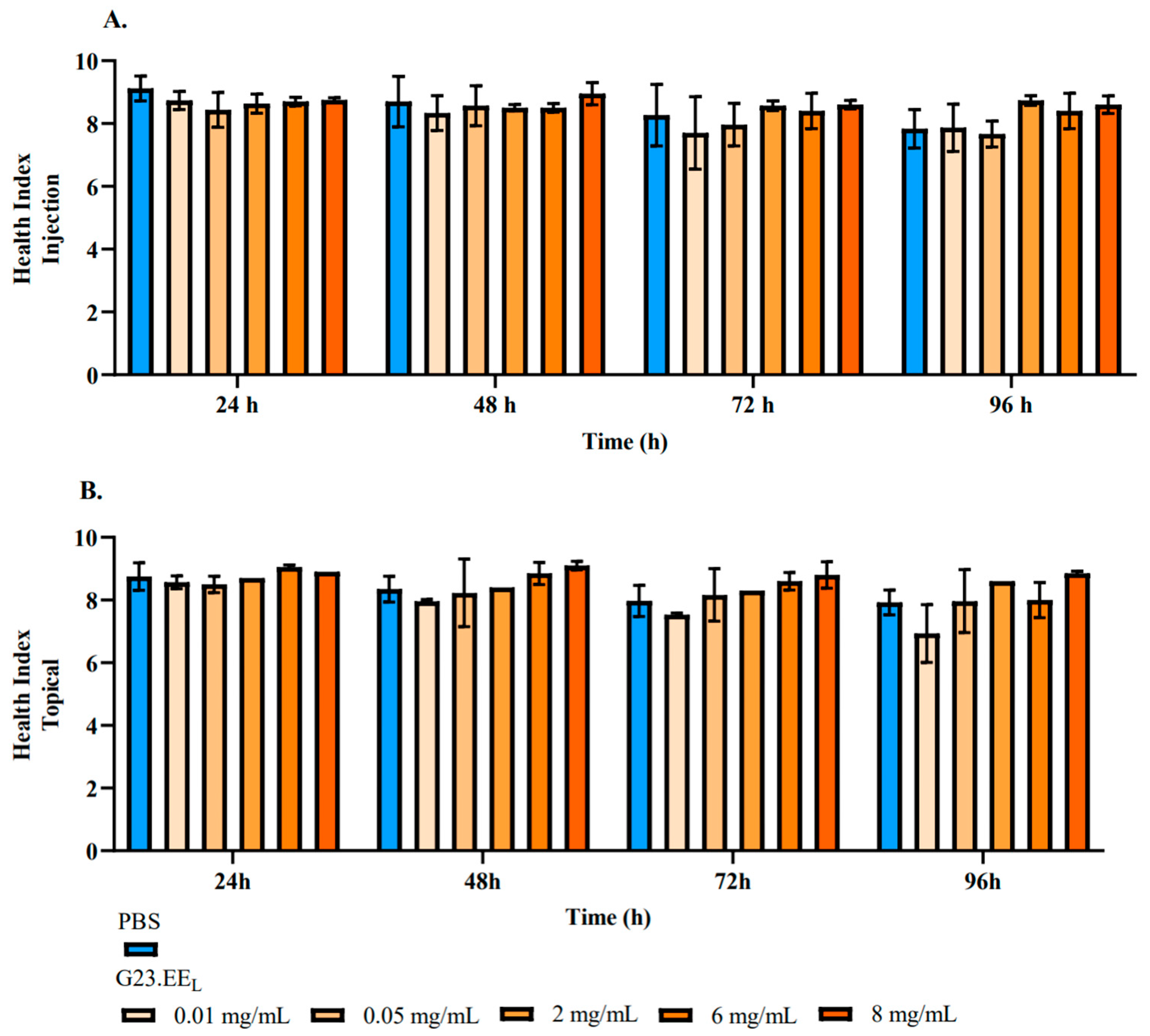
3.2. In Vivo Evaluation of Propolis Toxicity Using the Galleria Mellonella Model
4. Discussion
5. Conclusions
Supplementary Materials
Author Contributions
Funding
Institutional Review Board Statement
Informed Consent Statement
Data Availability Statement
Acknowledgments
Conflicts of Interest
References
- Prescott, J.F.; Rycroft, A.N.; Boyce, J.D.; MacInnes, J.I.; Van Immerseel, F.; Vázquez-Boland, J.A. (Eds.) Pathogenesis of Bacterial Infections in Animals; John Wiley & Sons, Incorporated: Hoboken, NJ, USA, 2022. [Google Scholar] [CrossRef]
- Monteiro, H.I.G.; Silva, V.; de Sousa, T.; Calouro, R.; Saraiva, S.; Igrejas, G.; Poeta, P. Antimicrobial Resistance in European Companion Animals Practice: A One Health Approach. Animals 2025, 15, 1708. [Google Scholar] [CrossRef]
- Araújo, D.; Oliveira, R.; Silva, B.L.; Castro, J.; Ramos, C.; Matos, F.; Almeida, C.; Silva, S. Antimicrobial resistance patterns of Staphylococcus spp. isolated from clinical specimens of companion animals in Northern Portugal, 2021–2023. Vet. J. 2024, 305, 106153. [Google Scholar] [CrossRef] [PubMed]
- Costa, S.S.; Ribeiro, R.; Serrano, M.; Oliveira, K.; Ferreira, C.; Leal, M.; Pomba, C.; Couto, I. Staphylococcus aureus causing skin and soft tissue infections in companion animals: Antimicrobial resistance profiles and clonal lineages. Antibiotics 2022, 11, 599. [Google Scholar] [CrossRef] [PubMed]
- Araújo, D.; Castro, J.; Matos, F.; Oliveira, R.; Ramos, C.; Almeida, C.; Silva, S. Exploring the prevalence and antibiotic resistance profile of Klebsiella pneumoniae and Klebsiella oxytoca isolated from clinically ill companion animals from North of Portugal. Res. Vet. Sci. 2023, 159, 183–188. [Google Scholar] [CrossRef] [PubMed]
- Ribeiro, M.G.; de Morais, A.B.C.; Alves, A.C.; Bolaños, C.A.D.; de Paula, C.L.; Portilho, F.V.R.; Júnior, G.d.N.; Lara, G.H.B.; Martins, L.d.S.A.; Moraes, L.S.; et al. Klebsiella-induced infections in domestic species: A case-series study in 697 animals (1997–2019). Braz. J. Microbiol. 2022, 53, 455–464. [Google Scholar] [CrossRef]
- Cook, M.A.; Wright, G.D. The past, present, and future of antibiotics. Sci. Transl. Med. 2022, 14, eabo7793. [Google Scholar] [CrossRef]
- Roberts, S.C.; Zembower, T.R. Global increases in antibiotic consumption: A concerning trend for WHO targets. Lancet Infect. Dis. 2021, 21, 10–11. [Google Scholar] [CrossRef]
- Urban-Chmiel, R.; Marek, A.; Stępień-Pyśniak, D.; Wieczorek, K.; Dec, M.; Nowaczek, A.; Osek, J. Antibiotic resistance in bacteria—A review. Antibiotics 2022, 11, 1079. [Google Scholar] [CrossRef]
- Fongang, H.; Mbaveng, A.T.; Kuete, V. Global burden of bacterial infections and drug resistance. In Advances in Botanical Research; Academic Press: Cambridge, MA, USA, 2023; Volume 106, pp. 1–20. [Google Scholar] [CrossRef]
- Godoy, M.; Sánchez, J. Antibiotics as emerging pollutants in water and its treatment. In Antibiotic Materials in Healthcare; Academic Press: Cambridge, MA, USA, 2020; pp. 221–230. [Google Scholar] [CrossRef]
- Su, H.C.; Liu, Y.S.; Pan, C.G.; Chen, J.; He, L.Y.; Ying, G.G. Persistence of antibiotic resistance genes and bacterial community changes in drinking water treatment system: From drinking water source to tap water. Sci. Total Environ. 2018, 616, 453–461. [Google Scholar] [CrossRef]
- González-Zorn, B.; Escudero García-Calderón, J.A. Ecology of antimicrobial resistance: Humans, animals, food and environment. Int. Microbiol. 2012, 15, 101–110. [Google Scholar] [CrossRef]
- Lepper, H.C.; Woolhouse, M.E.; van Bunnik, B.A. The role of the environment in dynamics of antibiotic resistance in humans and animals: A modelling study. Antibiotics 2022, 11, 1361. [Google Scholar] [CrossRef]
- Serwecińska, L. Antimicrobials and antibiotic-resistant bacteria: A risk to the environment and to public health. Water 2020, 12, 3313. [Google Scholar] [CrossRef]
- Da Costa, P.M.; Loureiro, L.; Matos, A.J. Transfer of multidrug-resistant bacteria between intermingled ecological niches: The interface between humans, animals and the environment. Int. J. Environ. Res. Public Health 2013, 10, 278–294. [Google Scholar] [CrossRef] [PubMed]
- Thorpe, K.E.; Joski, P.; Johnston, K.J. Antibiotic-resistant infection treatment costs have doubled since 2002, now exceeding $2 billion annually. Health Aff. 2018, 37, 662–669. [Google Scholar] [CrossRef] [PubMed]
- Zhang, Y.; Walsh, T.R.; Wang, Y.; Shen, J.; Yang, M. Minimizing risks of antimicrobial resistance development in the environment from a public One Health perspective. China CDC Wkly. 2022, 4, 1105. [Google Scholar] [CrossRef]
- Dafale, N.A.; Srivastava, S.; Purohit, H.J. Zoonosis: An emerging link to antibiotic resistance under “one health approach”. Indian J. Microbiol. 2020, 60, 139–152. [Google Scholar] [CrossRef]
- Sforcin, J.M.; Bankova, V. Propolis: Is there a potential for the development of new drugs? J. Ethnopharmacol. 2011, 133, 253–260. [Google Scholar] [CrossRef]
- Silva-Carvalho, R.; Baltazar, F.; Almeida-Aguiar, C. Propolis: A complex natural product with a plethora of biological activities that can be explored for drug development. Evid. Based Complement. Altern. Med. 2015, 2015, 206439. [Google Scholar] [CrossRef]
- El Sohaimy, S.; Masry, S. Phenolic content, antioxidant and antimicrobial activities of Egyptian and Chinese propolis. Am.-Eurasian J. Agric. Environ. Sci. 2014, 14, 1116–1124. [Google Scholar] [CrossRef]
- Ożarowski, M.; Karpiński, T.M.; Alam, R.; Łochyńska, M. Antifungal Properties of Chemically Defined Propolis from Various Geographical Regions. Microorganisms 2022, 10, 364. [Google Scholar] [CrossRef]
- Schnitzler, P.; Nolkemper, S.; Reichling, J. Antiviral activity and mode of action of propolis extracts and selected compounds. Phytomedicine 2010, 17, 132–138. [Google Scholar] [CrossRef]
- de, L.; Paula, L.A.; Cândido, A.C.; Santos, M.F.; Caffrey, C.R.; Bastos, J.K.; Ambrósio, S.R.; Magalhães, L.G. Antiparasitic properties of propolis extracts and their compounds. Chem. Biodivers. 2021, 18, e2100310. [Google Scholar] [CrossRef]
- Franchin, M.; Colón, D.F.; da Cunha, M.G.; Castanheira, F.V.; Saraiva, A.L.; Bueno-Silva, B.; Rosalen, P.L. Neovestitol, an isoflavonoid isolated from Brazilian red propolis, reduces acute and chronic inflammation: Involvement of nitric oxide and IL-6. Sci. Rep. 2016, 6, 36401. [Google Scholar] [CrossRef] [PubMed]
- Balderas-Cordero, D.; Canales-Alvarez, O.; Sánchez-Sánchez, R.; Cabrera-Wrooman, A.; Canales-Martinez, M.M.; Rodriguez-Monroy, M.A. Anti-inflammatory and histological analysis of skin wound healing through topical application of Mexican propolis. Int. J. Mol. Sci. 2023, 24, 11831. [Google Scholar] [CrossRef] [PubMed]
- Kurek-Górecka, A.; Rzepecka-Stojko, A.; Górecki, M.; Stojko, J.; Sosada, M.; Świerczek-Zięba, G. Structure and antioxidant activity of polyphenols derived from propolis. Molecules 2013, 19, 78–101. [Google Scholar] [CrossRef] [PubMed]
- Freitas, A.S.; Cunha, A.; Cardoso, S.M.; Oliveira, R.; Almeida-Aguiar, C. Constancy of the bioactivities of propolis samples collected on the same apiary over four years. Food Res. Int. 2019, 119, 622–633. [Google Scholar] [CrossRef]
- Caetano, A.R.; Oliveira, R.D.; Pereira, R.F.C.; Cardoso, T.V.; Cardoso, A.; Almeida-Aguiar, C. Examination of raw samples and ethanol extracts of Gerês propolis collected in different years. Plants 2023, 12, 3909. [Google Scholar] [CrossRef]
- Nourbakhsh, F.; Lotfalizadeh, M.; Badpeyma, M.; Shakeri, A.; Soheili, V. From plants to antimicrobials: Natural products against bacterial membranes. Phytother. Res. 2022, 36, 33–52. [Google Scholar] [CrossRef]
- Remya, N.S. Natural Polymers: Applications, Biocompatibility, and Toxicity. In Natural Polymers; Apple Academic Press: Palm Bay, FL, USA, 2022; pp. 17–40. [Google Scholar]
- Saeidnia, S.; Manayi, A.; Abdollahi, M. From in vitro experiments to in vivo and clinical studies; pros and cons. Curr. Drug Discov. Technol. 2015, 12, 218–224. [Google Scholar] [CrossRef]
- Bácskay, I.; Nemes, D.; Fenyvesi, F.; Váradi, J.; Vasvári, G.; Fehér, P.; Ujhelyi, Z. Role of cytotoxicity experiments in pharmaceutical development. Cytotoxicity 2018, 8, 131–146. [Google Scholar] [CrossRef]
- Kumazawa, S.; Hamasaka, T.; Nakayama, T. Antioxidant activity of propolis of various geographic origins. Food Chem. 2004, 84, 329–339. [Google Scholar] [CrossRef]
- Woisky, R.G.; Salatino, A. Analysis of propolis: Some parameters and procedures for chemical quality control. J. Apic. Res. 1998, 37, 99–105. [Google Scholar] [CrossRef]
- Loh, J.M.; Adenwalla, N.; Wiles, S.; Proft, T. Galleria mellonella larvae as an infection model for group A Streptococcus. Virulence 2013, 4, 419–428. [Google Scholar] [CrossRef]
- Segueni, N.; Keskin, Ş.; Kadour, B.; Kolaylı, S.; Salah, A. Comparison between phenolic content, antioxidant, and antibacterial activity of Algerian and Turkish propolis. Comb. Chem. High Throughput Screen. 2021, 24, 1679–1687. [Google Scholar] [CrossRef] [PubMed]
- Escriche, I.; Juan-Borrás, M. Standardizing the analysis of phenolic profile in propolis. Food Res. Int. 2018, 106, 834–841. [Google Scholar] [CrossRef] [PubMed]
- Przybyłek, I.; Karpiński, T.M. Antibacterial properties of propolis. Molecules 2019, 24, 2047. [Google Scholar] [CrossRef] [PubMed]
- Piatek, M.; Sheehan, G.; Kavanagh, K. Galleria mellonella: The versatile host for drug discovery, in vivo toxicity testing and characterising host-pathogen interactions. Antibiotics 2021, 10, 1545. [Google Scholar] [CrossRef]
- Junqueira, J.C. Galleria mellonella as a model host for human pathogens: Recent studies and new perspectives. Virulence 2012, 3, 474–476. [Google Scholar] [CrossRef]
- Ménard, G.; Rouillon, A.; Cattoir, V.; Donnio, P.Y. Galleria mellonella as a suitable model of bacterial infection: Past, present and future. Front. Cell. Infect. Microbiol. 2021, 11, 782733. [Google Scholar] [CrossRef]
- Cutuli, M.A.; Petronio, G.; Vergalito, F.; Magnifico, I.; Pietrangelo, L.; Venditti, N.; Di Marco, R. Galleria mellonella as a consolidated in vivo model host: New developments in antibacterial strategies and novel drug testing. Virulence 2019, 10, 527–541. [Google Scholar] [CrossRef]
- Piatek, R.; Kwiatkowski, P.; Kwiatkowska, A. The virtuous Galleria mellonella model for scientific experimentation. Antibiotics 2020, 12, 505. [Google Scholar] [CrossRef]
- Trusheva, B.; Trunkova, D.; Bankova, V. Different extraction methods of biologically active components from propolis: A preliminary study. Chem. Cent. J. 2007, 1, 13. [Google Scholar] [CrossRef]
- Bankova, V.; Trusheva, B.; Popova, M. Propolis extraction methods: A review. J. Apic. Res. 2021, 60, 734–743. [Google Scholar] [CrossRef]
- Kara, Y.; Can, Z.; Kolaylı, S. What should be the ideal solvent percentage and solvent-propolis ratio in the preparation of ethanolic propolis extract? Food Anal. Methods 2022, 15, 1707–1719. [Google Scholar] [CrossRef]
- Monroy, Y.M.; Rodrigues, R.A.; Rodrigues, M.V.; Sant’Ana, A.S.; Silva, B.S.; Cabral, F.A. Brazilian green propolis extracts obtained by conventional processes and by processes at high pressure with supercritical carbon dioxide, ethanol and water. J. Supercrit. Fluids 2017, 130, 189–197. [Google Scholar] [CrossRef]
- Zin, N.B.M.; Azemin, A.; Rodi, M.M.M.; Mohd, K.S. Chemical composition and antioxidant activity of stingless bee propolis from different extraction methods. Int. J. Eng. Technol. 2018, 7, 90–95. [Google Scholar] [CrossRef]
- Paviani, L.C.; Fiorito, G.; Sacoda, P.; Cabral, F.A. Different solvents for extraction of Brazilian green propolis: Composition and extraction yield of phenolic compounds. In Proceedings of the III Iberoamerican Conference on Supercritical Fluid, Cartagena de Indias, Colombia, 1–5 April; 2013; pp. 1–5. [Google Scholar]
- Biscaia, D.; Ferreira, S.R. Propolis extracts obtained by low pressure methods and supercritical fluid extraction. J. Supercrit. Fluids 2009, 51, 17–23. [Google Scholar] [CrossRef]
- Archaina, D.; Rivero, R.; Sosa, N.; Baldi Coronel, B. Influence of the harvesting procedure and extracting process on the antioxidant capacity of ethanolic propolis extracts. J. Apic. Res. 2015, 54, 474–481. [Google Scholar] [CrossRef]
- Chan, E.W.C.; Lim, Y.Y.; Wong, S.K.; Lim, K.K.; Tan, S.P.; Lianto, F.S.; Yong, M.Y. Effects of different drying methods on the antioxidant properties of leaves and tea of ginger species. Food Chem. 2009, 113, 166–172. [Google Scholar] [CrossRef]
- Mustafa, I.; Chin, N.L.; Fakurazi, S.; Palanisamy, A. Comparison of phytochemicals, antioxidant and anti-inflammatory properties of sun-, oven- and freeze-dried ginger extracts. Foods 2019, 8, 456. [Google Scholar] [CrossRef]
- Ghafoor, K.; Al Juhaimi, F.; Özcan, M.M.; Uslu, N.; Babiker, E.E.; Ahmed, I.A.M. Total phenolics, total carotenoids, individual phenolics and antioxidant activity of ginger (Zingiber officinale) rhizome as affected by drying methods. LWT 2020, 126, 109354. [Google Scholar] [CrossRef]
- Dias, L.G.; Pereira, A.P.; Estevinho, L.M. Comparative study of different Portuguese samples of propolis: Pollinic, sensorial, physicochemical, microbiological characterization and antibacterial activity. Food Chem. Toxicol. 2012, 50, 4246–4253. [Google Scholar] [CrossRef] [PubMed]
- Peixoto, M.; Freitas, A.S.; Cunha, A.; Oliveira, R.; Almeida-Aguiar, C. Mixing propolis from different apiaries and harvesting years: Towards propolis standardization? Antibiotics 2022, 11, 1181. [Google Scholar] [CrossRef] [PubMed]
- Kalogeropoulos, N.; Konteles, S.J.; Troullidou, E.; Mourtzinos, I.; Karathanos, V.T. Chemical composition, antioxidant activity and antimicrobial properties of propolis extracts from Greece and Cyprus. Food Chem. 2009, 116, 452–461. [Google Scholar] [CrossRef]
- Kubiliene, L.; Jekabsone, A.; Zilius, M.; Trumbeckaite, S.; Simanaviciute, D.; Gerbutaviciene, R.; Majiene, D. Comparison of aqueous, polyethylene glycol-aqueous and ethanolic propolis extracts: Antioxidant and mitochondria modulating properties. BMC Complement. Altern. Med. 2018, 18, 165. [Google Scholar] [CrossRef]
- Al-Ani, I.; Zimmermann, S.; Reichling, J.; Wink, M. Antimicrobial activities of European propolis collected from various geographic origins alone and in combination with antibiotics. Medicines 2018, 5, 2. [Google Scholar] [CrossRef]
- Grecka, K.; Kuś, P.M.; Okińczyc, P.; Worobo, R.W.; Walkusz, J.; Szweda, P. The anti-staphylococcal potential of ethanolic Polish propolis extracts. Molecules 2019, 24, 1732. [Google Scholar] [CrossRef]
- Veiga, R.S.; De Mendonça, S.; Mendes, P.B.; Paulino, N.; Mimica, M.J.; Lagareiro Netto, A.A.; Lira, I.S.; López, B.G.-C.; Negrão, V.; Marcucci, M.C. Artepillin C and phenolic compounds responsible for antimicrobial and antioxidant activity of green propolis and Baccharis dracunculifolia DC. J. Appl. Microbiol. 2017, 122, 911–920. [Google Scholar] [CrossRef]
- Dégi, J.; Herman, V.; Igna, V.; Dégi, D.M.; Hulea, A.; Muselin, F.; Cristina, R.T. Antibacterial activity of Romanian propolis against Staphylococcus aureus isolated from dogs with superficial pyoderma: In vitro test. Vet. Sci. 2022, 9, 299. [Google Scholar] [CrossRef]
- Loncaric, I.; Tichy, A.; Handler, S.; Szostak, M.P.; Tickert, M.; Diab-Elschahawi, M.; Spergser, J.; Künzel, F. Prevalence of Methicillin-Resistant Staphylococcus sp. (MRS) in different companion animals and determination of risk factors for colonization with MRS. Antibiotics 2019, 8, 36. [Google Scholar] [CrossRef]
- Heo, S.; Lee, J.-H.; Jeong, D.-W. Food-derived coagulase-negative Staphylococcus as starter cultures for fermented foods. Food Sci. Biotechnol. 2020, 29, 1023–1035. [Google Scholar] [CrossRef]
- Resch, M.; Nagel, V.; Hertel, C. Antibiotic resistance of coagulase-negative staphylococci associated with food and used in starter cultures. Int. J. Food Microbiol. 2008, 127, 99–104. [Google Scholar] [CrossRef]
- Tong, S.Y.C.; Davis, J.S.; Eichenberger, E.; Holland, T.L.; Fowler, V.G. Staphylococcus aureus Infections: Epidemiology, Pathophysiology, Clinical Manifestations, and Management. Clin. Microbiol. Rev. 2015, 28, 603–661. [Google Scholar] [CrossRef]
- Taylor, T.A.; Unakal, C.G. Staphylococcus aureus Infection. In StatPearls; StatPearls Publishing: Treasure Island, FL, USA, 2025. Available online: http://www.ncbi.nlm.nih.gov/books/NBK441868/ (accessed on 20 May 2025).
- Guzmán Prieto, A.M.; Urbanus, R.T.; Zhang, X.; Bierschenk, D.; Koekman, C.A.; Van Luit-Asbroek, M.; Ouwerkerk, J.P.; Pape, M.; Paganelli, F.L.; Wobser, D.; et al. The N-terminal domain of the thermo-regulated surface protein PrpA of Enterococcus faecium binds to fibrinogen, fibronectin and platelets. Sci. Rep. 2015, 5, 18255. [Google Scholar] [CrossRef] [PubMed]
- Argudín, M.; Deplano, A.; Meghraoui, A.; Dodémont, M.; Heinrichs, A.; Denis, O.; Nonhoff, C.; Roisin, S. Bacteria from Animals as a Pool of Antimicrobial Resistance Genes. Antibiotics 2017, 6, 12. [Google Scholar] [CrossRef] [PubMed]
- Moses, I.B.; Santos, F.F.; Gales, A.C. Human colonization and infection by Staphylococcus pseudintermedius: An emerging and underestimated zoonotic pathogen. Microorganisms 2023, 11, 581. [Google Scholar] [CrossRef] [PubMed]
- Pompilio, A.; De Nicola, S.; Crocetta, V.; Guarnieri, S.; Savini, V.; Carretto, E.; Di Bonaventura, G. New insights in Staphylococcus pseudintermedius pathogenicity: Antibiotic-resistant biofilm formation by a human wound-associated strain. BMC Microbiol. 2015, 15, 109. [Google Scholar] [CrossRef]
- Frank, L.A.; Kania, S.A.; Hnilica, K.A.; Wilkes, R.P.; Bemis, D.A. Isolation of Staphylococcus schleiferi from dogs with pyoderma. J. Am. Vet. Med. Assoc. 2003, 222, 451–454. [Google Scholar] [CrossRef]
- May, E.R.; Hnilica, K.A.; Frank, L.A.; Jones, R.D.; Bemis, D.A. Isolation of Staphylococcus schleiferi from healthy dogs and dogs with otitis, pyoderma, or both. J. Am. Vet. Med. Assoc. 2005, 227, 928–931. [Google Scholar] [CrossRef]
- Glajzner, P.; Szewczyk, E.M.; Szemraj, M. Pathogenic potential and antimicrobial resistance of Staphylococcus pseudintermedius isolated from human and animals. Folia Microbiol. 2023, 68, 231–243. [Google Scholar] [CrossRef]
- Nguyen, A.D.K.; Moran, D.; Eland, C.-L.; Wilks, K. Staphylococcus schleiferi subspecies coagulans septic shock in an immunocompetent male following canine otitis externa. Turk. J. Emerg. Med. 2023, 23, 184–187. [Google Scholar] [CrossRef] [PubMed]
- Morris, D.O.; Rook, K.A.; Shofer, F.S.; Rankin, S.C. Screening of Staphylococcus aureus, Staphylococcus intermedius, and Staphylococcus schleiferi isolates obtained from small companion animals for antimicrobial resistance: A retrospective review of 749 isolates (2003–04). Vet. Dermatol. 2006, 17, 332–337. [Google Scholar] [CrossRef] [PubMed]
- Adesoji, T.O.; George, U.E.; Sulayman, T.A.; Uwanibe, J.N.; Olawoye, I.B.; Igbokwe, J.O.; Olanipekun, T.G.; Adeleke, R.A.; Akindoyin, A.I.; Famakinwa, T.J.; et al. Molecular characterization of non-aureus staphylococci and Mammaliicoccus from Hipposideros bats in Southwest Nigeria. Sci. Rep. 2024, 14, 6899. [Google Scholar] [CrossRef] [PubMed]
- Nemeghaire, S.; Argudín, M.A.; Feßler, A.T.; Hauschild, T.; Schwarz, S.; Butaye, P. The ecological importance of the Staphylococcus sciuri species group as a reservoir for resistance and virulence genes. Vet. Microbiol. 2014, 171, 342–356. [Google Scholar] [CrossRef]
- Monecke, S.; Müller, E.; Schwarz, S.; Hotzel, H.; Ehricht, R. Rapid Microarray-Based Identification of Different mecA Alleles in Staphylococci. Antimicrob. Agents Chemother. 2012, 56, 5547–5554. [Google Scholar] [CrossRef]
- Poole, K. Mechanisms of bacterial biocide and antibiotic resistance. J. Appl. Microbiol. 2002, 92, 55S–64S. [Google Scholar] [CrossRef]
- Galochkina, T.; Zlenko, D.V.; Kovalenko, I.B.; Nesterenko, A.M. Structural properties of the outer membrane of Gram-negative bacteria. In Proceedings of the 2015 IEEE 15th International Conference on Bioinformatics and Bioengineering (BIBE), Belgrade, Serbia, 2–4 November 2015; pp. 1–4. [Google Scholar] [CrossRef]
- Anderson, A.C.; Jonas, D.; Huber, I.; Karygianni, L.; Wölber, J.; Hellwig, E.; Arweiler, N.; Vach, K.; Wittmer, A.; Al-Ahmad, A. Enterococcus faecalis from Food, Clinical Specimens, and Oral Sites: Prevalence of Virulence Factors in Association with Biofilm Formation. Front. Microbiol. 2016, 6, 1534. [Google Scholar] [CrossRef]
- Beganovic, M.; Luther, M.K.; Rice, L.B.; Arias, C.A.; Rybak, M.J.; LaPlante, K.L. A Review of Combination Antimicrobial Therapy for Enterococcus faecalis Bloodstream Infections and Infective Endocarditis. Clin. Infect. Dis. 2018, 67, 303–309. [Google Scholar] [CrossRef]
- Zhang, C.; Du, J.; Peng, Z. Correlation between Enterococcus faecalis and persistent intraradicular infection compared with primary intraradicular infection: A systematic review. J. Endod. 2015, 41, 1207–1213. [Google Scholar] [CrossRef]
- Jabbari Shiadeh, S.M.J.; Pormohammad, A.; Hashemi, A.; Lak, P. Global prevalence of antibiotic resistance in blood-isolated Enterococcus faecalis and Enterococcus faecium: A systematic review and meta-analysis. Infect. Drug Resist. 2019, 12, 2713–2725. [Google Scholar] [CrossRef]
- Poeta, P.; Costa, D.; Rodrigues, J.; Torres, C. Antimicrobial resistance and the mechanisms implicated in faecal enterococci from healthy humans, poultry and pets in Portugal. Int. J. Antimicrob. Agents 2006, 27, 131–137. [Google Scholar] [CrossRef]
- Pagnossin, D.; Weir, W.; Smith, A.; Fuentes, M.; Coelho, J. Streptococcus canis, the underdog of the genus. Vet. Microbiol. 2022, 273, 109524. [Google Scholar] [CrossRef] [PubMed]
- Pagnossin, D.; Weir, W.; Smith, A.; Fuentes, M.; Coelho, J.; Oravcova, K. Streptococcus canis genomic epidemiology reveals the potential for zoonotic transfer. Microbial Genomics 2023, 9, mgen000974. [Google Scholar] [CrossRef] [PubMed]
- Lacave, G.; Coutard, A.; Troché, G.; Augusto, S.; Pons, S.; Zuber, B.; Laurent, V.; Amara, M.; Couzon, B.; Bédos, J.-P.; et al. Endocarditis caused by Streptococcus canis: An emerging zoonosis? Infection 2016, 44, 111–114. [Google Scholar] [CrossRef] [PubMed]
- Elmaidomy, A.H.; Shady, N.H.; Abdeljawad, K.M.; Elzamkan, M.B.; Helmy, H.H.; Tarshan, E.A.; Adly, A.N.; Hussien, Y.H.; Sayed, N.G.; Zayed, A.; et al. Antimicrobial potentials of natural products against multidrug resistance pathogens: A comprehensive review. RSC Adv. 2022, 12, 29078–29102. [Google Scholar] [CrossRef]
- Othman, M.; San Loh, H.; Wiart, C.; Khoo, T.J.; Lim, K.H.; Ting, K.N. Optimal methods for evaluating antimicrobial activities from plant extracts. J. Microbiol. Methods 2011, 84, 161–166. [Google Scholar] [CrossRef]
- Golus, J.; Sawicki, R.; Widelski, J.; Ginalska, G. The agar microdilution method–a new method for antimicrobial susceptibility testing for essential oils and plant extracts. J. Appl. Microbiol. 2016, 121, 1291–1299. [Google Scholar] [CrossRef]
- Hossain, T.J. Methods for screening and evaluation of antimicrobial activity: A review of protocols, advantages, and limitations. Eur. J. Microbiol. Immunol. 2024, 14, 97–115. [Google Scholar] [CrossRef]
- Matsumoto, Y. Facilitating drug discovery in human disease models using insects. Biol. Pharm. Bull. 2020, 43, 216–220. [Google Scholar] [CrossRef]
- Peleg, A.Y.; Jara, S.; Monga, D.; Eliopoulos, G.M.; Moellering, R.C.; Mylonakis, E. Galleria mellonella as a Model System to Study Acinetobacter baumannii Pathogenesis and Therapeutics. Antimicrob. Agents Chemother. 2009, 53, 2605–2609. [Google Scholar] [CrossRef]
- de Matos Silva, S.; de Lacorte Singulani, J.; de Souza Fernandes, L.; Migliato, K.F.; Mendes-Giannini, M.J.S.; Fusco-Almeida, A.M. Exploring Galleria mellonella as a novel model for evaluating permeation and toxicity of natural compounds. Public Health Toxicol. 2024, 4, 22. [Google Scholar] [CrossRef]
- Pedrinha, V.F.; Santos, L.M.; Gonçalves, C.P.; Garcia, M.T.; Lameira, O.A.; Queiroga, C.L.; Marcucci, M.C.; Shahbazi, M.A.; Sharma, P.K.; Junqueira, J.C.; et al. Effects of natural antimicrobial compounds propolis and copaiba on periodontal ligament fibroblasts, molecular docking, and in vivo study in Galleria mellonella. Biomed. Pharmacol. J. 2024, 171, 116139. [Google Scholar] [CrossRef]
- Mohammadzadeh, S.; Shariatpanahi, M.; Hamedi, M. Oral toxicity and antimicrobial activity of Iranian propolis. Food Chem. 2007, 103, 1097–1103. [Google Scholar] [CrossRef]
- Oršolić, N.; Sirovina, D.; Končić, M.Z.; Lacković, G.; Gregorović, G. Effect of Croatian propolis on diabetic nephropathy and liver toxicity in mice. BMC Complement. Altern. Med. 2012, 12, 117. [Google Scholar] [CrossRef]
- Martelli Chaib Saliba, A.S.; Giovanini de Oliveira Sartori, A.; Souza Batista, P.; Pedroso Gomes do Amaral, J.E.; Oliveira da Silva, N.; Ikegaki, M.; Rosalen, P.L.; Matias de Alencar, S. Simulated gastrointestinal digestion/Caco-2 cell transport: Effects on biological activities and toxicity of a Brazilian propolis. Food Chem. 2023, 403, 134330. [Google Scholar] [CrossRef]


| Bacterial Species | Isolate | Animal | Origin of the Isolate |
|---|---|---|---|
| Gram-positive | |||
| Enterococcus faecalis | 406 | Dog | Spleen (corpse) |
| 463 | Dog | Liver (corpse) | |
| Enterococcus faecium | 414 | Dog | Spleen (corpse) |
| 434 | Cat | Blood culture (corpse) | |
| Streptococcus canis | 786 | Dog | Blood culture (corpse) |
| Staphylococcus arlettae | CRIO-2 | Cat | Ear infection |
| Staphylococcus aureus | J63 | Cat | Skin infection |
| Staphylococcus condimenti | V16-A | Dog | Ear infection |
| Staphylococcus felis | J35-B | Cat | Skin infection |
| Staphylococcus hominis | A11 | Cat | Skin infection |
| Staphylococcus pseudintermedius | A17-2 | Dog | Skin infection |
| A45 | Dog | Ear infection | |
| J6-B | Dog | Ear infection | |
| J43-B | Dog | Skin infection | |
| Staphylococcus schleiferi | V3-B | Dog | Skin infection |
| Staphylococcus sciuri | J14-B | Dog | Skin infection |
| Staphylococcus simulans | V9-A | Dog | Skin infection |
| Gram-negative | |||
| Escherichia coli | A36 | Cat | Gastrointestinal |
| A28 | Cat | Skin infection | |
| D22-A | Cat | Skin infection | |
| J6-A | Dog | Ear infection | |
| Klebsiella oxytoca | A22 | Cat | Skin infection |
| I3 | Cat | Corpse | |
| D22-B | Cat | Skin infection | |
| H9-B | Dog | Skin infection | |
| I1 | Dog | Corpse | |
| Bacterial Species | Isolate | Origin of the Isolate | MIC (mg/mL) |
|---|---|---|---|
| Gram-positive | |||
| Enterococcus faecalis | 406 | Spleen (corpse) | >8.0 |
| 463 | Liver (corpse) | 8.0 | |
| Enterococcus faecium | 414 | Spleen (corpse) | 1.5 |
| 434 | Blood culture (corpse) | 1.5 | |
| Streptococcus canis | 786 | Blood culture (corpse) | >8.0 |
| Staphylococcus arlettae | CRIO-2 | Ear infection | 1.5 |
| Staphylococcus aureus | J63 * | Skin infection | 1.0 |
| Staphylococcus condimenti | V16-A | Ear infection | 1.0 |
| Staphylococcus felis | J35-B | Skin infection | 0.5 |
| Staphylococcus hominis | A11 * | Skin infection | 0.5 |
| Staphylococcus pseudintermedius | A17-2 * | Skin infection | 0.5 |
| A45 | Ear infection | 0.5 | |
| J6-B | Ear infection | 1.5 | |
| J43-B * | Skin infection | 1.5 | |
| Staphylococcus schleiferi | V3-B | Skin infection | 1.5 |
| Staphylococcus sciuri | J14-B | Skin infection | 1.5 |
| Staphylococcus simulans | V9-A | Skin infection | 0.5 |
| Gram-negative | |||
| Escherichia coli | A36 | Gastrointestinal | >8.0 |
| A28 | Skin infection | ||
| D22-A | Skin infection | ||
| J6-A | Ear infection | ||
| Klebsiella oxytoca | A22 | Skin infection | >8.0 |
| I3 | Corpse | ||
| D22-B | Skin infection | ||
| H9-B | Skin infection | ||
| I1 | Corpse | ||
Disclaimer/Publisher’s Note: The statements, opinions and data contained in all publications are solely those of the individual author(s) and contributor(s) and not of MDPI and/or the editor(s). MDPI and/or the editor(s) disclaim responsibility for any injury to people or property resulting from any ideas, methods, instructions or products referred to in the content. |
© 2025 by the authors. Licensee MDPI, Basel, Switzerland. This article is an open access article distributed under the terms and conditions of the Creative Commons Attribution (CC BY) license (https://creativecommons.org/licenses/by/4.0/).
Share and Cite
Rodrigues, R.; Almeida, R.; Rodrigues, S.C.V.; Castro, J.; Oliveira, R.; Mendes, N.; Almeida, C.; Silva, S.; Araújo, D.; Almeida-Aguiar, C. In Vitro Investigation of the Antimicrobial Properties of Gerês Propolis in Bacteria Isolated from Companion Animals and Safety Profile Characterization Using the Galleria mellonella Model. Pathogens 2025, 14, 826. https://doi.org/10.3390/pathogens14080826
Rodrigues R, Almeida R, Rodrigues SCV, Castro J, Oliveira R, Mendes N, Almeida C, Silva S, Araújo D, Almeida-Aguiar C. In Vitro Investigation of the Antimicrobial Properties of Gerês Propolis in Bacteria Isolated from Companion Animals and Safety Profile Characterization Using the Galleria mellonella Model. Pathogens. 2025; 14(8):826. https://doi.org/10.3390/pathogens14080826
Chicago/Turabian StyleRodrigues, Rafael, Rui Almeida, Soraia C. V. Rodrigues, Joana Castro, Ricardo Oliveira, Nuno Mendes, Carina Almeida, Sónia Silva, Daniela Araújo, and Cristina Almeida-Aguiar. 2025. "In Vitro Investigation of the Antimicrobial Properties of Gerês Propolis in Bacteria Isolated from Companion Animals and Safety Profile Characterization Using the Galleria mellonella Model" Pathogens 14, no. 8: 826. https://doi.org/10.3390/pathogens14080826
APA StyleRodrigues, R., Almeida, R., Rodrigues, S. C. V., Castro, J., Oliveira, R., Mendes, N., Almeida, C., Silva, S., Araújo, D., & Almeida-Aguiar, C. (2025). In Vitro Investigation of the Antimicrobial Properties of Gerês Propolis in Bacteria Isolated from Companion Animals and Safety Profile Characterization Using the Galleria mellonella Model. Pathogens, 14(8), 826. https://doi.org/10.3390/pathogens14080826

