A Synthetic Polymicrobial Community Biofilm Model Demonstrates Spatial Partitioning, Tolerance to Antimicrobial Treatment, Reduced Metabolism, and Small Colony Variants Typical of Chronic Wound Biofilms
Abstract
1. Introduction
2. Materials and Methods
2.1. Bacterial Strains and Culture Conditions
2.2. Preparation of Growth Substrata for Biofilms
2.3. Culture of Bacteria in the Biofilm Flow Device
2.4. Metabolic Activity
2.5. Testing Topical Antimicrobials
2.6. Live-Dead Staining Analysis
2.7. Transmission Electron Microscopy
2.8. Co-Aggregation
2.9. Statistical Analysis
3. Results
3.1. Optimising a Five-Species Biofilm for Continuous Culture under Conditions of Flow in a Three-Dimensional Tissue-like Matrix
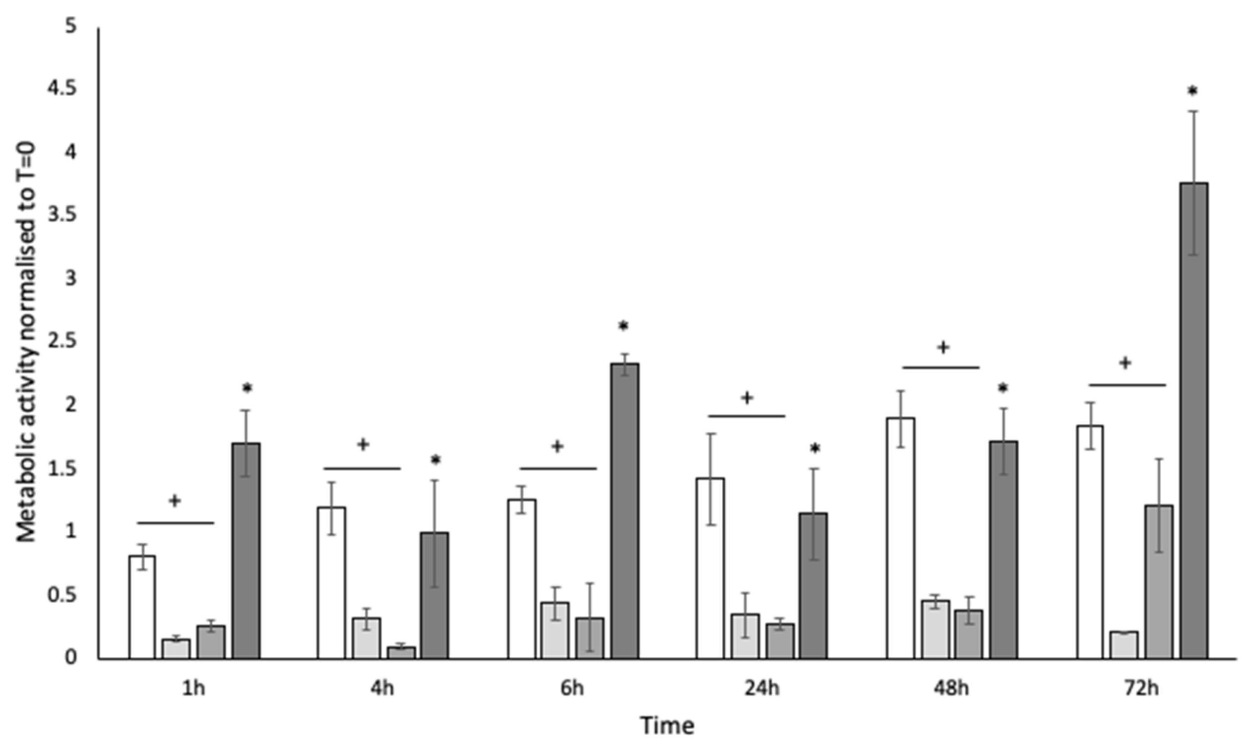
3.2. Low Metabolic Activity Is Observed in Biofilms over 72 h but Stimulated by Diabetic Concentrations of Glucose
3.3. Topical Antibiotics and Antiseptics Reduce Bacterial Numbers with Observable Recovery and Tolerance Developing over Time
3.4. Pseudomonas aeruginosa Is Responsible for the Small Colony Variant Phenotype in Staphylococcus aureus
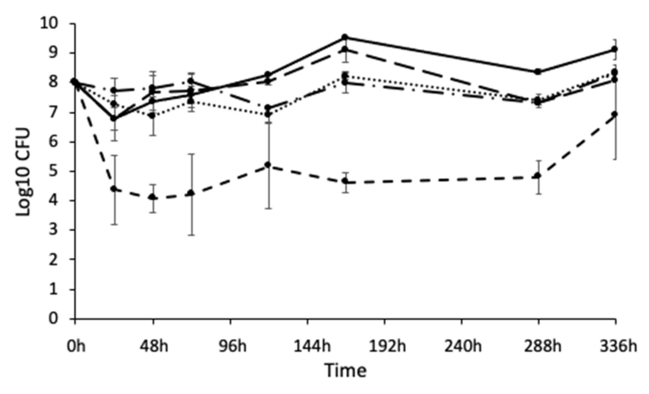
3.5. Biofilms Can Be Maintained for 14 Days without the Population Crashing
3.6. Bacteria Grow as Discrete Species-Specific Aggregates in the 3D Matrix
4. Discussion
5. Conclusions
Supplementary Materials
Author Contributions
Funding
Institutional Review Board Statement
Informed Consent Statement
Data Availability Statement
Acknowledgments
Conflicts of Interest
References
- Omar, A.; Wright, J.; Schultz, G.; Burrell, R.; Nadworny, P. Microbial Biofilms and Chronic Wounds. Microorganisms 2017, 5, 9. [Google Scholar] [CrossRef] [PubMed]
- Guest, J.F.; Vowden, K.; Vowden, P. The Health Economic Burden That Acute and Chronic Wounds Impose on an Average Clinical Commissioning Group/Health Board in the UK. J. Wound Care 2017, 26, 292–303. [Google Scholar] [CrossRef]
- Bowler, P.G.; Duerden, B.I.; Armstrong, D.G. Wound Microbiology and Associated Approaches to Wound Management. Clin. Microbiol. Rev 2001, 14, 26. [Google Scholar] [CrossRef]
- Fazli, M.; Bjarnsholt, T.; Kirketerp-Møller, K.; Jørgensen, B.; Andersen, A.S.; Krogfelt, K.A.; Givskov, M.; Tolker-Nielsen, T. Nonrandom Distribution of Pseudomonas Aeruginosa and Staphylococcus Aureus in Chronic Wounds. J. Clin. Microbiol. 2009, 47, 4084–4089. [Google Scholar] [CrossRef]
- Hinchliffe, R.J.; Valk, G.D.; Apelqvist, J.; Armstrong, D.G.; Bakker, K.; Game, F.L.; Hartemann-Heurtier, A.; Löndahl, M.; Price, P.E.; van Houtum, W.H.; et al. A Systematic Review of the Effectiveness of Interventions to Enhance the Healing of Chronic Ulcers of the Foot in Diabetes. Diabetes Metab. Res. Rev. 2008, 24, S119–S144. [Google Scholar] [CrossRef] [PubMed]
- Hussey, L.; Stocks, S.J.; Wilson, P.; Dumville, J.C.; Cullum, N. Use of Antimicrobial Dressings in England and the Association with Published Clinical Guidance: Interrupted Time Series Analysis. Open Access 2019, 9, e028727. [Google Scholar] [CrossRef] [PubMed]
- Kadam, S.; Madhusoodhanan, V.; Bhide, D.; Ugale, R.; Tikhole, U.; Kaushik, K.S. Milieu Matters: An in Vitro Wound Milieu to Recapitulate Key Features of, and Probe New Insights into, Polymicrobial Biofilms. Microbiology 2021, 3, 100047. [Google Scholar]
- Thaarup, I.C.; Bjarnsholt, T. Current In Vitro Biofilm-Infected Chronic Wound Models for Developing New Treatment Possibilities. Adv. Wound Care 2021, 10, 91–102. [Google Scholar] [CrossRef] [PubMed]
- Dalton, T.; Dowd, S.E.; Wolcott, R.D.; Sun, Y.; Watters, C.; Griswold, J.A.; Rumbaugh, K.P. An In Vivo Polymicrobial Biofilm Wound Infection Model to Study Interspecies Interactions. PLoS ONE 2011, 6, e27317. [Google Scholar] [CrossRef] [PubMed]
- Hill, K.E.; Malic, S.; McKee, R.; Rennison, T.; Harding, K.G.; Williams, D.W.; Thomas, D.W. An in Vitro Model of Chronic Wound Biofilms to Test Wound Dressings and Assess Antimicrobial Susceptibilities. J. Antimicrob. Chemother. 2010, 65, 1195–1206. [Google Scholar] [CrossRef] [PubMed]
- Jung, Y.-G.; Choi, J.; Kim, S.-K.; Lee, J.-H.; Kwon, S. Embedded Biofilm, a New Biofilm Model Based on the Embedded Growth of Bacteria. Appl. Environ. Microbiol. 2015, 81, 211–219. [Google Scholar] [CrossRef] [PubMed]
- Oates, A.; Lindsay, S.; Mistry, H.; Ortega, F.; McBain, A.J. Modelling Antisepsis Using Defined Populations of Facultative and Anaerobic Wound Pathogens Grown in a Basally Perfused Biofilm Model. Biofouling 2018, 34, 507–518. [Google Scholar] [CrossRef] [PubMed]
- Slade, E.A.; Thorn, R.M.S.; Young, A.; Reynolds, D.M. An in Vitro Collagen Perfusion Wound Biofilm Model; with Applications for Antimicrobial Studies and Microbial Metabolomics. BMC Microbiol. 2019, 19, 310. [Google Scholar] [CrossRef]
- Yoon, D.J.; Fregoso, D.R.; Nguyen, D.; Chen, V.; Strbo, N.; Fuentes, J.J.; Tomic-Canic, M.; Crawford, R.; Pastar, I.; Isseroff, R.R. A Tractable, Simplified Ex Vivo Human Skin Model of Wound Infection. Wound Repair Regen. 2019, 27, 421–425. [Google Scholar] [CrossRef]
- Bradford, C.; Freeman, R.; Percival, S.L. In Vitro Study of Sustained Antimicrobial Activity of a New Silver Alginate Dressing. J. Am. Coll. Certif. Wound Spec. 2009, 1, 117–120. [Google Scholar] [CrossRef]
- Miles, A.A.; Misra, S.S.; Irwin, J.O. The Estimation of the Bactericidal Power of the Blood. Epidemiol. Infect. 1938, 38, 732–749. [Google Scholar] [CrossRef]
- Chew, K.L.; La, M.-V.; Lin, R.T.P.; Teo, J.W.P. Colistin and Polymyxin B Susceptibility Testing for Carbapenem-Resistant and Mcr -Positive Enterobacteriaceae: Comparison of Sensititre, MicroScan, Vitek 2, and Etest with Broth Microdilution. J. Clin. Microbiol. 2017, 55, 2609–2616. [Google Scholar] [CrossRef] [PubMed]
- Carret, G.; Cavallo, J.; Chardon, H.; Chidiac, C.; Choutet, P.; Courvalin, P.; Dabernat, H.; Drugeon, H.; Dubreuil, L.; Goldstein, F.; et al. Comite L’Antiobiogramme Comité de l’Antibiogramme de La Société Française de Microbiologie Report (2002). Int. J. Antimicrob. Agents 2003, 21, 364–391. [Google Scholar]
- Leclercq, R.; Cantón, R.; Brown, D.F.J.; Giske, C.G.; Heisig, P.; MacGowan, A.P.; Mouton, J.W.; Nordmann, P.; Rodloff, A.C.; Rossolini, G.M.; et al. EUCAST Expert Rules in Antimicrobial Susceptibility Testing. Clin. Microbiol. Infect. 2013, 19, 141–160. [Google Scholar] [CrossRef] [PubMed]
- Sønderholm, M.; Kragh, K.N.; Koren, K.; Jakobsen, T.H.; Darch, S.E.; Alhede, M.; Jensen, P.Ø.; Whiteley, M.; Kühl, M.; Bjarnsholt, T. Pseudomonas Aeruginosa Aggregate Formation in an Alginate Bead Model System Exhibits In Vivo-Like Characteristics. Appl. Environ. Microbiol. 2017, 83, e00113–e00117. [Google Scholar] [CrossRef] [PubMed]
- Gray, G.W.; Wilkinson, S.G. The Action of Ethylenediaminetetra-Acetic Acid on Pseudomonas aeruginosa. J. Appl. Bacteriol. 1965, 28, 153–164. [Google Scholar] [CrossRef]
- Lambert, R.J.W.; Hanlon, G.W.; Denyer, S.P. The Synergistic Effect of EDTA/Antimicrobial Combinations on Pseudomonas aeruginosa. J. Appl. Microbiol. 2004, 96, 244–253. [Google Scholar] [CrossRef]
- Pabst, B.; Pitts, B.; Lauchnor, E.; Stewart, P.S. Gel-Entrapped Staphylococcus aureus Bacteria as Models of Biofilm Infection Exhibit Growth in Dense Aggregates, Oxygen Limitation, Antibiotic Tolerance, and Heterogeneous Gene Expression. Antimicrob. Agents Chemother. 2016, 60, 6294–6301. [Google Scholar] [CrossRef] [PubMed]
- Datta, A.; Stapleton, F.; Willcox, M.D.P. Bacterial Coaggregation and Cohesion Among Isolates From Contact Lens Cases. Investig. Opthalmol. Vis. Sci. 2018, 59, 2729. [Google Scholar] [CrossRef] [PubMed]
- Wan, N.; Wang, H.; Ng, C.K.; Mukherjee, M.; Ren, D.; Cao, B.; Tang, Y.J. Bacterial Metabolism During Biofilm Growth Investigated by 13C Tracing. Front. Microbiol. 2018, 9, 2657. [Google Scholar] [CrossRef] [PubMed]
- Jõers, A.; Tenson, T. Growth Resumption from Stationary Phase Reveals Memory in Escherichia Coli Cultures. Sci. Rep. 2016, 6, 24055. [Google Scholar] [CrossRef]
- Junka, A.F.; Żywicka, A.; Szymczyk, P.; Dziadas, M.; Bartoszewicz, M.; Fijałkowski, K.A.D.A.M. Test (Antibiofilm Dressing’s Activity Measurement)—Simple Method for Evaluating Anti-Biofilm Activity of Drug-Saturated Dressings against Wound Pathogens. J. Microbiol. Methods 2017, 143, 6–12. [Google Scholar] [CrossRef] [PubMed]
- Dubhashi, S.P.; Sindwani, R.D. A Comparative Study of Honey and Phenytoin Dressings for Chronic Wounds. Indian J. Surg. 2015, 77, 1209–1213. [Google Scholar] [CrossRef] [PubMed]
- Hoffman, L.R.; Deziel, E.; D’Argenio, D.A.; Lepine, F.; Emerson, J.; McNamara, S.; Gibson, R.L.; Ramsey, B.W.; Miller, S.I. Selection for Staphylococcus Aureus Small-Colony Variants Due to Growth in the Presence of Pseudomonas aeruginosa. Proc. Natl. Acad. Sci. USA 2006, 103, 19890–19895. [Google Scholar] [CrossRef] [PubMed]
- Rooney, L.M.; Amos, W.B.; Hoskisson, P.A.; McConnell, G. Intra-Colony Channels in E. coli Function as a Nutrient Uptake System. ISME J. 2020, 14, 2461–2473. [Google Scholar] [CrossRef]
- Kolpen, M.; Lerche, C.J.; Kragh, K.N.; Sams, T.; Koren, K.; Jensen, A.S.; Line, L.; Bjarnsholt, T.; Ciofu, O.; Moser, C.; et al. Hyperbaric Oxygen Sensitizes Anoxic Pseudomonas Aeruginosa Biofilm to Ciprofloxacin. Antimicrob. Agents Chemother. 2017, 61, e01024–e01117. [Google Scholar] [CrossRef] [PubMed]
- Møller, S.A.; Jensen, P.Ø.; Høiby, N.; Ciofu, O.; Kragh, K.N.; Bjarnsholt, T.; Kolpen, M. Hyperbaric Oxygen Treatment Increases Killing of Aggregating Pseudomonas Aeruginosa Isolates from Cystic Fibrosis Patients. J. Cyst. Fibros. 2019, 18, 657–664. [Google Scholar] [CrossRef] [PubMed]
- Sapi, E.; Bastian, S.L.; Mpoy, C.M.; Scott, S.; Rattelle, A.; Pabbati, N.; Poruri, A.; Burugu, D.; Theophilus, P.A.S.; Pham, T.V.; et al. Characterization of Biofilm Formation by Borrelia burgdorferi In Vitro. PLoS ONE 2012, 7, e48277. [Google Scholar] [CrossRef] [PubMed]
- Hotterbeekx, A.; Kumar-Singh, S.; Goossens, H.; Malhotra-Kumar, S. In Vivo and In Vitro Interactions between Pseudomonas Aeruginosa and Staphylococcus Spp. Front. Cell. Infect. Microbiol. 2017, 7, 106. [Google Scholar] [CrossRef] [PubMed]
- Tognon, M.; Köhler, T.; Luscher, A.; van Delden, C. Transcriptional Profiling of Pseudomonas aeruginosa and Staphylococcus aureus during in Vitro Co-Culture. BMC Genom. 2019, 20, 30. [Google Scholar] [CrossRef]
- Chu, W.; Zere, T.R.; Weber, M.M.; Wood, T.K.; Whiteley, M.; Hidalgo-Romano, B.; Valenzuela, E.; McLean, R.J.C. Indole Production Promotes Escherichia Coli Mixed-Culture Growth with Pseudomonas aeruginosa by Inhibiting Quorum Signaling. Appl. Environ. Microbiol. 2012, 78, 411–419. [Google Scholar] [CrossRef] [PubMed]
- Palmer, R.J.; Gordon, S.M.; Cisar, J.O.; Kolenbrander, P.E. Coaggregation-Mediated Interactions of Streptococci and Actinomyces Detected in Initial Human Dental Plaque. J. Bacteriol. 2003, 185, 3400–3409. [Google Scholar] [CrossRef] [PubMed]
- Crabbé, A.; Jensen, P.Ø.; Bjarnsholt, T.; Coenye, T. Antimicrobial Tolerance and Metabolic Adaptations in Microbial Biofilms. Trends Microbiol. 2019, 27, 850–863. [Google Scholar] [CrossRef] [PubMed]
- Trizna, E.Y.; Yarullina, M.N.; Baidamshina, D.R.; Mironova, A.V.; Akhatova, F.S.; Rozhina, E.V.; Fakhrullin, R.F.; Khabibrakhmanova, A.M.; Kurbangalieva, A.R.; Bogachev, M.I.; et al. Bidirectional Alterations in Antibiotics Susceptibility in Staphylococcus aureus—Pseudomonas aeruginosa Dual-Species Biofilm. Sci. Rep. 2020, 10, 14849. [Google Scholar] [CrossRef]









| Zone of Inhibition (mm) | ||
|---|---|---|
| Neosporin | HOCl | |
| S. aureus | 21.6 [+/− 1.15] | 14.3 [+/− 1.52] |
| E. coli | 25.3 [+/− 0.57] | 22.3 [+/− 0.57] |
| E. faecalis | 16 [+/− 1] | 12.6 [+/− 1.15] |
| P. aeruginosa | 22.3 [+/− 3.21] | 13 [+/− 1] |
| C. freundii | 25.6 [+/− 1.52] | 15.3 [+/− 1.15] |
| Bacitracin | Neomycin | Polymyxin B | ||
|---|---|---|---|---|
| μg Dose per Well Required to Inhibit Growth | ||||
| S. aureus | Lab stock (pure culture) | 200 | 6.2 [+/− 0.5] | nt |
| Untreated, re-isolated from biofilm | 200 | 6.2 [+/− 0.8] | nt | |
| Neosporin-treated, re-isolated from biofilm | 200 | 12.5 [+/− 0.4] * | nt | |
| E. coli | Lab stock (pure culture) | nt | <0.15 | <0.15 |
| Untreated, re-isolated from biofilm | nt | <0.15 | <0.15 | |
| Neosporin-treated, re-isolated from biofilm | nt | 3.1 [+/− 3.0] | 50 [+/− 2.0] * | |
| E. faecalis | Lab stock (pure culture) | 100 | 100 | nt |
| Untreated, re-isolated from biofilm | 75 [+/− 5.0] | 100 | nt | |
| Neosporin-treated, re-isolated from biofilm | 200 | 100 | nt | |
| P. aeruginosa | Lab stock (pure culture) | nt | 6.2 [+/− 1.7] * | 50 [+/− 2.2] * |
| Untreated, re-isolated from biofilm | nt | <0.15 | <0.15 | |
| Neosporin-treated, re-isolated from biofilm | nt | <0.15 | <0.15 | |
| C. freundii | Lab stock (pure culture) | nt | <0.15 | <0.15 |
| Untreated, re-isolated from biofilm | nt | 3.1 [+/− 0.1] * | <0.15 | |
| Neosporin-treated, re-isolated from biofilm | nt | 3.1 [+/− 0.5] * | <0.15 | |
| Co-Aggregation Pairs | % Reduction in OD at 30 min | % Reduction in OD at 90 min | |
|---|---|---|---|
| P. aeruginosa | S. aureus | 24.30 | 28.60 |
| E. faecalis | 24 | 32 | |
| C. freundii | 17.14 | 20 | |
| E. coli | 17.14 | 24.20 | |
| S. aureus | E. faecalis | 7.14 | 10 |
| C. freundii | 2.85 | 7.14 | |
| E. coli | 2.85 | 5.7 | |
| C. freundii | E. faecalis | 4.20 | 5.7 |
| E. coli | 7.14 | 7.14 | |
| E. faecalis | E. coli | 14.20 | 18.20 |
Disclaimer/Publisher’s Note: The statements, opinions and data contained in all publications are solely those of the individual author(s) and contributor(s) and not of MDPI and/or the editor(s). MDPI and/or the editor(s) disclaim responsibility for any injury to people or property resulting from any ideas, methods, instructions or products referred to in the content. |
© 2023 by the authors. Licensee MDPI, Basel, Switzerland. This article is an open access article distributed under the terms and conditions of the Creative Commons Attribution (CC BY) license (https://creativecommons.org/licenses/by/4.0/).
Share and Cite
Khalid, A.; Cookson, A.R.; Whitworth, D.E.; Beeton, M.L.; Robins, L.I.; Maddocks, S.E. A Synthetic Polymicrobial Community Biofilm Model Demonstrates Spatial Partitioning, Tolerance to Antimicrobial Treatment, Reduced Metabolism, and Small Colony Variants Typical of Chronic Wound Biofilms. Pathogens 2023, 12, 118. https://doi.org/10.3390/pathogens12010118
Khalid A, Cookson AR, Whitworth DE, Beeton ML, Robins LI, Maddocks SE. A Synthetic Polymicrobial Community Biofilm Model Demonstrates Spatial Partitioning, Tolerance to Antimicrobial Treatment, Reduced Metabolism, and Small Colony Variants Typical of Chronic Wound Biofilms. Pathogens. 2023; 12(1):118. https://doi.org/10.3390/pathogens12010118
Chicago/Turabian StyleKhalid, Ammara, Alan R. Cookson, David E. Whitworth, Michael L. Beeton, Lori I. Robins, and Sarah E. Maddocks. 2023. "A Synthetic Polymicrobial Community Biofilm Model Demonstrates Spatial Partitioning, Tolerance to Antimicrobial Treatment, Reduced Metabolism, and Small Colony Variants Typical of Chronic Wound Biofilms" Pathogens 12, no. 1: 118. https://doi.org/10.3390/pathogens12010118
APA StyleKhalid, A., Cookson, A. R., Whitworth, D. E., Beeton, M. L., Robins, L. I., & Maddocks, S. E. (2023). A Synthetic Polymicrobial Community Biofilm Model Demonstrates Spatial Partitioning, Tolerance to Antimicrobial Treatment, Reduced Metabolism, and Small Colony Variants Typical of Chronic Wound Biofilms. Pathogens, 12(1), 118. https://doi.org/10.3390/pathogens12010118

