Abstract
Objectives: Oral diseases are among the most prevalent diseases globally. Accumulating new evidence suggests considerable benefits of epigallocatechin-3-gallate (EGCG) for oral health. This review aims to explore the role and application of EGCG in main oral diseases. Methods: This narrative review thoroughly examines and summarizes the most recent literature available in scientific databases (PubMed, Web of Science, Scopus, and Google Scholar) reporting advances in the role and application of EGCG within the dental field. The major keywords used included “EGCG”, “green tea extract”, “oral health”, “caries”, “pulpitis”, “periapical disease”, “periodontal disease”, “oral mucosa”, “salivary gland”, and “oral cancer”. Conclusions: EGCG prevents and manages various oral diseases through its antibacterial, anti-inflammatory, antioxidant, and antitumor properties. Compared to traditional treatments, EGCG generally exhibits lower tissue irritation and positive synergistic effects when combined with other therapies. Novel delivery systems or chemical modifications can significantly enhance EGCG’s bioavailability, prolong its action, and reduce toxicity, which are current hotspots in developing new materials. Clinical significance: this review provides an exhaustive overview of the biological activities of EGCG to major oral diseases, alongside an exploration of applications and limitations, which serves as a reference for preventing and managing oral ailments.
1. Introduction
According to processing techniques, tea can be classified into four main types: white tea, green tea, oolong tea, and black tea [1]. In recent years, green tea received increasing attention due to its health potential. The catechins in green tea polyphenols, including catechin (C), gallocatechin (GC), epicatechin (EC), and epigallocatechin (EGC), as well as gallated catechins such as epicatechin gallate (ECG), catechin gallate (CG), gallocatechin gallate (GCG), and epigallocatechin gallate (EGCG), are believed to be responsible for many of its biological properties [2]. Among these, EGCG, the most abundant green tea catechin, accounting for 40 to 48% of the total catechin content, is recognized as the catechin with the strongest biological activity. Each gram of dried tea leaves contains approximately 10–50 mg of EGCG, corresponding to about 10–80 mg of EGCG per cup of green tea (235 mL) [3], depending on the type of tea, the amount of tea used, brewing time, water temperature, and processing methods of the green tea. Matcha, a type of powdered green tea, has a considerably higher polyphenol content than infusions made by steeping tea leaves because catechins have low thermal stability and limited solubility in water. Additionally, matcha is often used as an additive to improve food flavor, significantly increasing catechin intake [4]. EGCG is mainly found in green tea leaves or matcha, with relatively lower levels in white tea and oolong tea, and the lowest levels in fully fermented teas such as black tea. Additionally, catechins are present in raspberries and cocoa, but in much lower amounts than tea [5]. Currently, the primary method for extracting EGCG involves 70% ethanol extraction of catechins followed by separation and purification through chromatography [6,7].
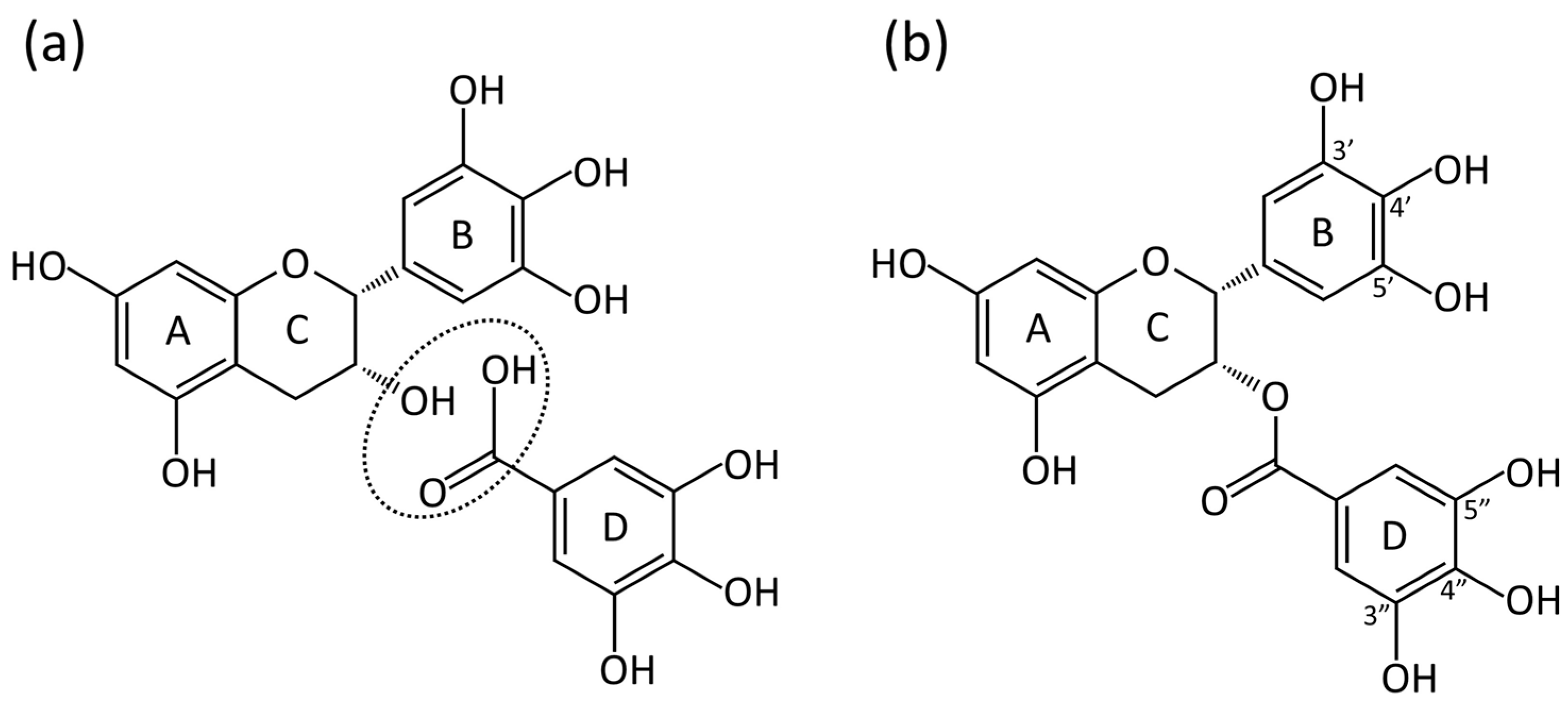
The chemical structure of EGCG comprises two benzene rings (A and B), a dihydropyran heterocycle ring (C) with two chiral carbon centers at positions 2 and 3, and a gallate moiety (D-ring) as presented in Figure 1. With the vicinal trihydroxy group participating in electron delocalization, the hydroxyl groups in the pyrogallol moiety (B-ring) scavenge superoxide anions, and the galloyl moiety (D-ring) helps in scavenging hydroxyl radicals, enabling each EGCG molecule to scavenge six · or ·OH radicals [8]. This activity underpins EGCG’s antioxidant potential against oxidative stress. However, these highly active trihydroxy groups also make EGCG susceptible to oxidation and the generation of reactive oxygen species (ROS) in air, particularly under neutral or alkaline pH conditions [9]. Additionally, EGCG exhibits metal chelation activity via its B- and D-rings [10].
Figure 1.
Chemical structure and origin of epigallocatechin gallate. (a) Chemical structures of epigallocatechin (EGC, above) and gallic acid (below). Epigallocatechin gallate (EGCG) is formed via the esterification of the circled functional groups of the two reactants. (b) Chemical structure of epigallocatechin gallate (EGCG). The two hydroxylated aromatic rings, A and B, are connected by a cyclic pyran ring, C; the aromatic ring D is part of the galloyl moiety.
EGCG exhibits various physiological activities, such as anti-infection, anti-inflammation, antioxidation, and anticancer effects [11]. Numerous studies showed that EGCG has inhibitory activity against various pathogenic microorganisms, including many Gram-negative and Gram-positive bacteria, as well as some fungi, viruses, and prions, making it a broad-spectrum antimicrobial agent [12]. It also has significant anti-inflammatory effects by modulating gene expression and molecular signaling pathways, inhibiting the secretion of various inflammatory factors, and reducing the infiltration of inflammatory cells, effectively alleviating tissue inflammation [13]. Additionally, as a green tea polyphenol, EGCG possesses antioxidant activity, which can alleviate cellular oxidative stress by scavenging ROS and regulating intracellular signals [14,15]. In biological studies conducted in vitro and in vivo, EGCG demonstrated anticancer activity against 15 cancers, including breast, lung, liver, gastric, oral, and colorectal cancers [16]. The mechanisms of anticancer activities of EGCG include inhibition of proliferation, adhesion, migration, invasion, metastasis, suppression of angiogenesis, induction of apoptosis, and enhancement of the sensitivity of the immune system to tumors [17].
Oral diseases are among the most prevalent diseases globally and impose serious health and economic burdens, greatly affecting the quality of life of patients [18]. EGCG, as a natural and easily accessible plant extract, has a good application prospect in oral diseases. EGCG improves the oral microbiota and significantly inhibits the activity and virulence factors of pathogenic bacteria closely associated with infectious oral diseases such as Streptococcus mutans and Porphyromonas gingivalis [19]. EGCG impedes the progression of oral squamous cell carcinoma (OSCC) through mechanisms involving the induction of oxidative stress and apoptosis in cancer cells, as well as the inhibition of tumor invasion [20]. New dental materials relying on the anti-inflammatory properties of EGCG were also widely applied in treatment [21].
Currently, there is a lack of comprehensive reviews summarizing the recent advances in the bioactivity of EGCG against various major oral diseases. Therefore, we review the recent research on the role and application of EGCG in major oral diseases, including dental caries, pulpal and periapical diseases, periodontal diseases, oral mucosal diseases, salivary gland diseases, and oral cancer, aiming to provide a theoretical basis for the development and application of natural drugs.
2. Materials and Methods
2.1. Search Strategies
A comprehensive search of the literature was conducted using scientific databases (PubMed, Web of Science, Scopus, and Google Scholar). The search was first performed in October 2023, but was updated in July 2024 during peer review, in the event that new references became available since the manuscript was initially prepared.
The keywords used for the search included “EGCG”, “green tea extract”, “oral health”, “caries”, “pulpitis”, “periapical disease”, “periodontal disease”, “oral mucosa”, “salivary gland”, and “oral cancer”. Controlled vocabularies were employed when appropriate, along with synonyms and alternate spellings.
The references of the identified records were imported into Endnote as a Research Information Systems file to remove the duplicates.
2.2. Inclusion and Exclusion Criteria
The following studies were included in the literature review in accordance with the following inclusion criteria: (1) studies focused on the properties, applications, and/or advancements in EGCG; (2) studies performed in vitro and/or in vivo; (3) clinical research; and (4) systematic reviews.
The following studies were excluded from the review in accordance with the following exclusion criteria: (1) studies not addressed to the dentistry field; (2) studies published over 10 years, especially highly similar to the newest studies; (3) studies not available in English; and (4) preprints.
Papers published in the last five years were preferentially included.
2.3. Data Extraction
The initial search yielded a total of 2361 records. After removing duplicates, 1496 records remained. Titles and abstracts were screened by three independent reviewers to identify studies meeting the inclusion criteria. Full-text articles were assessed for eligibility, resulting in the inclusion of 172 studies in the final review.
Data were extracted using a standardized form, focusing on the following variables: study design, disease type, target organism, biological mechanism, clinical applications, and clinical outcomes. Discrepancies were resolved through discussion among the reviewers.
The workflow of the paper screening process is reported in Figure 2, according to the “PRISMA 2020 Flow Diagram” [22].
Figure 2.
Search flowchart as described in the PRISMA guidelines. Caption: (n = number of records).
2.4. Calibration Process
A calibration exercise was conducted with a random sample of 20 studies to ensure consistency among the three reviewers. Agreement was reached on 90% of the studies before proceeding with the full screening.
3. Results
3.1. Dental Caries
Dental caries is a chronic infectious disease that affects the hard tissues of the teeth, whose etiology entails intricate microbial interactions. Among cariogenic microorganisms, S. mutans, Lactobacillus species, and Actinomyces species stand out for their robust acidogenic and aciduric capabilities, believed to be closely associated with the initiation and progression of dental caries [23]. The preventive and therapeutic effects of EGCG on dental caries are mainly reflected in its inhibition of bacterial growth and virulence factors, as well as its anti-biofilm activity (Table 1).
Table 1.
The effects of EGCG on caries-related bacteria in in vitro studies.
3.1.1. Streptococcus mutans
S. mutans, a facultative anaerobic Gram-positive coccus, is considered one of the primary cariogenic bacteria in the oral cavity. They synthesize organic acids to promote the demineralization of dental hard tissues and inhibit the growth of certain normal bacteria [40]. Additionally, they ferment sucrose and utilize glycosyltransferase to synthesize insoluble extracellular polysaccharides, thereby enhancing adherence to tooth surfaces and promoting the formation of cariogenic biofilms [41]. The anti-caries activity of EGCG against S. mutans encompasses multiple aspects, including sugar uptake, acidogenicity, aciduricity, and biofilm formation.
The phosphoenolpyruvate-dependent phosphotransferase system (PEP-PTS) is a group of enzymes involved in transporting sugars into bacterial cells, consisting of enzymes located on the cell membrane and in the cytoplasm. EGCG inhibits the function of PEP-PTS by inhibiting the activity of enolase and the expression of the eno gene [32] and by non-competitively binding to the membrane-embedded enzyme II complex, a sugar uptake-related enzyme [26]. It results in a decrease in sugar internalization and suppressed glycolysis, which indirectly leads to reduced acid production by S. mutans cells [26,31].
EGCG also directly inhibits bacterial acid production. Han et al. [31] demonstrated that EGCG markedly reduced the production of various organic acids in bacterial culture media, including lactic acid, formic acid, and acetic acid, with the greatest reduction observed in lactic acid levels. EGCG simultaneously inhibits the LDH activity of S. mutans at both transcriptional and enzymatic levels [30,32]. This may account for the substantial decrease in lactic acid production.
The acid adaptation of S. mutans primarily relies on the F1F0-ATPase system and the agmatine deiminase system (AgDS). The membrane-bound F1F0-ATPase system pumps protons out of the cell via proton pumps, while AgDS converts agmatine to putrescine, ammonia, and CO2, raising intracellular pH [42]. EGCG inhibits the gene expression and enzymatic activity of F1F0-ATPase and AgDS, leading to intracellular acidification, which inhibits bacterial metabolism and growth [32].
EGCG showed significant direct activity against biofilm matrices, including inhibiting the formation of amyloid fibers in the matrix [24], inhibiting the formation of acquired enamel pellicle [43], and increasing the proportion of unstructured biofilm [30]. However, the primary mechanism of anti-biofilm activity remains the inhibition of extracellular polysaccharide (EPS), which serves as the framework of biofilms [44]. Glucosyltransferase (GTF) is an enzyme that utilizes sucrose as a substrate to synthesize glucans, the main component of EPS [45]. Xu et al. [33] reported that EGCG at sub-minimum inhibitory concentration (sub-MIC) significantly downregulated the expression of the gtfB, gtfC, and gtfD genes. Schneider-Rayman et al. [35] further found that EGCG significantly downregulated the expression of the brpA gene, which regulates biofilm formation. Moreover, the minimum biofilm inhibitory concentration (MBIC) of EGCG against S. mutans was significantly lower than the MIC [24,25,28,33,34], further corroborating the anti-biofilm activity of EGCG.
3.1.2. Lactobacillus Species and Actinomyces Species
The types and quantities of Lactobacillus species in the oral cavity are associated with dietary habits, age, and caries status [46]. Lactobacillus species cannot colonize on tooth surfaces independently [47]. Therefore, they are generally considered to be mainly involved in the progression rather than the initial occurrence of dental caries.
EGCG exhibits significant inhibitory effects on the growth of various Lactobacillus species [29,36] and suppresses their acid production [28], thereby arresting the progression of dental caries. Clinical trials further demonstrated that EGCG or green tea extracts can rapidly reduce the number of Lactobacillus with continuous effects [48,49]. However, some studies suggest that Lactobacillus may have a potential inhibitory effect on the progression of dental caries [50] and that an appropriate concentration of EGCG in combination with Lactobacillus may exert a synergistic anti-caries effect [29]. It could be due to the differing sensitivities of certain Lactobacillus strains and other pathogens to EGCG.
Metagenomic sequencing showed that Actinomyces phylum is the most prevalent within deep dentin carious lesions, suggesting a strong association between Actinomyces and deep dentin caries [51]. EGCG primarily exhibits its anti-caries properties by inhibiting the growth and adhesion of Actinomyces and suppressing the formation of multispecies biofilms on deep dentin surfaces by concurrently inhibiting the growth of various bacteria, including Actinomyces and Enterococcus faecalis [37,38,52]. However, Wang et al. found that EGCG at concentrations significantly below the MIC paradoxically increased the biofilm formation of Actinomyces naeslundii on hydroxyapatite surfaces [39]. This could be due to the induced efflux of Ca2+ from A. naeslundii cells, which increased their auto-aggregation and consequently their biofilm formation.
EGCG exhibits strong inhibitory activity against major cariogenic bacteria such as S. mutans, Lactobacillus species, and Actinomyces species. It hinders the progression of dental caries by inhibiting bacterial growth, virulence factors, and biofilm formation. Additionally, delivery systems such as nanovesicle in-situ gel [53], chitosan nanoparticles [54], and lipid–chitosan hybrid nanoparticles [55] were developed as novel administration methods for EGCG. Compared to mouthwash, these systems significantly enhance the utilization efficiency and prolong the time of effective concentration of EGCG. They were proven to possess excellent antibacterial and anti-cariogenic properties.
Currently, numerous studies in vivo demonstrated the preventive and therapeutic effects of green tea extracts on dental caries. However, studies specifically investigating the anti-cariogenic activity in vivo of EGCG are quite limited (Table 2). There is a lack of sufficient evidence in vivo supporting the short-term and long-term effects of EGCG on dental caries in the oral cavity. Further research in vivo is needed to address these gaps.
Table 2.
The anti-caries effects of green tea extract or EGCG in in vivo studies.
3.1.3. EGCG in Adhesion and Dentin Sealing
Composite resin restoration stands as the primary approach for treating tooth decay. Residual bacteria remaining near the adhesive–hard tissue interface significantly impact bonding strength [58]. The application of antimicrobial agents to delay the decline in bonding strength is crucial to prolonging the lifespan of restorations.
Chlorhexidine is a commonly used chemical antimicrobial agent, but pretreatment with chlorhexidine demonstrates a negative effect on the bonding strength of adhesives to dentin [59]. To clarify the sentence, it could be revised to “In contrast, pretreatment with EGCG doesn’t decrease the dentin bonding strength and it increases the immediate microtensile bond strength (μTBS). Additionally, the μTBS level remains stable after thermal cycling [60,61,62]. The EGCG-incorporating ethanol wet bonding method for bonding adequately wets the dentin surface, significantly reduces nanoleakage, inhibits the formation of S. mutans biofilms, and simultaneously deactivates endogenous proteases in the hybrid layer, and preventing damage to dentin collagen [60,63,64]. Zhang et al. [65] improved this method by replacing ethanol with DMSO, reducing solvent evaporation, increasing EGCG concentration, and significantly enhancing aging bond strength, thereby positively impacting long-term bonding stability. In addition to inhibiting the adhesion and growth of cariogenic bacteria, EGCG prevents degeneration and degradation of dentin collagen and degradation of adhesives by inhibiting the activity of matrix metalloproteinases (MMPs) [66,67] and neutralizing potential harmful free radicals [68]. Additionally, with galloyl moiety providing hydrophobicity, hydrogen bonding, and van der Waals forces (Figure 1), EGCG participates in cross-linking between collagen fibers and adhesives, enhancing bonding strength [63].
In the restoration process for dentin caries, to prevent bacterial invasion into pulp tissue through dentinal tubules, it is usually necessary to seal the dentinal tubules in the carious lesions after thorough disinfection. Epigallocatechin-3-gallate-encapsulated nanohydroxyapatite/mesoporous silica nanoparticles (EGCG@nHAp@MSN) almost completely seal dentinal tubules, simultaneously and sustainably release Ca2+ and to promote remineralization, prevent bacterial invasion, and deactivate MMPs originating from dentin to reduce degradation of dentin collagen up to 30 days [69,70]. EGCG and poly(allylamine)-stabilized amorphous calcium phosphate, a new material with high biocompatibility, not only exhibits antibacterial and remineralization-promoting activities similar to EGCG@nHAp@MSN [71], but also promotes odontoblastic differentiation of human dental pulp stem cells (hDPSCs) and inhibits pulp inflammation [72].
Due to its excellent antibacterial properties, EGCG significantly improves the bonding strength between composite resin and dental tissues in restorative dentistry. Therefore, developing novel drug delivery platforms with sustained-release EGCG and good biocompatibility, as adhesive or pulp capping materials, holds promising application prospects.
3.2. Pulpal and Periapical Diseases
Pulpitis and periapical lesions are mainly caused by trauma or infection. Pathogens or their products can invade pulp tissue through dentinal tubules or perforations, triggering inflammatory responses in the pulp [73]. As inflammation worsens, endodontic pathogens spread to the periapical region, inducing inflammation and destruction of periapical tissues [74].
3.2.1. Endodontic Infection
EGCG demonstrated excellent inhibitory effects on various pathogens that cause pulp inflammation. EGCG significantly inhibited the growth of endodontic pathogens, including S. mutans, Fusobacterium nucleatum, and E. faecalis, with an effect comparable to that of glutaraldehyde, but with significantly lower cytotoxicity [75]. Moreover, EGCG inhibits the biofilm formation of these pathogens within root canals and exhibits synergistic effects when used in combination with drugs such as fosfomycin and cationic peptides [37,38].
3.2.2. Effects of EGCG on Pulp and Periapical Tissues
EGCG was shown to directly alleviate pulp inflammation and mitigate the damage caused by pathogens to the pulp and periapical tissues. EGCG reduces the infiltration of inflammatory cells and alleviates tissue inflammation by inhibiting the expression of various inflammatory cytokines at the lesion site, such as interleukin-1 (IL-1), IL-6, IL-8, IL-10, IL-12, IL-17, interferon-γ, and tumor necrosis factor-α (TNF-α) [76,77,78]. Additionally, EGCG reduces the stimulation of human dental pulp cells (hDPCs) by lipopolysaccharide (LPS) and peptidoglycan (PG), lowering the expression and secretion of IL-1β-mediated vascular endothelial growth factor (VEGF) and cyclooxygenasease-2 [78], and inhibiting ROS-induced apoptosis and tissue damage in hDPCs [77,79]. In vitro experiments on mice further confirmed the protective effect of EGCG on pulp tissue, showing that EGCG paste is comparable to calcium hydroxide in inhibiting MMP activity and promoting the recovery of periapical lesions [80].
EGCG facilitates tissue repair and regeneration in the treatment of pulpitis and periapical disease. Stem cells from the apical papilla (SCAPs) are desirable sources of dentin regeneration. EGCG plays a significant role in promoting the osteo-/odontogenic differentiation of SCAPs, as evidenced by increased alkaline phosphatase activity and mineral deposition, along with upregulated expression of osteo-/odontogenic markers [81,82]. Animal experiments demonstrated that EGCG, when used as a dressing in root canals or extraction sockets with periapical lesions, not only alleviates local inflammation, but also significantly promotes fiber formation and bone regeneration in periapical tissues [83,84]. Building on these findings, Cao et al. [85] developed a novel nanoassembly of ECE based on eucommia carbon dots and EGCG, which exhibited promising effects in promoting angiogenesis and enabling dentin differentiation both in vivo and in vitro.
EGCG exhibits strong inhibitory effects on the activity and virulence factors of various pathogens related to pulpal and periapical infections. Additionally, it has low irritability to periodontal and periapical tissues and promotes tissue regeneration, suggesting that it is necessary to design novel root canal sealer materials capable of long-term EGCG release.
3.3. Periodontal Diseases
Periodontal disease is a chronic inflammation that occurs in the supporting tissue of the teeth. The microorganisms within dental plaque are initiating factors for periodontal disease, but the composition of microorganisms and host immune responses vary, leading to different severity of periodontal disease [86]. The effects of EGCG on periodontal diseases include the growth and virulence of various periodontal pathogens, alleviating inflammation, and promoting periodontal tissue regeneration.
3.3.1. Porphyromonas gingivalis
P. gingivalis, a Gram-negative obligate anaerobe, is considered to be the primary pathogen in periodontal diseases, particularly chronic periodontitis. ”It mainly aggregates in dental plaque and express various virulence-associated genes, including genes encoding lipopolysaccharide, collagenase, gingipains, and fimbriae, which directly or indirectly cause damage to periodontal tissues [87].
EGCG exerts a direct inhibitory effect on the growth and adhesion of P. gingivalis. At low concentrations, it inhibits bacterial growth and biofilm formation [29,88] and downregulates the gene expression of hagA and hagB, which regulate bacterial colonization and the gene expression of fimA, which encodes type I fimbriae [89]. At higher concentrations, EGCG binds to the bacterial cell membrane, induces the production of ROS, directly damages the cell membrane and cell wall of P. gingivalis, and disrupts cellular integrity, thereby exerting bactericidal effects [90].
Furthermore, EGCG inhibits various virulence factors of P. gingivalis and its destructive effects on periodontal tissues. Cysteine proteases on the surface of P. gingivalis cells, including lysine-specific gingipains (Kgp) and arginine-specific gingipains Rgp), are essential for survival and pathogenicity [91]. Gingipains promote the detachment of A. actinomycetemcomitans from biofilms [92], and Kgp regulates biofilm formation by microcolony detachment [93]. EGCG downregulates the gene expression of Kgp and Rgp [89], disrupts the bacterial cytoplasmic membrane, and forms outer membrane vesicles (OMVs), reducing gingipains levels on the membrane and influencing biofilm detachment from the tissue surface [90]. LPS induces macrophage differentiation into osteoclasts in periodontal tissues and induces intracellular oxidative stress, representing another important virulence factor of P. gingivalis [94]. EGCG can inhibit the LPS-induced secretion of IL-6 and TNF-α by macrophages and osteoclasts [95]. By suppressing IL-6 secretion, EGCG also inhibits the expression of MMP-1, thereby reducing tissue damage [96]. Additionally, EGCG inhibits the collagenase activity of P. gingivalis, thereby suppressing its ability to degrade type I collagen [97]. EGCG significantly and dose-dependently downregulates the expression of the hem, the gene encoding hemolysin of P. gingivalis [89].
P. gingivalis interferes with the normal immune function of the host, inhibiting the defense function of periodontal tissues. Lagha et al. [97] reported that EGCG enhanced the integrity of a gingival keratinocyte monolayer, as shown by the increase in TER and the reduction in FITC-conjugated 4-kDa dextran transport, and protected gingival keratinocyte from the P. gingivalis-induced loss of barrier integrity. Additionally, EGCG inhibits the degradation of human β-defensin by P. gingivalis, an antimicrobial peptide synthesized by neutrophils, thereby restoring the defensive function of periodontal tissues [98].
To sum up, EGCG inhibits the growth and adhesion of P. gingivalis, disrupts biofilm formation, and inhibits gingipains, collagenase, and other virulence factors to alleviate damage to periodontal tissues. Currently, some studies demonstrated the regulatory effects of curcumin on the interactions between periodontal pathogens [93]. Therefore, future research should investigate the impact of EGCG on the interactions between P. gingivalis and other periodontal pathogens.
3.3.2. Other Periodontal Pathogens
In addition to P. gingivalis, Aggregatibacter actinomycetemcomitans, F. nucleatum, and Prevotella intermedia are also involved in the progression of periodontal disease.
A. actinomycetemcomitans is a facultative anaerobic Gram-negative bacterium, mainly detected in aggressive periodontitis patients [99]. Its virulence factors mainly include adherence proteins, polysaccharides, LPS, and toxins, such as cytolethal distending toxin and leukotoxin (LtxA) [100]. EGCG can directly inhibit the growth and viability of A. actinomycetemcomitans, but its susceptibility to EGCG is notably lower in comparison to other periodontal pathogens [29]. LtxA can subvert the host immune response by binding to the β2 integrin lymphocyte function-associated antigen-1 on white blood cells, causing cell death [101]. It is the primary virulence factor of A. actinomycetemcomitans involved in the rapid progression of periodontitis. EGCG at sub-MIC promotes LtxA production but alters its structure to reduce its affinity for cholesterol on host cell membranes and increase its affinity for bacterial cell membranes, and it reduces the release of OMVs containing LtxA, resulting in reduced cytotoxicity in the culture supernatant [102,103]. Additionally, a single low dose of EGCG did not protect host cells from A. actinomycetemcomitans-mediated cytotoxicity. Still, multiple administrations led to a significant increase in the viability of human myeloid leukemia mononuclear cells [102], suggesting that the dosing strategy of EGCG may influence its therapeutic effects. Morin et al. [104] discovered that co-cultures of macrophages and gingival fibroblasts secreted various MMPs with the stimulation of A. actinomycetemcomitans LPS, with MMP-3 and MMP-9 being the most abundant. The addition of EGCG led to a dose-dependent reduction in MMP secretion, with MMP-9 showing the most significant decrease. LPS of A. actinomycetemcomitans also significantly promotes the secretion of inflammatory cytokines in 3D co-cultures of human gingival fibroblasts (hGFs) and human gingival epithelial cells. EGCG restores cell viability and inhibits the secretion of LPS-induced cytokines such as IL-6, IL-8, interferon-γ inducible protein 10 (IP-10), and granulocyte colony-stimulating factor (G-CSF), thereby alleviating tissue inflammation [105].
F. nucleatum, a Gram-negative anaerobic bacterium, serves a structurally supportive role in dental plaque biofilms by bridging primary colonizers to secondary colonizers [106]. Duque et al. [38] found that F. nucleatum biofilms were eliminated by EGCG at one-tenth of MIC. Another study demonstrated that EGCG significantly inhibited the adhesion of F. nucleatum to oral epithelial cells and collagen fibers, as well as the bacterium’s hemolytic activity and H2S production [107].
P. intermedia is a Gram-negative obligate anaerobe primarily found in the oral cavity and serves as the primary colonizer in dental plaque biofilms [108]. An animal experiment showed that EGCG directly reduced the activity of P. intermedia isolated from periodontal disease dogs [109]. Takuya et al. [29] found that L. salivarius WB21 synergistically enhanced the inhibitory effect of EGCG on P. intermedia. Additionally, EGCG can alleviate LPS-induced tissue impairments [110].
In summary, EGCG demonstrates significant inhibitory effects on various periodontal pathogens. It suppresses bacterial growth, reduces biofilm formation, and inhibits the damage caused by bacterial virulence factors to periodontal tissues (Table 3). However, there is currently insufficient research to fully elucidate the effects and mechanisms of EGCG on periodontal pathogens and their virulence factors other than P. gingivalis, which should be the focus of future studies.
Table 3.
The effects of EGCG on periodontal pathogens in in vitro studies.
3.3.3. Effects of EGCG on Periodontal Tissues
The antigenic components and virulence factors produced by dental plaque microbiota can directly lead to the destruction of periodontal tissues, as well as induce host immune and inflammatory responses, thereby exacerbating periodontal tissue destruction [114]. In addition to its indirect protective effect on periodontal tissues through bacteriostatic action, EGCG also directly exhibits anti-inflammatory and antioxidant effects, mitigating the damage to periodontal tissues and promoting the regeneration of periodontal tissues [115] (Table 4).
Table 4.
The effects of EGCG on periodontal tissues in in vitro studies.
The alleviation of destruction of periodontal tissues by EGCG mainly relies on its inhibition of inflammatory factors and cells. EGCG can maintain cell viability and inhibit the production of various inflammatory cytokines dose-dependently, such as IL-1 and IL-6 [95,96,105,109,110,118,119]. Inflammation cytokines, such as IL-6, increase the expression and activity of several MMPs in periodontal tissues. However, EGCG directly inhibits the recognition and activation of MMPs by chelating Zn2+ via B- and D-rings (Figure 1) [65] and suppresses their gene expression and secretion in host cells by blocking the MAPK signaling pathway [104,110]. Tian et al. [120] developed an EGCG-based nanoparticle, which had a significant property of ROS scavenging and protective effects against oxidative stress. Zou et al. [121] found that EGCG reduced orthodontic tooth movement and orthodontic-induced root resorption in rats and was able to attenuate osteoclastogenesis on the pressure side and promote osteogenesis on the tension side.
EGCG also has a strong ability to promote the proliferation of periodontal tissues and differentiation into osteoblasts, facilitating alveolar bone regeneration. EGCG can increase alkaline phosphatase activity in human periodontal ligament cells (hPDLCs) and human alveolar osteoblasts, facilitate the differentiation of hPDLCs into osteoblasts, upregulate the gene expression of the osteogenic biomarkers including OSX, OCN, RUNX2, and BMP2, and promote extracellular matrix mineralization in periodontal tissues [116,117]. Su et al. [88] prepared novel polylactide composite microspheres encapsulated with EGCG and nano-hydroxyapatite, which not only exhibited strong antimicrobial activity against typical periodontal pathogens, but also directly promoted osteogenic differentiation of periodontal ligament stem cells. Additionally, an increased number of M2 macrophages, upregulated expression of growth factors, and promotion of new bone formation in vivo were observed in rats with the application of EGCG-modified collagen membranes for guided bone regeneration [122].
Several clinical studies support the ameliorative effects of EGCG on periodontal inflammation (Table 5). A split-mouth, randomized clinical trial showed that there was a reduction in probing depth and clinical attachment loss, and a significant decrease in bleeding index with the scaling and root planning (SRP) plus EGCG medication compared with SRP alone [123]. Another split-mouth clinical trial supported these results and demonstrated that EGCG prolonged the maintenance of SRP effects and decreased the abundance of Tannerella forsythia [124]. Furthermore, multiple clinical trials demonstrated the efficacy of green tea extract in preventing and treating periodontal disease through different delivery systems and administration methods. These methods, primarily involving green tea catechins as the active ingredient, include gels [125,126] and strips [113] placed in periodontal pockets, mouth rinses [127], and brewed green tea consumption [128].
Table 5.
The effects of green tea extract or EGCG on periodontal diseases in in vivo studies.
In summary, EGCG alleviates the destruction of periodontal tissues by inhibiting the formation of osteoclasts, synthesizing inflammatory factors, and reducing oxidative stress. Additionally, EGCG demonstrates a robust ability to promote the proliferation of hPDLCs and their differentiation into osteoblasts, thereby facilitating periodontal tissue regeneration. Several clinical studies also confirmed the beneficial effects of EGCG on periodontitis. However, most clinical studies to date focus on the adjunctive role of green tea extracts in the treatment of periodontitis. Further clinical research is needed to ensure its efficacy and safety in periodontal disease treatment.
3.4. Nonneoplastic Diseases of the Oral Mucosa
Oral mucosal diseases comprise a diverse spectrum of conditions stemming from malignant, benign, and nonneoplastic processes, with nonneoplastic diseases representing a significant portion of the disease burden [129]. Infection, immune dysregulation, systemic diseases, chemical irritants, and radiation are primary etiological factors contributing to oral mucosal lesions [130].
3.4.1. Oral Leukoplakia and Lichen Planus
Oral leukoplakia is a prevalent and potentially malignant condition of the oral mucosa, with its rate of malignant transformation still debated, ranging from 0.1% to 36.4% [131]. Tao et al. [132] reported that EGCG rapidly induced mitochondria-localized reactive oxygen species in premalignant leukoplakia cells and downregulated the expression of sirtuin 3 (SIRT3), a key regulator of mitochondrial oxidative stress, but not in hGFs. Bioinformatics analysis revealed that EGCG served as an upstream regulatory factor, potentially inhibiting cell malignant transformation by modulating pathways such as epithelial-mesenchymal transition, inflammatory response, and focal adhesion [133].
Lichen planus is an immune-mediated inflammatory condition leading to characteristic lesions on the skin and mucous membranes, and up to 77% of patients with lichen planus have oral disease [134]. EGCG reduces C-X-C motif chemokine ligands (CXCL10) and myxovirus resistance protein 1 staining intensity in epidermis equivalents and CXCL10 secretion by keratinocytes upon stimulation, demonstrating potential for local treatment of lichen planus [135].
3.4.2. Oral Submucous Fibrosis
Oral submucous fibrosis (OSF) is a potentially malignant disorder of the oral cavity, with a high rate of malignant transformation. It is generally believed to be associated with areca nut chewing, consumption of chili, genetic factors, and immune processes [136]. Oral mucosal fibroblasts exposed to irritations such as areca nut alkaloids produce various cytokines, among which transforming growth factor-β (TGF-β) is prominent [137].
EGCG can reduce mucosal fibrosis by inhibiting sphingosine-1-phosphate-induced JNK phosphorylation [138] and TGF-β1-induced early growth response-1 in buccal mucosal fibroblasts (BMFs) [139,140], thereby decreasing the synthesis of connective tissue growth factor and the gene expression of type I collagen and collagen protein. Additionally, EGCG inhibits thrombin-activated protease-activated receptor-1 [141] and integrins [142], and arecoline-induced intracellular ROS [143], further suppressing TGF-β1 production and BMFs apoptosis. Consequently, Mehta et al. designed an EGCG-loaded mucoadhesive hydrogel with sustained-release capabilities and excellent oral mucosal adhesion properties [144]. This hydrogel significantly improved the degree of mouth opening in a rat OSF model induced by areca nut extract [145] and downregulated the expression of TGF-β1, collagen type-1A2, and type-3A1 mRNA in BMFs in vitro, thereby reducing the risk of malignant transformation [146].
Oral potentially malignant disorders (OPMD) encompass a heterogeneous group of lesions with varying risks of progressing to invasive cancer [147]. In vitro and animal studies demonstrated that EGCG inhibits the malignant transformation of OPMD by modulating epithelial–mesenchymal transition and inflammatory responses. Bioinformatics research identified potential regulatory targets in OPMD, such as oral leukoplakia, and further cellular experiments should be designed to determine the effects of EGCG on these molecular targets.
3.4.3. Oral Mucositis
Chemical irritation and radiation are significant causes of oral mucositis, particularly in cancer patients undergoing chemotherapy or radiotherapy. An in vitro study found that EGCG reduced the cytotoxicity of irinotecan toward oral keratinocytes and epithelial cells by reducing intracellular ROS generation, inhibiting the secretion of IL-6 and IL-8, and restoring irinotecan-induced decrease in the secretion of MMPs [148]. Pan et al. [149] reported that following treatment with EGCG, levels of inflammatory cytokines IL-6 and TNF-α in the mucosa of mice treated with acetic acid significantly decreased, damaged tissues were repaired, and the diversity of oral microbial species increased. A clinical trial found that EGCG demonstrated a significant alleviating effect on radiation-induced mucositis and promoted the repair of oral mucosal injury in head and neck cancer patients [150].
Based on these studies, Shao et al. [151] developed a novel in situ mucoadhesive hydrogel containing EGCG. Animal experiments showed that the novel hydrogel significantly upregulated the expression of cytokeratin 10 and proliferating cell nuclear antigen, reduced the production of inflammatory factors, and promoted mucosal repair.
In general, EGCG alleviates medication- and radiation-induced oral mucositis primarily by inhibiting the synthesis and secretion of inflammatory cytokines. Novel hydrogel materials incorporating EGCG also demonstrated significant anti-inflammatory effects and the ability to promote mucosal repair. Therefore, developing more biocompatible materials and evaluating their role as adjunctive treatments for head and neck cancer patients undergoing radiotherapy and chemotherapy should be key research directions in the future.
3.5. Salivary Gland Diseases
Salivary gland diseases encompass a spectrum of conditions with various etiologies, including sialadenitis, developmental anomalies, cysts, and tumors. Viruses, bacteria, and autoimmune responses are the primary causes of sialadenitis, including mumps, sialolithiasis, and Sjögren’s syndrome [152]. Tumors occurring in the salivary glands typically originate from glandular epithelium, with benign tumors being predominant [153].
3.5.1. Sjögren’s Syndrome
Sjögren’s syndrome (SS) is characterized as a systemic autoimmune rheumatic disease affecting exocrine glands, such as lacrimal and salivary glands, leading to dry eye and dry mouth, particularly prevalent in women over the age of 40 [154,155]. Saito et al. [156] EGCG altered the gene expression levels of 11 sialadenitis-related molecules, including heme oxygenase-1, improving salivary gland damage in mice with autoimmune sialadenitis. Additionally, EGCG reduced ROS levels in the tissues, thereby relieving ROS-mediated inhibition of water channel aquaporin 5 gene expression and increasing salivary flow [157]. A clinical trial exhibited that a natural formulation containing tea catechins significantly increased unstimulated (3.8-fold) and stimulated (2.1-fold) saliva output compared to baseline, partially restoring salivary function [158].
3.5.2. Medication- and Radiation-Induced Salivary Gland Dysfunction
Patients with head and neck malignancies often require chemotherapy or radiotherapy, which can induce damage to normal salivary gland cells, leading to salivary gland dysfunction [159]. Choi et al. [160] found that EGCG significantly improved saliva flow rate and saliva retention time in mice with radioactive iodine-induced sialadenitis, with effects comparable to the standard antioxidant amifostine. Histological analysis revealed that, following EGCG administration, the mice exhibited more mucin-rich parenchyma and less periductal fibrosis in the submandibular gland, along with significantly reduced cell apoptosis in acini and ducts. Sulistiyani et al. [161] found that EGCG promoted the proliferation of salivary gland epithelial cells and the development of pro-acinar buds and ducts while increasing the populations of epithelial progenitors in buds and ducts and pro-acinar cells. Taha et al. [162] reported that green tea extract blocked methotrexate and induced cytotoxicity in the submandibular salivary glands of rats.
These results suggest that EGCG may inhibit apoptosis of salivary gland epithelial cells and promote their proliferation through its antioxidant activity, thereby alleviating damage to the salivary glands caused by radiation or medication.
3.5.3. Salivary Gland Tumors
Salivary gland tumors are common tumors in the oral and maxillofacial region, with a history of radiation, diet, and other malignancies being important risk factors [153]. Park et al. [163] found that EGCG inhibited the expression of β1 integrin, reducing the expression and enzyme activity of MMP-2 and MMP-9,and providing molecular evidence for the inhibitory effect of EGCG on salivary gland cancer metastasis. Weng et al. reported [164] that EGCG could inhibit proliferation and promote apoptosis of adenoid cystic carcinoma cells by reducing the expression of EGFR, downregulating Bcl-2, and upregulating Bax.
In a word, EGCG alleviates inflammatory damage to the salivary glands by inhibiting inflammatory cytokines and reducing oxidative stress, and it promotes the proliferation and repair of salivary gland epithelium. Additionally, EGCG inhibits the metastasis of salivary gland cancer by downregulating the expression of MMPs and integrins. However, there are currently limited studies on the effects of EGCG on salivary gland diseases, and more research is needed to explore its impact on these conditions.
3.6. Oral Cancer
Oral cancer refers to the squamous cell carcinoma occurring in the oral mucosa, accounting for approximately 90% of malignant tumors in the oral cavity. The risk factors of oral cancer mainly include tobacco, alcohol, areca nut, excessive sunlight exposure, and human papillomavirus (HPV) [165,166]. A variety of evidence demonstrated the anticancer activity of EGCG against oral cancer and exhibited synergistic effects with various drugs to enhance the therapeutic efficacy of conventional treatments (Table 6).
Table 6.
The effects of EGCG on oral cancer cells in in vitro studies.
3.6.1. Proliferation and Apoptosis
EGCG can regulate signaling pathways and induce oxidative stress in various cancer cells, inhibiting cancer cell proliferation and inducing apoptosis [179]. EGCG induces extracellular ROS and selectively induces intracellular ROS in OSCC cells, significantly inhibiting their proliferation and inducing apoptosis. Additionally, EGCG downregulates the expression of genes associated with oxidative stress, such as metallothionein 3 and SOD, in OSCC cells, while upregulating these genes in hGFs [132,170]. EGCG suppresses OSCC cell proliferation and promotes apoptosis by regulating TAZ or mTOR pathways to inhibit Akt phosphorylation [168,169,180], promoting the JNK/MAPK pathway to enhance phosphorylation of JNK, ERK, and p38 [173], and blocking the Notch signaling pathway [181]. Furthermore, EGCG increases the sensitivity of OSCC cells to chemotherapeutic agents such as 5-FU [175] and vincristine sulfate (VCR) [182], promoting apoptosis and reducing VCR toxicity, thereby extending survival time in mice. EGCG also exhibits synergistic effects with resveratrol [180] and curcumin [183], resulting in decreased expression of p53 and Ki67, reduced levels of survival proteins, and improved clinical efficacy in inhibiting proliferation and promoting apoptosis of OSCC cells.
3.6.2. Invasion and Metastasis
The degradation of extracellular collagen and the formation of invadopodia are crucial mechanisms underlying tumor invasion and metastasis [184]. EGCG inhibits the expression of MMPs in OSCC cells by suppressing Src phosphorylation, inhibiting the activities of RhoA and MEK, and directly reducing MMP activity [167,174,177]. It results in the inhibition of extracellular matrix degradation. Hwang et al. [167] reported that EGCG suppressed functional invadopodia formation, thereby inhibiting cancer invasion in 3D culture and reducing tumor volume and regional infiltration near the stroma in mice.
3.6.3. HPV
HPV is one of the major etiological factors of oral cancer. The incidence of HPV-associated oropharyngeal squamous cell carcinoma is rapidly increasing and surpassed cervical cancer to become the most common HPV-induced cancer in developed countries [185]. EGCG exhibits strong anti-HPV-2 activity and restores the mRNA and protein expressions of the type I interferon signaling pathway suppressed by E7 [186]. Yap et al. [187] reported that EGCG downregulated the expression levels of HPV-18 E6 and E7 proteins in cells, but this was not through affecting E6 and E7 mRNA transcription. Instead, it promoted the degradation of E6 and E7 proteins via the ubiquitin-proteasome pathway.
3.6.4. Clinical Research
Although the inhibitory effect of EGCG on cancer cells was demonstrated in multiple experiments, there is still a lack of convincing in vivo studies, especially clinical research, to prove the benefits of EGCG in cancer treatment (Table 7).
Table 7.
The effects of green tea extract or EGCG on oral cancer in in vivo studies.
A double-blind, randomized preliminary study suggested that the combination of EGCG and curcumin synergistically improved clinical symptoms, with good patient tolerance. After three months of combination therapy, significant downregulation of various biomarkers of cancer, such as p53, Ki67, and cyclin D1, was observed [183]. A phase I b study showed that chemoprevention with green tea polyphenol and erlotinib achieved a high rate of pathologic response with excellent cancer-free survival. They also observed statistically insignificant reductions in ERK and Ki67 [188].
In a single-blind randomized controlled trial by Liao et al. [189], the administration of a mouthwash containing green tea extract significantly improved oral health in patients with oral cancer undergoing radiotherapy and chemotherapy. Zhu et al. [150] also reported that using EGCG mouthwash during radiotherapy significantly reduced radiation-induced oral mucosal injury and improved patient satisfaction. Patients using green tea mouthwash showed significant improvement in oral mucosal health, enhancing their willingness to adhere to cancer treatment.
A multicenter case-control study conducted in China included 723 cases and 857 controls, finding a significant correlation between green tea intake and reduced risk of oral cancer in males, with a stronger correlation observed in male smokers [190]. In a Japanese prospective cohort study, researchers found that subjects who drank five or more cups of green tea had a lower risk of oral cancer, with a greater reduction observed in females, although this result was not statistically significant [191]. However, clinical studies conducted in Italy [192] and the United States [193] concluded that tea consumption did not benefit to preventing oral cancer.
According to a meta-analysis by the Cochrane Collaboration of 142 studies involving more than 1.1 million participants, different evidence regarding the consumption of green tea and its potential to reduce the risk of cancer is conflicting [16]. This contradiction may be due to the different types of tea consumed by the population in various studies, as green tea contains catechins, while black tea primarily contains theaflavins and thearubigins, which have different biological activities [194]. The low bioavailability of tea polyphenols in tea consumption may also be a significant reason for the contradictory results between experimental and observational studies.
In summary, results from animal and cell studies demonstrate the inhibitory effects of EGCG on the proliferation, metastasis, invasion, and angiogenesis of oral cancer. It appears that EGCG may have preventive and regressive effects on oral malignant tumors. However, there are few clinical studies investigating the preventive and therapeutic effects of EGCG on oral cancer. The existing studies included an insufficient number of patients, and some clinical results are contradictory. Robust evidence supporting the application of EGCG in the field of oral cancer is still lacking. Its benefits to humans remain inconclusive and require further epidemiological and clinical research.
4. Discussion and Prospects
EGCG exhibits inhibitory effects on various major pathogenic microorganisms responsible for oral infectious diseases, such as caries, periodontal disease, and pulpal and periapical diseases. EGCG at low concentrations primarily exert antibacterial effects by inhibiting virulence factors and effectively inhibiting the formation and maturation of bacterial biofilms EGCG at higher concentrations can directly induce the production of H2O2 in cell membranes, disrupting microbial cell structures and exerting bactericidal effects.
Elevated levels of ROS were observed in the diseased tissues of periodontal disease, Sjögren’s syndrome, and mucositis. EGCG can directly scavenge excessive ROS and inhibit their production and accumulation by regulating signaling pathways and enhancing antioxidant enzyme activity, thereby preventing damage to cells. However, due to its high reactivity, EGCG at a higher concentration may undergo auto-oxidation reactions, leading to the generation of ROS, which is also an important mechanism for EGCG-induced apoptosis of tumor cells [195].
Inflammation reactions induced by stimulation such as microorganisms, radiation, or trauma are the main mechanisms of tissue damage in pulpitis, periodontitis, mucositis, and sialadenitis. EGCG regulates molecular signaling pathways to inhibit the secretion of inflammatory factor, alleviating inflammatory tissue damage.
EGCG exhibits anti-tumor activity against various cancers. Results from animal and cell studies also demonstrate the significant inhibitory effects of EGCG on the proliferation, metastasis, invasion, and angiogenesis of oral cancer. However, the results of several clinical studies currently show contradictions, and there is still a lack of strong evidence supporting the application of EGCG in the field of oral cancer.
Bioavailability and biosafety are critical issues in the clinical appliance of EGCG. The accessibility of EGCG to specific body tissues is essential to achieve a satisfactory therapeutic effect. However, the bioactivity of EGCG relies on multiple phenolic hydroxyl groups in its molecule, leading to low stability in alkaline and neutral media and low lipid solubility. These properties result in low membrane permeability, high oxidative degradation, and rapid metabolic transformations [196]. Additionally, EGCG is carried via passive diffusion across the intestinal epithelium due to its hydrophilic nature and lack of specific receptors. The efflux transport system actively transports intracellular EGCG back to the extracellular intestinal space, further limiting its absorption [197]. However, the application of high-concentration EGCG carries a higher risk of toxicity, especially in systemic administration. Animal experiments showed that daily feeding of 500 mg·kg−1 EGCG had no adverse effects on rats, whereas feeding 2000 mg·kg−1 EGCG per day led to rat deaths within 72 h [198,199,200]. A systematic review conducted in 2018 examined adverse event (AE) data from 159 human intervention studies. It found that concentrated, catechin-rich green tea preparations resulted in hepatic AEs in a dose-dependent manner when ingested in large bolus doses. However, no such adverse effects were observed when green tea was consumed as brewed tea or extracts in beverages or as part of food [201]. A clinical trial reported that a daily dose of 800 mg of EGCG alone was well-tolerated in reproductive-aged women [202]. Additionally, another trial reported a daily dose of 10 mg/kg of EGCG for children with Down syndrome did not increase the risk of severe adverse events or the incidence of adverse events related to safety biomarkers [203]. Based on previous experimental results, the European Food Safety Authority (EFSA) set the maximum daily intake of EGCG at 800 mg. Additionally, the EFSA indicated that even if the daily intake is less than 800 mg, potential harm to the human body should not be ruled out due to limited data on the dose–response relationship between EGCG content and abnormal liver parameters [204]. Due to the low concentration, low absorption, and high conversion speed of catechins during tea consumption, green tea, when consumed as brewed tea or extracts in beverages or foods, does not exhibit AEs. However, excessive consumption of green tea can lead to an intake of too much caffeine, affecting neural activity, reducing iron absorption, promoting bone loss [205,206], and causing staining of teeth [207] and dental restorations [208]. Moreover, prolonged consumption of excessively hot tea significantly increases the risk of esophageal [209] and gastric cancer [210]. In summary, drinking 1–2 cups (around 250–500 mL) of moderately warm, light green tea daily is a better choice for health.
Chemical modification of EGCG, reliable delivery systems, in combination with other drugs appear to be feasible strategies to enhance the therapeutic potential of EGCG. The methacrylate polymer formed by the reaction of EGCG and methacryloyl chloride exhibit high chemical stability and can release EGCG steadily over 30 days. The methacrylic acid groups modified on the phenolic hydroxyl groups of EGCG enhance its antibacterial activity against oral pathogens such as S. mutans [211]. EGCG-capped gold nanoparticles demonstrate excellent anti-resorptive properties and can carry EGCG into cells, increasing its bioavailability and achieving sustained release to prevent local EGCG accumulation. Additionally, EGCG can promote the cellular uptake of gold nanoparticles [212]. In the treatment of oral cancer, the combined use of 5-FU and EGCG mitigates the impact of medicine on the viability of normal cells and lowers cancer cell survival and migration rates. These effects may be attributed to EGCG altering the cell cycle distribution, preventing cells from developing proper migration abilities [175]. Additionally, the combination of EGCG and vincristine sulfate in preclinical treatments showed more significant inhibition of tumor growth, angiogenic activity, and VEGF expression in xenograft nude mice inoculated with KBV200 cells compared to vincristine sulfate alone [182]. The synergistic antimicrobial potential of EGCG and cationic peptides was also demonstrated on single- and dual-species biofilms associated with endodontic infection [37]. In general, the bioavailability of EGCG can be improved through chemical modifications such as esterification, methylation, or glycosylation, or by optimizing administration methods and delivery systems, such as topical administration or nano-encapsulations to enhance targeting. These approaches can also reduce the risk of toxicity due to local accumulation of EGCG [213].
5. Limitations
The writers identified primary search terms before conducting searches in mainstream databases such as Web of Science and PubMed. Despite using controlled vocabularies, synonyms, and alternate spellings, it is possible that some studies or findings were not comprehensively retrieved or were missed. Additionally, this review focused on recent research concerning the role of EGCG in oral diseases. EGCG, being a chemically unstable component of green tea catechins, gained widespread attention relatively late. Therefore, the review primarily included literature published within the last decade. Selected publications from 2010 to 2014 were included, while publications before 2010 were largely omitted.
6. Conclusions
Currently, numerous studies, particularly in vitro research, adequately elucidated the antimicrobial, antioxidant, anti-inflammatory, and antitumor effects of EGCG in many oral diseases, including dental caries, periodontal diseases, and oral cancer. The underlying biological mechanisms were explored, highlighting the significant potential of EGCG as a natural therapeutic agent for treating oral diseases. However, there is still a lack of sufficient clinical evidence for the effectiveness of EGCG in most oral diseases, such as mucositis and sialadenitis. Considering the openness of the oral environment and the complexity of host immunity, some significant changes observed in vitro may not necessarily have similar effects in vivo. Whether EGCG can produce clinically significant biological effects in the human body still requires validation through more in vivo experiments. Additionally, the low bioavailability of EGCG and its unclear toxicity mechanisms further complicate its clinical application. Therefore, exploring the combined application of EGCG with other drugs, developing new EGCG derivatives, and designing novel sustained-release delivery systems to achieve higher bioavailability or therapeutic synergistic effects holds great promise. Extensive clinical research is still needed before EGCG can be widely applied in the clinical treatment of oral diseases.
Author Contributions
Y.L.: conceptualization, writing–original draft; L.C.: supervision, writing–review and editing, funding acquisition; M.L.: supervision, writing–review and editing, funding acquisition. All authors have read and agreed to the published version of the manuscript.
Funding
This review manuscript was supported by the Sichuan Science and Technology Program (No. 2021YFH0188) and the Develop Program, West China Hospital of Stomatology Sichuan University (RD-03-202308).
Institutional Review Board Statement
Not applicable.
Informed Consent Statement
Not applicable.
Data Availability Statement
No new data were created or analyzed in this study.
Conflicts of Interest
The authors declare no conflict of interest.
References
- Kong, C.; Zhang, H.; Li, L.; Liu, Z. Effects of green tea extract epigallocatechin-3-gallate (EGCG) on oral disease-associated microbes: A review. J. Oral. Microbiol. 2022, 14, 2131117. [Google Scholar] [CrossRef] [PubMed]
- Musial, C.; Kuban-Jankowska, A.; Gorska-Ponikowska, M. Beneficial Properties of Green Tea Catechins. Int. J. Mol. Sci. 2020, 21, 1744. [Google Scholar] [CrossRef] [PubMed]
- Cabrera, M.; Taher, F.; Llantada, A.; Do, Q.; Sapp, T.; Sommerhalter, M. Effect of Water Hardness on Catechin and Caffeine Content in Green Tea Infusions. Molecules 2021, 26, 3485. [Google Scholar] [CrossRef] [PubMed]
- Kochman, J.; Jakubczyk, K.; Antoniewicz, J.; Mruk, H.; Janda, K. Health Benefits and Chemical Composition of Matcha Green Tea: A Review. Molecules 2020, 26, 85. [Google Scholar] [CrossRef] [PubMed]
- Wang, S.; Moustaid-Moussa, N.; Chen, L.; Mo, H.; Shastri, A.; Su, R.; Bapat, P.; Kwun, I.; Shen, C.L. Novel insights of dietary polyphenols and obesity. J. Nutr. Biochem. 2014, 25, 1–18. [Google Scholar] [CrossRef] [PubMed]
- Orita, T.; Chogahara, S.; Okuda, M.; Sakao, K.; Miyata, T.; Hou, D.X. Extraction Efficiency and Alpha-Glucosidase Inhibitory Activities of Green Tea Catechins by Different Infusion Methods. Foods 2023, 12, 2611. [Google Scholar] [CrossRef] [PubMed]
- Luo, Q.; Zhang, J.R.; Li, H.B.; Wu, D.T.; Geng, F.; Corke, H.; Wei, X.L.; Gan, R.Y. Green Extraction of Antioxidant Polyphenols from Green Tea (Camellia sinensis). Antioxidants 2020, 9, 785. [Google Scholar] [CrossRef]
- Zwolak, I. Epigallocatechin Gallate for Management of Heavy Metal-Induced Oxidative Stress: Mechanisms of Action, Efficacy, and Concerns. Int. J. Mol. Sci. 2021, 22, 4027. [Google Scholar] [CrossRef]
- Sang, S.; Lambert, J.D.; Ho, C.T.; Yang, C.S. The chemistry and biotransformation of tea constituents. Pharmacol. Res. 2011, 64, 87–99. [Google Scholar] [CrossRef]
- Zhao, J.; Xu, L.; Liang, Q.; Sun, Q.; Chen, C.; Zhang, Y.; Ding, Y.; Zhou, P. Metal chelator EGCG attenuates Fe(III)-induced conformational transition of α-synuclein and protects AS-PC12 cells against Fe(III)-induced death. J. Neurochem. 2017, 143, 136–146. [Google Scholar] [CrossRef]
- Chen, F.; Liu, Q. Demystifying phytoconstituent-derived nanomedicines in their immunoregulatory and therapeutic roles in inflammatory diseases. Adv. Drug Deliv. Rev. 2022, 186, 114317. [Google Scholar] [CrossRef]
- Salatin, S.; Bazmani, A.; Shahi, S.; Naghili, B.; Memar, M.Y.; Dizaj, S.M. Antimicrobial Benefits of Flavonoids and their Nanoformulations. Curr. Pharm. Des. 2022, 28, 1419–1432. [Google Scholar] [CrossRef]
- Zhao, Z.; Feng, M.; Wan, J.; Zheng, X.; Teng, C.; Xie, X.; Pan, W.; Hu, B.; Huang, J.; Liu, Z.; et al. Research progress of epigallocatechin-3-gallate (EGCG) on anti-pathogenic microbes and immune regulation activities. Food Funct. 2021, 12, 9607–9619. [Google Scholar] [CrossRef]
- Mokra, D.; Joskova, M.; Mokry, J. Therapeutic Effects of Green Tea Polyphenol (–)-Epigallocatechin-3-Gallate (EGCG) in Relation to Molecular Pathways Controlling Inflammation, Oxidative Stress, and Apoptosis. Int. J. Mol. Sci. 2022, 24, 340. [Google Scholar] [CrossRef]
- Ng, T.K.; Chu, K.O.; Wang, C.C.; Pang, C.P. Green Tea Catechins as Therapeutic Antioxidants for Glaucoma Treatment. Antioxidants 2023, 12, 1320. [Google Scholar] [CrossRef]
- Filippini, T.; Malavolti, M.; Borrelli, F.; Izzo, A.A.; Fairweather-Tait, S.J.; Horneber, M.; Vinceti, M. Green tea (Camellia sinensis) for the prevention of cancer. Cochrane Database Syst. Rev. 2020, 3, Cd005004. [Google Scholar] [CrossRef]
- Bakun, P.; Mlynarczyk, D.T.; Koczorowski, T.; Cerbin-Koczorowska, M.; Piwowarczyk, L.; Kolasiński, E.; Stawny, M.; Kuźmińska, J.; Jelińska, A.; Goslinski, T. Tea-break with epigallocatechin gallate derivatives—Powerful polyphenols of great potential for medicine. Eur. J. Med. Chem. 2023, 261, 115820. [Google Scholar] [CrossRef]
- Peres, M.A.; Macpherson, L.M.D.; Weyant, R.J.; Daly, B.; Venturelli, R.; Mathur, M.R.; Listl, S.; Celeste, R.K.; Guarnizo-Herreño, C.C.; Kearns, C.; et al. Oral diseases: A global public health challenge. Lancet 2019, 394, 249–260. [Google Scholar] [CrossRef]
- Li, Y.; Jiang, X.; Hao, J.; Zhang, Y.; Huang, R. Tea polyphenols: Application in the control of oral microorganism infectious diseases. Arch. Oral. Biol. 2019, 102, 74–82. [Google Scholar] [CrossRef] [PubMed]
- Almatroodi, S.A.; Almatroudi, A.; Khan, A.A.; Alhumaydhi, F.A.; Alsahli, M.A.; Rahmani, A.H. Potential Therapeutic Targets of Epigallocatechin Gallate (EGCG), the Most Abundant Catechin in Green Tea, and Its Role in the Therapy of Various Types of Cancer. Molecules 2020, 25, 3146. [Google Scholar] [CrossRef] [PubMed]
- Liao, S.; Tang, Y.; Chu, C.; Lu, W.; Baligen, B.; Man, Y.; Qu, Y. Application of green tea extracts epigallocatechin-3-gallate in dental materials: Recent progress and perspectives. J. Biomed. Mater. Res. Part. A 2020, 108, 2395–2408. [Google Scholar] [CrossRef] [PubMed]
- Page, M.J.; McKenzie, J.E.; Bossuyt, P.M.; Boutron, I.; Hoffmann, T.C.; Mulrow, C.D.; Shamseer, L.; Tetzlaff, J.M.; Akl, E.A.; Brennan, S.E.; et al. The PRISMA 2020 statement: An updated guideline for reporting systematic reviews. BMJ (Clin. Res. Ed.) 2021, 372, n71. [Google Scholar] [CrossRef]
- Sedghi, L.; DiMassa, V.; Harrington, A.; Lynch, S.V.; Kapila, Y.L. The oral microbiome: Role of key organisms and complex networks in oral health and disease. Periodontology 2000 2021, 87, 107–131. [Google Scholar] [CrossRef] [PubMed]
- Chen, D.; Cao, Y.; Yu, L.; Tao, Y.; Zhou, Y.; Zhi, Q.; Lin, H. Characteristics and influencing factors of amyloid fibers in S. mutans biofilm. AMB Express 2019, 9, 31. [Google Scholar] [CrossRef] [PubMed]
- Liao, M.H.; Wang, X.R.; Hsu, W.L.; Tzen, J.T.C. Pu’er tea rich in strictinin and catechins prevents biofilm formation of two cariogenic bacteria, Streptococcus mutans and Streptococcus sobrinus. J. Dent. Sci. 2021, 16, 1331–1334. [Google Scholar] [CrossRef] [PubMed]
- Han, S.; Washio, J.; Abiko, Y.; Zhang, L.; Takahashi, N. Green Tea-Derived Catechins Suppress the Acid Productions of Streptococcus mutans and Enhance the Efficiency of Fluoride. Caries Res. 2023, 57, 255–264. [Google Scholar] [CrossRef] [PubMed]
- Taylor, E.S.; Gomez, G.F.; Moser, E.A.S.; Sanders, B.J.; Gregory, R.L. Effect of a Tea Polyphenol on Different Levels of Exposure of Nicotine and Tobacco Extract on Streptococcus mutans Biofilm Formation. Front. Oral Health 2021, 2, 737378. [Google Scholar] [CrossRef] [PubMed]
- Wu, C.Y.; Su, T.Y.; Wang, M.Y.; Yang, S.F.; Mar, K.; Hung, S.L. Inhibitory effects of tea catechin epigallocatechin-3-gallate against biofilms formed from Streptococcus mutans and a probiotic lactobacillus strain. Arch. Oral. Biol. 2018, 94, 69–77. [Google Scholar] [CrossRef]
- Higuchi, T.; Suzuki, N.; Nakaya, S.; Omagari, S.; Yoneda, M.; Hanioka, T.; Hirofuji, T. Effects of Lactobacillus salivarius WB21 combined with green tea catechins on dental caries, periodontitis, and oral malodor. Arch. Oral. Biol. 2019, 98, 243–247. [Google Scholar] [CrossRef]
- Aragão, M.G.B.; He, X.; Aires, C.P.; Corona, S.A.M. Epigallocatechin gallate reduces the virulence of cariogenic Streptococcus mutans biofilm by affecting the synthesis of biofilm matrix components. Arch. Oral. Biol. 2024, 164, 105990. [Google Scholar] [CrossRef]
- Han, S.; Abiko, Y.; Washio, J.; Luo, Y.; Zhang, L.; Takahashi, N. Green Tea-Derived Epigallocatechin Gallate Inhibits Acid Production and Promotes the Aggregation of Streptococcus mutans and Non-Mutans Streptococci. Caries Res. 2021, 55, 205–214. [Google Scholar] [CrossRef]
- Xu, X.; Zhou, X.D.; Wu, C.D. The tea catechin epigallocatechin gallate suppresses cariogenic virulence factors of Streptococcus mutans. Antimicrob. Agents Chemother. 2011, 55, 1229–1236. [Google Scholar] [CrossRef]
- Xu, X.; Zhou, X.D.; Wu, C.D. Tea catechin epigallocatechin gallate inhibits Streptococcus mutans biofilm formation by suppressing gtf genes. Arch. Oral Biol. 2012, 57, 678–683. [Google Scholar] [CrossRef]
- Hairul Islam, M.I.; Arokiyaraj, S.; Kuralarasan, M.; Senthil Kumar, V.; Harikrishnan, P.; Saravanan, S.; Ashok, G.; Chellappandian, M.; Bharanidharan, R.; Muralidaran, S.; et al. Inhibitory potential of EGCG on Streptococcus mutans biofilm: A new approach to prevent Cariogenesis. Microb. Pathog. 2020, 143, 104129. [Google Scholar] [CrossRef]
- Schneider-Rayman, M.; Steinberg, D.; Sionov, R.V.; Friedman, M.; Shalish, M. Effect of epigallocatechin gallate on dental biofilm of Streptococcus mutans: An in vitro study. BMC Oral Health 2021, 21, 447. [Google Scholar] [CrossRef]
- Curylofo-Zotti, F.A.; Oliveira, V.C.; Marchesin, A.R.; Borges, H.S.; Tedesco, A.C.; Corona, S.A.M. In vitro antibacterial activity of green tea-loaded chitosan nanoparticles on caries-related microorganisms and dentin after Er:YAG laser caries removal. Lasers Med. Sci. 2023, 38, 50. [Google Scholar] [CrossRef]
- Caiaffa, K.S.; Dos Santos, V.R.; Abuna, G.F.; Santos-Filho, N.A.; Cilli, E.M.; Sakai, V.T.; Cintra, L.T.A.; Duque, C. Cytocompatibility and Synergy of EGCG and Cationic Peptides Against Bacteria Related to Endodontic Infections, in Planktonic and Biofilm Conditions. Probiotics Antimicrob. Proteins 2021, 13, 1808–1819. [Google Scholar] [CrossRef]
- Duque, C.; Souza, A.C.A.; Aida, K.L.; Pereira, J.A.; Caiaffa, K.S.; Santos, V.R.D.; Cosme-Silva, L.; Prakki, A. Synergistic antimicrobial potential of EGCG and fosfomycin against biofilms associated with endodontic infections. J. Appl. Oral Sci. Rev. FOB 2023, 31, e20220282. [Google Scholar] [CrossRef]
- Wang, Y.; Lam, A.T.W. Epigallocatechin gallate and gallic acid affect colonization of abiotic surfaces by oral bacteria. Arch. Oral. Biol. 2020, 120, 104922. [Google Scholar] [CrossRef] [PubMed]
- Lemos, J.A.; Palmer, S.R.; Zeng, L.; Wen, Z.T.; Kajfasz, J.K.; Freires, I.A.; Abranches, J.; Brady, L.J. The Biology of Streptococcus mutans. Microbiol. Spectr. 2019, 7, 1128. [Google Scholar] [CrossRef] [PubMed]
- Jakubovics, N.S.; Goodman, S.D.; Mashburn-Warren, L.; Stafford, G.P.; Cieplik, F. The dental plaque biofilm matrix. Periodontology 2000 2021, 86, 32–56. [Google Scholar] [CrossRef]
- Lu, Y.; Lin, Y.; Li, M.; He, J. Roles of Streptococcus mutans-Candida albicans interaction in early childhood caries: A literature review. Front. Cell. Infect. Microbiol. 2023, 13, 1151532. [Google Scholar] [CrossRef] [PubMed]
- de Souza, E.S.C.M.; da Silva Ventura, T.M.; de Pau, L.; la Silva, C.; de Lima Leite, A.; Buzalaf, M.A.R. Effect of gels containing chlorhexidine or epigallocatechin-3-gallate on the protein composition of the acquired enamel pellicle. Arch. Oral. Biol. 2017, 82, 92–98. [Google Scholar] [CrossRef] [PubMed]
- Senpuku, H.; Tuna, E.B.; Nagasawa, R.; Nakao, R.; Ohnishi, M. The inhibitory effects of polypyrrole on the biofilm formation of Streptococcus mutans. PLoS ONE 2019, 14, e0225584. [Google Scholar] [CrossRef] [PubMed]
- Zhang, Q.; Ma, Q.; Wang, Y.; Wu, H.; Zou, J. Molecular mechanisms of inhibiting glucosyltransferases for biofilm formation in Streptococcus mutans. Int. J. Oral Sci. 2021, 13, 30. [Google Scholar] [CrossRef] [PubMed]
- Lamont, R.J.; Koo, H.; Hajishengallis, G. The oral microbiota: Dynamic communities and host interactions. Nat. Rev. Microbiol. 2018, 16, 745–759. [Google Scholar] [CrossRef] [PubMed]
- Wen, Z.T.; Huang, X.; Ellepola, K.; Liao, S.; Li, Y. Lactobacilli and human dental caries: More than mechanical retention. Microbiology 2022, 168, 001196. [Google Scholar] [CrossRef] [PubMed]
- Vilela, M.M.; Salvador, S.L.; Teixeira, I.G.L.; Del Arco, M.C.G.; De Rossi, A. Efficacy of green tea and its extract, epigallocatechin-3-gallate, in the reduction of cariogenic microbiota in children: A randomized clinical trial. Arch. Oral. Biol. 2020, 114, 104727. [Google Scholar] [CrossRef] [PubMed]
- Ferrazzano, G.F.; Roberto, L.; Amato, I.; Cantile, T.; Sangianantoni, G.; Ingenito, A. Antimicrobial properties of green tea extract against cariogenic microflora: An in vivo study. J. Med. Food 2011, 14, 907–911. [Google Scholar] [CrossRef]
- Staszczyk, M.; Jamka-Kasprzyk, M.; Kościelniak, D.; Cienkosz-Stepańczak, B.; Krzyściak, W.; Jurczak, A. Effect of a Short-Term Intervention with Lactobacillus salivarius Probiotic on Early Childhood Caries-An Open Label Randomized Controlled Trial. Int. J. Environ. Res. Public Health 2022, 19, 12447. [Google Scholar] [CrossRef]
- Liu, G.; Wu, C.; Abrams, W.R.; Li, Y. Structural and Functional Characteristics of the Microbiome in Deep-Dentin Caries. J. Dent. Res. 2020, 99, 713–720. [Google Scholar] [CrossRef] [PubMed]
- Salah, R.; Abdulbaqi, H.R.; Mohammed, A.N.; Abdulkareem, A.A. Four-day randomized controlled crossover trial evaluating the antiplaque effect of a combination of green tea and Salvadora persica L. mouthwash. J. Herbal. Med. 2020, 23, 100357. [Google Scholar] [CrossRef]
- Xu, X.; Dai, Z.; Zhang, Z.; Kou, X.; You, X.; Sun, H.; Guo, H.; Liu, M.; Zhu, H. Fabrication of oral nanovesicle in-situ gel based on Epigallocatechin gallate phospholipid complex: Application in dental anti-caries. Eur. J. Pharmacol. 2021, 897, 173951. [Google Scholar] [CrossRef] [PubMed]
- Aragão, M.G.B.; Tedesco, A.C.; Borges, H.S.; Aires, C.P.; Corona, S.A.M. Chitosan nanoparticles loaded with epigallocatechin-3-gallate: Synthesis, characterisation, and effects against Streptococcus mutans biofilmEpigallocatechin-loaded chitosan nanoparticles: Effects against Streptococcus mutans biofilm. Nat. Prod. Res. 2024, 39, 1–8. [Google Scholar] [CrossRef] [PubMed]
- Moreno, A.P.D.; Marcato, P.D.; Silva, L.B.; Salvador, S.L.S.; Arco, M.; Moraes, J.C.B.; Silva, R.S.D.; Rossi, A. Antibacterial Activity of Epigallocatechin-3-gallate (EGCG) Loaded Lipid-chitosan Hybrid Nanoparticle against Planktonic Microorganisms. J. Oleo Sci. 2024, 73, 709–716. [Google Scholar] [CrossRef] [PubMed]
- Salama, M.T.; Alsughier, Z.A. Effect of Green Tea Extract Mouthwash on Salivary Streptococcus mutans Counts in a Group of Preschool Children: An In Vivo Study. Int. J. Clin. Pediatr. Dent. 2019, 12, 133–138. [Google Scholar] [CrossRef] [PubMed]
- Sajadi, F.; Shokrizadeh, M.; Sharifi, M.; Aftabi, R. Evaluating the Effects of Camellia Sinensis (Green Tea) and Teucrium Polium Extracts on Salivary Streptococcus Mutans Levels in Children. J. Dent. 2023, 24, 19–27. [Google Scholar] [CrossRef]
- Liang, J.; Liu, F.; Zou, J.; Xu, H.H.K.; Han, Q.; Wang, Z.; Li, B.; Yang, B.; Ren, B.; Li, M.; et al. pH-Responsive Antibacterial Resin Adhesives for Secondary Caries Inhibition. J. Dent. Res. 2020, 99, 1368–1376. [Google Scholar] [CrossRef] [PubMed]
- Costa, C.A.G.d.; Passos, V.F.; Neri, J.R.; Mendonça, J.S.; Santiago, S.L. Effect of Metalloproteinase Inhibitors on Bond Strength of a Self-etching Adhesive on Erosively Demineralized Dentin. J. Adhes. Dent. 2019, 21, 337–344. [Google Scholar] [CrossRef]
- Yang, H.; Guo, J.; Deng, D.; Chen, Z.; Huang, C. Effect of adjunctive application of epigallocatechin-3-gallate and ethanol-wet bonding on adhesive-dentin bonds. J. Dent. 2016, 44, 44–49. [Google Scholar] [CrossRef]
- Landmayer, K.; Liberatti, G.A.; Farias-Neto, A.M.; Wang, L.; Honório, H.M.; Francisconi-Dos-Rios, L.F. Could applying gels containing chlorhexidine, epigallocatechin-3-gallate, or proanthocyanidin to control tooth wear progression improve bond strength to eroded dentin? J. Prosthet. Dent. 2020, 124, 798.e791–798.e797. [Google Scholar] [CrossRef] [PubMed]
- Neri, J.R.; Yamauti, M.; da Silveira, F.D.; Mendonça, J.S.; de Carvalho, R.M.; Santiago, S.L. Influence of dentin biomodification with epigallocatechin-3-gallate on the bond strength of self-etch adhesive: Twelve-month results. Int. J. Adhes. Adhes. 2016, 71, 81–86. [Google Scholar] [CrossRef]
- Yu, J.; Zhao, Y.; Shen, Y.; Yao, C.; Guo, J.; Yang, H.; Huang, C. Enhancing adhesive-dentin interface stability of primary teeth: From ethanol wet-bonding to plant-derived polyphenol application. J. Dent. 2022, 126, 104285. [Google Scholar] [CrossRef] [PubMed]
- de Macedo, F.A.A.; Souza, N.O.; Lemos, M.V.S.; De-Paula, D.M.; Santiago, S.L.; Feitosa, V.P. Dentin bonding and physicochemical properties of adhesives incorporated with epigallocatechin-3-gallate. Odontology 2019, 107, 23–28. [Google Scholar] [CrossRef] [PubMed]
- Zhang, Z.; Yu, J.; Yao, C.; Yang, H.; Huang, C. New perspective to improve dentin-adhesive interface stability by using dimethyl sulfoxide wet-bonding and epigallocatechin-3-gallate. Dent. Mater. 2020, 36, 1452–1463. [Google Scholar] [CrossRef] [PubMed]
- Wang, Y.L.; Chang, H.H.; Chiang, Y.C.; Lu, Y.C.; Lin, C.P. Effects of fluoride and epigallocatechin gallate on soft-drink-induced dental erosion of enamel and root dentin. J. Formos. Med. Assoc. 2018, 117, 276–282. [Google Scholar] [CrossRef] [PubMed]
- Oliveira-Reis, B.; Maluly-Proni, A.T.; Fagundes, T.C.; Vasconcelos, G.; Bresciani, E.; Prakki, A.; Dos Santos, P.H. Influence of protease inhibitors on the degradation of sound, sclerotic and caries-affected demineralized dentin. J. Mech. Behav. Biomed. Mater. 2019, 97, 1–6. [Google Scholar] [CrossRef]
- Hardan, L.; Daood, U.; Bourgi, R.; Cuevas-Suárez, C.E.; Devoto, W.; Zarow, M.; Jakubowicz, N.; Zamarripa-Calderón, J.E.; Radwanski, M.; Orsini, G.; et al. Effect of Collagen Crosslinkers on Dentin Bond Strength of Adhesive Systems: A Systematic Review and Meta-Analysis. Cells 2022, 11, 2417. [Google Scholar] [CrossRef] [PubMed]
- Yu, J.; Yang, H.; Li, K.; Ren, H.; Lei, J.; Huang, C. Development of Epigallocatechin-3-gallate-Encapsulated Nanohydroxyapatite/Mesoporous Silica for Therapeutic Management of Dentin Surface. ACS Appl. Mater. Interfaces 2017, 9, 25796–25807. [Google Scholar] [CrossRef] [PubMed]
- Zhang, T.; Deng, W.; Zhang, Y.; Liu, M.; Ling, Y.; Sun, Q. The durability of resin-dentine bonds are enhanced by epigallocatechin-3-gallate-encapsulated nanohydroxyapatite/mesoporous silica. FEBS Open Bio 2023, 13, 133–142. [Google Scholar] [CrossRef]
- Yu, J.; Yi, L.; Guo, R.; Guo, J.; Yang, H.; Huang, C. The Stability of Dentin Surface Biobarrier Consisting of Mesoporous Delivery System on Dentinal Tubule Occlusion and Streptococcus Mutans Biofilm Inhibition. Int. J. Nanomed. 2021, 16, 3041–3057. [Google Scholar] [CrossRef] [PubMed]
- Yu, J.; Bian, H.; Zhao, Y.; Guo, J.; Yao, C.; Liu, H.; Shen, Y.; Yang, H.; Huang, C. Epigallocatechin-3-gallate/mineralization precursors co-delivery hollow mesoporous nanosystem for synergistic manipulation of dentin exposure. Bioact. Mater. 2023, 23, 394–408. [Google Scholar] [CrossRef] [PubMed]
- Duncan, H.F.; Galler, K.M.; Tomson, P.L.; Simon, S.; El-Karim, I.; Kundzina, R.; Krastl, G.; Dammaschke, T.; Fransson, H.; Markvart, M.; et al. European Society of Endodontology position statement: Management of deep caries and the exposed pulp. Int. Endod. J. 2019, 52, 923–934. [Google Scholar] [CrossRef] [PubMed]
- Duncan, H.F.; Kirkevang, L.L.; Peters, O.A.; El-Karim, I.; Krastl, G.; Del Fabbro, M.; Chong, B.S.; Galler, K.M.; Segura-Egea, J.J.; Kebschull, M. Treatment of pulpal and apical disease: The European Society of Endodontology (ESE) S3-level clinical practice guideline. Int. Endod. J. 2023, 56 (Suppl. 3), 238–295. [Google Scholar] [CrossRef] [PubMed]
- Kwon, Y.-S.; Kim, H.-J.; Hwang, Y.-C.; Rosa, V.; Yu, M.-K.; Min, K.-S. Effects of Epigallocatechin Gallate, an Antibacterial Cross-linking Agent, on Proliferation and Differentiation of Human Dental Pulp Cells Cultured in Collagen Scaffolds. J. Endod. 2017, 43, 289–296. [Google Scholar] [CrossRef] [PubMed]
- Stavroullakis, A.T.; Carrilho, M.R.; Levesque, C.M.; Prakki, A. Profiling cytokine levels in chlorhexidine and EGCG-treated odontoblast-like cells. Dent. Mater. 2018, 34, e107–e114. [Google Scholar] [CrossRef]
- Li, Y.; Zhao, Y.; Han, J.; Wang, Y.; Lei, S. Effects of epigallocatechin gallate (EGCG) on the biological properties of human dental pulp stem cells and inflammatory pulp tissue. Arch. Oral. Biol. 2021, 123, 105034. [Google Scholar] [CrossRef]
- Nakanishi, T.; Mukai, K.; Hosokawa, Y.; Takegawa, D.; Matsuo, T. Catechins inhibit vascular endothelial growth factor production and cyclooxygenase-2 expression in human dental pulp cells. Int. Endod. J. 2015, 48, 277–282. [Google Scholar] [CrossRef]
- Park, S.Y.; Jeong, Y.J.; Kim, S.H.; Jung, J.Y.; Kim, W.J. Epigallocatechin gallate protects against nitric oxide-induced apoptosis via scavenging ROS and modulating the Bcl-2 family in human dental pulp cells. J. Toxicol. Sci. 2013, 38, 371–378. [Google Scholar] [CrossRef]
- Rossi, A.; Pradela, T.; Liévana, F.S.; Segato, R.A.B.; León, J.E.; Silva, L.; Nelson-Filho, P. Effect of EGCG-based paste as intracanal dressing, in MMPs 2 and 9 expression in dog’s periapical lesions. Braz. Dent. J. 2024, 35, e245509. [Google Scholar] [CrossRef]
- Duque, C.; Hussein, H.; Bortolatto, J.; Prakki, A.; Kishen, A. Effect of taxifolin and epigallocatechin-3-gallate on biomineralization potential of stem cells from dental apical papilla. Arch. Oral. Biol. 2022, 138, 105413. [Google Scholar] [CrossRef] [PubMed]
- Liu, Z.; Lin, Y.; Fang, X.; Yang, J.; Chen, Z. Epigallocatechin-3-Gallate Promotes Osteo-/Odontogenic Differentiation of Stem Cells from the Apical Papilla through Activating the BMP-Smad Signaling Pathway. Molecules 2021, 26, 1580. [Google Scholar] [CrossRef]
- De Rossi, A.; Araújo Ferreira, D.C.; Liévana, F.S.; Vilela, M.M.; Nelson-Filho, P.; da Silva, R.S.; Moraes, J.C.B.; da Silva, L.A.B. An Epigallocatechin-3-gallate Formulation Developed for Endodontic Use: A Physicochemical and Biological Evaluation. J. Endod. 2021, 47, 1640–1650. [Google Scholar] [CrossRef] [PubMed]
- Hong, J.Y.; Yon, J.; Lee, J.S.; Lee, I.K.; Yang, C.; Kim, M.S.; Choi, S.H.; Jung, U.W. Effects of epigallocatechin-3-gallate on the healing of extraction sockets with a periapical lesion: A pilot study in dogs. J. Biomed. Mater. Res. Part. B Appl. Biomater. 2015, 103, 727–734. [Google Scholar] [CrossRef]
- Cao, Y.; Yang, M.; Zhang, R.; Ning, X.; Zong, M.; Liu, X.; Li, J.; Jing, X.; Li, B.; Wu, X. Carbon Dot-Based Photo-Cross-Linked Gelatin Methacryloyl Hydrogel Enables Dental Pulp Regeneration: A Preliminary Study. ACS Appl. Mater. Interfaces 2024, 16, 22976–22988. [Google Scholar] [CrossRef]
- Kinane, D.F.; Stathopoulou, P.G.; Papapanou, P.N. Periodontal diseases. Nat. Rev. Dis. Primers 2017, 3, 17038. [Google Scholar] [CrossRef] [PubMed]
- Zheng, S.; Yu, S.; Fan, X.; Zhang, Y.; Sun, Y.; Lin, L.; Wang, H.; Pan, Y.; Li, C. Porphyromonas gingivalis survival skills: Immune evasion. J. Periodontal Res. 2021, 56, 1007–1018. [Google Scholar] [CrossRef]
- Su, B.Y.; Chen, Z.J.; Lv, J.C.; Wang, Z.G.; Huang, F.W.; Liu, Y.; Luo, E.; Wang, J.; Xu, J.Z.; Li, Z.M. Scalable Fabrication of Polymeric Composite Microspheres to Inhibit Oral Pathogens and Promote Osteogenic Differentiation of Periodontal Membrane Stem Cells. ACS Biomater. Sci. Eng. 2023, 9, 4431–4441. [Google Scholar] [CrossRef]
- Fournier-Larente, J.; Morin, M.P.; Grenier, D. Green tea catechins potentiate the effect of antibiotics and modulate adherence and gene expression in Porphyromonas gingivalis. Arch. Oral. Biol. 2016, 65, 35–43. [Google Scholar] [CrossRef]
- Asahi, Y.; Noiri, Y.; Miura, J.; Maezono, H.; Yamaguchi, M.; Yamamoto, R.; Azakami, H.; Hayashi, M.; Ebisu, S. Effects of the tea catechin epigallocatechin gallate on Porphyromonas gingivalis biofilms. J. Appl. Microbiol. 2014, 116, 1164–1171. [Google Scholar] [CrossRef]
- Reyes, L. Porphyromonas gingivalis . Trends Microbiol. 2021, 29, 376–377. [Google Scholar] [CrossRef]
- Hallikainen, J.; Pyysalo, M.; Keränen, S.; Kellokoski, J.; Koivisto, T.; Suominen, A.L.; Pussinen, P.; Pessi, T.; Frösen, J. Systemic immune response against the oral pathogens Porphyromonas gingivalis and Aggregatibacter actinomycetemcomitans is associated with the formation and rupture of intracranial aneurysms. Eur. J. Neurol. 2021, 28, 3089–3099. [Google Scholar] [CrossRef]
- Maldonado, A.; Pirracchio, L.; Imber, J.C.; Bürgin, W.; Möller, B.; Sculean, A.; Eick, S. Citrullination in periodontium is associated with Porphyromonas gingivalis. Arch. Oral. Biol. 2020, 114, 104695. [Google Scholar] [CrossRef]
- Siqueira, J.F., Jr.; Rôças, I.N. Present status and future directions: Microbiology of endodontic infections. Int. Endod. J. 2022, 55 (Suppl. 3), 512–530. [Google Scholar] [CrossRef]
- Karami, E.; Esfahrood, Z.R.; Mansouri, R.; Haerian, A.; Abdian-Asl, A. Effect of epigallocatechin-3-gallate on tumor necrosis factor-alpha production by human gingival fibroblasts stimulated with bacterial lipopolysaccharide: An in vitro study. J. Indian Soc. Periodontol. 2021, 25, 11–16. [Google Scholar] [CrossRef]
- Wen, W.C.; Kuo, P.J.; Chiang, C.Y.; Chin, Y.T.; Fu, M.M.; Fu, E. Epigallocatechin-3-gallate attenuates Porphyromonas gingivalis lipopolysaccharide-enhanced matrix metalloproteinase-1 production through inhibition of interleukin-6 in gingival fibroblasts. J. Periodontol. 2014, 85, 868–875. [Google Scholar] [CrossRef]
- Lagha, A.B.; Groeger, S.; Meyle, J.; Grenier, D. Green tea polyphenols enhance gingival keratinocyte integrity and protect against invasion by Porphyromonas gingivalis. Pathog. Dis. 2018, 76, fty030. [Google Scholar] [CrossRef]
- Lombardo Bedran, T.B.; Feghali, K.; Zhao, L.; Palomari Spolidorio, D.M.; Grenier, D. Green tea extract and its major constituent, epigallocatechin-3-gallate, induce epithelial beta-defensin secretion and prevent beta-defensin degradation by Porphyromonas gingivalis. J. Periodontal Res. 2014, 49, 615–623. [Google Scholar] [CrossRef]
- Slots, J.; Rams, T.E. Herpesvirus-Bacteria pathogenic interaction in juvenile (aggressive) periodontitis. A novel etiologic concept of the disease. Periodontology 2000 2024, 94, 532–538. [Google Scholar] [CrossRef]
- Chen, C.; Feng, P.; Slots, J. Herpesvirus-bacteria synergistic interaction in periodontitis. Periodontology 2000 2020, 82, 42–64. [Google Scholar] [CrossRef]
- Vega, B.A.; Belinka, B.A., Jr.; Kachlany, S.C. Aggregatibacter actinomycetemcomitans Leukotoxin (LtxA; Leukothera(®)): Mechanisms of Action and Therapeutic Applications. Toxins 2019, 11, 489. [Google Scholar] [CrossRef]
- Chang, E.H.; Brown, A.C. Epigallocatechin gallate alters leukotoxin secretion and Aggregatibacter actinomycetemcomitans virulence. J. Pharm. Pharmacol. 2021, 73, 505–514. [Google Scholar] [CrossRef]
- Chang, E.H.; Giaquinto, P.; Huang, J.; Balashova, N.V.; Brown, A.C. Epigallocatechin gallate inhibits leukotoxin release by Aggregatibacter actinomycetemcomitans by promoting association with the bacterial membrane. Mol. Oral. Microbiol. 2020, 35, 29–39. [Google Scholar] [CrossRef]
- Morin, M.P.; Grenier, D. Regulation of matrix metalloproteinase secretion by green tea catechins in a three-dimensional co-culture model of macrophages and gingival fibroblasts. Arch. Oral. Biol. 2017, 75, 89–99. [Google Scholar] [CrossRef]
- Lombardo Bedran, T.B.; Palomari Spolidorio, D.; Grenier, D. Green tea polyphenol epigallocatechin-3-gallate and cranberry proanthocyanidins act in synergy with cathelicidin (LL-37) to reduce the LPS-induced inflammatory response in a three-dimensional co-culture model of gingival epithelial cells and fibroblasts. Arch. Oral. Biol. 2015, 60, 845–853. [Google Scholar] [CrossRef]
- Brennan, C.A.; Garrett, W.S. Fusobacterium nucleatum—Symbiont, opportunist and oncobacterium. Nat. Rev. Microbiol. 2019, 17, 156–166. [Google Scholar] [CrossRef]
- Ben Lagha, A.; Haas, B.; Grenier, D. Tea polyphenols inhibit the growth and virulence properties of Fusobacterium nucleatum. Sci. Rep. 2017, 7, 44815. [Google Scholar] [CrossRef]
- Sharma, G.; Garg, N.; Hasan, S.; Shirodkar, S. Prevotella: An insight into its characteristics and associated virulence factors. Microb. Pathog. 2022, 169, 105673. [Google Scholar] [CrossRef]
- Song, P.; Hao, Y.; Lin, D.; Jin, Y.; Lin, J. Evaluation of the antibacterial effect of Epigallocatechin gallate on the major pathogens of canine periodontal disease and therapeutic effects on periodontal disease mice. Front. Microbiol. 2023, 14, 1329772. [Google Scholar] [CrossRef]
- Lagha, A.B.; Grenier, D. Tea polyphenols inhibit the activation of NF-κB and the secretion of cytokines and matrix metalloproteinases by macrophages stimulated with Fusobacterium nucleatum. Sci. Rep. 2016, 6, 34520. [Google Scholar] [CrossRef]
- Xu, X.; Zhou, X.D.; Wu, C.D. Tea catechin EGCg suppresses the mgl gene associated with halitosis. J. Dent. Res. 2010, 89, 1304–1308. [Google Scholar] [CrossRef]
- Barros, S.P.; Hefni, E.; Fahimipour, F.; Kim, S.; Arora, P. Maintaining barrier function of infected gingival epithelial cells by inhibition of DNA methylation. J. Periodontol. 2020, 91 (Suppl. 1), S68–S78. [Google Scholar] [CrossRef]
- Hirasawa, M.; Takada, K.; Makimura, M.; Otake, S. Improvement of periodontal status by green tea catechin using a local delivery system: A clinical pilot study. J. Periodontal Res. 2002, 37, 433–438. [Google Scholar] [CrossRef]
- Hajishengallis, G.; Chavakis, T. Local and systemic mechanisms linking periodontal disease and inflammatory comorbidities. Nat. Rev. Immunol. 2021, 21, 426–440. [Google Scholar] [CrossRef]
- Woelber, J.P.; Reichenbächer, K.; Groß, T.; Vach, K.; Ratka-Krüger, P.; Bartha, V. Dietary and Nutraceutical Interventions as an Adjunct to Non-Surgical Periodontal Therapy—A Systematic Review. Nutrients 2023, 15, 1538. [Google Scholar] [CrossRef]
- Ding, C.; Fu, S.; Chen, X.; Chen, C.; Wang, H.; Zhong, L. Epigallocatechin gallate affects the proliferation of human alveolar osteoblasts and periodontal ligament cells, as well as promoting cell differentiation by regulating PI3K/Akt signaling pathway. Odontology 2021, 109, 729–740. [Google Scholar] [CrossRef]
- Liu, J.; Lu, Y.; Liu, J.; Jin, C.; Meng, Y.; Pei, D. Influence of epigallocatechin-3-gallate in promoting proliferation and osteogenic differentiation of human periodontal ligament cells. BMC Oral. Health 2019, 19, 73. [Google Scholar] [CrossRef]
- Cho, A.R.; Kim, J.H.; Lee, D.E.; Lee, J.S.; Jung, U.W.; Bak, E.J.; Yoo, Y.J.; Chung, W.G.; Choi, S.H. The effect of orally administered epigallocatechin-3-gallate on ligature-induced periodontitis in rats. J. Periodontal Res. 2013, 48, 781–789. [Google Scholar] [CrossRef]
- Cai, Y.; Chen, Z.; Liu, H.; Xuan, Y.; Wang, X.; Luan, Q. Green tea epigallocatechin-3-gallate alleviates Porphyromonas gingivalis-induced periodontitis in mice. Int. Immunopharmacol. 2015, 29, 839–845. [Google Scholar] [CrossRef]
- Tian, M.; Chen, G.; Xu, J.; Lin, Y.; Yi, Z.; Chen, X.; Li, X.; Chen, S. Epigallocatechin gallate-based nanoparticles with reactive oxygen species scavenging property for effective chronic periodontitis treatment. Chem. Eng. J. 2022, 433, 132–197. [Google Scholar] [CrossRef]
- Zou, J.H.; Chen, F.; Li, Y.L.; Chen, H.; Sun, T.K.; Du, S.M.; Zhang, J. Effects of green tea extract epigallocatechin-3-gallate (EGCG) on orthodontic tooth movement and root resorption in rats. Arch. Oral. Biol. 2023, 150, 105691. [Google Scholar] [CrossRef]
- Chu, C.; Wang, Y.; Wang, Y.; Yang, R.; Liu, L.; Rung, S.; Xiang, L.; Wu, Y.; Du, S.; Man, Y.; et al. Evaluation of epigallocatechin-3-gallate (EGCG) modified collagen in guided bone regeneration (GBR) surgery and modulation of macrophage phenotype. Mater. Sci. Eng. C Mater. Biol. Appl. 2019, 99, 73–82. [Google Scholar] [CrossRef]
- Zeng, J.; Wang, Y.; Yuan, Q.; Luan, Q. The effect of (-)-epigallocatechin gallate as an adjunct to non-surgical periodontal treatment: A randomized clinical trial. Trials 2022, 23, 368. [Google Scholar] [CrossRef]
- Wang, Y.; Zeng, J.; Yuan, Q.; Luan, Q. Efficacy of (-)-epigallocatechin gallate delivered by a new-type scaler tip during scaling and root planing on chronic periodontitis: A split-mouth, randomized clinical trial. BMC Oral. Health 2021, 21, 79. [Google Scholar] [CrossRef]
- Rattanasuwan, K.; Rassameemasmaung, S.; Sangalungkarn, V.; Komoltri, C. Clinical effect of locally delivered gel containing green tea extract as an adjunct to non-surgical periodontal treatment. Odontology 2016, 104, 89–97. [Google Scholar] [CrossRef]
- Chava, V.K.; Vedula, B.D. Thermo-reversible green tea catechin gel for local application in chronic periodontitis: A 4-week clinical trial. J. Periodontol. 2013, 84, 1290–1296. [Google Scholar] [CrossRef]
- Sarin, S.; Marya, C.; Nagpal, R.; Oberoi, S.S.; Rekhi, A. Preliminary Clinical Evidence of the Antiplaque, Antigingivitis Efficacy of a Mouthwash Containing 2% Green Tea—A Randomised Clinical Trial. Oral. Health Prev. Dent. 2015, 13, 197–203. [Google Scholar] [CrossRef]
- Taleghani, F.; Rezvani, G.; Birjandi, M.; Valizadeh, M. Impact of green tea intake on clinical improvement in chronic periodontitis: A randomized clinical trial. J. Stomatol. Oral Maxillofac. Surg. 2018, 119, 365–368. [Google Scholar] [CrossRef]
- Meng, Z.; Yang, T.; Liu, D. Type-2 epithelial-mesenchymal transition in oral mucosal nonneoplastic diseases. Front. Immunol. 2022, 13, 1020768. [Google Scholar] [CrossRef]
- Ariyawardana, A.; Johnson, N.W. Nonneoplastic diseases and disorders of the oral mucosa: A contemporary overview. Periodontology 2000 2019, 80, 7–11. [Google Scholar] [CrossRef]
- Maymone, M.B.C.; Greer, R.O.; Kesecker, J.; Sahitya, P.C.; Burdine, L.K.; Cheng, A.D.; Maymone, A.C.; Vashi, N.A. Premalignant and malignant oral mucosal lesions: Clinical and pathological findings. J. Am. Acad. Dermatol. 2019, 81, 59–71. [Google Scholar] [CrossRef]
- Tao, L.; Park, J.-Y.; Lambert, J.D. Differential prooxidative effects of the green tea polyphenol, (-)-epigallocatechin-3-gallate, in normal and oral cancer cells are related to differences in sirtuin 3 signaling. Mol. Nutr. Food Res. 2015, 59, 203–211. [Google Scholar] [CrossRef]
- Jing, F.; Zhu, L.; Bai, J.; Cai, X.; Zhou, X.; Zhang, J.; Zhang, H.; Li, T. Molecular mechanisms underlying the epigallocatechin-3-gallate-mediated inhibition of oral squamous cell carcinogenesis. Arch. Oral. Biol. 2023, 153, 105740. [Google Scholar] [CrossRef]
- Hamour, A.F.; Klieb, H.; Eskander, A. Oral lichen planus. CMAJ Can. Med. Assoc. J. 2020, 192, E892. [Google Scholar] [CrossRef]
- Braegelmann, C.; Niebel, D.; Ferring-Schmitt, S.; Fetter, T.; Landsberg, J.; Hölzel, M.; Effern, M.; Glodde, N.; Steinbuch, S.; Bieber, T.; et al. Epigallocatechin-3-gallate exhibits anti-inflammatory effects in a human interface dermatitis model-implications for therapy. J. Eur. Acad. Dermatol. Venereol. JEADV 2022, 36, 144–153. [Google Scholar] [CrossRef]
- Warnakulasuriya, S.; Kujan, O.; Aguirre-Urizar, J.M.; Bagan, J.V.; González-Moles, M.; Kerr, A.R.; Lodi, G.; Mello, F.W.; Monteiro, L.; Ogden, G.R.; et al. Oral potentially malignant disorders: A consensus report from an international seminar on nomenclature and classification, convened by the WHO Collaborating Centre for Oral Cancer. Oral. Dis. 2021, 27, 1862–1880. [Google Scholar] [CrossRef]
- Ray, J.G.; Chatterjee, R.; Chaudhuri, K. Oral submucous fibrosis: A global challenge. Rising incidence, risk factors, management, and research priorities. Periodontology 2000 2019, 80, 200–212. [Google Scholar] [CrossRef]
- Sar, J.I.; Yang, C.J.; Tsai, Y.S.; Deng, Y.T.; Chen, H.M.; Chang, H.H.; Liu, C.M. Sphingosine-1-phosphate stimulated connective tissue growth factor expression in human buccal fibroblasts: Inhibition by epigallocatechin-3-gallate. J. Formos. Med. Assoc. 2015, 114, 860–864. [Google Scholar] [CrossRef]
- Hsieh, Y.P.; Chen, H.M.; Lin, H.Y.; Yang, H.; Chang, J.Z. Epigallocatechin-3-gallate inhibits transforming-growth-factor-β1-induced collagen synthesis by suppressing early growth response-1 in human buccal mucosal fibroblasts. J. Formos. Med. Assoc. 2017, 116, 107–113. [Google Scholar] [CrossRef]
- Hsieh, Y.P.; Chen, H.M.; Chang, J.Z.; Chiang, C.P.; Deng, Y.T.; Kuo, M.Y. Arecoline stimulated early growth response-1 production in human buccal fibroblasts: Suppression by epigallocatechin-3-gallate. Head. Neck 2015, 37, 493–497. [Google Scholar] [CrossRef]
- Chang, J.Z.; Yang, W.H.; Deng, Y.T.; Chen, H.M.; Kuo, M.Y. Thrombin-stimulated connective tissue growth factor (CTGF/CCN2) production in human buccal mucosal fibroblasts: Inhibition by epigallocatechin-3-gallate. Head. Neck 2012, 34, 1089–1094. [Google Scholar] [CrossRef]
- Chang, J.Z.; Hsieh, Y.P.; Lin, W.H.; Chen, H.M.; Kuo, M.Y. Activation of transforming growth factor-β1 by thrombin via integrins αvβ1, αvβ3, and αvβ5 in buccal fibroblasts: Suppression by epigallocatechin-3-gallate. Head. Neck 2017, 39, 1436–1445. [Google Scholar] [CrossRef]
- Hsieh, Y.P.; Wu, K.J.; Chen, H.M.; Deng, Y.T. Arecoline activates latent transforming growth factor β1 via mitochondrial reactive oxygen species in buccal fibroblasts: Suppression by epigallocatechin-3-gallate. J. Formos. Med. Assoc. 2018, 117, 527–534. [Google Scholar] [CrossRef]
- Mehta, C.H.; Narayan, R.; Acharya, S.; Nayak, U.Y. Design and development of surface modified epigallocatechin 3-gallate NanoCubogel for localized delivery to oral submucous fibrosis therapy. J. Drug Deliv. Sci. Technol. 2021, 66, 102911. [Google Scholar] [CrossRef]
- Mehta, C.H.; Paliwal, S.; Muttigi, M.S.; Seetharam, R.N.; Prasad, A.S.B.; Nayak, Y.; Acharya, S.; Nayak, U.Y. Polyphenol-based targeted therapy for oral submucous fibrosis. Inflammopharmacology 2023, 31, 2349–2368. [Google Scholar] [CrossRef]
- Mehta, C.H.; Velagacherla, V.; Manandhar, S.; Nayak, Y.; Pai, S.R.K.; Acharya, S.; Nayak, U.Y. Development of Epigallocatechin 3-gallate-Loaded Hydrogel Nanocomposites for Oral Submucous Fibrosis. AAPS PharmSciTech 2024, 25, 66. [Google Scholar] [CrossRef]
- Iocca, O.; Sollecito, T.P.; Alawi, F.; Weinstein, G.S.; Newman, J.G.; De Virgilio, A.; Di Maio, P.; Spriano, G.; Pardiñas López, S.; Shanti, R.M. Potentially malignant disorders of the oral cavity and oral dysplasia: A systematic review and meta-analysis of malignant transformation rate by subtype. Head Neck 2020, 42, 539–555. [Google Scholar] [CrossRef]
- Vaillancourt, K.; Ben Lagha, A.; Grenier, D. A green tea extract and epigallocatechin-3-gallate attenuate the deleterious effects of irinotecan in an oral epithelial cell model. Arch. Oral. Biol. 2021, 126, 105135. [Google Scholar] [CrossRef]
- Pan, Y.; Lv, H.; Feng, X.; Zhou, S.; Hu, H.; Chen, S.; Cheng, Y.; Fan, F.; Gong, S.; Chen, P.; et al. Epigallocatechin gallate (EGCG) alleviates the inflammatory response and recovers oral microbiota in acetic acid-induced oral inflammation mice. Food Funct. 2023, 14, 10069–10082. [Google Scholar] [CrossRef]
- Zhu, W.; Mei, H.; Jia, L.; Zhao, H.; Li, X.; Meng, X.; Zhao, X.; Xing, L.; Yu, J. Epigallocatechin-3-gallate mouthwash protects mucosa from radiation-induced mucositis in head and neck cancer patients: A prospective, non-randomised, phase 1 trial. Investig. New Drugs 2020, 38, 1129–1136. [Google Scholar] [CrossRef]
- Shao, W.; Chen, R.; Lin, G.; Ran, K.; Zhang, Y.; Yang, J.; Pan, H.; Shangguan, J.; Zhao, Y.; Xu, H. In situ mucoadhesive hydrogel capturing tripeptide KPV: The anti-inflammatory, antibacterial and repairing effect on chemotherapy-induced oral mucositis. Biomater. Sci. 2021, 10, 227–242. [Google Scholar] [CrossRef] [PubMed]
- Proctor, G.B.; Shaalan, A.M. Disease-Induced Changes in Salivary Gland Function and the Composition of Saliva. J. Dent. Res. 2021, 100, 1201–1209. [Google Scholar] [CrossRef] [PubMed]
- Gatta, G.; Guzzo, M.; Locati, L.D.; McGurk, M.; Prott, F.J. Major and minor salivary gland tumours. Crit. Rev. Oncol./Hematol. 2020, 152, 102959. [Google Scholar] [CrossRef] [PubMed]
- Thorlacius, G.E.; Björk, A.; Wahren-Herlenius, M. Genetics and epigenetics of primary Sjögren syndrome: Implications for future therapies. Nat. Rev. Rheumatol. 2023, 19, 288–306. [Google Scholar] [CrossRef] [PubMed]
- Beydon, M.; McCoy, S.; Nguyen, Y.; Sumida, T.; Mariette, X.; Seror, R. Epidemiology of Sjögren syndrome. Nat. Rev. Rheumatol. 2024, 20, 158–169. [Google Scholar] [CrossRef] [PubMed]
- Saito, K.; Mori, S.; Date, F.; Ono, M. Epigallocatechin gallate inhibits oxidative stress-induced DNA damage and apoptosis in MRL-Fas(lpr) mice with autoimmune sialadenitis via upregulation of heme oxygenase-1 and Bcl-2. Autoimmunity 2014, 47, 13–22. [Google Scholar] [CrossRef] [PubMed]
- Saito, K.; Mori, S.; Date, F.; Hong, G. Epigallocatechin gallate stimulates the neuroreactive salivary secretomotor system in autoimmune sialadenitis of MRL-Fas(lpr) mice via activation of cAMP-dependent protein kinase A and inactivation of nuclear factor κB. Autoimmunity 2015, 48, 379–388. [Google Scholar] [CrossRef]
- De Rossi, S.S.; Thoppay, J.; Dickinson, D.P.; Looney, S.; Stuart, M.; Ogbureke, K.U.; Hsu, S. A phase II clinical trial of a natural formulation containing tea catechins for xerostomia. Oral. Surg. Oral Med. Oral Pathol. Oral Radiol. 2014, 118, 447–454.e443. [Google Scholar] [CrossRef]
- Gunning, J.A.; Limesand, K.H. Chronic Phenotypes Underlying Radiation-Induced Salivary Gland Dysfunction. J. Dent. Res. 2024, 103, 220345241252396. [Google Scholar] [CrossRef]
- Choi, J.S.; An, H.Y.; Park, I.S.; Kim, S.K.; Kim, Y.M.; Lim, J.Y. Radioprotective Effect of Epigallocatechin-3-Gallate on Salivary Gland Dysfunction After Radioiodine Ablation in a Murine Model. Clin. Exp. Otorhinolaryngol. 2016, 9, 244–251. [Google Scholar] [CrossRef]
- Sulistiyani, E.; Brimson, J.M.; Chansaenroj, A.; Sariya, L.; Urkasemsin, G.; Oonsiri, S.; Tencomnao, T.; Vacharaksa, A.; Chaisuparat, R.; Ferreira, J.N. Epigallocatechin-3-Gallate Protects Pro-Acinar Epithelia Against Salivary Gland Radiation Injury. Int. J. Mol. Sci. 2021, 22, 3162. [Google Scholar] [CrossRef]
- Taha, R.M.; Abdel-Latif, G.A.; Said, R.H. The Prospective Effect of Green Tea versus Pomegranate Peels Extracts on Submandibular Salivary Glands of Albino Rats after Methotrexate Administration (Histological and Immunohistochemical Study). Int. J. Dent. 2024, 2024, 3290187. [Google Scholar] [CrossRef]
- Park, J.H.; Yoon, J.H.; Kim, S.A.; Ahn, S.G.; Yoon, J.H. (-)-Epigallocatechin-3-gallate inhibits invasion and migration of salivary gland adenocarcinoma cells. Oncol. Rep. 2010, 23, 585–590. [Google Scholar] [CrossRef]
- Weng, L.X.; Wang, G.H.; Yao, H.; Yu, M.F.; Lin, J. Epigallocatechin gallate inhibits the growth of salivary adenoid cystic carcinoma cells via the EGFR/Erk signal transduction pathway and the mitochondria apoptosis pathway. Neoplasma 2017, 64, 563–570. [Google Scholar] [CrossRef] [PubMed]
- Warnakulasuriya, S.; Kerr, A.R. Oral Cancer Screening: Past, Present, and Future. J. Dent. Res. 2021, 100, 1313–1320. [Google Scholar] [CrossRef] [PubMed]
- Sarode, G.; Maniyar, N.; Sarode, S.C.; Jafer, M.; Patil, S.; Awan, K.H. Epidemiologic aspects of oral cancer. Disease-A-Month 2020, 66, 100988. [Google Scholar] [CrossRef]
- Hwang, Y.S.; Park, K.-K.; Chung, W.-Y. Epigallocatechin-3 gallate inhibits cancer invasion by repressing functional invadopodia formation in oral squamous cell carcinoma. Eur. J. Pharmacol. 2013, 715, 286–295. [Google Scholar] [CrossRef]
- Li, A.; Gu, K.; Wang, Q.; Chen, X.; Fu, X.; Wang, Y.; Wen, Y. Epigallocatechin-3-gallate affects the proliferation, apoptosis, migration and invasion of tongue squamous cell carcinoma through the hippo-TAZ signaling pathway. Int. J. Mol. Med. 2018, 42, 2615–2627. [Google Scholar] [CrossRef] [PubMed]
- Gao, F.; Li, M.; Liu, W.B.; Zhou, Z.S.; Zhang, R.; Li, J.L.; Zhou, K.C. Epigallocatechin gallate inhibits human tongue carcinoma cells via HK2-mediated glycolysis. Oncol. Rep. 2015, 33, 1533–1539. [Google Scholar] [CrossRef]
- Tao, L.; Forester, S.C.; Lambert, J.D. The role of the mitochondrial oxidative stress in the cytotoxic effects of the green tea catechin, (-)-epigallocatechin-3-gallate, in oral cells. Mol. Nutr. Food Res. 2014, 58, 665–676. [Google Scholar] [CrossRef]
- Kon, M.; Ishikawa, T.; Ohashi, Y.; Yamada, H.; Ogasawara, M. Epigallocatechin gallate stimulated histamine production and downregulated histamine H1 receptor in oral cancer cell lines expressing histidine decarboxylase. J. Oral Biosci. 2022, 64, 120–130. [Google Scholar] [CrossRef] [PubMed]
- Belobrov, S.; Seers, C.; Reynolds, E.; Cirillo, N.; McCullough, M. Functional and molecular effects of a green tea constituent on oral cancer cells. J. Oral Pathol. Med. 2019, 48, 604–610. [Google Scholar] [CrossRef]
- Lee, J.C.; Chung, L.C.; Chen, Y.J.; Feng, T.H.; Chen, W.T.; Juang, H.H. Upregulation of B-cell translocation gene 2 by epigallocatechin-3-gallate via p38 and ERK signaling blocks cell proliferation in human oral squamous cell carcinoma cells. Cancer Lett. 2015, 360, 310–318. [Google Scholar] [CrossRef]
- Pramanik, K.K.; Mishra, R. ERK-mediated upregulation of matrix metalloproteinase-2 promotes the invasiveness in human oral squamous cell carcinoma (OSCC). Exp. Cell Res. 2022, 411, 112984. [Google Scholar] [CrossRef] [PubMed]
- Pons-Fuster López, E.; Gómez García, F.; López Jornet, P. Combination of 5-Florouracil and polyphenol EGCG exerts suppressive effects on oral cancer cells exposed to radiation. Arch. Oral. Biol. 2019, 101, 8–12. [Google Scholar] [CrossRef]
- Yang, H.; Wei, Y.C.; Li, W.C.; Chen, H.Y.; Lin, H.Y.; Chiang, C.P.; Chen, H.M. Natural Compounds Modulate Drug Transporter Mediated Oral Cancer Treatment. Biomolecules 2020, 10, 1335. [Google Scholar] [CrossRef]
- Bretaudeau, C.; Baud, S.; Dupont-Deshorgue, A.; Cousin, R.; Brassart, B.; Brassart-Pasco, S. AG-9, an Elastin-Derived Peptide, Increases In Vitro Oral Tongue Carcinoma Cell Invasion, through an Increase in MMP-2 Secretion and MT1-MMP Expression, in a RPSA-Dependent Manner. Biomolecules 2020, 11, 39. [Google Scholar] [CrossRef] [PubMed]
- Yoshimura, H.; Yoshida, H.; Matsuda, S.; Ryoke, T.; Ohta, K.; Ohmori, M.; Yamamoto, S.; Kiyoshima, T.; Kobayashi, M.; Sano, K. The therapeutic potential of epigallocatechin-3-gallate against human oral squamous cell carcinoma through inhibition of cell proliferation and induction of apoptosis: In vitro and in vivo murine xenograft study. Mol. Med. Rep. 2019, 20, 1139–1148. [Google Scholar] [CrossRef]
- Slika, H.; Mansour, H.; Wehbe, N.; Nasser, S.A.; Iratni, R.; Nasrallah, G.; Shaito, A.; Ghaddar, T.; Kobeissy, F.; Eid, A.H. Therapeutic potential of flavonoids in cancer: ROS-mediated mechanisms. Biomed. Pharmacother. 2022, 146, 112442. [Google Scholar] [CrossRef]
- Amin, A.; Wang, D.; Nannapaneni, S.; Lamichhane, R.; Chen, Z.G.; Shin, D.M. Combination of resveratrol and green tea epigallocatechin gallate induces synergistic apoptosis and inhibits tumor growth in vivo in head and neck cancer models. Oncol. Rep. 2021, 45, 87. [Google Scholar] [CrossRef]
- Wei, H.; Ge, Q.; Zhang, L.Y.; Xie, J.; Gan, R.H.; Lu, Y.G.; Zheng, D.L. EGCG inhibits growth of tumoral lesions on lip and tongue of K-Ras transgenic mice through the Notch pathway. J. Nutr. Biochem. 2022, 99, 108843. [Google Scholar] [CrossRef] [PubMed]
- Chen, L.; Guo, X.; Hu, Y.; Li, L.; Liang, G.; Zhang, G. Epigallocatechin-3-gallate sensitises multidrug-resistant oral carcinoma xenografts to vincristine sulfate. FEBS Open Bio 2020, 10, 1403–1413. [Google Scholar] [CrossRef] [PubMed]
- Neetha, M.C.; Panchaksharappa, M.G.; Pattabhiramasastry, S.; Shivaprasad, N.V.; Venkatesh, U.G. Chemopreventive Synergism between Green Tea Extract and Curcumin in Patients with Potentially Malignant Oral Disorders: A Double-blind, Randomized Preliminary Study. J. Contemp. Dent. Pract. 2020, 21, 521–531. [Google Scholar] [CrossRef] [PubMed]
- Farhan, M. Green Tea Catechins: Nature’s Way of Preventing and Treating Cancer. Int. J. Mol. Sci. 2022, 23, 10713. [Google Scholar] [CrossRef] [PubMed]
- Lim, Y.X.; Mierzwa, M.L.; Sartor, M.A.; D’Silva, N.J. Clinical, morphologic and molecular heterogeneity of HPV-associated oropharyngeal cancer. Oncogene 2023, 42, 2939–2955. [Google Scholar] [CrossRef] [PubMed]
- Song, J.Y.; Han, J.H.; Song, Y.; Lee, J.H.; Choi, S.Y.; Park, Y.M. Epigallocatechin-3-gallate Can Prevent Type 2 Human Papillomavirus E7 from Suppressing Interferon-Stimulated Genes. Int. J. Mol. Sci. 2021, 22, 2418. [Google Scholar] [CrossRef] [PubMed]
- Yap, J.K.W.; Kehoe, S.T.; Woodman, C.B.J.; Dawson, C.W. The Major Constituent of Green Tea, Epigallocatechin-3-Gallate (EGCG), Inhibits the Growth of HPV18-Infected Keratinocytes by Stimulating Proteasomal Turnover of the E6 and E7 Oncoproteins. Pathogens 2021, 10, 459. [Google Scholar] [CrossRef] [PubMed]
- Shin, D.M.; Nannapaneni, S.; Patel, M.R.; Shi, Q.; Liu, Y.; Chen, Z.; Chen, A.Y.; El-Deiry, M.W.; Beitler, J.J.; Steuer, C.E.; et al. Phase Ib Study of Chemoprevention with Green Tea Polyphenon E and Erlotinib in Patients with Advanced Premalignant Lesions (APL) of the Head and Neck. Clin. Cancer Res. 2020, 26, 5860–5868. [Google Scholar] [CrossRef] [PubMed]
- Liao, Y.C.; Hsu, L.F.; Hsieh, L.Y.; Luo, Y.Y. Effectiveness of green tea mouthwash for improving oral health status in oral cancer patients: A single-blind randomized controlled trial. Int. J. Nurs. Stud. 2021, 121, 103985. [Google Scholar] [CrossRef]
- Fu, J.Y.; Gao, J.; Zhang, Z.Y.; Zheng, J.W.; Luo, J.F.; Zhong, L.P.; Xiang, Y.B. Tea consumption and the risk of oral cancer incidence: A case-control study from China. Oral. Oncol. 2013, 49, 918–922. [Google Scholar] [CrossRef]
- Abe, S.K.; Saito, E.; Sawada, N.; Tsugane, S.; Ito, H.; Lin, Y.; Tamakoshi, A.; Sado, J.; Kitamura, Y.; Sugawara, Y.; et al. Green tea consumption and mortality in Japanese men and women: A pooled analysis of eight population-based cohort studies in Japan. Eur. J. Epidemiol. 2019, 34, 917–926. [Google Scholar] [CrossRef] [PubMed]
- Galeone, C.; Tavani, A.; Pelucchi, C.; Turati, F.; Winn, D.M.; Levi, F.; Yu, G.P.; Morgenstern, H.; Kelsey, K.; Dal Maso, L.; et al. Coffee and tea intake and risk of head and neck cancer: Pooled analysis in the international head and neck cancer epidemiology consortium. Cancer Epidemiol. Biomark. Prev. 2010, 19, 1723–1736. [Google Scholar] [CrossRef]
- Hildebrand, J.S.; Patel, A.V.; McCullough, M.L.; Gaudet, M.M.; Chen, A.Y.; Hayes, R.B.; Gapstur, S.M. Coffee, tea, and fatal oral/pharyngeal cancer in a large prospective US cohort. Am. J. Epidemiol. 2013, 177, 50–58. [Google Scholar] [CrossRef]
- Shi, J.; Yang, G.; You, Q.; Sun, S.; Chen, R.; Lin, Z.; Simal-Gandara, J.; Lv, H. Updates on the chemistry, processing characteristics, and utilization of tea flavonoids in last two decades (2001–2021). Crit. Rev. Food Sci. Nutr. 2023, 63, 4757–4784. [Google Scholar] [CrossRef]
- Khan, H.Y.; Zubair, H.; Faisal, M.; Ullah, M.F.; Farhan, M.; Sarkar, F.H.; Ahmad, A.; Hadi, S.M. Plant polyphenol induced cell death in human cancer cells involves mobilization of intracellular copper ions and reactive oxygen species generation: A mechanism for cancer chemopreventive action. Mol. Nutr. Food Res. 2014, 58, 437–446. [Google Scholar] [CrossRef]
- Sahadevan, R.; Singh, S.; Binoy, A.; Sadhukhan, S. Chemico-biological aspects of (-)-epigallocatechin-3-gallate (EGCG) to improve its stability, bioavailability and membrane permeability: Current status and future prospects. Crit. Rev. Food Sci. Nutr. 2023, 63, 10382–10411. [Google Scholar] [CrossRef]
- Rashidinejad, A.; Boostani, S.; Babazadeh, A.; Rehman, A.; Rezaei, A.; Akbari-Alavijeh, S.; Shaddel, R.; Jafari, S.M. Opportunities and challenges for the nanodelivery of green tea catechins in functional foods. Food Res. Int. 2021, 142, 110186. [Google Scholar] [CrossRef] [PubMed]
- Isbrucker, R.A.; Bausch, J.; Edwards, J.A.; Wolz, E. Safety studies on epigallocatechin gallate (EGCG) preparations. Part 1: Genotoxicity. Food Chem. Toxicol. 2006, 44, 626–635. [Google Scholar] [CrossRef] [PubMed]
- Isbrucker, R.A.; Edwards, J.A.; Wolz, E.; Davidovich, A.; Bausch, J. Safety studies on epigallocatechin gallate (EGCG) preparations. Part 2: Dermal, acute and short-term toxicity studies. Food Chem. Toxicol. 2006, 44, 636–650. [Google Scholar] [CrossRef]
- Isbrucker, R.A.; Edwards, J.A.; Wolz, E.; Davidovich, A.; Bausch, J. Safety studies on epigallocatechin gallate (EGCG) preparations. Part 3: Teratogenicity and reproductive toxicity studies in rats. Food Chem. Toxicol. 2006, 44, 651–661. [Google Scholar] [CrossRef]
- Hu, J.; Webster, D.; Cao, J.; Shao, A. The safety of green tea and green tea extract consumption in adults—Results of a systematic review. Regul. Toxicol. Pharmacol. RTP 2018, 95, 412–433. [Google Scholar] [CrossRef] [PubMed]
- Cieuta-Walti, C.; Cuenca-Royo, A.; Langohr, K.; Rakic, C.; López-Vílchez, M.; Lirio, J.; González-Lamuño Leguina, D.; González, T.B.; García, J.G.; Roure, M.R.; et al. Safety and preliminary efficacy on cognitive performance and adaptive functionality of epigallocatechin gallate (EGCG) in children with Down syndrome. A randomized phase Ib clinical trial (PERSEUS study). Genet. Med. Off. J. Am. Coll. Med. Genet. 2022, 24, 2004–2013. [Google Scholar] [CrossRef] [PubMed]
- Siblini, H.; Al-Hendy, A.; Segars, J.; González, F.; Taylor, H.S.; Singh, B.; Flaminia, A.; Flores, V.A.; Christman, G.M.; Huang, H.; et al. Assessing the Hepatic Safety of Epigallocatechin Gallate (EGCG) in Reproductive-Aged Women. Nutrients 2023, 15, 320. [Google Scholar] [CrossRef] [PubMed]
- Younes, M.; Aggett, P.; Aguilar, F.; Crebelli, R.; Dusemund, B.; Filipič, M.; Frutos, M.J.; Galtier, P.; Gott, D.; Gundert-Remy, U.; et al. Scientific opinion on the safety of green tea catechins. EFSA J. Eur. Food Saf. Auth. 2018, 16, e05239. [Google Scholar] [CrossRef]
- Saimaiti, A.; Zhou, D.D.; Li, J.H.; Xiong, R.G.; Gan, R.Y.; Huang, S.Y.; Shang, A.; Zhao, C.N.; Li, H.Y.; Li, H.B. Dietary sources, health benefits, and risks of caffeine. Crit. Rev. Food Sci. Nutr. 2023, 63, 9648–9666. [Google Scholar] [CrossRef] [PubMed]
- Han, K.; Hwang, E.; Park, J.B. Excessive Consumption of Green Tea as a Risk Factor for Periodontal Disease among Korean Adults. Nutrients 2016, 8, 408. [Google Scholar] [CrossRef] [PubMed]
- Chen, Y.H.; Yang, S.; Hong, D.W.; Attin, T.; Yu, H. Short-term effects of stain-causing beverages on tooth bleaching: A randomized controlled clinical trial. J. Dent. 2020, 95, 103318. [Google Scholar] [CrossRef] [PubMed]
- Korać, S.; Ajanović, M.; Džanković, A.; Konjhodžić, A.; Hasić-Branković, L.; Gavranović-Glamoč, A.; Tahmiščija, I. Color Stability of Dental Composites after Immersion in Beverages and Performed Whitening Procedures. Acta Stomatol. Croat. 2022, 56, 22–32. [Google Scholar] [CrossRef]
- Yu, C.Q.; Tang, H.J.; Guo, Y.; Bian, Z.; Yang, L.; Chen, Y.P.; Tang, A.Y.; Zhou, X.; Yang, X.; Chen, J.S.; et al. Hot Tea Consumption and Its Interactions with Alcohol and Tobacco Use on the Risk for Esophageal Cancer A Population-Based Cohort Study. Ann. Intern. Med. 2018, 168, 489–497. [Google Scholar] [CrossRef]
- Huang, Y.H.; Chen, H.R.; Zhou, L.; Li, G.M.; Yi, D.L.; Zhang, Y.Q.; Wu, Y.Z.; Liu, X.Y.; Wu, X.J.; Song, Q.Y.; et al. Association between green tea intake and risk of gastric cancer: A systematic review and dose-response meta-analysis of observational studies. Public. Health Nutr. 2017, 20, 3183–3192. [Google Scholar] [CrossRef]
- Bortolatto, J.F.; Buzalaf, M.R.A.; Ebrahimi, J.; Floros, M.C.; Ho, M.; Prakki, A. Methacrylation of epigallocatechin-gallate for covalent attachment with a dental polymer. Dent. Mater. 2021, 37, 1751–1760. [Google Scholar] [CrossRef] [PubMed]
- Zhu, S.; Zhu, L.; Yu, J.; Wang, Y.; Peng, B. Anti-osteoclastogenic effect of epigallocatechin gallate-functionalized gold nanoparticles in vitro and in vivo. Int. J. Nanomed. 2019, 14, 5017–5032. [Google Scholar] [CrossRef] [PubMed]
- Mehmood, S.; Maqsood, M.; Mahtab, N.; Khan, M.I.; Sahar, A.; Zaib, S.; Gul, S. Epigallocatechin gallate: Phytochemistry, bioavailability, utilization challenges, and strategies. J. Food Biochem. 2022, 46, e14189. [Google Scholar] [CrossRef] [PubMed]
Disclaimer/Publisher’s Note: The statements, opinions and data contained in all publications are solely those of the individual author(s) and contributor(s) and not of MDPI and/or the editor(s). MDPI and/or the editor(s) disclaim responsibility for any injury to people or property resulting from any ideas, methods, instructions or products referred to in the content. |
© 2024 by the authors. Licensee MDPI, Basel, Switzerland. This article is an open access article distributed under the terms and conditions of the Creative Commons Attribution (CC BY) license (https://creativecommons.org/licenses/by/4.0/).

