Role of Microbial Interactions across Food-Related Bacteria on Biofilm Population and Biofilm Decontamination by a TiO2-Nanoparticle-Based Surfactant
Abstract
1. Introduction
2. Materials and Methods
2.1. Bacterial Strains and Inocula Preparation
2.2. Biofilm Formation on Stainless-Steel Surface
2.3. Disinfection of Stainless-Steel Surface
2.4. Quantitation of Viable Biofilm Cells Using the Bead-Vortexing Method
2.5. Statistical Analysis and Data Visualization
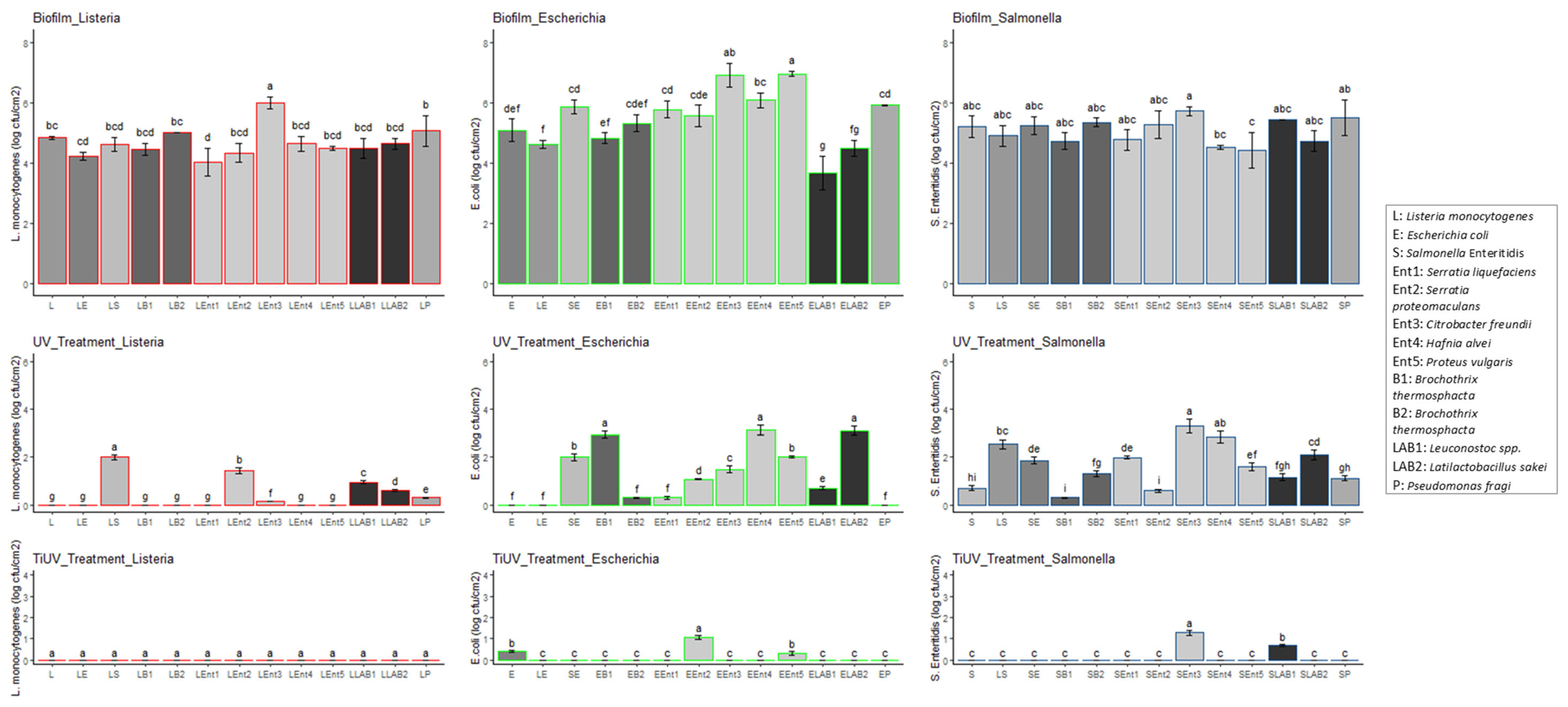
3. Results and Discussion
4. Conclusions
Author Contributions
Funding
Institutional Review Board Statement
Data Availability Statement
Conflicts of Interest
References
- Henrici, A.T. Studies of Freshwater Bacteria. J. Bacteriol. 1933, 25, 277–287. [Google Scholar] [CrossRef]
- Zobell, C.E.; Allen, E.C. The Significance of Marine Bacteria in the Fouling of Submerged Surfaces. J. Bacteriol. 1935, 29, 239–251. [Google Scholar] [CrossRef] [PubMed]
- Høiby, N. A Short History of Microbial Biofilms and Biofilm Infections. APMIS 2017, 125, 272–275. [Google Scholar] [CrossRef]
- Donlan, R.M.; Costerton, J.W. Biofilms: Survival Mechanisms of Clinically Relevant Microorganisms. Clin. Microbiol. Rev. 2002, 15, 167–193. [Google Scholar] [CrossRef] [PubMed]
- Sauer, K.; Rickard, A.; Davies, D. Biofilms and Biocomplexity. Microbe Wash. DC 2007, 2, 347–353. [Google Scholar] [CrossRef]
- Subramani, R.; Jayaprakashvel, M. Bacterial Quorum Sensing: Biofilm Formation, Survival Behaviour and Antibiotic Resistance. In Implication of Quorum Sensing and Biofilm Formation in Medicine, Agriculture and Food Industry; Bramhachari, P.V., Ed.; Springer: Singapore, 2019; pp. 21–37. [Google Scholar] [CrossRef]
- Costerton, J.W.; Irvin, R.T.; Cheng, K.J. The Role of Bacterial Surface Structures in Pathogenesis. Crit. Rev. Microbiol. 1981, 8, 303–338. [Google Scholar] [CrossRef] [PubMed]
- Costerton, J.W.; Cheng, K.J.; Geesey, G.G.; Ladd, T.I.; Nickel, J.C.; Dasgupta, M.; Marrie, T.J. Bacterial Biofilms in Nature and Disease. Annu. Rev. Microbiol. 1987, 41, 435–464. [Google Scholar] [CrossRef]
- McEldowney, S.; Fletcher, M. Bacterial Desorption from Food Container and Food Processing Surfaces. Microb. Ecol. 1988, 15, 229–237. [Google Scholar] [CrossRef]
- James, G.A.; Beaudette, L.; Costerton, J.W. Interspecies Bacterial Interactions in Biofilms. J. Ind. Microbiol. 1995, 15, 257–262. [Google Scholar] [CrossRef]
- Azeredo, J.; Azevedo, N.F.; Briandet, R.; Cerca, N.; Coenye, T.; Costa, A.R.; Desvaux, M.; Di Bonaventura, G.; Hébraud, M.; Jaglic, Z.; et al. Critical Review on Biofilm Methods. Crit. Rev. Microbiol. 2017, 43, 313–351. [Google Scholar] [CrossRef]
- Fletcher, M. Adherence of Marine Micro-Organisms to Smooth Surfaces. In Bacterial Adherence; Beachey, E.H., Ed.; Receptors and Recognition; Springer: Dordrecht, The Netherlands, 1980; pp. 345–374. [Google Scholar] [CrossRef]
- Costerton, J.W.; Gessey, G.G. Microbial Contamination of Surfaces. In Surface Contamination: Genesis, Detection, and Control; Mittal, K.L., Ed.; Springer: Boston, MA, USA, 1979; pp. 211–221. [Google Scholar] [CrossRef]
- Jones, H.C.; Roth, I.L.; Sanders, W.M. Electron Microscopic Study of a Slime Layer. J. Bacteriol. 1969, 99, 316–325. [Google Scholar] [CrossRef]
- Bassler, B.L. How Bacteria Talk to Each Other: Regulation of Gene Expression by Quorum Sensing. Curr. Opin. Microbiol. 1999, 2, 582–587. [Google Scholar] [CrossRef]
- Falà, A.K.; Álvarez-Ordóñez, A.; Filloux, A.; Gahan, C.G.M.; Cotter, P.D. Quorum Sensing in Human Gut and Food Microbiomes: Significance and Potential for Therapeutic Targeting. Front. Microbiol. 2022, 13, 4389. [Google Scholar] [CrossRef]
- Giaouris, E.; Chorianopoulos, N.; Skandamis, P.; Nychas, G.J. Attachment and Biofilm Formation by Salmonella in Food Processing Environments. In Salmonella: A Dangerous Foodborne Pathogen; BoD–Books on Demand: London, UK, 2012. [Google Scholar] [CrossRef]
- Dalton, H.M.; Goodman, A.E.; Marshall, K.C. Diversity in Surface Colonization Behavior in Marine Bacteria. J. Ind. Microbiol. Biotechnol. 1996, 17, 228–234. [Google Scholar] [CrossRef]
- Shapiro, J.A.; Hsu, C. Escherichia Coli K-12 Cell-Cell Interactions Seen by Time-Lapse Video. J. Bacteriol. 1989, 171, 5963–5974. [Google Scholar] [CrossRef] [PubMed]
- Swift, S.; Bainton, N.J.; Winson, M.K. Gram-Negative Bacterial Communication by N-Acyl Homoserine Lactones: A Universal Language? Trends Microbiol. 1994, 2, 193–198. [Google Scholar] [CrossRef]
- Marshall, K.C.; Alexander, M. Competition between Soil Bacteria and Fusarium. Plant Soil 1960, 12, 143–153. [Google Scholar] [CrossRef]
- Barnes, L.-M.; Lo, M.F.; Adams, M.R.; Chamberlain, A.H.L. Effect of Milk Proteins on Adhesion of Bacteria to Stainless Steel Surfaces. Appl. Environ. Microbiol. 1999, 65, 4543–4548. [Google Scholar] [CrossRef] [PubMed]
- Kusumaningrum, H.D.; Riboldi, G.; Hazeleger, W.C.; Beumer, R.R. Survival of Foodborne Pathogens on Stainless Steel Surfaces and Cross-Contamination to Foods. Int. J. Food Microbiol. 2003, 85, 227–236. [Google Scholar] [CrossRef] [PubMed]
- Giaouris, E.; Chorianopoulos, N.; Nychas, G.-J.E. Effect of Temperature, PH, and Water Activity on Biofilm Formation by Salmonella enterica Enteritidis PT4 on Stainless Steel Surfaces as Indicated by the Bead Vortexing Method and Conductance Measurements. J. Food Prot. 2005, 68, 2149–2154. [Google Scholar] [CrossRef]
- Brandl, M.T. Fitness of Human Enteric Pathogens on Plants and Implications for Food Safety. Annu. Rev. Phytopathol. 2006, 44, 367–392. [Google Scholar] [CrossRef] [PubMed]
- Murphy, C.; Carroll, C.; Jordan, K.N. Environmental Survival Mechanisms of the Foodborne Pathogen Campylobacter jejuni. J. Appl. Microbiol. 2006, 100, 623–632. [Google Scholar] [CrossRef]
- Gandhi, M.; Chikindas, M.L. Listeria: A Foodborne Pathogen That Knows How to Survive. Int. J. Food Microbiol. 2007, 113, 1–15. [Google Scholar] [CrossRef] [PubMed]
- Dunsmore, D.G. Bacteriological Control of Food Equipment Surfaces by Cleaning Systems. I. Detergent Effects. J. Food Prot. 1981, 44, 15–20. [Google Scholar] [CrossRef]
- Sharma, M.; Anand, S.K. Characterization of Constitutive Microflora of Biofilms in Dairy Processing Lines. Food Microbiol. 2002, 19, 627–636. [Google Scholar] [CrossRef]
- Srinivasan, S.; Harrington, G.W.; Xagoraraki, I.; Goel, R. Factors Affecting Bulk to Total Bacteria Ratio in Drinking Water Distribution Systems. Water Res. 2008, 42, 3393–3404. [Google Scholar] [CrossRef] [PubMed]
- Yuan, L.; Sadiq, F.A.; Wang, N.; Yang, Z.; He, G. Recent Advances in Understanding the Control of Disinfectant-Resistant Biofilms by Hurdle Technology in the Food Industry. Crit. Rev. Food Sci. Nutr. 2021, 61, 3876–3891. [Google Scholar] [CrossRef] [PubMed]
- van der Veen, S.; Abee, T. Mixed Species Biofilms of Listeria monocytogenes and Lactobacillus Plantarum Show Enhanced Resistance to Benzalkonium Chloride and Peracetic Acid. Int. J. Food Microbiol. 2011, 144, 421–431. [Google Scholar] [CrossRef] [PubMed]
- Giaouris, E.; Heir, E.; Hébraud, M.; Chorianopoulos, N.; Langsrud, S.; Møretrø, T.; Habimana, O.; Desvaux, M.; Renier, S.; Nychas, G.-J. Attachment and Biofilm Formation by Foodborne Bacteria in Meat Processing Environments: Causes, Implications, Role of Bacterial Interactions and Control by Alternative Novel Methods. Meat Sci. 2014, 97, 298–309. [Google Scholar] [CrossRef]
- Morones, J.R.; Elechiguerra, J.L.; Camacho, A.; Holt, K.; Kouri, J.B.; Ramírez, J.T.; Yacaman, M.J. The Bactericidal Effect of Silver Nanoparticles. Nanotechnology 2005, 16, 2346. [Google Scholar] [CrossRef]
- Pal, S.; Tak, Y.K.; Song, J.M. Does the Antibacterial Activity of Silver Nanoparticles Depend on the Shape of the Nanoparticle? A Study of the Gram-Negative Bacterium Escherichia coli. Appl. Environ. Microbiol. 2007, 73, 1712–1720. [Google Scholar] [CrossRef] [PubMed]
- El Badawy, A.M.; Silva, R.G.; Morris, B.; Scheckel, K.G.; Suidan, M.T.; Tolaymat, T.M. Surface Charge-Dependent Toxicity of Silver Nanoparticles. Environ. Sci. Technol. 2011, 45, 283–287. [Google Scholar] [CrossRef]
- Fujishima, A.; Hashimoto, K.; Watanabe, T. TiO2 Photocatalysis: Fundamentals and Applications; Bkc: Tokyo, Japan, 1999; ISBN 9784939051036. [Google Scholar]
- Fujishima, A.; Rao, T.N.; Tryk, D.A. Titanium Dioxide Photocatalysis. J. Photochem. Photobiol. C Photochem. Rev. 2000, 1, 1–21. [Google Scholar] [CrossRef]
- Matsunaga, T.; Tomoda, R.; Nakajima, T.; Nakamura, N.; Komine, T. Continuous-Sterilization System That Uses Photosemiconductor Powders. Appl. Environ. Microbiol. 1988, 54, 1330–1333. [Google Scholar] [CrossRef] [PubMed]
- Kim, B.; Kim, D.; Cho, D.; Cho, S. Bactericidal Effect of TiO2 Photocatalyst on Selected Food-Borne Pathogenic Bacteria. Chemosphere 2003, 52, 277–281. [Google Scholar] [CrossRef]
- Maneerat, C.; Hayata, Y. Antifungal Activity of TiO2 Photocatalysis against Penicillium Expansum in Vitro and in Fruit Tests. Int. J. Food Microbiol. 2006, 107, 99–103. [Google Scholar] [CrossRef]
- Duffy, E.F.; Al Touati, F.; Kehoe, S.C.; McLoughlin, O.A.; Gill, L.W.; Gernjak, W.; Oller, I.; Maldonado, M.I.; Malato, S.; Cassidy, J.; et al. A Novel TiO2-Assisted Solar Photocatalytic Batch-Process Disinfection Reactor for the Treatment of Biological and Chemical Contaminants in Domestic Drinking Water in Developing Countries. Sol. Energy 2004, 77, 649–655. [Google Scholar] [CrossRef]
- Fujishima, A.; Honda, K. Electrochemical Photolysis of Water at a Semiconductor Electrode. Nature 1972, 238, 37–38. [Google Scholar] [CrossRef]
- Ireland, J.C.; Klostermann, P.; Rice, E.W.; Clark, R.M. Inactivation of Escherichia Coli by Titanium Dioxide Photocatalytic Oxidation. Appl. Environ. Microbiol. 1993, 59, 1668–1670. [Google Scholar] [CrossRef]
- Papadopoulou, O.S.; Doulgeraki, A.I.; Botta, C.; Cocolin, L.; Nychas, G.-J.E. Genotypic Characterization of Brochothrix Thermosphacta Isolated during Storage of Minced Pork under Aerobic or Modified Atmosphere Packaging Conditions. Meat Sci. 2012, 92, 735–738. [Google Scholar] [CrossRef]
- Doulgeraki, A.I.; Paramithiotis, S.; Nychas, G.-J.E. Characterization of the Enterobacteriaceae Community That Developed during Storage of Minced Beef under Aerobic or Modified Atmosphere Packaging Conditions. Int. J. Food Microbiol. 2011, 145, 77–83. [Google Scholar] [CrossRef] [PubMed]
- Doulgeraki, A.I.; Paramithiotis, S.; Kagkli, D.M.; Nychas, G.-J.E. Lactic Acid Bacteria Population Dynamics during Minced Beef Storage under Aerobic or Modified Atmosphere Packaging Conditions. Food Microbiol. 2010, 27, 1028–1034. [Google Scholar] [CrossRef]
- Giaouris, E.; Chorianopoulos, N.; Doulgeraki, A.; Nychas, G.-J. Co-Culture with Listeria Monocytogenes within a Dual-Species Biofilm Community Strongly Increases Resistance of Pseudomonas Putida to Benzalkonium Chloride. PLoS ONE 2013, 8, e77276. [Google Scholar] [CrossRef] [PubMed]
- Tsoukleris, D.S.; Maggos, T.; Vassilakos, C.; Falaras, P. Photocatalytic Degradation of Volatile Organics on TiO2 Embedded Glass Spherules. Catal. Today 2007, 129, 96–101. [Google Scholar] [CrossRef]
- Kostaki, M.; Chorianopoulos, N.; Braxou, E.; Nychas, G.-J.; Giaouris, E. Differential Biofilm Formation and Chemical Disinfection Resistance of Sessile Cells of Listeria Monocytogenes Strains under Monospecies and Dual-Species (with Salmonella enterica) Conditions. Appl. Environ. Microbiol. 2012, 78, 2586–2595. [Google Scholar] [CrossRef] [PubMed]
- Chorianopoulos, N.G.; Giaouris, E.D.; Skandamis, P.N.; Haroutounian, S.A.; Nychas, G.-J.E. Disinfectant Test against Monoculture and Mixed-Culture Biofilms Composed of Technological, Spoilage and Pathogenic Bacteria: Bactericidal Effect of Essential Oil and Hydrosol of Satureja Thymbra and Comparison with Standard Acid–Base Sanitizers. J. Appl. Microbiol. 2008, 104, 1586–1596. [Google Scholar] [CrossRef]
- Hall-Stoodley, L.; Costerton, J.W.; Stoodley, P. Bacterial Biofilms: From the Natural Environment to Infectious Diseases. Nat. Rev. Microbiol. 2004, 2, 95–108. [Google Scholar] [CrossRef] [PubMed]
- Jessen, B.; Lammert, L. Biofilm and Disinfection in Meat Processing Plants. Int. Biodeterior. Biodegrad. 2003, 51, 265–269. [Google Scholar] [CrossRef]
- Chmielewski, R.A.N.; Frank, J.F. Biofilm Formation and Control in Food Processing Facilities. Compr. Rev. Food Sci. Food Saf. 2003, 2, 22–32. [Google Scholar] [CrossRef]
- Rivas, L.; Dykes, G.A.; Fegan, N. A Comparative Study of Biofilm Formation by Shiga Toxigenic Escherichia Coli Using Epifluorescence Microscopy on Stainless Steel and a Microtitre Plate Method. J. Microbiol. Methods 2007, 69, 44–51. [Google Scholar] [CrossRef]
- Rode, T.M.; Langsrud, S.; Holck, A.; Møretrø, T. Different Patterns of Biofilm Formation in Staphylococcus Aureus under Food-Related Stress Conditions. Int. J. Food Microbiol. 2007, 116, 372–383. [Google Scholar] [CrossRef] [PubMed]
- Van Houdt, R.; Michiels, C.W. Biofilm Formation and the Food Industry, a Focus on the Bacterial Outer Surface. J. Appl. Microbiol. 2010, 109, 1117–1131. [Google Scholar] [CrossRef]
- Herrera, J.J.R.; Cabo, M.L.; González, A.; Pazos, I.; Pastoriza, L. Adhesion and Detachment Kinetics of Several Strains of Staphylococcus Aureus Subsp. Aureus under Three Different Experimental Conditions. Food Microbiol. 2007, 24, 585–591. [Google Scholar] [CrossRef]
- Gilbert, M.T.P.; Hansen, A.J.; Willerslev, E.; Rudbeck, L.; Barnes, I.; Lynnerup, N.; Cooper, A. Characterization of Genetic Miscoding Lesions Caused by Postmortem Damage. Am. J. Hum. Genet. 2003, 72, 48–61. [Google Scholar] [CrossRef]
- Kumar, C.G.; Anand, S.K. Significance of Microbial Biofilms in Food Industry: A Review. Int. J. Food Microbiol. 1998, 42, 9–27. [Google Scholar] [CrossRef] [PubMed]
- Mai, T.L.; Conner, D.E. Effect of Temperature and Growth Media on the Attachment of Listeria Monocytogenes to Stainless Steel. Int. J. Food Microbiol. 2007, 120, 282–286. [Google Scholar] [CrossRef]
- Frank, J.F.; Koffi, R.A. Surface-Adherent Growth of Listeria Monocytogenes Is Associated with Increased Resistance to Surfactant Sanitizers and Heat. J. Food Prot. 1990, 53, 550–554. [Google Scholar] [CrossRef]
- Herald, P.J.; Zottola, E.A. Attachment of Listeria Monocytogenes to Stainless Steel Surfaces at Various Temperatures and PH Values. J. Food Sci. 1988, 53, 1549–1562. [Google Scholar] [CrossRef]
- Mafu, A.A.; Roy, D.; Goulet, J.; Magny, P. Attachment of Listeria monocytogenes to Stainless Steel, Glass, Polypropylene, and Rubber Surfaces After Short Contact Times. J. Food Prot. 1990, 53, 742–746. [Google Scholar] [CrossRef] [PubMed]
- Dewanti, R.; Wong, A.C.L. Influence of Culture Conditions on Biofilm Formation by Escherichia Coli O157:H7. Int. J. Food Microbiol. 1995, 26, 147–164. [Google Scholar] [CrossRef] [PubMed]
- Joseph, B.; Otta, S.K.; Karunasagar, I.; Karunasagar, I. Biofilm Formation by Salmonella Spp. on Food Contact Surfaces and Their Sensitivity to Sanitizers. Int. J. Food Microbiol. 2001, 64, 367–372. [Google Scholar] [CrossRef] [PubMed]
- Kadam, S.R.; den Besten, H.M.W.; van der Veen, S.; Zwietering, M.H.; Moezelaar, R.; Abee, T. Diversity Assessment of Listeria monocytogenes Biofilm Formation: Impact of Growth Condition, Serotype and Strain Origin. Int. J. Food Microbiol. 2013, 165, 259–264. [Google Scholar] [CrossRef] [PubMed]
- Doulgeraki, A.I.; Papaioannou, M.; Nychas, G.-J.E. Targeted Gene Expression Study of Salmonella enterica during Biofilm Formation on Rocket Leaves. LWT-Food Sci. Technol. 2016, 65, 254–260. [Google Scholar] [CrossRef]
- Bremer, P.J.; Monk, I.; Osborne, C.M. Survival of Listeria monocytogenes Attached to Stainless Steel Surfaces in the Presence or Absence of Flavobacterium spp. J. Food Prot. 2001, 64, 1369–1376. [Google Scholar] [CrossRef]
- Habimana, O.; Meyrand, M.; Meylheuc, T.; Kulakauskas, S.; Briandet, R. Genetic Features of Resident Biofilms Determine Attachment of Listeria monocytogenes. Appl. Environ. Microbiol. 2009, 75, 7814–7821. [Google Scholar] [CrossRef] [PubMed]
- Zijnge, V.; van Leeuwen, M.B.M.; Degener, J.E.; Abbas, F.; Thurnheer, T.; Gmür, R.; Harmsen, H.J.M. Oral Biofilm Architecture on Natural Teeth. PLoS ONE 2010, 5, e9321. [Google Scholar] [CrossRef]
- Lyautey, E.; Lacoste, B.; Ten-Hage, L.; Rols, J.-L.; Garabetian, F. Analysis of Bacterial Diversity in River Biofilms Using 16S RDNA PCR-DGGE: Methodological Settings and Fingerprints Interpretation. Water Res. 2005, 39, 380–388. [Google Scholar] [CrossRef]
- Simões, M.; Simões, L.C.; Pereira, M.O.; Vieira, M.J. Antagonism between Bacillus cereus and Pseudomonas fluorescens in Planktonic Systems and in Biofilms. Biofouling 2008, 24, 339–349. [Google Scholar] [CrossRef] [PubMed]
- Burmølle, M.; Thomsen, T.R.; Fazli, M.; Dige, I.; Christensen, L.; Homøe, P.; Tvede, M.; Nyvad, B.; Tolker-Nielsen, T.; Givskov, M.; et al. Biofilms in Chronic Infections—A Matter of Opportunity—Monospecies Biofilms in Multispecies Infections. FEMS Immunol. Med. Microbiol. 2010, 59, 324–336. [Google Scholar] [CrossRef]
- Zhou, L.; Zhang, Y.; Ge, Y.; Zhu, X.; Pan, J. Regulatory Mechanisms and Promising Applications of Quorum Sensing-Inhibiting Agents in Control of Bacterial Biofilm Formation. Front. Microbiol. 2020, 11, 589640. [Google Scholar] [CrossRef]
- Machado, M.A.A.; Ribeiro, W.A.; Toledo, V.S.; Ramos, G.L.P.A.; Vigoder, H.C.; Nascimento, J.S. Antibiotic Resistance and Biofilm Production in Catalase-Positive Gram-Positive Cocci Isolated from Brazilian Pasteurized Milk. J. Food Qual. Hazards Control 2020, 7, 67–74. [Google Scholar] [CrossRef]
- Skandamis, P.N.; Nychas, G.-J.E. Quorum Sensing in the Context of Food Microbiology. Appl. Environ. Microbiol. 2012, 78, 5473–5482. [Google Scholar] [CrossRef]
- Giaouris, E.; Heir, E.; Desvaux, M.; Hébraud, M.; Møretrø, T.; Langsrud, S.; Doulgeraki, A.; Nychas, G.-J.; Kačániová, M.; Czaczyk, K.; et al. Intra- and Inter-Species Interactions within Biofilms of Important Foodborne Bacterial Pathogens. Front. Microbiol. 2015, 6, 841. [Google Scholar] [CrossRef]
- Gomez, G.F.; Huang, R.; MacPherson, M.; Ferreira Zandona, A.G.; Gregory, R.L. Photo Inactivation of Streptococcus Mutans Biofilm by Violet-Blue Light. Curr. Microbiol. 2016, 73, 426–433. [Google Scholar] [CrossRef]
- Papaioannou, E.; Giaouris, E.D.; Berillis, P.; Boziaris, I.S. Dynamics of Biofilm Formation by Listeria monocytogenes on Stainless Steel under Mono-Species and Mixed-Culture Simulated Fish Processing Conditions and Chemical Disinfection Challenges. Int. J. Food Microbiol. 2018, 267, 9–19. [Google Scholar] [CrossRef]
- Zarei, M.; Bahrami, S.; Liljebjelke, K. Biofilm Formation of Salmonella enterica Serovar Enteritidis Cocultured with Acanthamoeba Castellanii Responds to Nutrient Availability. Int. Microbiol. 2022, 25, 691–700. [Google Scholar] [CrossRef]
- Habimana, O.; Møretrø, T.; Langsrud, S.; Vestby, L.K.; Nesse, L.L.; Heir, E. Micro Ecosystems from Feed Industry Surfaces: A Survival and Biofilm Study of Salmonella versus Host Resident Flora Strains. BMC Vet. Res. 2010, 6, 48. [Google Scholar] [CrossRef] [PubMed]
- Blana, V.; Georgomanou, A.; Giaouris, E. Assessing Biofilm Formation by Salmonella enterica Serovar Typhimurium on Abiotic Substrata in the Presence of Quorum Sensing Signals Produced by Hafnia alvei. Food Control 2017, 80, 83–91. [Google Scholar] [CrossRef]
- Chorianopoulos, N.; Giaouris, E.; Grigoraki, I.; Skandamis, P.; Nychas, G.-J. Effect of Acid Tolerance Response (ATR) on Attachment of Listeria monocytogenes Scott A to Stainless Steel under Extended Exposure to Acid or/and Salt Stress and Resistance of Sessile Cells to Subsequent Strong Acid Challenge. Int. J. Food Microbiol. 2011, 145, 400–406. [Google Scholar] [CrossRef] [PubMed]
- Cho, M.; Chung, H.; Choi, W.; Yoon, J. Linear Correlation between Inactivation of E. Coli and OH Radical Concentration in TiO2 Photocatalytic Disinfection. Water Res. 2004, 38, 1069–1077. [Google Scholar] [CrossRef]
- Horie, Y.; Taya, M.; Tone, S. Effect of Cell Adsorption on Photosterilization of Escherichia Coli over Titanium Dioxide-Activated Charcoal Granules. J. Chem. Eng. Jpn. 1998, 31, 922–929. [Google Scholar] [CrossRef]
- Hur, J.-S.; Oh, S.-O.; Lim, K.-M.; Jung, J.S.; Kim, J.-W.; Koh, Y.J. Novel Effects of TiO2 Photocatalytic Ozonation on Control of Postharvest Fungal Spoilage of Kiwifruit. Postharvest Biol. Technol. 2005, 35, 109–113. [Google Scholar] [CrossRef]
- Kikuchi, Y.; Sunada, K.; Iyoda, T.; Hashimoto, K.; Fujishima, A. Photocatalytic Bactericidal Effect of TiO2 Thin Films: Dynamic View of the Active Oxygen Species Responsible for the Effect. J. Photochem. Photobiol. Chem. 1997, 106, 51–56. [Google Scholar] [CrossRef]
- Maness, P.-C.; Smolinski, S.; Blake, D.M.; Huang, Z.; Wolfrum, E.J.; Jacoby, W.A. Bactericidal Activity of Photocatalytic TiO2 Reaction: Toward an Understanding of Its Killing Mechanism. Appl. Environ. Microbiol. 1999, 65, 4094–4098. [Google Scholar] [CrossRef] [PubMed]
- Matsunaga, T.; Tomoda, R.; Nakajima, T.; Wake, H. Photoelectrochemical Sterilization of Microbial Cells by Semiconductor Powders. FEMS Microbiol. Lett. 1985, 29, 211–214. [Google Scholar] [CrossRef]
- Sunada, K.; Kikuchi, Y.; Hashimoto, K.; Fujishima, A. Bactericidal and Detoxification Effects of TiO2 Thin Film Photocatalysts. Environ. Sci. Technol. 1998, 32, 726–728. [Google Scholar] [CrossRef]
- Wei, C.; Lin, W.-Y.; Zainal, Z.; Zhu, K.; Smith, R.L.; Rajeshwar, K. Bactericidal Activity of TiO2 Photocatalyst in Aqueous Media: Toward a Solar-Assisted Water Disinfection System. Environ. Sci. Technol. 1994, 28, 934–938. [Google Scholar] [CrossRef] [PubMed]
- Wist, J.; Sanabria, J.; Dierolf, C.; Torres, W.; Pulgarin, C. Evaluation of Photocatalytic Disinfection of Crude Water for Drinking-Water Production. J. Photochem. Photobiol. Chem. 2002, 147, 241–246. [Google Scholar] [CrossRef]
- Cho, G.; Kwon, J.; Soh, S.M.; Jang, H.; Mitchell, R.J. Sensitivity of predatory bacteria to different surfactants and their application to check bacterial predation. Appl. Microbiol. Biotechnol. 2019, 103, 8169–8178. [Google Scholar] [CrossRef]
- Burmølle, M.; Webb, J.S.; Rao, D.; Hansen, L.H.; Sørensen, S.J.; Kjelleberg, S. Enhanced Biofilm Formation and Increased Resistance to Antimicrobial Agents and Bacterial Invasion Are Caused by Synergistic Interactions in Multispecies Biofilms. Appl. Environ. Microbiol. 2006, 72, 3916–3923. [Google Scholar] [CrossRef]
- Luppens, S.B.I.; Kara, D.; Bandounas, L.; Jonker, M.J.; Wittink, F.R.A.; Bruning, O.; Breit, T.M.; Ten Cate, J.M.; Crielaard, W. Effect of Veillonella Parvula on the Antimicrobial Resistance and Gene Expression of Streptococcus Mutans Grown in a Dual-Species Biofilm. Oral Microbiol. Immunol. 2008, 23, 183–189. [Google Scholar] [CrossRef] [PubMed]
- Simões, M.; Simões, L.C.; Vieira, M.J. Species Association Increases Biofilm Resistance to Chemical and Mechanical Treatments. Water Res. 2009, 43, 229–237. [Google Scholar] [CrossRef] [PubMed]
- Priyanka, B.; Patil, R.K.; Dwarakanath, S. A Review on Detection Methods Used for Foodborne Pathogens. Indian J. Med. Res. 2016, 144, 327–338. [Google Scholar] [CrossRef] [PubMed]
- Fu, G.; Vary, P.S.; Lin, C.-T. Anatase TiO2 Nanocomposites for Antimicrobial Coatings. J. Phys. Chem. B 2005, 109, 8889–8898. [Google Scholar] [CrossRef] [PubMed]
- Achudhan, D.; Vijayakumar, S.; Malaikozhundan, B.; Divya, M.; Jothirajan, M.; Subbian, K.; González-Sánchez, Z.I.; Mahboob, S.; Al-Ghanim, K.A.; Vaseeharan, B. The Antibacterial, Antibiofilm, Antifogging and Mosquitocidal Activities of Titanium Dioxide (TiO2) Nanoparticles Green-Synthesized Using Multiple Plants Extracts. J. Environ. Chem. Eng. 2020, 8, 104521. [Google Scholar] [CrossRef]



| Species | FMCC CODE * | Strain | Sources |
|---|---|---|---|
| Listeria monocytogenes | B-129 | 21350 | Frozen meal (meat-based) |
| Listeria monocytogenes E. coli O157:H7 | B-128 | 21085 | Soft Cheese |
| B-18 | NCTC 13127 | Human feces | |
| E. coli O157:H7 Salmonella enterica ser. Enteritidis | B-289 | ATCC 35150 | Human feces |
| B-56 | WT | Provided by Prof L. Cocolin | |
| Salmonella enterica ser. Enteritidis | B-287 | P167807 | Provided by Surrey University |
| Brochothrix thermosphacta | Β-432 | 20A3 | Pork [45] |
| Brochothrix thermosphacta Serratia liquefaciens | B-434 | 4A1 | Pork [45] Minced beef [46] |
| Β-292 | VK6 | ||
| Serratia proteomaculans | Β-293 | VK17 | Minced beef [46] |
| Citrobacter freundii | Β-294 | VK19 | Minced beef [46] |
| Hafnia alvei | Β-295 | VK20 | Minced beef [46] |
| Proteus vulgaris | Β-306 | VK101 | Minced beef [46] |
| Leuconostoc spp. | Β-233 | - | Minced beef [47] |
| Latilactobacillus sakei | Β-226 | - | Minced beef [47] |
| Pseudomonas fragi | Β-209 | DSM–3456 | Unknown |
Disclaimer/Publisher’s Note: The statements, opinions and data contained in all publications are solely those of the individual author(s) and contributor(s) and not of MDPI and/or the editor(s). MDPI and/or the editor(s) disclaim responsibility for any injury to people or property resulting from any ideas, methods, instructions or products referred to in the content. |
© 2023 by the authors. Licensee MDPI, Basel, Switzerland. This article is an open access article distributed under the terms and conditions of the Creative Commons Attribution (CC BY) license (https://creativecommons.org/licenses/by/4.0/).
Share and Cite
Doulgeraki, A.I.; Kamarinou, C.S.; Nychas, G.-J.E.; Argyri, A.A.; Tassou, C.C.; Moulas, G.; Chorianopoulos, N. Role of Microbial Interactions across Food-Related Bacteria on Biofilm Population and Biofilm Decontamination by a TiO2-Nanoparticle-Based Surfactant. Pathogens 2023, 12, 573. https://doi.org/10.3390/pathogens12040573
Doulgeraki AI, Kamarinou CS, Nychas G-JE, Argyri AA, Tassou CC, Moulas G, Chorianopoulos N. Role of Microbial Interactions across Food-Related Bacteria on Biofilm Population and Biofilm Decontamination by a TiO2-Nanoparticle-Based Surfactant. Pathogens. 2023; 12(4):573. https://doi.org/10.3390/pathogens12040573
Chicago/Turabian StyleDoulgeraki, Agapi I., Christina S. Kamarinou, George-John E. Nychas, Anthoula A. Argyri, Chrysoula C. Tassou, Georgios Moulas, and Nikos Chorianopoulos. 2023. "Role of Microbial Interactions across Food-Related Bacteria on Biofilm Population and Biofilm Decontamination by a TiO2-Nanoparticle-Based Surfactant" Pathogens 12, no. 4: 573. https://doi.org/10.3390/pathogens12040573
APA StyleDoulgeraki, A. I., Kamarinou, C. S., Nychas, G.-J. E., Argyri, A. A., Tassou, C. C., Moulas, G., & Chorianopoulos, N. (2023). Role of Microbial Interactions across Food-Related Bacteria on Biofilm Population and Biofilm Decontamination by a TiO2-Nanoparticle-Based Surfactant. Pathogens, 12(4), 573. https://doi.org/10.3390/pathogens12040573

