In Silico Analysis and Transcriptional Profiling of A Putative Metalloprotease ADAMTSL as A Potential Tick Antigen against Rhipicephalus microplus
Abstract
1. Introduction
2. Materials and Methods
2.1. Ticks
2.2. In Silico Analysis
2.3. Sequence Analysis
2.4. RNA Extraction and cDNA Synthesis
2.5. RT-qPCR Assays
2.6. Relative Expression
3. Results
3.1. Bioinformatic Characterization
3.1.1. Family and Functional Domains
3.1.2. Physicochemical Analysis and Cellular Location and Structure
3.1.3. Immunogenic Analysis
3.2. Analysis of the Metalloprotease–Disintegrin (ADAMTSL)
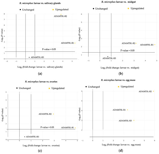
3.3. Relative Expression
4. Discussion
5. Conclusions
6. Patents
Author Contributions
Funding
Institutional Review Board Statement
Informed Consent Statement
Data Availability Statement
Acknowledgments
Conflicts of Interest
References
- Oyen, K.; Poh, K.C. Rhipicephalus microplus (Southern cattle tick; Asian blue tick). Trends Parasitol. 2024, 41, 68–69. [Google Scholar] [CrossRef] [PubMed]
- Torrents, J.; Sarli, M.; Rossner, M.V.; Toffaletti, J.R.; Morel, N.; Martínez, N.C.; Webster, A.; Mangold, A.J.; Guglielmone, A.A.; Nava, S. Resistance of the cattle tick Rhipicephalus (Boophilus) microplus to ivermectin in Argentina. Res. J. Vet. Sci. 2020, 132, 332–337. [Google Scholar] [CrossRef] [PubMed]
- Lew-Tabor, A.E.; Rodriguez Valle, M. A review of reverse vaccinology approaches for the development of vaccines against ticks and tick-borne diseases. Ticks Tick-Born Dis. 2016, 7, 573–585. [Google Scholar] [CrossRef]
- Lagunes-Quintanilla, R.; Gómez-Romero, N.; Mendoza-Martínez, N.; Castro-Saines, E.; Galván-Arellano, D.; Basurto-Alcantara, F.J. Perspectives on using integrated tick management to control Rhipicephalus microplus in a tropical region of Mexico. Front. Vet. Sci. 2024, 11, 1497840. [Google Scholar] [CrossRef]
- Silva, L.A.; Ali, A.; Termignoni, C.; Vaz, I.D. Vaccination against Rhipicephalus microplus: An alternative to chemical control? Cienc. Rural 2023, 54, e20230161. [Google Scholar] [CrossRef]
- Bishop, L.J.; Stutzer, C.; Maritz-Olivier, C. More than Three Decades of Bm86: What We Know and Where to Go. J. Pathog. 2023, 12, 1071. [Google Scholar] [CrossRef]
- Pereira, D.F.; Ribeiro, H.S.; Gonçalves, A.A.; Da Silva, A.V.; Lair, D.F.; De Oliveira, D.S.; Boas, D.F.; Conrado, I.D.; Leite, J.C.; Barata, L.M.; et al. Rhipicephalus microplus: An overview of vaccine antigens against the cattle tick. Ticks Tick-Born Dis. 2022, 13, 101828. [Google Scholar] [CrossRef]
- Barrero, R.A.; Guerrero, F.D.; Black, M.; McCooke, J.; Chapman, B.; Schilkey, F.; Pérez de León, A.A.; Miller, R.J.; Bruns, S.; Dobry, J.; et al. Gene-enriched draft genome of the cattle tick Rhipicephalus microplus: Assembly by the hybrid Pacific Biosciences/Illumina approach enabled analysis of the highly repetitive genome. Int. J. Parasitol. 2017, 47, 569–583. [Google Scholar] [CrossRef]
- Heekin, A.M.; Guerrero, F.D.; Bendele, K.G.; Saldivar, L.; Scoles, G.A.; Dowd, S.E.; Gondro, C.; Nene, V.; Djikeng, A.; Brayton, K.A. The ovarian transcriptome of the cattle tick, Rhipicephalus (Boophilus) microplus, feeding upon a bovine host infected with Babesia bovis. Parasit. Vectors 2013, 6, 276. [Google Scholar] [CrossRef]
- Garcia, G.R.; Chaves Ribeiro, J.M.; Maruyama, S.R.; Gardinassi, L.G.; Nelson, K.; Ferreira, B.R.; Andrade, T.G.; de Miranda Santos, I.K. A transcriptome and proteome of the tick Rhipicephalus microplus shaped by the genetic composition of its hosts and developmental stage. Sci. Rep. 2020, 10, 12857. [Google Scholar] [CrossRef]
- Tirloni, L.; Braz, G.R.; Nunes, R.D.; Gandara, A.C.P.; Vieira, L.R.; Assumpção, T.C.; Sabadin, G.A.; Da Silva, R.M.; Guizzo, M.G.; Machado, J.A.; et al. A physiologic overview of the organ-specific transcriptome of the cattle tick Rhipicephalus microplus. Sci. Rep. 2020, 10, 18296. [Google Scholar] [CrossRef] [PubMed]
- Mendoza-Martínez, N.; Alonso-Díaz, M.A.; Merino, O.; Fernández-Salas, A.; Lagunes-Quintanilla, R. Protective efficacy of the peptide Subolesin antigen against the cattle tick Rhipicephalus microplus under natural infestation. Vet. Parasitol. 2021, 299, 109577. [Google Scholar] [CrossRef] [PubMed]
- Parvizpour, S.; Pourseif, M.M.; Razmara, J.; Rafi, M.A.; Omidi, Y. Epitope-based vaccine design: A comprehensive overview of bioinformatics approaches. Drug Discov. Today 2020, 25, 1034–1042. [Google Scholar] [CrossRef] [PubMed]
- Gong, H.R.; Hu, Y.; Li, X.; Yau, T.; Zhang, B.Z.; Huang, J.D. Non-Neutralizing Epitopes Shade Neutralizing Epitopes against Omicron in a Multiple Epitope-Based Vaccine. ACS Infect. Dis. 2022, 8, 2586–2593. [Google Scholar] [CrossRef]
- Šimo, L.; Kazimirova, M.; Richardson, J.; Bonnet, S.I. The Essential Role of Tick Salivary Glands and Saliva in Tick Feeding and Pathogen Transmission. Front. Cell. Infec. Microbiol. 2017, 7, 281. [Google Scholar] [CrossRef]
- Kessenbrock, K.; Plaks, V.; Werb, Z. Matrix Metalloproteinases: Regulators of the Tumor Microenvironment. Cell 2010, 141, 52–67. [Google Scholar] [CrossRef]
- Francischetti, I.M.; Mather, T.N.; Ribeiro, J.M.C. Cloning of a salivary gland metalloprotease and characterization of gelatinase and fibrin(ogen)lytic activities in the saliva of the Lyme disease tick vector Ixodes scapularis. Bioch. Biophys. Res. Comm. 2003, 305, 869–875. [Google Scholar] [CrossRef]
- Ranasinghe, S.; McManus, D.P. Structure and function of invertebrate Kunitz serine protease inhibitors. Dev. Comp. Immunol. 2013, 39, 219–227. [Google Scholar] [CrossRef]
- Ali, A.; Parizi, L.F.; Garcia-Guizzo, M.; Tirloni, L.; Seixas, A.; da Silva Vaz, I.; Termignoni, C. Immunoprotective potential of a Rhipicephalus (Boophilus) microplus metalloprotease. Vet. Parasitol. 2015, 207, 107–114. [Google Scholar] [CrossRef]
- Maruyama, S.R.; García, G.; Teixeira, F.R.; Brandão, L.A.C.; Anderson, J.M.; Ribeiro, J.M.C.; Valenzuela, J.G.; Horáčková, J.; VeríSsimo, C.J.; Katiki, L.M.; et al. Mining a differential sialotranscriptome of Rhipicephalus microplus guides antigen discovery to formulate a vaccine that reduces tick infestations. Parasit. Vectors 2017, 10, 206. [Google Scholar] [CrossRef]
- Coudert, E.; Gehant, S.; de Castro, E.; Pozzato, M.; Baratin, D.; Neto, T.; Sigrist, C.; Redaschi, N.; Bridge, A. Annotation of biologically relevant ligands in UniProtKB using ChEBI. Bioinformatics 2023, 39, 793–798. [Google Scholar] [CrossRef] [PubMed]
- Blum, M.; Andreeva, A.; Florentino, L.C.; Chuguransky, S.R.; Grego, T.; Hobbs, E.; Pinto, B.L.; Orr, A.; Paysan-Lafosse, T.; Ponamareva, I.; et al. InterPro: The protein sequence classification resource in 2025. Nucleic Acids Res. 2024, 20, 1082. [Google Scholar] [CrossRef] [PubMed]
- Wilkins, M.R.; Gasteiger, E.; Bairoch, A.; Sanchez, J.C.; Williams, K.L.; Appel, R.D.; Hochstrasser, D.F. Protein identification and analysis tools in the ExPASy server. Methods Mol. Biol. 2005, 112, 531–552. [Google Scholar] [CrossRef]
- Krogh, A.; Larsson, B.; von Heijne, G.; Sonnhammer, E.L. Predicting transmembrane protein topology with a hidden Markov model: Application to complete genomes. J. Mol. Biol. 2001, 305, 567–580. [Google Scholar] [CrossRef]
- Teufel, F.; Almagro-Armenteros, J.J.; Johansen, A.R. SignalP 6.0 predicts all five types of signal peptides using protein language models. Nat. Biotechnol. 2022, 40, 1023–1025. [Google Scholar] [CrossRef]
- Gupta, R.; Brunak, S. Prediction of glycosylation across the human proteome and the correlation to protein function. Biocomputing 2002, 7, 310–322. [Google Scholar]
- Rice, P.; Longden, I.; Bleasby, A. EMBOSS: The European Molecular Biology Open Software Suite. Trends Genet. 2000, 16, 276–277. [Google Scholar] [CrossRef]
- Larsen, J.E.; Lund, O.; Nielsen, M. Improved method for predicting linear B-cell epitopes. Immunome Res. 2006, 2, 2. [Google Scholar] [CrossRef][Green Version]
- Abramson, J.; Adler, J.; Dunger, J.; Evans, R.; Green, T.; Pritzel, A.; Ronneberger, O.; Willmore, L.; Ballard, A.J.; Bambrick, J.; et al. Accurate structure prediction of biomolecular interactions with AlphaFold 3. Nature 2024, 630, 493–500. [Google Scholar] [CrossRef]
- Waterhouse, A.; Bertoni, M.; Bienert, S.; Studer, G.; Tauriello, G.; Gumienny, R.; Heer, F.T.; de Beer, T.A.; Rempfer, C.; Bordoli, L.; et al. SWISS-MODEL: Homology modelling of protein structures and complexes. Nucleic Acids Res. 2018, 46, W296–W303. [Google Scholar] [CrossRef]
- Pettersen, E.F.; Goddard, T.D.; Huang, C.C.; Meng, E.C.; Couch, G.S.; Croll, T.I.; Morris, J.H.; Ferrin, T.E. UCSF ChimeraX: Structure visualization for researchers, educators, and developers. Protein Sci. 2021, 30, 70–82. [Google Scholar] [CrossRef] [PubMed]
- Nijhof, A.M.; Balk, J.A.; Postigo, M. Selection of reference genes for quantitative RT-PCR studies in Rhipicephalus (Boophilus) microplus and Rhipicephalus appendiculatus ticks and determination of the expression profile of Bm86. BMC Mol. Biol. 2009, 10, 112. [Google Scholar] [CrossRef] [PubMed]
- Karamanos, N.K.; Theocharis, A.D.; Piperigkou, Z.; Manou, D.; Passi, A.; Skandalis, S.S.; Vynios, D.H.; Orian-Rousseau, V.; Ricard-Blum, S.; Schmelzer, C.E.H.; et al. A guide to the composition and functions of the extracellular matrix. FEBS J. 2021, 288, 6850–6912. [Google Scholar] [CrossRef]
- Flower, D.R. Bioinformatics for Vaccinology, 1st ed.; Wiley-Blackwell: Oxford, UK, 2008. [Google Scholar]
- Flower, D.R.; Macdonald, I.K.; Ramakrishnan, K.; Davies, M.; Doytchinova, I. Computer aided selection of candidate vaccine antigens. Immunome Res. 2010, 6, S1. [Google Scholar] [CrossRef]
- Obolo-Mvoulouga, P.; Oleaga, A.; Manzano-Román, R.; Pérez-Sánchez, R. Evaluation of the protective efficacy of Ornithodoros moubata midgut membrane antigens selected using omics and in silico prediction algorithms. Ticks Tick-Borne Dis. 2018, 9, 1158–1172. [Google Scholar] [CrossRef]
- Chmelar, J.; Kotál, J.; Kovaríková, A.; Kotsyfakis, M. The use of tick salivary proteins as novel therapeutics. Front. Physiol. 2019, 10, 812. [Google Scholar] [CrossRef]
- Stutzer, C.; Richards, S.A.; Ferreira, M.; Baron, S.; Maritz-Olivier, C. Metazoan Parasite Vaccines: Present Status and Future Prospects. Front. Cell. Infect. Microbiol. 2018, 8, 67. [Google Scholar] [CrossRef]
- Couto, J.; Seixas, G.; Stutzer, C.; Olivier, N.A.; Maritz-Olivier, C.; Antunes, S.; Domingos, A. Probing the Rhipicephalus bursa sialomes in potential anti-tick vaccine candidates: A reverse vaccinology approach. Biomedicines 2021, 9, 363. [Google Scholar] [CrossRef]
- Guerrero, F.D.; Andreotti, R.; Bendele, K.G.; Cunha, R.C.; Miller, R.J.; Yeater, K.M.; De León, A.A. Rhipicephalus (Boophilus) microplus aquaporin as an effective vaccine antigen to protect against cattle tick infestations. Parasit. Vectors. 2014, 7, 475–487. [Google Scholar] [CrossRef]
- Lagunes, R.; Domínguez-García, D.; Quiroz, H.; Martínez-Velázquez, M.; Rosario-Cruz, R. Potential effects on Rhipicephalus microplus tick larvae fed on calves immunized with a Subolesin peptide predicted by epitope analysis. Trop. Biomed. 2016, 33, 726–738. [Google Scholar]
- De Sousa Neves, E.; Fidelis, C.F.; Tafur-Gómez, G.A.; de Araujo, L.; Vargas, M.I.; Sossai, S.; Prates-Patarroyo, P.A. Bovine immunisation with a recombinant peptide derived from synthetic SBm7462® (Bm86 epitope construct) immunogen for Rhipicephalus microplus control. Ticks Tick-Borne Dis. 2020, 11, 101461. [Google Scholar] [CrossRef]
- Coate, R.; Alonso-Díaz, M.Á.; Martínez-Velázquez, M.; Castro-Saines, E.; Hernández-Ortiz, R.; Lagunes-Quintanilla, R. Testing Efficacy of a Conserved Polypeptide from the Bm86 Protein against Rhipicephalus microplus in the Mexican Tropics. Vaccines 2023, 11, 1267. [Google Scholar] [CrossRef] [PubMed]
- Rodríguez-Mallon, A. Developing Anti-tick Vaccines. In Vaccine Design, 1st ed.; Humana Press: New York, NY, USA, 2016; Volume 2, pp. 243–259. [Google Scholar] [CrossRef]
- Islam, M.K.; Tsuji, N.; Miyoshi, T.; Alim, M.A.; Huang, X.; Hatta, T.; Fujisaki, K. The Kunitz-like modulatory protein haemangin is vital for hard tick blood-feeding success. PLoS Pathog. 2009, 5, e1000497. [Google Scholar] [CrossRef] [PubMed]
- Dai, S.; Zhang, A.; Huang, J. Evolution, expansion and expression of the Kunitz/BPTI gene family associated with long-term blood feeding in Ixodes Scapularis. BMC Evol. Biol. 2012, 12, 4. [Google Scholar] [CrossRef]
- Kotál, J.; Langhansová, H.; Lieskovská, J.; Andersen, J.F.; Francischetti, I.M.; Chavakis, T.; Kopecký, J.; Pedra, J.H.; Kotsyfakis, M.; Chmelař, J. Modulation of host immunity by tick saliva. J. Proteom. 2015, 128, 58–68. [Google Scholar] [CrossRef]
- De la Fuente, J.; Canales, M.; Kocan, K.M. The importance of protein glycosylation in development of novel tick vaccine strategies. Parasite Immunol. 2006, 28, 687–688. [Google Scholar] [CrossRef]
- Dowling, W.; Thompson, E.; Badger, C.; Mellquist, J.L.; Garrison, A.R.; Smith, J.M.; Paragas, J.; Hogan, R.J.; Schmaljohn, C. Influences of glycosylation on antigenicity, immunogenicity, and protective efficacy of ebola virus GP DNA vaccines. J. Virol. 2007, 81, 1821–1837. [Google Scholar] [CrossRef]
- Rosano, G.L.; Ceccarelli, E.A. Recombinant protein expression in Escherichia coli: Advances and challenges. Front. Microbiol. 2014, 5, 172. [Google Scholar] [CrossRef]
- Vieira Gomes, A.; Souza Carmo, T.; Silva Carvalho, L.; Mendonça Bahia, F.; Parachin, N. Comparison of Yeasts as Hosts for Recombinant Protein Production. Microorganisms 2018, 6, 38. [Google Scholar] [CrossRef]
- Tirloni, L.; Reck, J.; Terra, R.M.; Martins, J.R.; Mulenga, A.; Sherman, N.E.; Fox, J.W.; Yates, J.R.; Termignoni, C.; Pinto, A.F.; et al. Proteomic Analysis of Cattle Tick Rhipicephalus (Boophilus) microplus Saliva: A Comparison between Partially and Fully Engorged Females. PLoS ONE 2014, 9, e94831. [Google Scholar] [CrossRef]
- Alim, M.A.; Islam, M.K.; Anisuzzaman; Miyoshi, T.; Hatta, T.; Yamaji, K.; Matsubayashi, M.; Fujisaki, K.; Tsuji, N. A hemocyte-derived Kunitz-BPTI-type chymotrypsin inhibitor, HlChI, from the ixodid tick Haemaphysalis longicornis, plays regulatory functions in tick blood-feeding processes. Insect Biochem. Mol. Biol. 2012, 42, 925–934. [Google Scholar] [CrossRef] [PubMed]
- Lima, C.A.; Torquato, R.J.; Sasaki, S.D.; Justo, G.Z.; Tanaka, A.S. Biochemical characterization of a Kunitz type inhibitor similar to dendrotoxins produced by Rhipicephalus (Boophilus) microplus (Acari: Ixodidae) hemocytes. Vet. Parasitol. 2010, 167, 279–287. [Google Scholar] [CrossRef] [PubMed]
- Schwarz, A.; Cabezas-Cruz, A.; Kopecký, J.; Valdés, J.J. Understanding the evolutionary structural variability and target specificity of tick salivary Kunitz peptides using next generation transcriptome data. BMC Evol. Biol. 2014, 14, 4. [Google Scholar] [CrossRef] [PubMed]
- Kazimírová, M.; Štibrániová, I. Tick salivary compounds: Their role in modulation of host defences and pathogen transmission. Front. Cell. Infect. Microbiol. 2013, 3, 43. [Google Scholar] [CrossRef]
- Decrem, Y.; Beaufays, J.; Blasioli, V.; Lahaye, K.; Brossard, M.; Vanhamme, L.; Godfroid, E. A family of putative metalloproteases in the salivary glands of the tick Ixodes ricinus. FEBS J. 2008, 275, 1485–1499. [Google Scholar] [CrossRef]
- Ali, A.; Tirloni, L.; Isezaki, M.; Seixas, A.; Konnai, S.; Ohashi, K.; Da Silva Vaz, I.; Termignoni, C. Reprolysin metalloproteases from Ixodes persulcatus, Rhipicephalus sanguineus and Rhipicephalus microplus ticks. Exp. Appl. Acarol. 2014, 63, 559–578. [Google Scholar] [CrossRef]
- Tsutsui, K.; Manabe, R.; Yamada, T.; Nakano, I.; Oguri, Y.; Keene, D.R.; Sengle, G.; Sakai, L.Y.; Sekiguchi, K. ADAMTSL-6 is a novel extracellular matrix protein that binds to fibrillin-1 and promotes fibrillin-1 fibril formation. J. Biol. Chem. 2010, 285, 4870–4882. [Google Scholar] [CrossRef]
- Kotsarenko, K.; Vechtova, P.; Hammerova, Z.; Langova, N.; Malinovska, L.; Wimmerova, M.; Sterba, J.; Grubhoffer, L. Newly identified DNA methyltransferases of Ixodes ricinus ticks. Ticks Tick-Borne Dis. 2020, 11, 101348. [Google Scholar] [CrossRef]
- Tang, Q.; Cheng, T.; Liu, W. Egg Protein Compositions over Embryonic Development in Haemaphysalis hystricis Ticks. Animal 2024, 14, 3466. [Google Scholar] [CrossRef]
- Santos, V.T.; Ribeiro, L.; Fraga, A.; de Barros, C.M.; Campos, E.; Moraes, J.; Fontenele, M.R.; Araújo, H.M.; Feitosa, N.M.; Logullo, C.; et al. The embryogenesis of the tick Rhipicephalus (Boophilus) microplus: The establishment of a new chelicerate model system. Genesis 2013, 51, 803–818. [Google Scholar] [CrossRef]
- García-García, J.E.; González, I.L.; González, D.M.; Valdés, M.; Méndez, L.; Lamberti, J.; B’Agostino, B.; Citroni, D.; Fragoso, H.; Ortiz, M.; et al. Sequence variations in the Boophilus microplus Bm86 locus and implications for immunoprotection in cattle vaccinated with this antigen. Exp. Appl. Acarol. 1999, 23, 883–895. [Google Scholar] [CrossRef] [PubMed]
- Lugo-Caro del Castillo, S.M.; Hernández-Ortiz, R.; Gómez-Romero, N.; Martínez-Velázquez, M.; Castro-Saines, E.; Lagunes-Quintanilla, R. Genetic diversity of the ATAQ gene in Rhipicephalus microplus collected in Mexico and implications as anti-tick vaccine. Parasitol. Res. 2020, 119, 3523–3529. [Google Scholar] [CrossRef] [PubMed]
- Moolhuijzen, P.M.; Lew-Tabor, A.E.; Morgan, J.A.; Valle, M.R.; Peterson, D.G.; Dowd, S.E.; Guerrero, F.D.; Bellgard, M.I.; Appels, R. The complexity of Rhipicephalus (Boophilus) microplus genome characterised through detailed analysis of two BAC clones. BMC Res. Notes 2011, 4, 254. [Google Scholar] [CrossRef] [PubMed][Green Version]
- Kawano, T.; Zheng, H.; Merz, D.C.; Kohara, Y.; Tamai, K.K.; Nishiwaki, K.; Culotti, J.G. C. elegans mig-6 encodes papilin isoforms that affect distinct aspects of DTC migration, and interacts genetically with mig-17 and collagen IV. Development 2009, 136, 1433–1442. [Google Scholar] [CrossRef]
- Kramerova, I.A.; Kawaguchi, N.; Fessler, L.I.; Nelson, R.E.; Chen, Y.; Kramerov, A.A.; Kusche-Gullberg, M.; Kramer, J.M.; Ackley, B.D.; Sieron, A.L.; et al. Papilin in development; a pericellular protein with a homology to the ADAMTS metalloproteinases. Development 2000, 127, 5475–5485. [Google Scholar] [CrossRef]
- Kramerova, I.A.; Kramerov, A.A.; Fessler, J.H. Alternative splicing of papilin and the diversity of Drosophila extracellular matrix during embryonic morphogenesis. Developmental dynamics. Dev. Dyn. Off. Publ. Am. Assoc. Anat. 2003, 226, 634–642. [Google Scholar] [CrossRef]
- Taye, N.; Redhead, C.; Hubmacher, D. Secreted ADAMTS-like proteins as regulators of connective tissue function. Am. J. Physiol. Cell Physiol. 2024, 326, C756–C767. [Google Scholar] [CrossRef]
- Zhang, C.; Zhang, J.Y.; Wang, N.; Abou El-Ela, A.S.; Shi, Z.Y.; You, Y.Z.; Ali, S.A.; Zhou, W.W.; Zhu, Z.R. RNAi-mediated knockdown of papilin gene affects the egg hatching in Nilaparvata lugens. Pest Manag. Sci. 2024, 80, 4779–4789. [Google Scholar] [CrossRef]







| Residue | Epitope Sequence | Domain |
|---|---|---|
| 2184–2237 | * YRPVCRLVNKAGHCPVAEVEAQPAAVVRADCRDVCRVDADCPDIRKCCYNGCAHVCVQAVVTEVTTVQTS | WAP |
| 523–641 | ESTKECVVDAVCNGT | TSP1 |
| 1927–1976 | * SLELCKQRCAHVVAPAVVDTP | Kunitz_BPTI |
| 2473–2573 | GNEVVTVDVVIAT | Ig-like |
| 2363–2451 | HQKVSHVTNLVVYVPATIRPSSATVTVTVSE | Ig-like |
| 1493–1546 | PDACLLPKVVGPCDGQ | Kunitz/BPTI |
| 222–232 | ETILIVLLYQE | N/A |
| 1343–1357 | GCECQNLVYGCCPDG | N/A |
| 2140–2167 | DHRGCVQCRCSNPCETFSCHEAELCRIE | N/A |
| 998–1002 | EGCCVVTEFGCCRDN | N/A |
| 2569–2590 | NQSVSVHIVMDDIHVPESCTDS | Ig-like |
| 1242–1261 | EGCICSRLLYGCCPDDVTPA | N/A |
| 410–460 | IREVVCINP | TSP1 |
| Tissue | Relative Expression | ||
|---|---|---|---|
| ADAMTSL-R1 | ADAMTSL-R2 | ADAMTSL-R3 | |
| Egg mass | 10.32 * | 59.32 * | 15.89 * |
| Salivary glands | 39.37 * | 13.97 * | 1.32 |
| Midgut | 28.26 * | 9.05 * | 1.63 |
| Ovaries | 28.26 * | 7.65 * | 1.37 |
Disclaimer/Publisher’s Note: The statements, opinions and data contained in all publications are solely those of the individual author(s) and contributor(s) and not of MDPI and/or the editor(s). MDPI and/or the editor(s) disclaim responsibility for any injury to people or property resulting from any ideas, methods, instructions or products referred to in the content. |
© 2025 by the authors. Licensee MDPI, Basel, Switzerland. This article is an open access article distributed under the terms and conditions of the Creative Commons Attribution (CC BY) license (https://creativecommons.org/licenses/by/4.0/).
Share and Cite
Sedano-Juarez, C.O.; Gómez-Romero, N.; Alonso-Díaz, M.Á.; Barrera-Molina, A.I.; Reyes-Guerrero, D.E.; Lagunes-Quintanilla, R. In Silico Analysis and Transcriptional Profiling of A Putative Metalloprotease ADAMTSL as A Potential Tick Antigen against Rhipicephalus microplus. Pathogens 2025, 14, 190. https://doi.org/10.3390/pathogens14020190
Sedano-Juarez CO, Gómez-Romero N, Alonso-Díaz MÁ, Barrera-Molina AI, Reyes-Guerrero DE, Lagunes-Quintanilla R. In Silico Analysis and Transcriptional Profiling of A Putative Metalloprotease ADAMTSL as A Potential Tick Antigen against Rhipicephalus microplus. Pathogens. 2025; 14(2):190. https://doi.org/10.3390/pathogens14020190
Chicago/Turabian StyleSedano-Juarez, Cesar Onoshi, Ninnet Gómez-Romero, Miguel Ángel Alonso-Díaz, América Ivette Barrera-Molina, David Emanuel Reyes-Guerrero, and Rodolfo Lagunes-Quintanilla. 2025. "In Silico Analysis and Transcriptional Profiling of A Putative Metalloprotease ADAMTSL as A Potential Tick Antigen against Rhipicephalus microplus" Pathogens 14, no. 2: 190. https://doi.org/10.3390/pathogens14020190
APA StyleSedano-Juarez, C. O., Gómez-Romero, N., Alonso-Díaz, M. Á., Barrera-Molina, A. I., Reyes-Guerrero, D. E., & Lagunes-Quintanilla, R. (2025). In Silico Analysis and Transcriptional Profiling of A Putative Metalloprotease ADAMTSL as A Potential Tick Antigen against Rhipicephalus microplus. Pathogens, 14(2), 190. https://doi.org/10.3390/pathogens14020190

