Cumin Seed Oil Induces Oxidative Stress-Based Antifungal Activities on Fusarium graminearum
Abstract
1. Introduction
2. Materials and Methods
2.1. Antimicrobial Assay and Cell Proliferation Test
2.2. Nucleic Acid Isolation and cDNA Synthesis
2.3. RAPD (Randomly Amplified Polymorphic DNA) and Coupled Restriction Enzyme Digestion-Random Amplification (CRED-RA) Assays
2.4. Gene Expression Analysis
2.5. Intracellular ROS Detection by Fluorescence Microscopy
2.6. Assessment of Catalase (CAT) Activity
2.7. Water Loss Rate Assay
2.8. Statistical Analysis
3. Results
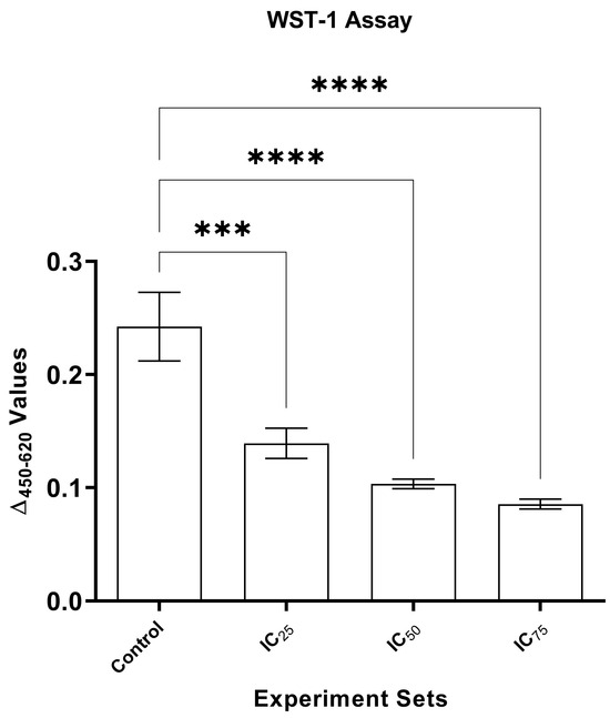
3.1. Antimicrobial Activity and Cell Proliferation Analysis
3.2. RAPD and CRED-RA Analysis
3.3. Gene Expression Analyses
3.4. Fluorescence Microscopy Analysis
3.5. CAT Activity
3.6. WLR Analysis
3.7. Statistical Analysis
4. Discussion
5. Conclusions
Author Contributions
Funding
Institutional Review Board Statement
Informed Consent Statement
Data Availability Statement
Conflicts of Interest
References
- Goswami, R.S.; Kistler, H.C. Heading for disaster: Fusarium graminearum on cereal crops. Mol. Plant Pathol. 2004, 5, 515–525. [Google Scholar] [CrossRef] [PubMed]
- Matny, O.N. Fusarium head blight and crown rot on wheat & barley: Losses and health risks. Adv. Plants Agric. Res. 2015, 2, 00039. [Google Scholar] [CrossRef]
- Miedaner, T.; Cumagun, C.J.R.; Chakraborty, S. Population genetics of three important head blight pathogens Fusarium graminearum, F. pseudograminearum and F. culmorum. J. Phytopathol. 2008, 156, 129–139. [Google Scholar] [CrossRef]
- Desjardins, A.E.; Proctor, R.H. Molecular biology of Fusarium mycotoxins. Int. J. Food Microbiol. 2007, 119, 47–50. [Google Scholar] [CrossRef] [PubMed]
- Foroud, N.A.; Eudes, F. Trichothecenes in cereal grains. Int. J. Mol. Sci. 2009, 10, 147–173. [Google Scholar] [CrossRef] [PubMed]
- Pasquali, M.; Beyer, M.; Logrieco, A.; Audenaert, K.; Balmas, V.; Basler, R.; Boutigny, A.-L.; Chrpová, J.; Czembor, E.; Gagkaeva, T.; et al. A European database of Fusarium graminearum and F. culmorum trichothecene genotypes. Front. Microbiol. 2016, 7, 406. [Google Scholar] [CrossRef] [PubMed]
- Pasquali, M.; Migheli, Q. Genetic approaches to chemotype determination in type B-trichothecene producing Fusaria. Int. J. Food Microbiol. 2014, 189, 164–182. [Google Scholar] [CrossRef] [PubMed]
- Saharan, M.S.; Kumar, J.; Sharma, A.K.; Nagarajan, S. Fusarium head blight (FHB) or head scab of wheat—A review. Proc. Natl. Acad. Sci. USA 2004, 3, 255–268. [Google Scholar]
- Yörük, E.; Yli-Mattila, T. Class B-trichothecene profiles of Fusarium species as causal agents of head blight. In Advancing Frontiers in Mycology & Mycotechnology, 1st ed.; Satyanarayana, T., Deshmukh, S.K., Deshpande, M.V., Eds.; Springer: Berlin/Heidelberg, Germany, 2019; pp. 347–376. [Google Scholar] [CrossRef]
- Przemieniecki, S.W.; Kurowski, T.P.; Korzekwa, K. Chemotypes and geographic distribution of the Fusarium graminearum species complex. Environ. Biotechnol. 2014, 10, 45–59. [Google Scholar] [CrossRef]
- van der Lee, T.; Zhang, H.; van Diepeningen, A.; Waalwijk, C. Biogeography of Fusarium graminearum species complex and chemotypes: A review. Food Addit. Contam. Part A 2015, 32, 453–460. [Google Scholar] [CrossRef]
- Trail, F. For blighted waves of grain: Fusarium graminearum in the postgenomics era. Plant Physiol. 2009, 149, 103–110. [Google Scholar] [CrossRef] [PubMed]
- Dean, R.; Van Kan, J.A.L.; Pretorius, Z.A.; Hammond-Kosack, K.E.; Di Pietro, A.; Spanu, P.D.; Rudd, J.J.; Dickman, M.; Kahmann, R.; Ellis, J.; et al. The Top 10 fungal pathogens in molecular plant pathology. Mol. Plant Pathol. 2012, 13, 414–430. [Google Scholar] [CrossRef] [PubMed]
- Yli-Mattila, T.; Opoku, J.; Ward, T.J. Population structure and genetic diversity of Fusarium graminearum from southwestern Russia and the Russian Far East as compared to northern Europe and North America. Mycologia 2023, 115, 513–523. [Google Scholar] [CrossRef] [PubMed]
- Anand, A.; Zhou, T.; Trick, H.N.; Gill, B.S.; Bockus, W.W.; Muthukrishnan, S. Greenhouse and field testing of transgenic wheat plants stably expressing genes for thaumatin-like protein, chitinase and glucanase against Fusarium graminearum. J. Exp. Bot. 2003, 54, 1101–1111. [Google Scholar] [CrossRef] [PubMed]
- Bai, G.; Shaner, G. Management and resistance in wheat and barley to Fusarium head blight. Annu. Rev. Phytopathol. 2004, 42, 135–161. [Google Scholar] [CrossRef] [PubMed]
- Bernardo, A.; Bai, G.; Guo, P.; Xiao, K.; Guenzi, A.C.; Ayoubi, P. Fusarium graminearum induced changes in gene expression between Fusarium head blight-resistant and susceptible wheat cultivars. Funct. Integr. Genom. 2007, 7, 69–77. [Google Scholar] [CrossRef] [PubMed]
- de Chaves, M.A.; Reginatto, P.; da Costa, B.S.; de Paschoal, R.I.; Teixeira, M.L.; Fuentefria, A.M. Fungicide Resistance in Fusarium graminearum Species Complex. Curr. Microbiol. 2022, 79, 62. [Google Scholar] [CrossRef] [PubMed]
- Chung, W.H.; Ishii, H.; Nishimura, K.; Ohshima, M.; Iwama, T.; Yoshimatsu, H. Genetic analysis and PCR-based identification of major Fusarium species causing head blight on wheat in Japan. J. Gen. Plant Pathol. 2008, 74, 364–374. [Google Scholar] [CrossRef]
- Dal Bello, G.M.; Monaco, C.I.; Simon, M.R. Biological control of seedling blight of wheat caused by Fusarium graminearum with beneficial rhizosphere microorganisms. World J. Microbiol. Biotechnol. 2002, 18, 627–636. [Google Scholar] [CrossRef]
- Qian, H.; Du, J.; Chi, M.; Sun, X.; Liang, W.; Huang, J.; Li, B. The Y137H mutation in the cytochrome P450 FgCYP51B protein confers reduced sensitivity to tebuconazole in Fusarium graminearum. Pest Manag. Sci. 2018, 74, 1472–1477. [Google Scholar] [CrossRef]
- Yin, Y.; Liu, X.; Li, B.; Ma, Z. Characterization of sterol demethylation inhibitor resistant isolates of Fusarium asiaticum and F. graminearum collected from wheat in China. Phytopathology 2009, 99, 487–497. [Google Scholar] [CrossRef]
- Yörük, E. Tetraconazole leads to alterations in Fusarium graminearum at different molecular levels. Appl. Ecol. Environ. Res. 2018, 16, 6155–6167. [Google Scholar] [CrossRef]
- Yörük, E.; Sefer, Ö.; Tunali, B.; Kansu, B.; Sharifnabi, B.; Yli-Mattila, T. Thiophanate methyl susceptibility and alterations in tri5, Mgv1 and StuA expression among Fusarium graminearum and F. culmorum isolates. J. Plant Pathol. 2018, 100, 447–455. [Google Scholar] [CrossRef]
- Gazdağlı, A.; Sefer, Ö.; Yörük, E.; Varol, G.İ.; Teker, T.; Albayrak, G. Investigation of camphor effects on Fusarium graminearum and F. culmorum at different molecular levels. Pathogens 2018, 7, 90. [Google Scholar] [CrossRef]
- Kong, W.; Huo, H.; Gu, Y.; Cao, Y.; Wang, J.; Liang, J.; Niu, S. Antifungal activity of camphor against four phytopathogens of Fusarium. South Afr. J. Bot. 2022, 148, 437–445. [Google Scholar] [CrossRef]
- Perczak, A.; Gwiazdowska, D.; Gwiazdowski, R.; Juś, K.; Marchwińska, K.; Waśkiewicz, A. The inhibitory potential of selected essential oils on Fusarium spp. growth and mycotoxins biosynthesis in maize seeds. Pathogens 2019, 9, 23. [Google Scholar] [CrossRef] [PubMed]
- Perczak, A.; Gwiazdowska, D.; Marchwińska, K.; Juś, K.; Gwiazdowski, R.; Waśkiewicz, A. Antifungal activity of selected essential oils against Fusarium culmorum and F. graminearum and their secondary metabolites in wheat seeds. Arch. Microbiol. 2019, 201, 1085–1097. [Google Scholar] [CrossRef] [PubMed]
- Teker, T.; Sefer, Ö.; Gazdağlı, A.; Yörük, E.; Varol, G.İ.; Albayrak, G. α-Thujone exhibits an antifungal activity against F. graminearum by inducing oxidative stress, apoptosis, epigenetics alterations and reduced toxin synthesis. Eur. J. Plant Pathol. 2021, 160, 611–622. [Google Scholar] [CrossRef]
- Abbas, A.; Yli-Mattila, T. Biocontrol of Fusarium graminearum, a Causal Agent of Fusarium Head Blight of Wheat, and Deoxynivalenol Accumulation: From In Vitro to In Planta. Toxins 2022, 14, 299. [Google Scholar] [CrossRef]
- Al-Snafi, A.E. The pharmacological activities of Cuminum cyminum-A review. IOSR J. Pharm. 2016, 6, 46–65. [Google Scholar]
- Mnif, S.; Aifa, S. Cumin (Cuminum cyminum L.) from traditional uses to potential biomedical applications. Chem. Biodivers. 2015, 12, 733–742. [Google Scholar] [CrossRef] [PubMed]
- Cai, Q.; Guy, C.L.; Moore, G.A. Detection of cytosine methylation and mapping of a gene influencing cytosine methylation in the genome of Citrus. Genome 1996, 39, 235–242. [Google Scholar] [CrossRef] [PubMed]
- Prevost, A.; Wilkinson, M.J. A new system of comparing PCR primers applied to ISSR fingerprinting of potato cultivars. Theor. Appl. Genet. 1999, 98, 107–112. [Google Scholar] [CrossRef]
- Nardemir, G.; Agar, G.; Arslan, E.; Aygun Erturk, F. Determination of genetic and epigenetic effects of glyphosate on Triticum aestivum with RAPD and CRED-RA techniques. Theor. Exp. Plant Physiol. 2015, 27, 131–139. [Google Scholar] [CrossRef]
- Savi, G.D.; Scussel, V.M. Effects of ozone gas exposure on toxigenic fungi species from Fusarium, Aspergillus, and Penicillium genera. Ozone Sci. Eng. 2014, 36, 144–152. [Google Scholar] [CrossRef]
- Harris, E.L.V.; Angel, S. Protein Purification Methods: A Practical Approach, 2nd ed.; IRL Press: Oxford, UK, 1991; p. 317. [Google Scholar]
- Suprunova, T.; Krugman, T.; Fahima, T.; Chen, G.; Shams, I.; Korol, A.; Nevo, E. Differential expression of dehydrin genes in wild barley, Hordeum spontaneum, associated with resistance to water deficit. Plant Cell Environ. 2004, 27, 1297–1308. [Google Scholar] [CrossRef]
- Arif, T.; Bhosale, J.D.; Kumar, N.; Mandal, T.K.; Bendre, R.S.; Lavekar, G.S.; Dabur, R. Natural products–antifungal agents derived from plants. J. Asian Nat. Prod. Res. 2009, 11, 621–638. [Google Scholar] [CrossRef] [PubMed]
- Özsoy, E.; Kesercan, B.; Yörük, E. Antifungal activity of epecific plant essential oils against Fusarium graminearum. Phytopathology 2000, 90, 17–21. [Google Scholar] [CrossRef]
- Khamis, S.; Al-Burtamani, S.; Fatope, M.; Marwah, R.; Onifade, A.; Al-Said, S. Chemical composition, antibacterial and antifungal activities of the essential oil of Haplophyllum tuberculatum from Oman. J. Ethnopharmacol. 2005, 96, 107–112. [Google Scholar] [CrossRef]
- De Rodríguez, D.J.; Hernández-Castillo, D.; Rodrıguez-Garcıa, R.; Angulo-Sánchez, J.L. Antifungal activity in vitro of Aloe vera pulp and liquid fraction against plant pathogenic fungi. Ind. Crops Prod. 2005, 21, 81–87. [Google Scholar] [CrossRef]
- Singh, G.; Maurya, S.; De Lampasona, M.P.; Catalan, C. Chemical constituents, antifungal and antioxidative potential of Foeniculum vulgare volatile oil and its acetone extract. Food Control 2006, 17, 745–752. [Google Scholar] [CrossRef]
- Temel, A.; Kartal, G.; Gozukirmizi, N. Genetic and epigenetic variations in barley calli cultures. Biotechnol. Biotechnol. Equip. 2008, 22, 911–914. [Google Scholar] [CrossRef]
- Demirkiran, A.; Marakli, S.; Temel, A.; Gozukirmizi, N. Genetic and epigenetic effects of salinity on in vitro growth of barley. Genet. Mol. Biol. 2013, 36, 566–570. [Google Scholar] [CrossRef] [PubMed]
- Hellin, P.; Scauflaire, J.; Van Hese, V.; Munaut, F.; Legrève, A. Sensitivity of Fusarium culmorum to triazoles: Impact of trichothecene chemotypes, oxidative stress response and genetic diversity. Pest Manag. Sci. 2017, 73, 1244–1252. [Google Scholar] [CrossRef] [PubMed]
- Ponts, N. Mycotoxins are a component of Fusarium graminearum stress-response system. Front. Microbiol. 2015, 6, 1234. [Google Scholar] [CrossRef] [PubMed]
- Ponts, N.; Couedelo, L.; Pinson-Gadais, L.; Verdal-Bonnin, M.N.; Barreau, C.; Richard-Forget, F. Fusarium response to oxidative stress by H2O2 is trichothecene chemotype-dependent. FEMS Microbiol. Lett. 2009, 293, 255–262. [Google Scholar] [CrossRef] [PubMed]
- Yörük, E.; Özkale, E.; Sefer, Ö.; Özsoy, E. Trichoderma atroviride triggers alterations at epigenetics, transcripts, oxidative stress, and apoptosis levels on Fusarium graminearum. J. Plant Pathol. 2022, 104, 1039–1047. [Google Scholar] [CrossRef]
- Sorahinobar, M.; Niknam, V.; Ebrahimzadeh, H.; Soltanloo, H.; Behmanesh, M.; Enferadi, S.T. Central role of salicylic acid in resistance of wheat against Fusarium graminearum. J. Plant Growth Regul. 2016, 35, 477–491. [Google Scholar] [CrossRef]





| Primer | Primer Sequence (5′-3′) | Total Band Number | Polymorphic Band Number | Polymorphic Band % | RP Values |
|---|---|---|---|---|---|
| OPA04 | AATCGGGCTG | 6 | 5 | 0.83 | 3.3 |
| OPA05 | AGGGGTCTTG | 4 | 3 | 0.75 | 1.98 |
| OPA09 | GGGTAACGCC | 7 | 6 | 0.85 | 3.64 |
| OPA13 | CAGCACCCAC | 6 | 4 | 0.66 | 2.64 |
| OPB06 | TGCTCTGCCC | 4 | 3 | 0.75 | 1.98 |
| OPB07 | GGTGACGCAG | 5 | 4 | 0.8 | 2.64 |
| OPB09 | TGGGGGACTC | 8 | 7 | 0.875 | 4.62 |
| OPB10 | CTGCTGGGAC | 6 | 4 | 0.66 | 2.48 |
| OPB13 | TTCCCCCGCT | 4 | 4 | 1 | 2.64 |
| OPB19 | CCGCATCTAC | 4 | 4 | 1 | 2.64 |
| OPC04 | CCGCATCTAC | 4 | 4 | 1 | 2.64 |
| OPC05 | GATGACCGCC | 6 | 4 | 0.66 | 2.64 |
| OPC07 | GTCCCGACGA | 5 | 4 | 0.8 | 2.64 |
| OPG13 | CTCTCCGCCA | 4 | 3 | 0.75 | 1.98 |
| OPG16 | AGCGTCCTCC | 4 | 2 | 0.5 | 1.32 |
| OPM01 | GTTGGTGGCT | 7 | 6 | 0.85 | 3.84 |
| OPM02 | ACAACGCCTC | 11 | 10 | 0.90 | 5.74 |
| OPM03 | GGGGGATGAG | 8 | 7 | 0.875 | 4.54 |
| OPM04 | GGCGGTTGTC | 10 | 9 | 0.9 | 5.38 |
| OPM05 | GGGAACGTGT | 9 | 8 | 0.88 | 4.68 |
| OPM07 | CCGTGACTCA | 7 | 7 | 1 | 3.52 |
| OPM09 | GTCTTGCGGA | 6 | 5 | 0.83 | 3.04 |
| OPM10 | TCTGGCGCAC | 6 | 5 | 0.83 | 3.04 |
| Primer | Control | Total Number of Experimental Band | Total Number of Experimental Band | Total Number of Experimental Band | Total Number of Experimental Polymorphic Band | Total Number of Experimental Polymorphic Band | Total Number of Experimental Polymorphic Band | Polymorphism (%) | Polymorphism (%) | Polymorphism (%) | ||||||||||
|---|---|---|---|---|---|---|---|---|---|---|---|---|---|---|---|---|---|---|---|---|
| IC25 | IC50 | IC75 | IC25 | IC50 | IC75 | IC25 | IC50 | IC75 | ||||||||||||
| HapII | MspI | HapII | MspI | HapII | MspI | HapII | MspI | HapII | MspI | HapII | MspI | HapII | MspI | HapII | MspI | HapII | MspI | HapII | MspI | |
| OPA04 | 4.0 | 4.0 | 4.0 | 4.0 | 4.0 | 4.0 | 4.0 | 4.0 | 0.0 | 0.0 | 0.0 | 0.0 | 0.0 | 0.0 | 0.0 | 0.0 | 0 | 0 | 0 | 0.0 |
| OPA05 | 2.0 | 2.0 | 2.0 | 2.0 | 2.0 | 2.0 | 2.0 | 2.0 | 0.0 | 0.0 | 0.0 | 0.0 | 0.0 | 0.0 | 0.0 | 0.0 | 0 | 0 | 0 | 0.0 |
| OPA09 | 2.0 | 3.0 | 2.0 | 2.0 | 2.0 | 4.0 | 4.0 | 3.0 | 0.0 | 1.0 | 0.0 | 1.0 | 2.0 | 0.0 | 0.0 | 50.0 | 0 | 25 | 50 | 0.0 |
| OPA13 | 3.0 | 3.0 | 3.0 | 3.0 | 3.0 | 3.0 | 3.0 | 3.0 | 0.0 | 0.0 | 0.0 | 0.0 | 0.0 | 0.0 | 0.0 | 0.0 | 0 | 0 | 0 | 0.0 |
| OPB06 | 2.0 | 2.0 | 2.0 | 2.0 | 2.0 | 2.0 | 2.0 | 2.0 | 0.0 | 0.0 | 0.0 | 0.0 | 0.0 | 0.0 | 0.0 | 0.0 | 0 | 0 | 0 | 0.0 |
| OPB07 | 1.0 | 1.0 | 1.0 | 1.0 | 1.0 | 1.0 | 1.0 | 1.0 | 0.0 | 0.0 | 0.0 | 0.0 | 0.0 | 0.0 | 0.0 | 0.0 | 0 | 0 | 0 | 0.0 |
| OPB09 | 7.0 | 2.0 | 7.0 | 2.0 | 7.0 | 2.0 | 7.0 | 2.0 | 0.0 | 0.0 | 0.0 | 0.0 | 0.0 | 0.0 | 0.0 | 0.0 | 0 | 0 | 0 | 0.0 |
| OPB10 | 6.0 | 5.0 | 6.0 | 4.0 | 6.0 | 5.0 | 6.0 | 5.0 | 0.0 | 1.0 | 0.0 | 0.0 | 0.0 | 0.0 | 0.0 | 25.0 | 0 | 0 | 0 | 0.0 |
| OPB13 | 1.0 | 0.0 | 1.0 | 0.0 | 1.0 | 0.0 | 1.0 | 0.0 | 0.0 | 0.0 | 0.0 | 0.0 | 0.0 | 0.0 | 0.0 | 0.0 | 0 | 0 | 0 | 0.0 |
| OPB19 | 1.0 | 0.0 | 1.0 | 0.0 | 1.0 | 0.0 | 1.0 | 0.0 | 0.0 | 0.0 | 0.0 | 0.0 | 0.0 | 0.0 | 0.0 | 0.0 | 0 | 0 | 0 | 0.0 |
| OPC04 | 1.0 | 0.0 | 1.0 | 0.0 | 1.0 | 0.0 | 1.0 | 0.0 | 0.0 | 0.0 | 0.0 | 0.0 | 0.0 | 0.0 | 0.0 | 0.0 | 0 | 0 | 0 | 0.0 |
| OPC05 | 4.0 | 4.0 | 4.0 | 4.0 | 4.0 | 4.0 | 4.0 | 4.0 | 0.0 | 0.0 | 0.0 | 0.0 | 0.0 | 0.0 | 0.0 | 0.0 | 0 | 0 | 0 | 0.0 |
| OPC07 | 3.0 | 2.0 | 3.0 | 2.0 | 3.0 | 2.0 | 3.0 | 2.0 | 0.0 | 0.0 | 0.0 | 0.0 | 0.0 | 0.0 | 0.0 | 0.0 | 0 | 0 | 0 | 0.0 |
| OPG13 | 1 | 1 | 1 | 1 | 1 | 1 | 1 | 1 | 0 | 0 | 0 | 0 | 0 | 0 | 0.0 | 0.0 | 0 | 0 | 0 | 0.0 |
| OPG16 | 3 | 3 | 3 | 3 | 3 | 3 | 3 | 3 | 0 | 0 | 0 | 0 | 0 | 0 | 0.0 | 0.0 | 0 | 0 | 0 | 0.0 |
| OPM01 | 7.0 | 7.0 | 7.0 | 6.0 | 6.0 | 4.0 | 6.0 | 4.0 | 0.0 | 0.0 | 1.0 | 3.0 | 1.0 | 3.0 | 0.0 | 0.0 | 16.66 | 75 | 16.66 | 75.0 |
| OPM02 | 6.0 | 6.0 | 6.0 | 6.0 | 4.0 | 7.0 | 6.0 | 3.0 | 0.0 | 0.0 | 2.0 | 1.0 | 0.0 | 3.0 | 0.0 | 0.0 | 50 | 14.28 | 0 | 100.0 |
| OPM03 | 3.0 | 4.0 | 4.0 | 2.0 | 5.0 | 2.0 | 4.0 | 4.0 | 1.0 | 2.0 | 2.0 | 2.0 | 1.0 | 0.0 | 25.0 | 100.0 | 40 | 100 | 25 | 0.0 |
| OPM04 | 7.0 | 4.0 | 7.0 | 3.0 | 6.0 | 2.0 | 6.0 | 3.0 | 0.0 | 1.0 | 1.0 | 2.0 | 1.0 | 1.0 | 0.0 | 33.3 | 16.66 | 100 | 16.66 | 33.3 |
| OPM05 | 4.0 | 3.0 | 5.0 | 4.0 | 7.0 | 3.0 | 6.0 | 5.0 | 1.0 | 1.0 | 3.0 | 0.0 | 2.0 | 2.0 | 20.0 | 0.0 | 42.85 | 0 | 33.33 | 40.0 |
| OPM07 | 1.0 | 1.0 | 2.0 | 1.0 | 4.0 | 2.0 | 4.0 | 2.0 | 1.0 | 0.0 | 3.0 | 1.0 | 3.0 | 1.0 | 50.0 | 0.0 | 75 | 50 | 75 | 50.0 |
| OPM09 | 2 | 1 | 1 | 1 | 2 | 1 | 2 | 1 | 1 | 0 | 0 | 0 | 0 | 0 | 100.0 | 0.0 | 0 | 0 | 0 | 0.0 |
| OPM10 | 4 | 3 | 3 | 3 | 4 | 3 | 3 | 3 | 1 | 0 | 0 | 0 | 1 | 0 | 33.3 | 0.0 | 0 | 0 | 33.33 | 0.0 |
| 3.3 | 2.7 | 3.3 | 2.4 | 3.4 | 2.5 | 3.5 | 2.5 | 0.2 | 0.3 | 0.5 | 0.4 | 0.5 | 0.4 | 9.9 | 9.1 | 10.5 | 15.8 | 10.9 | 13.0 | |
| WST-1 | cat Expression | tri6 Expression | CAT Activity | DCF-DA | |
|---|---|---|---|---|---|
| WST-1 | 1.00 | −0.85 | 0.71 | −0.96 | −0.85 |
| CAT expression | −0.85 | 1.00 | −0.24 | 0.96 | 0.99 |
| tri6 expression | 0.71 + | −0.24 − | 1.00 | −0.49 | −0.24 |
| CAT activity | −0.96 | 0.96 | −0.49 | 1.00 | 0.96 |
| DCF-DA | −0.85 | 0.99 + | −0.24 − | 0.96 | 1.00 |
Disclaimer/Publisher’s Note: The statements, opinions and data contained in all publications are solely those of the individual author(s) and contributor(s) and not of MDPI and/or the editor(s). MDPI and/or the editor(s) disclaim responsibility for any injury to people or property resulting from any ideas, methods, instructions or products referred to in the content. |
© 2024 by the authors. Licensee MDPI, Basel, Switzerland. This article is an open access article distributed under the terms and conditions of the Creative Commons Attribution (CC BY) license (https://creativecommons.org/licenses/by/4.0/).
Share and Cite
Yörük, E.; Danışman, Z.; Pekmez, M.; Yli-Mattila, T. Cumin Seed Oil Induces Oxidative Stress-Based Antifungal Activities on Fusarium graminearum. Pathogens 2024, 13, 395. https://doi.org/10.3390/pathogens13050395
Yörük E, Danışman Z, Pekmez M, Yli-Mattila T. Cumin Seed Oil Induces Oxidative Stress-Based Antifungal Activities on Fusarium graminearum. Pathogens. 2024; 13(5):395. https://doi.org/10.3390/pathogens13050395
Chicago/Turabian StyleYörük, Emre, Zeynep Danışman, Murat Pekmez, and Tapani Yli-Mattila. 2024. "Cumin Seed Oil Induces Oxidative Stress-Based Antifungal Activities on Fusarium graminearum" Pathogens 13, no. 5: 395. https://doi.org/10.3390/pathogens13050395
APA StyleYörük, E., Danışman, Z., Pekmez, M., & Yli-Mattila, T. (2024). Cumin Seed Oil Induces Oxidative Stress-Based Antifungal Activities on Fusarium graminearum. Pathogens, 13(5), 395. https://doi.org/10.3390/pathogens13050395

