Procalcitonin as a Potential Biomarker in the Study of Babesiosis Caused by B. microti
Abstract
1. Introduction
2. Methods
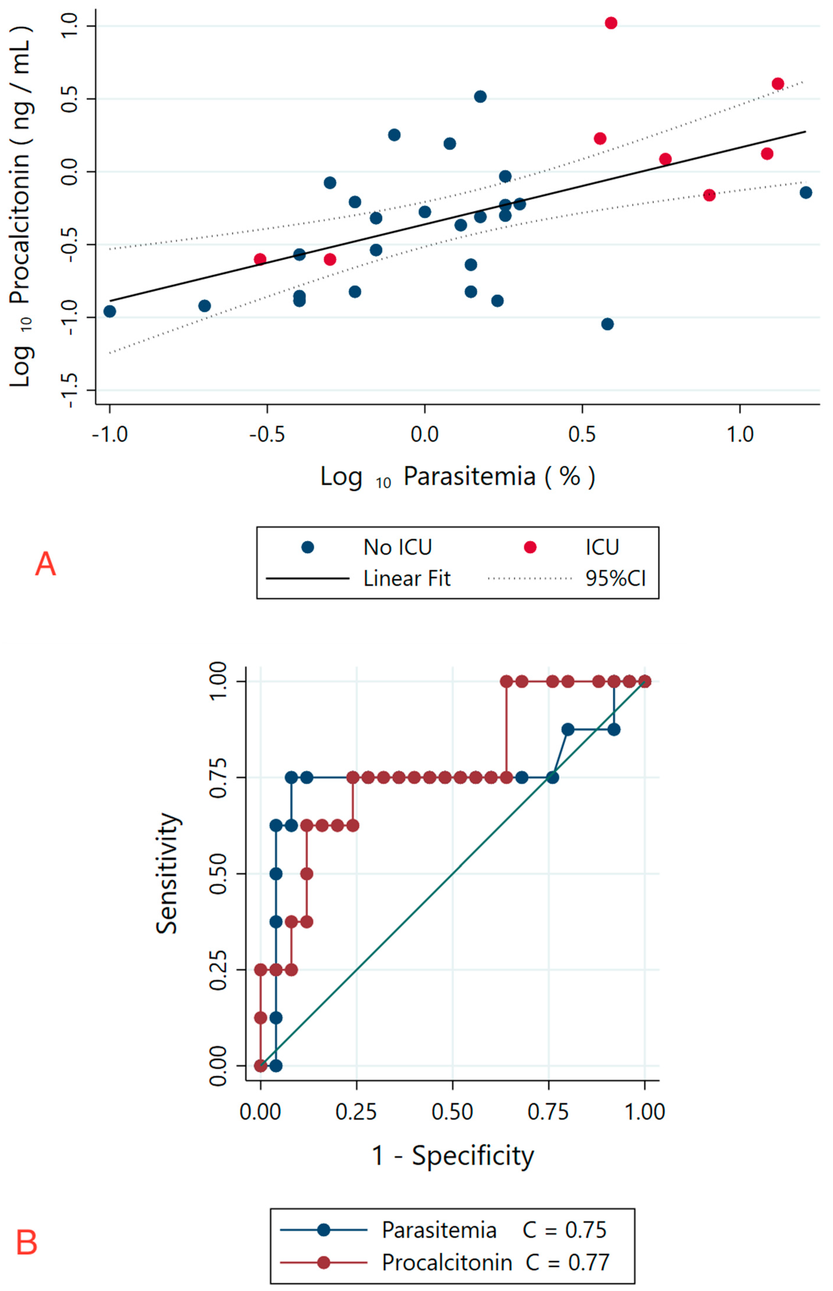
3. Results
4. Discussion
Supplementary Materials
Author Contributions
Funding
Institutional Review Board Statement
Informed Consent Statement
Data Availability Statement
Acknowledgments
Conflicts of Interest
References
- Krause, P.J. Human babesiosis. Int. J. Parasitol. 2019, 49, 165–174. [Google Scholar] [CrossRef] [PubMed]
- Homer, M.J.; Aguilar-Delfin, I.; Telford, S.R., III; Krause, P.J.; Persing, D.H. Babesiosis. Clin. Microbiol. Rev. 2000, 13, 451–469. [Google Scholar] [CrossRef] [PubMed]
- Brkljacic, M.; Torti, M.; Pleadin, J.; Mrljak, V.; Smit, I.; Kis, I.; Mayer, I.; Crnogaj, M.; Matijatko, V. The concentrations of the inflammatory markers the amino-terminal portion of C-type pronatriuretic peptide and procalcitonin in canine babesiosis caused by Babesia canis. Veterinarski Arhiv 2014, 84, 575–589. Available online: https://www.google.com/url?sa=t&rct=j&q=&esrc=s&source=web&cd=&ved=2ahUKEwiuiaCJtbv0AhVoRTABHbRRBT0QFnoECAIQAQ&url=https%3A%2F%2Fhrcak.srce.hr%2Ffile%2F192425&usg=AovVaw2lnDXXKDkyRtI9MwhhwVzt (accessed on 4 December 2020).
- Häselbarth, K.; Tenter, A.M.; Brade, V.; Krieger, G.; Hunfeld, K.P. First case of human babesiosis in Germany–Clinical presentation and molecular characterization of the pathogen. Int. J. Med. Microbiol. 2007, 297, 197–204. [Google Scholar] [CrossRef] [PubMed]
- Sun, Y.; Li, S.G.; Jiang, J.F.; Wang, X.; Zhang, Y.; Wang, H.; Cao, W.C. Babesia venatorum Infection in Child, China. Emerg. Infect. Dis. 2014, 20, 896–897. [Google Scholar] [CrossRef] [PubMed]
- Guirao-Arrabal, E.; González, L.M.; García-Fogeda, J.L.; Miralles-Adell, C.; Sánchez-Moreno, G.; Chueca, N.; Anguita-Santos, F.; Muñoz-Medina, L.; Vinuesa-García, D.; Hernández-Quero, J.; et al. Imported babesiosis caused by Babesia microti-A case report. Ticks Tick Borne Dis. 2020, 11, 101435. [Google Scholar] [CrossRef] [PubMed]
- Mareedu, N.; Schotthoefer, A.M.; Tompkins, J.; Hall, M.C.; Fritsche, T.R.; Frost, H.M. Risk Factors for Severe Infection, Hospitalization, and Prolonged Antimicrobial Therapy in Patients with Babesiosis. Am. J. Trop. Med. Hyg. 2017, 97, 1218–1225. [Google Scholar] [CrossRef] [PubMed]
- Hildebrandt, A.; Zintl, A.; Montero, E.; Hunfeld, K.P.; Gray, J. Human Babesiosis in Europe. Pathogens 2021, 10, 1165. [Google Scholar] [CrossRef] [PubMed]
- White, D.J.; Talarico, J.; Chang, H.; Birkhead, G.S.; Heimberger, T.; Morse, D.L. Human Babesiosis in New York State: Review of 139 Hospitalized Cases and Analysis of Prognostic Factors. Arch. Intern. Med. 1998, 158, 2149–2154. [Google Scholar] [CrossRef] [PubMed]
- Gilbert, D.N. Use of plasma procalcitonin levels as an adjunct to clinical microbiology. J. Clin. Microbiol. 2010, 48, 2325–2329. [Google Scholar] [CrossRef] [PubMed]
- Chiwakata, C.B.; Manegold, C.; Bönicke, L.; Waase, I.; Jülch, C.; Dietrich, M. Procalcitonin as a parameter of disease severity and risk of mortality in patients with Plasmodium falciparum malaria. J. Infect. Dis. 2001, 183, 1161–1164. [Google Scholar] [CrossRef] [PubMed]
- Vijayan, A.L.; Vanimaya; Ravindran, S.; Saikant, R.; Lakshmi, S.; Kartik, R.; Manoj, G. Procalcitonin: A promising diagnostic marker for sepsis and antibiotic therapy. J. Intensive Care 2017, 5, 51. [Google Scholar] [CrossRef] [PubMed]
- Odeh, M. The role of tumour necrosis factor-alpha in the pathogenesis of complicated falciparum malaria. Cytokine 2001, 14, 11–18. [Google Scholar] [CrossRef] [PubMed]
- Knapp, K.L.; Rice, N.A. Human Coinfection with Borrelia burgdorferi and Babesia microti in the United States. J. Parasitol. Res. 2015, 2015, 587131. [Google Scholar] [CrossRef] [PubMed]
- Schüttrumpf, S.; Binder, L.; Hagemann, T.; Berkovic, D.; Trümper, L.; Binder, C. Procalcitonin: A useful discriminator between febrile conditions of different origin in hemato-oncological patients? Ann. Hematol 2003, 82, 98–103. [Google Scholar] [CrossRef] [PubMed]
- Lee, H. Procalcitonin as a biomarker of infectious diseases. Korean J. Intern. Med. 2013, 28, 285–291. [Google Scholar] [CrossRef] [PubMed]
- Brown, I.; Finnigan, N.A. Fever of Unknown Origin. In StatPearls [Internet]; StatPearls Publishing: Treasure Island, FL, USA, 2022. [Google Scholar]
- Falagas, M.E.; Klempner, M.S. Babesiosis in Patients with AIDS: A Chronic Infection Presenting as Fever of Unknown Origin. Clin. Infect. Dis. 1996, 22, 809–812. [Google Scholar] [CrossRef] [PubMed]
- Cunha, B.A.; Cohen, Y.Z.; McDermott, B. Fever of unknown origin (FUO) due to babesiosis in a immunocompetent host. Heart Lung 2008, 37, 481–484. [Google Scholar] [CrossRef] [PubMed]
- Bruckner, D.A.; Garcia, L.S.; Shimizu, R.Y.; Goldstein, E.J.; Murray, P.M.; Lazar, G.S. Babesiosis: Problems in diagnosis using autoanalyzers. Am. J. Clin. Pathol. 1985, 83, 520–521. [Google Scholar] [CrossRef] [PubMed]
- Dumas, C.; Tirard-Collet, P.; Mestrallet, F.; Girard, S.; Jallades, L.; Picot, S.; Bienvenu, A.L. Flagging performance of Sysmex XN-10 haematology analyser for malaria detection. J. Clin. Pathol. 2020, 73, 676–677. [Google Scholar] [CrossRef] [PubMed]

| Patient Characteristics (Total n = 33) | Number of Cases | % of Cohort |
|---|---|---|
| Age (years) | ||
| 40–65 | 14 | 42.4% |
| >65 | 19 | 57.6% |
| Gender | ||
| Male | 21 | 63.6% |
| Female | 12 | 36.4% |
| Ethnicity: | ||
| Caucasian | 19 | 57.6% |
| Hispanic | 13 | 39.4% |
| Asian | 1 | 3.0% |
| Comorbidities | ||
| Immunocompromised | 8 | 24.2% |
| Splenectomy | 1 | 3.0% |
| Hypertension | 13 | 39.4% |
| Diabetes | 7 | 21.2% |
| Cardiac disease | 8 | 24.2% |
| Cancer | 4 | 12.1% |
| Chronic kidney disease | 2 | 6.1% |
| Chronic lung disease | 6 | 18.2% |
| Liver disease | 1 | 3.0% |
| Autoimmune disease | 3 | 9.1% |
| Admission Status | ||
| Inpatient admission | 29 | 87.9% |
| ICU admission | 8 | 24.2% |
Publisher’s Note: MDPI stays neutral with regard to jurisdictional claims in published maps and institutional affiliations. |
© 2022 by the authors. Licensee MDPI, Basel, Switzerland. This article is an open access article distributed under the terms and conditions of the Creative Commons Attribution (CC BY) license (https://creativecommons.org/licenses/by/4.0/).
Share and Cite
Lum, M.; Gauvin, C.; Pham, S.K.; Papamanoli, A.; Spitzer, E.D.; Kalogeropoulos, A.P.; Marcos, L.A. Procalcitonin as a Potential Biomarker in the Study of Babesiosis Caused by B. microti. Pathogens 2022, 11, 1222. https://doi.org/10.3390/pathogens11111222
Lum M, Gauvin C, Pham SK, Papamanoli A, Spitzer ED, Kalogeropoulos AP, Marcos LA. Procalcitonin as a Potential Biomarker in the Study of Babesiosis Caused by B. microti. Pathogens. 2022; 11(11):1222. https://doi.org/10.3390/pathogens11111222
Chicago/Turabian StyleLum, Michael, Caitlin Gauvin, Sophia K. Pham, Aikaterini Papamanoli, Eric D. Spitzer, Andreas P. Kalogeropoulos, and Luis A. Marcos. 2022. "Procalcitonin as a Potential Biomarker in the Study of Babesiosis Caused by B. microti" Pathogens 11, no. 11: 1222. https://doi.org/10.3390/pathogens11111222
APA StyleLum, M., Gauvin, C., Pham, S. K., Papamanoli, A., Spitzer, E. D., Kalogeropoulos, A. P., & Marcos, L. A. (2022). Procalcitonin as a Potential Biomarker in the Study of Babesiosis Caused by B. microti. Pathogens, 11(11), 1222. https://doi.org/10.3390/pathogens11111222

