Genome-Wide Identification and Characterisation of Stress-Associated Protein Gene Family to Biotic and Abiotic Stresses of Grapevine
Abstract
1. Introduction
2. Materials and Method
2.1. Identification and Sequence Analysis
2.2. Chromosomal Location and Gene Duplication Analysis
2.3. Multiple Sequences Alignment and Phylogenetic Analysis
2.4. Gene Structure, Domain Composition, Conserved Motif and Promoter Regions
2.5. Expression Profiles Mining of Grapevine SAPs in Various Tissues, Organs and Developmental Stages
2.6. Plant Material
2.7. Fungi Isolation, Inoculation and Transcript Analysis
3. Results
3.1. Identification of SAP Gene Family in Grapevine
3.2. Chromosomal Distribution of SAPs
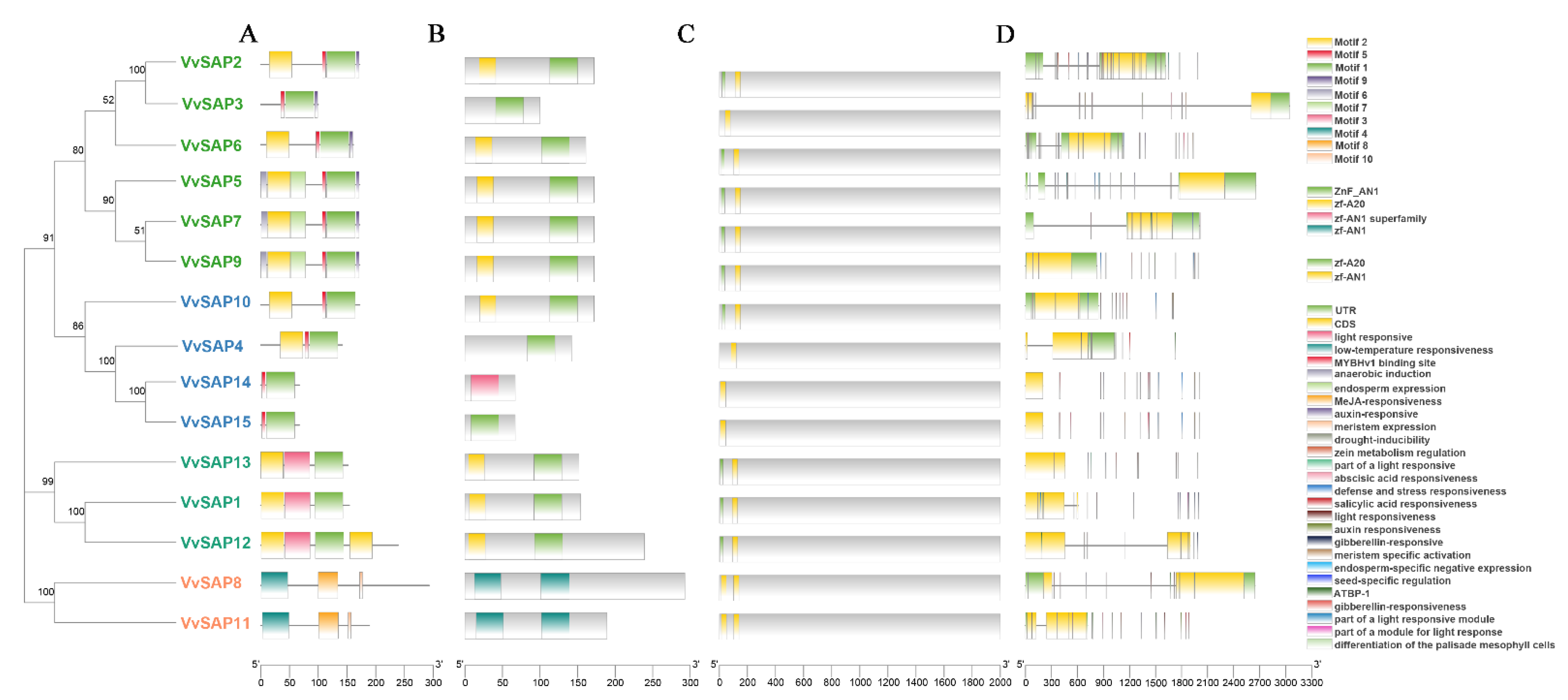
3.3. Multiple Sequence Alignments and Phylogenetic Analysis of SAPs
3.4. Conserved Motif, Typical Domain and Gene Structure Analysis
3.5. Cis-Regulatory Elements in VvSAP Promoters
3.6. Expression Patterns of VvSAPs in Various Tissues, Organs and Developmental Stages
3.7. Involvement of VvSAPs in Biotic Stresses
3.8. Involvement of VvSAPs in Abiotic Stresses
4. Discussion
5. Conclusions
Supplementary Materials
Author Contributions
Funding
Data Availability Statement
Conflicts of Interest
References
- Tu, M.; Wang, X.; Yin, W.; Wang, Y.; Li, Y.; Zhang, G.; Li, Z.; Song, J.; Wang, X. Grapevine VlbZIP30 improves drought resistance by directly activating VvNAC17 and promoting lignin biosynthesis through the regulation of three peroxidase genes. Hortic Res. 2020, 7, 150–165. [Google Scholar] [CrossRef] [PubMed]
- Fuchs, M. Grapevine viruses: A multitude of diverse species with simple but overall poorly adopted management solutions in the vineyard. J. Plant Pathol. 2020, 102, 643–653. [Google Scholar] [CrossRef]
- Mondello, V.; Songy, A.; Battiston, E.; Pinto, C.; Coppin, C.; Trotel-Aziz, P.; Clement, C.; Mugnai, L.; Fontaine, F. Grapevine trunk diseases: A review of fifteen years of trials for their control with chemicals and biocontrol agents. Plant Dis. 2018, 102, 1189–1217. [Google Scholar] [CrossRef] [PubMed]
- Pertot, I.; Caffi, T.; Rossi, V.; Mugnai, L.; Hoffmann, C.; Grando, M.S.; Gary, C.; Lafond, D.; Duso, C.; Thiery, D.; et al. A critical review of plant protection tools for reducing pesticide use on grapevine and new perspectives for the implementation of IPM in viticulture. Crop Prot. 2017, 97, 70–84. [Google Scholar] [CrossRef]
- Petrussa, E.; Braidot, E.; Zancani, M.; Peresson, C.; Bertolini, A.; Patui, S.; Vianello, A. Plant flavonoids—Biosynthesis, transport and involvement in stress responses. Int. J. Mol. Sci. 2013, 14, 14950–14973. [Google Scholar] [CrossRef]
- Yin, X.; Li, T.; Jiang, X.; Tang, X.; Zhang, J.; Yuan, L.; Wei, Y. Suppression of grape white rot caused by coniella vitis ssing the potential biocontrol agent bacillus velezensis GSBZ09. Pathogens 2022, 11, 248. [Google Scholar] [CrossRef] [PubMed]
- Pirrello, C.; Zeilmaker, T.; Bianco, L.; Giacomelli, L.; Moser, C.; Vezzulli, S. Mining grapevine downy mildew susceptibility genes: A Resource for genomics-based breeding and tailored gene editing. Biomolecules 2021, 11, 181. [Google Scholar] [CrossRef]
- Ismail, A.; Riemann, M.; Nick, P. The Jasmonate pathway mediates salt tolerance in grapevines. J. Exp. Bot. 2021, 63, 2127–2139. [Google Scholar] [CrossRef]
- Guan, P.; Schmidt, F.; Riemann, M.; Fischer, J.; Thines, E.; Nick, P. Hunting modulators of plant defence: The grapevine trunk disease fungus Eutypa lata secretes an amplifier for plant basal immunity. J. Exp. Bot. 2020, 71, 3710–3724. [Google Scholar] [CrossRef]
- Pouzoulet, J.; Pivovaroff, A.L.; Santiago, L.S.; Rolshausen, P.E. Can vessel dimension explain tolerance toward fungal vascular wilt diseases in woody plants? Lessons from Dutch elm disease and esca disease in grapevine. Front. Plant Sci. 2014, 12, 253–264. [Google Scholar] [CrossRef]
- Belair, M.; Grau, A.L.; Chong, J.; Tian, X.; Luo, J.; Guan, X.; Pensec, F. Pathogenicity factors of botryosphaeriaceae associated with grapevine trunk diseases: New developments on their action on grapevine defense responses. Pathogens 2022, 11, 951. [Google Scholar] [CrossRef] [PubMed]
- Gao, W.; Long, L.; Tian, X.; Jin, J.; Liu, H.; Zhang, H.; Xu, F.; Song, C. Genome-wide identification and expression analysis of stress-associated proteins (SAPs) containing A20/AN1 zinc finger in cotton. Mol. Genet. Genom. 2016, 291, 2199–2213. [Google Scholar] [CrossRef] [PubMed]
- Giri, J.; Dansana, P.K.; Kothari, K.S.; Sharma, G.; Vij, S.; Tyagi, A.K. SAPs as novel regulators of abiotic stress response in plants. Bioessays 2013, 35, 639–648. [Google Scholar] [CrossRef] [PubMed]
- Dixit, V.M.; Green, S.; Sarma, V.; Holzman, L.B.; Wolf, F.W.; O’Rourke, K.; Ward, P.A.; Prochownik, E.V.; Marks, R.M. Tumor necrosis factor-alpha induction of novel gene products in human endothelial cells including a macrophage-specific chemotaxin. J. Biol. Chem. 1990, 265, 2973–2978. [Google Scholar] [CrossRef] [PubMed]
- Opipari, A.W., Jr.; Boguski, M.S.; Dixit, V.M. The A20 cDNA induced by tumor necrosis factor alpha encodes a novel type of zinc finger protein. J. Biol. Chem. 1990, 265, 14705–14708. [Google Scholar] [CrossRef] [PubMed]
- Rebagliati, M.R.; Weeks, D.L.; Harvey, R.P.; Melton, D.A. Identification and cloning of localized maternal RNAs from Xenopus eggs. Cell 1985, 42, 769–777. [Google Scholar] [CrossRef] [PubMed]
- Huang, J.; Teng, L.; Li, L.; Liu, T.; Li, L.; Chen, D.; Xu, L.G.; Zhai, Z.; Shu, H.B. ZNF216 Is an A20-like and IκB Kinase γ-Interacting Inhibitor of NFκB Activation. J. Biol. Chem. 2004, 279, 16847–16853. [Google Scholar] [CrossRef]
- Evans, P.C.; Ovaa, H.; Hamon, M.; Kilshaw, P.J.; Hamm, S.; Bauer, S.; Ploegh, H.L.; Smith, T.S. Zinc-finger protein A20, a regulator of inflammation and cell survival, has de-ubiquitinating activity. Biochem. J. 2004, 378, 727–734. [Google Scholar] [CrossRef]
- Mukhopadhyay, A.; Vij, S.; Tyagi, A.K. Overexpression of a zinc-finger protein gene from rice confers tolerance to cold, dehydration, and salt stress in transgenic tobacco. Proc. Natl. Acad. Sci. USA 2004, 101, 6309–6314. [Google Scholar] [CrossRef]
- Kang, M.; Fokar, M.; Abdelmageed, H.; Allen, R.D. Arabidopsis SAP5 functions as a positive regulator of stress responses and exhibits E3 ubiquitin ligase activity. Plant Mol. Biol. 2011, 75, 451–466. [Google Scholar] [CrossRef]
- Huang, J.; Wang, M.M.; Jiang, Y.; Bao, Y.M.; Huang, X.; Sun, H.; Xu, D.Q.; Lan, H.X.; Zhang, H.S. Expression analysis of rice A20/AN1-type zinc finger genes and characterization of ZFP177 that contributes to temperature stress tolerance. Gene 2008, 420, 135–144. [Google Scholar] [CrossRef] [PubMed]
- Giri, J.; Vij, S.; Dansana, P.K.; Tyagi, A.K. Rice A20/AN1 zinc-finger containing stress-associated proteins (SAP1/11) and a receptor-like cytoplasmic kinase (OsRLCK253) Interact via A20 zinc-finger and confer abiotic stress tolerance in transgenic Arabidopsis Plants. New Phytol. 2011, 191, 721–732. [Google Scholar] [CrossRef] [PubMed]
- Kanneganti, V.; Gupta, A.K. Overexpression of OsiSAP8, a member of stress associated protein (SAP) gene family of rice confers tolerance to salt, drought and cold stress in transgenic tobacco and rice. Plant Mol. Biol. 2008, 66, 445–462. [Google Scholar] [CrossRef] [PubMed]
- Vij, S.; Tyagi, A.K. Genome-wide analysis of the stress associated protein (SAP) gene family containing A20/AN1 zinc-finger(s) in rice and their phylogenetic relationship with Arabidopsis. Mol. Genet. Genom. 2006, 276, 565–575. [Google Scholar] [CrossRef] [PubMed]
- Solanke, A.U.; Sharma, M.K.; Tyagi, A.K.; Sharma, A.K. Characterization and phylogenetic analysis of environmental stress-responsive SAP gene family encoding A20/AN1 zinc finger proteins in tomato. Mol. Genet. Genom. 2009, 282, 153–164. [Google Scholar] [CrossRef] [PubMed]
- Dong, Q.; Duan, D.; Zhao, S.; Xu, B.; Luo, J.; Wang, Q.; Huang, D.; Liu, C.; Li, C.; Gong, X. Genome-wide analysis and cloning of the apple stress-associated protein gene family reveals MdSAP15, which confers tolerance to drought and osmotic stresses in transgenic Arabidopsis. Int. J. Mol. Sci. 2018, 19, 2478. [Google Scholar] [CrossRef]
- Shukla, V.; Choudhary, P.; Rana, S.; Muthamilarasan, M. Structural evolution and function of stress associated proteins in regulating biotic and abiotic stress responses in plants. J. Plant Biochem. Biotechnol. 2021, 30, 779–792. [Google Scholar] [CrossRef]
- Tyagi, H.; Jha, S.; Sharma, M.; Giri, J.; Tyagi, A.K. Rice SAPs are responsive to multiple biotic stresses and overexpression of OsSAP1, an A20/AN1 zinc-finger protein, enhances the basal resistance against pathogen infection in tobacco. Plant Sci. 2014, 225, 68–76. [Google Scholar] [CrossRef]
- Shu, X.; Ding, L.; Gu, B.; Zhang, H.; Guan, P.; Zhang, J. A stress associated protein from Chinese wild Vitis amurensis, VaSAP15, enhances the cold tolerance of transgenic grapes. Sci. Hortic. 2021, 285, 110147–110157. [Google Scholar] [CrossRef]
- Fung, R.W.; Gonzalo, M.; Fekete, C.; Kovacs, L.G.; He, Y.; Marsh, E.; Mcintyre, L.M.; Schachtman, D.P.; Qiu, W. Powdery mildew induces defense-oriented reprogramming of the transcriptome in a susceptible but not in a resistant grapevine. Plant Physiol. 2008, 146, 236–249. [Google Scholar] [CrossRef]
- Cramer, G.R.; Ergul, A.; Grimplet, J.; Tillett, R.L.; Tattersall, E.A.; Bohlman, M.C.; Vincent, D.; Sonderegger, J.; Evans, J.; Osborne, C.; et al. Water and salinity stress in grapevines: Early and late changes in transcript and metabolite profiles. Funct. Integr. Genom. 2007, 7, 111–134. [Google Scholar] [CrossRef] [PubMed]
- Tattersall, E.A.R.; Grimplet, J.; Deluc, L.; Wheatley, M.D.; Vincent, D.; Osborne, C.; Erguel, A.; Lomen, E.; Blank, R.R.; Schlauch, K.A.; et al. Transcript abundance profiles reveal larger and complex responses of grapevine to chilling compared to osmotic and salinity stress. Funct. Integ. Genom. 2007, 7, 317–333. [Google Scholar] [CrossRef] [PubMed]
- Zhao, L.; You, S.; Zou, H.; Guan, X. Transcriptome analysis and cell morphology of Vitis rupestris cells to Botryosphaeria dieback pathogen Diplodia seriata. Genes 2021, 12, 179. [Google Scholar] [CrossRef] [PubMed]
- Guan, X.; Buchholz, G.; Nick, P. Tubulin marker line of grapevine suspension cells as a tool to follow early stress responses. J. Plant Physiol. 2015, 176, 118–128. [Google Scholar] [CrossRef] [PubMed]
- Vannozzi, A.; Palumbo, F.; Magon, G.; Lucchin, M.; Barcaccia, G. The grapevine (Vitis vinifera L.) floral transcriptome in Pinot noir variety: Identification of tissue-related gene networks and whorl-specific markers in pre- and post-anthesis phases. Hortic. Res. 2021, 8, 200–219. [Google Scholar] [CrossRef]
- Zarattini, M.; Farjad, M.; Launay, A.; Cannella, D.; Soulie, M.C.; Bernacchia, G.; Fagard, M. Every cloud has a silver lining: How abiotic stresses affect gene expression in plant-pathogen interactions. J. Exp. Bot. 2021, 72, 1020–1033. [Google Scholar] [CrossRef]
- Kissoudis, C.; Clemens, V.; Visser, R.; Gerard, V. Enhancing crop resilience to combined abiotic and biotic stress through the dissection of physiological and molecular crosstalk. Front. Plant Sci. 2014, 5, 207–226. [Google Scholar] [CrossRef]
- Vij, S.; Tyagi, A.K. A20/AN1 zinc-finger domain-containing proteins in plants and animals represent common elements in stress response. Funct Integr Genom. 2008, 8, 301–307. [Google Scholar] [CrossRef]
- Zhou, Y.; Zeng, L.; Chen, R.; Wang, Y.; Song, J. Genome-wide identification and characterization of stress-associated protein (SAP) gene family encoding A20/AN1 zinc-finger proteins in Medicago truncatula. Arch. Biol. Sci. 2018, 70, 87–98. [Google Scholar] [CrossRef]
- Hozain, M.; Abdelmageed, H.; Lee, J.; Kang, M.; Fokar, M.; Allen, R.D.; Holaday, A.S. Expression of AtSAP5 in cotton up-regulates putative stress-responsive genes and improves the tolerance to rapidly developing water deficit and moderate heat stress. J. Plant Physiol. 2012, 169, 1261–1270. [Google Scholar] [CrossRef]
- Liu, S.; Yuan, X.; Wang, Y.; Wang, H.; Wang, J.; Shen, Z.; Gao, Y.; Cai, J.; Li, D.; Song, F. Tomato stress-associated protein 4 contributes positively to immunity against necrotrophic fungus Botrytis cinerea. Mol. Plant-Microbe Interact. 2018, 32, 566–582. [Google Scholar] [CrossRef] [PubMed]
- Lai, W.; Zhou, Y.; Pan, R.; Liao, L.; He, J.; Liu, H.; Yang, Y.; Liu, S. Identification and expression analysis of stress-associated proteins (SAPs) containing A20/AN1 zinc finger in cucumber. Plants 2020, 9, 400. [Google Scholar] [CrossRef] [PubMed]
- Liu, Y.; Wang, K.; Cheng, Q.; Kong, D.; Zhang, X.; Wang, Z.; Wang, Q.; Xie, Q.; Yan, J.; Chu, J.; et al. Cysteine protease RD21A regulated by E3 ligase SINAT4 is required for drought-induced resistance to Pseudomonas syringae in Arabidopsis. J. Exp. Bot. 2020, 71, 5562–5576. [Google Scholar] [CrossRef] [PubMed]
- Guan, X.; Buchholz, G.; Nick, P. Actin marker lines in grapevine reveal a gatekeeper function of guard cells. J. Plant Physiol. 2014, 171, 1164–1173. [Google Scholar] [CrossRef] [PubMed]
- Paolinelli-Alfonso, M.; Villalobos-Escobedo, J.M.; Rolshausen, P.; Herrera-Estrella, A.; Galindo-Sanchez, C.; Lopez-Hernandez, J.F.; Hernandez-Martinez, R. Global transcriptional analysis suggests Lasiodiplodia theobromae pathogenicity factors involved in modulation of grapevine defensive response. BMC Genom. 2016, 17, 615–634. [Google Scholar] [CrossRef]
- Sun, Q.; Rost, T.L.; Reid, M.S.; Matthews, M.A. Ethylene and not embolism is required for wound-induced tylose development in stems of grapevines. Plant Physiol. 2007, 145, 1629–1636. [Google Scholar] [CrossRef]
- Salvatore, M.; Giambra, S.; Naviglio, D.; DellaGreca, M.; Salvatore, F.; Burruano, S.; Andolfi, A. Fatty acids produced by Neofusicoccum vitifusiforme and N. parvum, fungi associated with grapevine Botryosphaeria dieback. Agriculture 2018, 8, 189. [Google Scholar] [CrossRef]
- Wang, L.X.; Sadeghnezhad, E.; Riemann, M.; Nick, P. Microtubule dynamics modulate sensing during cold acclimation in grapevine suspension cells. Plant Sci. 2019, 280, 18–30. [Google Scholar] [CrossRef] [PubMed]
- Guan, X.; Buchholz, G.; Nick, P. The cytoskeleton is disrupted by the bacterial effector HrpZ, but not by the bacterial PAMP flg22, in tobacco BY-2 cells. J. Exp. Bot. 2013, 64, 1805–1816. [Google Scholar] [CrossRef] [PubMed]
- Shigo, A.L.; Marx, H.G. Compartmentalization of Decay in Trees; US Department of Agriculture, Forest Service: Washington, DC, USA, 1977; Volume 405, pp. 1–73. Available online: https://www.fs.usda.gov/treesearch/pubs/5292 (accessed on 22 June 2022). [CrossRef]
- Gus-Mayer, S.; Naton, B.; Hahlbrock, K.; Schmelzer, E. Local mechanical stimulation induces components of the pathogen defense response in parsley. Proc. Natl. Acad. Sci. USA 1998, 95, 8398–8403. [Google Scholar] [CrossRef] [PubMed]
- Durst, S.; Hedde, P.N.; Brochhausen, L.; Nick, P.; Nienhaus, G.U.; Maisch, J. Organization of perinuclear actin in live tobacco cells observed by PALM with optical sectioning. J. Plant Physiol. 2014, 171, 97–108. [Google Scholar] [CrossRef] [PubMed]







| Gene Name. | Accession Number | Protein | MW | pI | GRAVY | Aliphatic Index | Loc | Chrom |
|---|---|---|---|---|---|---|---|---|
| VvSAP1 | VIT_01s0011 g02290.t01 | 154 | 17280.02 | 8.78 | −0.661 | 52.6 | Nucleus | Chr1 |
| VvSAP2 | VIT_02s0025 g05050.t01 | 172 | 18460.83 | 8.77 | −0.494 | 46.05 | Nucleus | Chr2 |
| VvSAP3 | VIT_02s0025 g05080.t01 | 100 | 10918.54 | 8.98 | −0.498 | 52.7 | Nucleus | Chr2 |
| VvSAP4 | VIT_06s0004 g01790.t01 | 142 | 16150.55 | 9.37 | −0.849 | 57.68 | Nucleus | Chr6 |
| VvSAP5 | VIT_06s0004 g01820.t01 | 172 | 18502.95 | 7.99 | −0.5 | 56.8 | Nucleus | Chr6 |
| VvSAP6 | VIT_08s0007 g03530.t01 | 161 | 17192.68 | 8.92 | −0.3 | 66.21 | Nucleus | Chr8 |
| VvSAP7 | VIT_08s0007 g07950.t01 | 172 | 18153.57 | 7.99 | −0.327 | 68.72 | Nucleus | Chr8 |
| VvSAP8 | VIT_08s0007 g08360.t01 | 293 | 32457.78 | 8.56 | −0.614 | 58.84 | Nucleus | Chr8 |
| VvSAP9 | VIT_13s0064 g01210.t01 | 172 | 18504.11 | 8.22 | −0.371 | 61.4 | Nucleus | Chr13 |
| VvSAP10 | VIT_13s0064 g01220.t01 | 172 | 18359.69 | 8.95 | −0.486 | 57.5 | Nucleus | Chr13 |
| VvSAP11 | VIT_14s0066 g01880.t01 | 189 | 21133.11 | 8.74 | −0.8 | 47.99 | Nucleus | Chr14 |
| VvSAP12 | VIT_16s0022 g01680.t01 | 239 | 26461.39 | 8.98 | −0.772 | 51.46 | Chloro-plast Nucleus | Chr16 |
| VvSAP13 | VIT_16s0022 g01980.t01 | 152 | 16850.54 | 8.77 | −0.558 | 58.36 | Nucleus | Chr16 |
| VvSAP14 | VIT_18s0001 g00430.t01 | 67 | 7980.5 | 10.26 | −0.676 | 59.7 | Nucleus | Chr18 |
| VvSAP15 | VIT_18s0001 g01260.t01 | 67 | 7966.43 | 10.2 | −0.67 | 59.7 | Nucleus | Chr18 |
Publisher’s Note: MDPI stays neutral with regard to jurisdictional claims in published maps and institutional affiliations. |
© 2022 by the authors. Licensee MDPI, Basel, Switzerland. This article is an open access article distributed under the terms and conditions of the Creative Commons Attribution (CC BY) license (https://creativecommons.org/licenses/by/4.0/).
Share and Cite
Sun, X.; Xia, X.; Guan, X. Genome-Wide Identification and Characterisation of Stress-Associated Protein Gene Family to Biotic and Abiotic Stresses of Grapevine. Pathogens 2022, 11, 1426. https://doi.org/10.3390/pathogens11121426
Sun X, Xia X, Guan X. Genome-Wide Identification and Characterisation of Stress-Associated Protein Gene Family to Biotic and Abiotic Stresses of Grapevine. Pathogens. 2022; 11(12):1426. https://doi.org/10.3390/pathogens11121426
Chicago/Turabian StyleSun, Xiaoye, Xue Xia, and Xin Guan. 2022. "Genome-Wide Identification and Characterisation of Stress-Associated Protein Gene Family to Biotic and Abiotic Stresses of Grapevine" Pathogens 11, no. 12: 1426. https://doi.org/10.3390/pathogens11121426
APA StyleSun, X., Xia, X., & Guan, X. (2022). Genome-Wide Identification and Characterisation of Stress-Associated Protein Gene Family to Biotic and Abiotic Stresses of Grapevine. Pathogens, 11(12), 1426. https://doi.org/10.3390/pathogens11121426

