Efficacy of Binary Ethylenimine in the Inactivation of Foot-and-Mouth Disease Virus for Vaccine Production in South Korea
Abstract
1. Introduction
2. Materials and Methods
2.1. Cells and Viruses
2.2. Preparation of BEI Solution
2.3. BEI Inactivation of FMDV Samples
2.4. Quantification of FMDV Particles
2.5. Virus Titration
2.6. Data Aanalysis
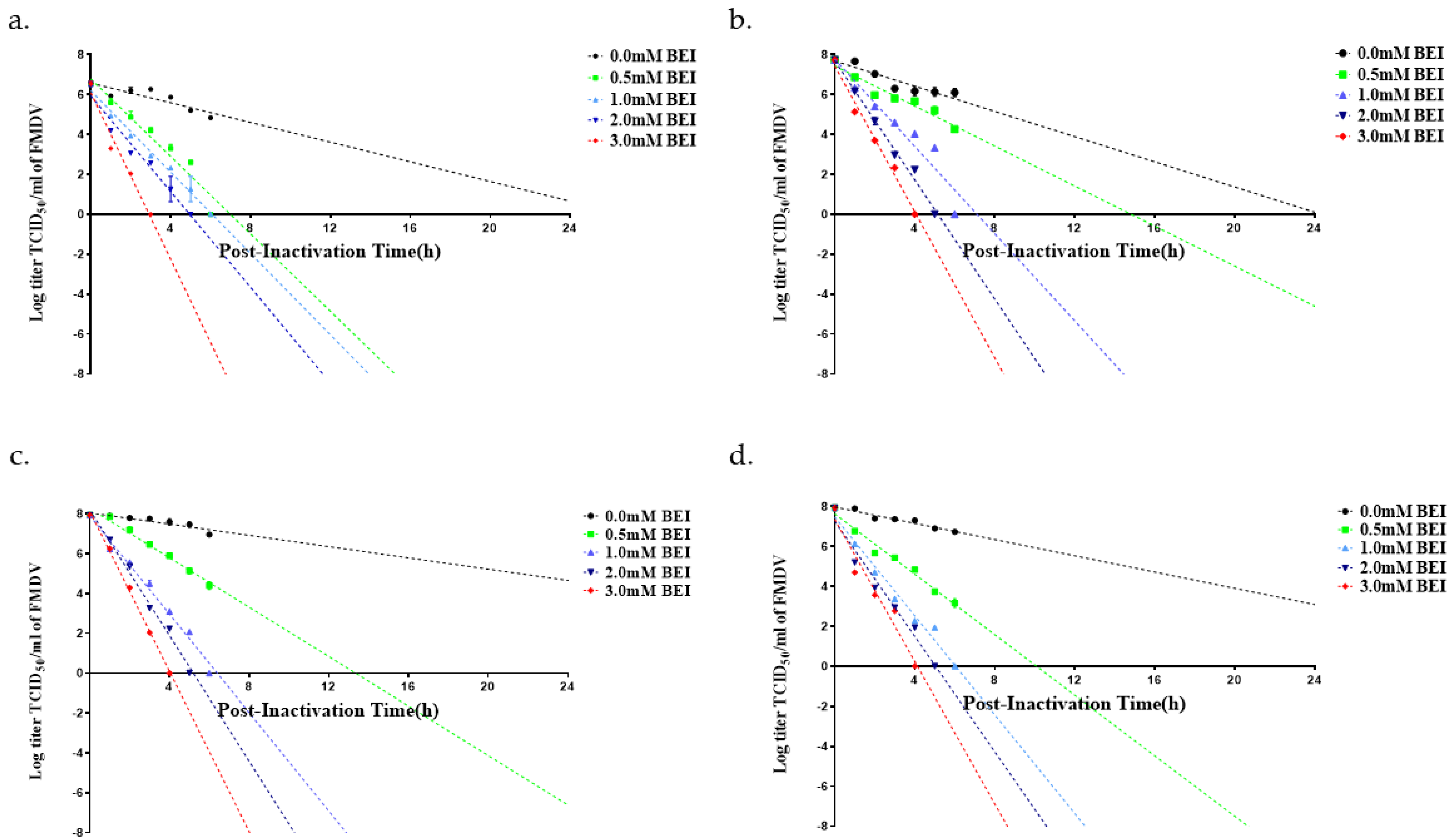
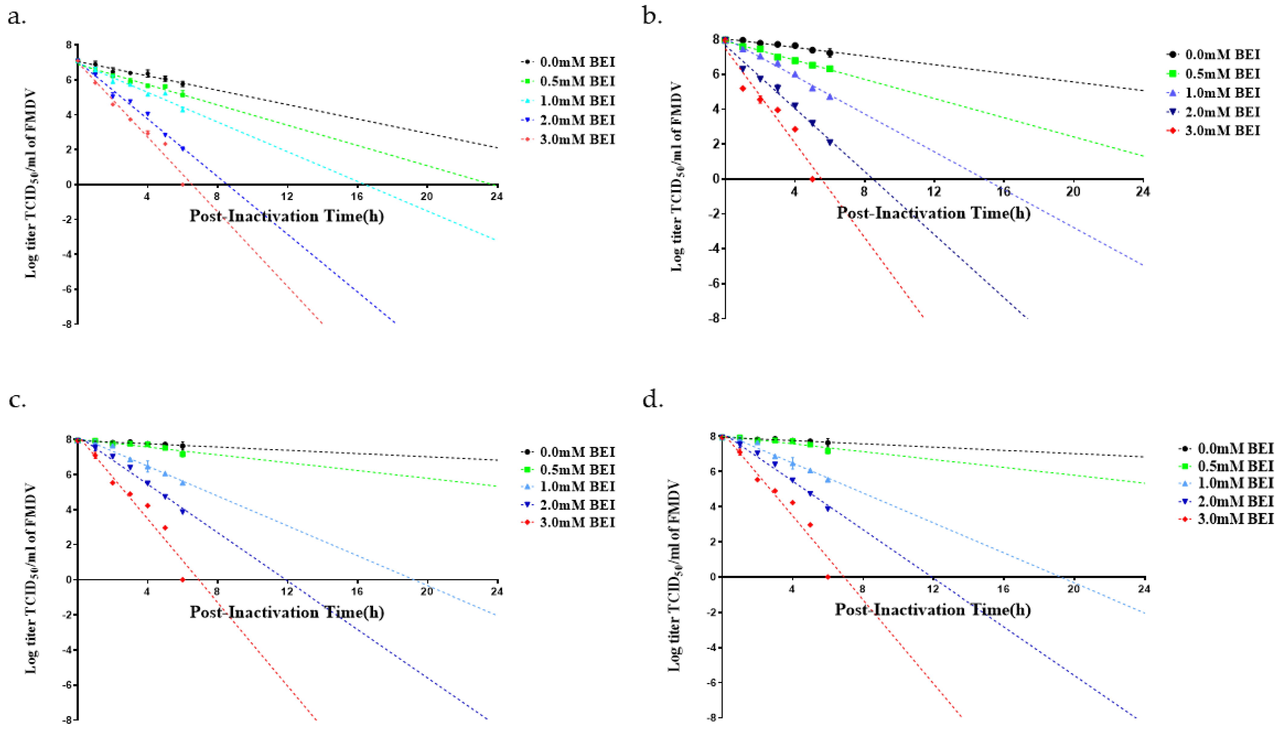
3. Results
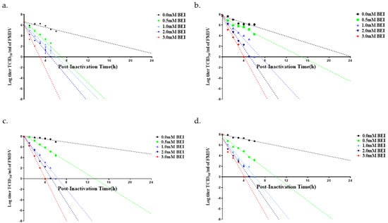
3.1. BEI Inactivation Kinetics
3.2. Effects of Temperature and BEI Concentration
3.3. Effects of BEI Inactivation on FMDV Particle (146S) Yield
4. Discussion
Author Contributions
Funding
Institutional Review Board Statement
Informed Consent Statement
Data Availability Statement
Conflicts of Interest
References
- Knight-Jones, T.J.; Rushton, J. The economic impacts of foot and mouth disease—What are they, how big are they and where do they occur? Prev. Vet. Med. 2013, 112, 161–173. [Google Scholar] [CrossRef] [PubMed]
- Sharma, G.K.; Mohapatra, J.K.; Mahajan, S.; Matura, R.; Subramaniam, S.; Pattnaik, B. Comparative evaluation of non-structural protein-antibody detecting ELISAs for foot-and-mouth disease sero-surveillance under intensive vaccination. J. Virol. Methods 2014, 207, 22–28. [Google Scholar] [CrossRef] [PubMed]
- Grubman, M.J.; Baxt, B. Foot-and-mouth disease. Clin. Microbiol. Rev. 2004, 17, 465–493. [Google Scholar] [CrossRef] [PubMed]
- Roland, R.; Rueckert, E.W. Systematic Nomenclature of Picornavirus Proteins. J. Virol. 1984, 50, 957–959. [Google Scholar]
- Liu, Z.; Shao, J.; Zhao, F.; Zhou, G.; Gao, S.; Liu, W.; Lv, J.; Li, X.; Li, Y.; Chang, H.; et al. Chemiluminescence Immunoassay for the Detection of Antibodies against the 2C and 3ABC Nonstructural Proteins Induced by Infecting Pigs with Foot-and-Mouth Disease Virus. Clin. Vaccine Immunol. 2017, 24, e00153-17. [Google Scholar] [CrossRef]
- Lombard, M.; Pastoret, P.P.; Moulin, A.M. A brief history of vaccines and vaccination. Rev. Sci. Tech. 2007, 26, 29–48. [Google Scholar] [CrossRef]
- Barteling, S.J. Development and performance of inactivated vaccines against foot and mouth disease. Rev. Sci. Tech. 2002, 21, 577–588. [Google Scholar] [CrossRef]
- Bahnemann, H.G. Binary ethylenimine as an inactivant for foot-and-mouth disease virus and its application for vaccine production. Arch. Virol. 1975, 47, 47–56. [Google Scholar] [CrossRef]
- Lee, G.; Hwang, J.H.; Park, J.H.; Lee, M.J.; Kim, B.; Kim, S.M. Vaccine strain of O/ME-SA/Ind-2001e of foot-and-mouth disease virus provides high immunogenicity and broad antigenic coverage. Antivir. Res. 2020, 182, 104920. [Google Scholar] [CrossRef]
- Hwang, J.H.; Lee, G.; Kim, A.; Park, J.H.; Lee, M.J.; Kim, B.; Kim, S.M. A Vaccine Strain of the A/ASIA/Sea-97 Lineage of Foot-and-Mouth Disease Virus with a Single Amino Acid Substitution in the P1 Region That Is Adapted to Suspension Culture Provides High Immunogenicity. Vaccines 2021, 9, 308. [Google Scholar] [CrossRef]
- Lee, S.-Y.; Lee, Y.-J.; Kim, R.-H.; Park, J.-N.; Park, M.-E.; Ko, M.-K.; Choi, J.-H.; Chu, J.-Q.; Lee, K.-N.; Kim, S.-M.; et al. Rapid Engineering of Foot-and-Mouth Disease Vaccine and Challenge Viruses. J. Virol. 2017, 91, e00155-17. [Google Scholar] [CrossRef] [PubMed]
- Spitteler, M.A.; Romo, A.; Magi, N.; Seo, M.G.; Yun, S.J.; Barroumeres, F.; Regulier, E.G.; Bellinzoni, R. Validation of a high performance liquid chromatography method for quantitation of foot-and-mouth disease virus antigen in vaccines and vaccine manufacturing. Vaccine 2019, 37, 5288–5296. [Google Scholar] [CrossRef] [PubMed]
- WOAH. Chapter 3. 1. 8. Foot and Mouth Disease (Infection with Foot and Mouth Disease Virus). Manual of Diagnostic Tests and Vaccines for Terrestrial Animals. 2022. Available online: https://www.woah.org/en/what-we-do/standards/codes-and-manuals/terrestrial-manual-online-access/ (accessed on 13 January 2023).
- Bahnemann, H.G. Inactivation of viral antigens for vaccine preparation with particular reference to the application of binary ethylenimine. Vaccine 1990, 8, 299–303. [Google Scholar] [CrossRef] [PubMed]
- Wu, P.; Rodriguez, Y.Y.; Hershey, B.J.; Tadassa, Y.; Dodd, K.A.; Jia, W. Validation of a binary ethylenimine (BEI) inactivation procedure for biosafety treatment of foot-and-mouth disease viruses (FMDV), vesicular stomatitis viruses (VSV), and swine vesicular disease virus (SVDV). Vet. Microbiol. 2021, 252, 108928. [Google Scholar] [CrossRef] [PubMed]
- Aarthi, D.; Ananda Rao, K.; Robinson, R.; Srinivasan, V.A. Validation of binary ethyleneimine (BEI) used as an inactivant for foot and mouth disease tissue culture vaccine. Biologicals 2004, 32, 153–156. [Google Scholar] [CrossRef]
- Sarkar, A.; Tamil Selvan, R.P.; Kishore, S.; Ganesh, K.; Bhanuprakash, V. Comparison of different inactivation methods on the stability of Indian vaccine strains of foot and mouth disease virus. Biologicals 2017, 48, 10–23. [Google Scholar] [CrossRef]
- Ismail, A.H.; El-Mahdy, S.A.; Mossad, W.G.; Abd El-Krim, A.S.; Abou El-Yazid, M.; Ali, S.M. Optimization of the Inactivation Process of FMD Virus Serotype SAT-2 by Binary Ethyleneimine (BEI). J. Vet. Adv. 2013, 3, 117–124. [Google Scholar] [CrossRef]
- Rweyemamu, M.M.; Unehara, O.; Giorgi, W.; Medeiros, R.; Lucca, D.; Baltazar, M. Effect of formaldehyde and binary ethyleneimine (BEI) on the integrity of foot and mouth disease virus capsid. Rev. Sci. Tech. 1989, 8, 747–764. [Google Scholar] [CrossRef]
- Li, X.R.; Yang, Y.K.; Wang, R.B.; An, F.L.; Zhang, Y.D.; Nie, J.Q.; Ahamada, H.; Liu, X.X.; Liu, C.L.; Deng, Y.; et al. A scale-down model of 4000-L cell culture process for inactivated foot-and-mouth disease vaccine production. Vaccine 2019, 37, 6380–6389. [Google Scholar] [CrossRef]
- Barteling, S.J.; Meloen, R.H. A simple method for the quantification of 140 s particles of foot-and-mouth disease virus (FMDV). Arch. Für Die Gesamte Virusforsch. 1974, 45, 362–364. [Google Scholar] [CrossRef]
- Bucafusco, D.; Di Giacomo, S.; Pega, J.; Schammas, J.M.; Cardoso, N.; Capozzo, A.V.; Perez-Filgueira, M. Foot-and-mouth disease vaccination induces cross-reactive IFN-γ responses in cattle that are dependent on the integrity of the 140S particles. Virology 2015, 476, 11–18. [Google Scholar] [CrossRef] [PubMed]


| BEI | 0.5 mM | 1.0 mM | 2.0 mM | 3.0 mM | ||||
|---|---|---|---|---|---|---|---|---|
| Temperature | 26 °C | 37 °C | 26 °C | 37 °C | 26 °C | 37 °C | 26 °C | 37 °C |
| O BE | 48 h | 14 h | 32 h | 12 h | 17 h | 11 h | 13 h | 6 h |
| O PA-2 | 54 h | 28 h | 28 h | 14 h | 16 h | 10 h | 8 h | 13 h |
| A YC | 134 h | 25 h | 36 h | 12 h | 22 h | 10 h | 12 h | 8 h |
| A22 IRQ | 68 h | 19 h | 30 h | 12 h | 20 h | 10 h | 13 h | 8 h |
| Virus | 26 °C | 37 °C | |||||||||
|---|---|---|---|---|---|---|---|---|---|---|---|
| Time (h) | 0 mM BEI | 0.5 mM BEI | 1 mM BEI | 2 mM BEI | 3 mM BEI | 0 mM BEI | 0.5 mM BEI | 1 mM BEI | 2 mM BEI | 3 mM BEI | |
| O BE | 0 | 9.58 ± 0.23 (100) | 9.58 ± 0.23 (100) | 9.58 ± 0.23 (100) | 9.58 ± 0.23 (100) | 9.58 ± 0.23 (100) | 9.58 ± 0.23 (100) | 9.58 ± 0.23 (100) | 9.58 ± 0.23 (100) | 9.58 ± 0.23 (100) | 9.58 ± 0.23 (100) |
| 6 | 9.83 ± 0.40 (102.6) | 9.87 ± 0.25 (102.9) | 9.87 ± 0.21 (102.9) | 9.80 ± 0.22 (102.3) | 9.50 ± 0.28 (99.2) | 10.07 ± 0.09 (105.1) | 10.37 ± 0.45 (108.2) | 10.03 ± 0.05 (104.7) | 9.97 ± 0.05 (104.0) | 10.07 ± 0.31 (105.1) | |
| 24 | 10.17 ± 0.09 (105.8) | 10.13 ± 0.19 (105.8) | 9.83 ± 0.26 (102.6) | 9.83 ± 0.12 (102.6) | 9.63 ± 0.09 (100.6) | 10.10 (105.4) | 10.03 ± 0.12 (104.7) | 10.07 ± 0.05 (105.1) | 9.90 ± 0.08 (103.3) | 9.77 ± 0.05 (102.0) | |
| O PA-2 | 0 | 6.92 ± 0.17 (100) | 6.92 ± 0.17 (100) | 6.92 ± 0.17 (100) | 6.92 ± 0.17 (100) | 6.92 ± 0.17 (100) | 6.92 ± 0.17 (100) | 6.92 ± 0.17 (100) | 6.92 ± 0.17 (100) | 6.92 ± 0.17 (100) | 6.92 ± 0.17 (100) |
| 6 | 7.03 ± 0.05 (101.6) | 7.33 ± 0.05 (106.0) | 7.27 ± 0.05 (105.0) | 7.10 (102.6) | 6.70 ± 0.08 (96.8) | 7.07 ± 0.05 (102.1) | 7.03 ± 0.12 (101.6) | 7.20 ± 0.08 (104.0) | 7.23 ± 0.05 (104.5) | 6.77 ± 0.05 (97.8) | |
| 24 | 6.97 ± 0.05 (100.7) | 7.00 ± 0.08 (101.2) | 6.97 ± 0.09 (100.7) | 6.77 ± 0.05 (97.8) | 6.67 ± 0.05 (96.3) | 6.90 ± 0.29 (99.7) | 7.10 (102.6) | 6.77 ± 0.09 (97.8) | 7.03 ± 0.12 (101.6) | 6.63 ± 0.05 (95.9) | |
| A YC | 0 | 8.00 ± 0.12 (100) | 8.00 ± 0.12 (100) | 8.00 ± 0.12 (100) | 8.00 ± 0.12 (100) | 8.00 ± 0.12 (100) | 8.00 ± 0.12 (100) | 8.00 ± 0.12 (100) | 8.00 ± 0.12 (100) | 8.00 ± 0.12 (100) | 8.00 ± 0.12 (100) |
| 6 | 8.27 ± 0.05 (103.3) | 8.27 ± 0.05 (103.3) | 8.30 ± 0.08 (103.8) | 8.07 ± 0.09 (100.8) | 8.10 ± 0.08 (101.3) | 8.50 ± 0.16 (106.3) | 8.47 ± 0.05 (105.8) | 8.53 ± 0.21 (106.7) | 8.27 ± 0.09 (103.3) | 8.13 ± 0.12 (101.7) | |
| 24 | 8.30 (103.8) | 7.87 ± 0.12 (98.3) | 7.73 ± 0.05 (96.7) | 7.77 ± 0.05 (97.1) | 7.90 ± 0.08 (98.8) | 8.33 ± 0.05 (104.2) | 8.20 ± 0.08 (102.5) | 8.00 ± 0.16 (100) | 7.90 ± 0.16 (98.8) | 7.80 (97.5) | |
| A22 IRQ | 0 | 4.30 ± 0.06 (100) | 4.30 ± 0.06 (100) | 4.30 ± 0.06 (100) | 4.30 ± 0.06 (100) | 4.30 ± 0.06 (100) | 4.30 ± 0.06 (100) | 4.30 ± 0.06 (100) | 4.30 ± 0.06 (100) | 4.30 ± 0.06 (100) | 4.30 ± 0.06 (100) |
| 6 | 4.77 ± 0.19 (110.9) | 4.67 ± 0.12 (108.5) | 4.63 ± 0.21 (107.8) | 4.47 ± 0.12 (103.9) | 4.37 ± 0.21 (101.6) | 4.47 ± 0.12 (103.9) | 4.40 (102.3) | 4.30 ± 0.14 (100) | 4.43 ± 0.05 (103.1) | 4.23 ± 0.12 (98.4) | |
| 24 | 4.57 ± 0.09 (106.2) | 4.43 ± 0.05 (103.1) | 4.37 ± 0.17 (101.6) | 4.37 ± 0.05 (101.6) | 4.33 ± 0.09 (100.8) | 4.47 ± 0.12 (103.9) | 4.67 ± 0.05 (108.5) | 4.57 ± 0.09 (106.2) | 4.47 ± 0.09 (103.9) | 4.53 ± 0.05 (105.4) | |
Disclaimer/Publisher’s Note: The statements, opinions and data contained in all publications are solely those of the individual author(s) and contributor(s) and not of MDPI and/or the editor(s). MDPI and/or the editor(s) disclaim responsibility for any injury to people or property resulting from any ideas, methods, instructions or products referred to in the content. |
© 2023 by the authors. Licensee MDPI, Basel, Switzerland. This article is an open access article distributed under the terms and conditions of the Creative Commons Attribution (CC BY) license (https://creativecommons.org/licenses/by/4.0/).
Share and Cite
Kim, J.Y.; Park, S.Y.; Jin, J.S.; Kim, D.; Park, J.-H.; Park, S.H.; Ko, Y.-J. Efficacy of Binary Ethylenimine in the Inactivation of Foot-and-Mouth Disease Virus for Vaccine Production in South Korea. Pathogens 2023, 12, 760. https://doi.org/10.3390/pathogens12060760
Kim JY, Park SY, Jin JS, Kim D, Park J-H, Park SH, Ko Y-J. Efficacy of Binary Ethylenimine in the Inactivation of Foot-and-Mouth Disease Virus for Vaccine Production in South Korea. Pathogens. 2023; 12(6):760. https://doi.org/10.3390/pathogens12060760
Chicago/Turabian StyleKim, Jae Young, Sun Young Park, Jong Sook Jin, Dohyun Kim, Jong-Hyeon Park, Sang Hyun Park, and Young-Joon Ko. 2023. "Efficacy of Binary Ethylenimine in the Inactivation of Foot-and-Mouth Disease Virus for Vaccine Production in South Korea" Pathogens 12, no. 6: 760. https://doi.org/10.3390/pathogens12060760
APA StyleKim, J. Y., Park, S. Y., Jin, J. S., Kim, D., Park, J.-H., Park, S. H., & Ko, Y.-J. (2023). Efficacy of Binary Ethylenimine in the Inactivation of Foot-and-Mouth Disease Virus for Vaccine Production in South Korea. Pathogens, 12(6), 760. https://doi.org/10.3390/pathogens12060760

