Coinfections with Bacteria, Fungi, and Respiratory Viruses in Patients with SARS-CoV-2: A Systematic Review and Meta-Analysis
Abstract
:1. Introduction
2. Methods
2.1. Design
2.2. Inclusion and Exclusion Criteria
2.3. Data Extraction
2.4. Quality Assessment
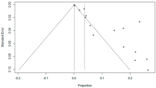
2.5. Data Analysis
3. Results
3.1. Characteristics and Quality of Included Studies
3.2. Meta-Analysis of Bacterial, Fungal, and Respiratory Viral Co-Infections in Patients with SARS-CoV-2
3.3. Bacterial, Fungal and Respiratory Viral Co-Pathogens
4. Discussion
Limitations
5. Conclusions
Author Contributions
Funding
Institutional Review Board Statement
Informed Consent Statement
Data Availability Statement
Acknowledgments
Conflicts of Interest
References
- World Health Organization. WHO Coronavirus (COVID-19) Dashboard. 2021. Available online: https://covid19.who.int (accessed on 5 April 2021).
- Bardi, T.; Pintado, V.; Gomez-Rojo, M.; Escudero-Sanchez, R.; Lopez, A.A.; Diez-Remesal, Y.; Castro, N.M.; Ruiz-Garbajosa, P.; Pestaña, D. Nosocomial infections associated to COVID-19 in the intensive care unit: Clinical characteristics and outcome. Eur. J. Clin. Microbiol. Infect. Dis. 2021, 40, 495–502. [Google Scholar] [CrossRef]
- May, A.; Swetenham, N.; Pandey, M.; Taylor, V.; Hughes, H.; Underwood, J. P197 Bacterial and fungal respiratory co-infection among patients admitted to ICU with COVID-19: A retrospective cohort study in a UK hospital. BMJ 2021, 76, A196–A197. [Google Scholar]
- Zhu, X.; Ge, Y.; Wu, T.; Zhao, K.; Chen, Y.; Wu, B.; Zhu, F.; Zhu, B.; Cui, L. Co-infection with respiratory pathogens among COVID-2019 cases. Virus Res. 2020, 285, 198005. [Google Scholar] [CrossRef]
- Calcagno, A.; Ghisetti, V.; Burdino, E.; Trunfio, M.; Allice, T.; Boglione, L.; Bonora, S.; Di Perri, G. Co-infection with other respiratory pathogens in COVID-19 patients. Clin. Microbiol. Infect. 2021, 27, 297–298. [Google Scholar] [CrossRef]
- De Francesco, M.A.; Poiesi, C.; Gargiulo, F.; Bonfanti, C.; Pollara, P.; Fiorentini, S.; Caccuri, F.; Carta, V.; Mangeri, L.; Pellizzeri, S. Co-infection of Chlamydia pneumoniae and Mycoplasma pneumoniae with SARS-CoV-2 is associated with more severe features. J. Infect. 2021, 8. [Google Scholar] [CrossRef]
- Garcia-Vidal, C.; Sanjuan, G.; Moreno-García, E.; Puerta-Alcalde, P.; Garcia-Pouton, N.; Chumbita, M.; Fernandez-Pittol, M.; Pitart, C.; Inciarte, A.; Bodro, M. Incidence of co-infections and superinfections in hospitalized patients with COVID-19: A retrospective cohort study. Clin. Microbiol. Infect. 2021, 27, 83–88. [Google Scholar] [CrossRef] [PubMed]
- Elhazmi, A.; Al-Tawfiq, J.A.; Sallam, H.; Al-Omari, A.; Alhumaid, S.; Mady, A.; Al Mutair, A. Severe respiratory syndrome Coronavirus 2 (SARS-CoV-2) and middle east respiratory syndrome Coronavirus (MERS-CoV) coinfection: A unique case series. Travel Med. Infect. Dis. 2021, 41, 102026. [Google Scholar] [CrossRef] [PubMed]
- Allou, N.; Larsen, K.; Dubernet, A.; Traversier, N.; Masse, L.; Foch, E.; Bruneau, L.; Maillot, A.; André, M.; Lagrange-Xelot, M. Co-infection in patients with hypoxemic pneumonia due to COVID-19 in Reunion Island. Medicine 2021, 100, e24524. [Google Scholar] [CrossRef]
- Cheng, Y.; Ma, J.; Wang, H.; Wang, X.; Hu, Z.; Li, H.; Zhang, H.; Liu, X. Co-infection of influenza A virus and SARS-CoV-2: A retrospective cohort study. J. Med. Virol. 2021, 93. [Google Scholar] [CrossRef]
- Cuadrado-Payán, E.; Montagud-Marrahi, E.; Torres-Elorza, M.; Bodro, M.; Blasco, M.; Poch, E.; Soriano, A.; Piñeiro, G.J. SARS-CoV-2 and influenza virus co-infection. Lancet 2020, 395, e84. [Google Scholar] [CrossRef]
- Hashemi, S.A.; Safamanesh, S.; Ghasemzadeh-Moghaddam, H.; Ghafouri, M.; Azimian, A. High prevalence of SARS-CoV-2 and influenza A virus (H1N1) coinfection in dead patients in northeastern Iran. J. Med. Virol. 2021, 93, 1008–1012. [Google Scholar] [CrossRef]
- Schirmer, P.; Lucero-Obusan, C.; Sharma, A.; Sohoni, P.; Oda, G.; Holodniy, M. Respiratory co-infections with COVID-19 in the Veterans Health Administration, 2020. Diagn. Microbiol. Infect. Dis. 2021, 100, 115312. [Google Scholar] [CrossRef]
- Amin, D.; McKitish, K.; Shah, P.S. Association of mortality and recent Mycoplasma pneumoniae infection in COVID-19 patients. J. Med. Virol. 2021, 93, 1180–1183. [Google Scholar] [CrossRef] [PubMed]
- Arentz, M.; Yim, E.; Klaff, L.; Lokhandwala, S.; Riedo, F.X.; Chong, M.; Lee, M. Characteristics and outcomes of 21 critically ill patients with COVID-19 in Washington state. JAMA 2020, 323, 1612–1614. [Google Scholar] [CrossRef] [PubMed] [Green Version]
- Barrasa, H.; Rello, J.; Tejada, S.; Martín, A.; Balziskueta, G.; Vinuesa, C.; Fernández-Miret, B.; Villagra, A.; Vallejo, A.; San Sebastián, A. SARS-CoV-2 in Spanish intensive care units: Early experience with 15-day survival in Vitoria. Anaesth. Crit. Care Pain Med. 2020, 39, 553–561. [Google Scholar] [CrossRef]
- Bartoletti, M.; Pascale, R.; Cricca, M.; Rinaldi, M.; Maccaro, A.; Bussini, L.; Fornaro, G.; Tonetti, T.; Pizzilli, G.; Francalanci, E. Epidemiology of invasive pulmonary aspergillosis among COVID-19 intubated patients: A prospective study. Clin. Infect. Dis. 2020. [Google Scholar] [CrossRef] [PubMed]
- Cheng, L.S.; Chau, S.K.; Tso, E.Y.; Tsang, S.W.; Li, I.Y.; Wong, B.K.; Fung, K.S. Bacterial co-infections and antibiotic prescribing practice in adults with COVID-19: Experience from a single hospital cluster. Ther. Adv. Infect. Dis. 2020, 7. [Google Scholar] [CrossRef]
- Ding, Q.; Lu, P.; Fan, Y.; Xia, Y.; Liu, M. The clinical characteristics of pneumonia patients coinfected with 2019 novel coronavirus and influenza virus in Wuhan, China. J. Med. Virol. 2020, 92, 1549–1555. [Google Scholar] [CrossRef]
- Koehler, P.; Cornely, O.A.; Böttiger, B.W.; Dusse, F.; Eichenauer, D.A.; Fuchs, F.; Hallek, M.; Jung, N.; Klein, F.; Persigehl, T. COVID-19 associated pulmonary aspergillosis. Mycoses 2020, 63, 528–534. [Google Scholar] [CrossRef]
- Ramadan, H.K.-A.; Mahmoud, M.A.; Aburahma, M.Z.; Elkhawaga, A.A.; El-Mokhtar, M.A.; Sayed, I.M.; Hosni, A.; Hassany, S.M.; Medhat, M.A. Predictors of severity and co-infection resistance profile in COVID-19 patients: First report from upper Egypt. Infect. Drug Res. 2020, 13, 3409. [Google Scholar] [CrossRef]
- Wang, L.; Amin, A.K.; Khanna, P.; Aali, A.; McGregor, A.; Bassett, P.; Gopal Rao, G. An observational cohort study of bacterial co-infection and implications for empirical antibiotic therapy in patients presenting with COVID-19 to hospitals in north west London. J. Antimicrob. Chemother. 2021, 76, 796–803. [Google Scholar] [CrossRef]
- Alanio, A.; Dellière, S.; Fodil, S.; Bretagne, S.; Mégarbane, B. Prevalence of putative invasive pulmonary aspergillosis in critically ill patients with COVID-19. Lancet Respir. Med. 2020, 8, e48–e49. [Google Scholar] [CrossRef]
- Anton-Vazquez, V.; Clivillé, R. Streptococcus pneumoniae coinfection in hospitalised patients with COVID-19. Eur. J. Clin. Microbiol. Infect. Dis. 2021, 40, 1353–1355. [Google Scholar] [CrossRef] [PubMed]
- Chen, T.; Dai, Z.; Mo, P.; Li, X.; Ma, Z.; Song, S.; Chen, X.; Luo, M.; Liang, K.; Gao, S. Clinical characteristics and outcomes of older patients with coronavirus disease 2019 (COVID-19) in Wuhan, China: A single-centered, retrospective study. J. Gerontol. Ser. A 2020, 75, 1788–1795. [Google Scholar] [CrossRef]
- Hughes, S.; Troise, O.; Donaldson, H.; Mughal, N.; Moore, L.S. Bacterial and fungal coinfection among hospitalized patients with COVID-19: A retrospective cohort study in a UK secondary-care setting. Clin. Microbiol. Infect. 2020, 26, 1395–1399. [Google Scholar] [CrossRef] [PubMed]
- Li, Y.; Wang, H.; Wang, F.; Lu, X.; Du, H.; Xu, J.; Han, F.; Zhang, L.; Zhang, M. Co-infections of SARS-CoV-2 with multiple common respiratory pathogens in infected children: A retrospective study. Medicine 2021, 100. [Google Scholar] [CrossRef] [Green Version]
- Li, Z.; Chen, Z.; Chen, L.D.; Zhan, Y.Q.; Li, S.Q.; Cheng, J.; Zhu, A.; Chen, L.Y.; Zhong, N.S.; Li, S.Y. Coinfection with SARS-CoV-2 and other respiratory pathogens in patients with COVID-19 in Guangzhou, China. J. Med. Virol. 2020, 92, 2381–2383. [Google Scholar] [CrossRef] [PubMed]
- Lin, D.; Liu, L.; Zhang, M.; Hu, Y.; Yang, Q.; Guo, J.; Guo, Y.; Dai, Y.; Xu, Y.; Cai, Y. Co-infections of SARS-CoV-2 with multiple common respiratory pathogens in infected patients. Sci. China Life Sci. 2020, 63, 606–609. [Google Scholar] [CrossRef] [PubMed] [Green Version]
- Liu, H.; Liu, F.; Li, J.; Zhang, T.; Wang, D.; Lan, W. Clinical and CT imaging features of the COVID-19 pneumonia: Focus on pregnant women and children. J. Infect. 2020, 80, e7–e13. [Google Scholar] [CrossRef]
- Liu, L.; Lei, X.; Xiao, X.; Yang, J.; Li, J.; Ji, M.; Du, W.; Tan, H.; Zhu, J.; Li, B. Epidemiological and clinical characteristics of patients with coronavirus disease-2019 in Shiyan City, China. Front. Cell. Infect. Microbiol. 2020, 10. [Google Scholar] [CrossRef] [PubMed]
- Ma, S.; Lai, X.; Chen, Z.; Tu, S.; Qin, K. Clinical characteristics of critically ill patients co-infected with SARS-CoV-2 and the influenza virus in Wuhan, China. Int. J. Infect. Dis. 2020, 96, 683–687. [Google Scholar] [CrossRef]
- Mannheim, J.; Gretsch, S.; Layden, J.E.; Fricchione, M.J. Characteristics of hospitalized pediatric coronavirus disease 2019 cases in Chicago, Illinois, March–April 2020. J. Pediatr. Infect. Dis. Soc. 2020, 9, 519–522. [Google Scholar] [CrossRef] [PubMed]
- Nasir, N.; Farooqi, J.; Mahmood, S.F.; Jabeen, K. COVID-19-associated pulmonary aspergillosis (CAPA) in patients admitted with severe COVID-19 pneumonia: An observational study from Pakistan. Mycoses 2020, 63, 766–770. [Google Scholar] [CrossRef]
- Oliva, A.; Siccardi, G.; Migliarini, A.; Cancelli, F.; Carnevalini, M.; D’Andria, M.; Attilia, I.; Danese, V.C.; Cecchetti, V.; Romiti, R. Co-infection of SARS-CoV-2 with Chlamydia or Mycoplasma pneumoniae: A case series and review of the literature. Infection 2020, 48, 871–877. [Google Scholar] [CrossRef]
- Peng, H.; Gao, P.; Xu, Q.; Liu, M.; Peng, J.; Wang, Y.; Xu, H. Coronavirus disease 2019 in children: Characteristics, antimicrobial treatment, and outcomes. J. Med. Virol. 2020, 128, 104425. [Google Scholar] [CrossRef]
- Pongpirul, W.A.; Mott, J.A.; Woodring, J.V.; Uyeki, T.M.; MacArthur, J.R.; Vachiraphan, A.; Suwanvattana, P.; Uttayamakul, S.; Chunsuttiwat, S.; Chotpitayasunondh, T. Clinical characteristics of patients hospitalized with coronavirus disease, Thailand. Emerg. Infect. Dis. 2020, 26, 1580–1585. [Google Scholar] [CrossRef]
- Richardson, S.; Hirsch, J.S.; Narasimhan, M.; Crawford, J.M.; McGinn, T.; Davidson, K.W.; Barnaby, D.P.; Becker, L.B.; Chelico, J.D.; Cohen, S.L. Presenting characteristics, comorbidities, and outcomes among 5700 patients hospitalized with COVID-19 in the New York City area. JAMA 2020, 323, 2052–2059. [Google Scholar] [CrossRef] [PubMed]
- Rutsaert, L.; Steinfort, N.; Van Hunsel, T.; Bomans, P.; Naesens, R.; Mertes, H.; Dits, H.; Van Regenmortel, N. COVID-19-associated invasive pulmonary aspergillosis. Ann. Intensiv. Care 2020, 10, 71. [Google Scholar] [CrossRef] [PubMed]
- Sun, D.; Chen, X.; Li, H.; Lu, X.-X.; Xiao, H.; Zhang, F.-R.; Liu, Z.-S. SARS-CoV-2 infection in infants under 1 year of age in Wuhan City, China. World J. Pediatr. 2020, 16, 260–266. [Google Scholar] [CrossRef] [PubMed]
- Tagarro, A.; Epalza, C.; Santos, M.; Sanz-Santaeufemia, F.J.; Otheo, E.; Moraleda, C.; Calvo, C. Screening and severity of coronavirus disease 2019 (COVID-19) in children in Madrid, Spain. JAMA Pediatr. 2021, 175, 316–317. [Google Scholar] [CrossRef] [Green Version]
- Van Arkel, A.L.; Rijpstra, T.A.; Belderbos, H.N.; Van Wijngaarden, P.; Verweij, P.E.; Bentvelsen, R.G. COVID-19–associated pulmonary aspergillosis. Am. J. Respir. Crit. Care Med. 2020, 202, 132–135. [Google Scholar] [CrossRef]
- Wang, R.; Pan, M.; Zhang, X.; Han, M.; Fan, X.; Zhao, F.; Miao, M.; Xu, J.; Guan, M.; Deng, X. Epidemiological and clinical features of 125 hospitalized patients with COVID-19 in Fuyang, Anhui, China. Int. J. Infect. Dis. 2020, 95, 421–428. [Google Scholar] [CrossRef] [PubMed]
- Wang, Y.; Liu, Y.; Liu, L.; Wang, X.; Luo, N.; Li, L. Clinical outcomes in 55 patients with severe acute respiratory syndrome coronavirus 2 who were asymptomatic at hospital admission in Shenzhen, China. J. Infect. Dis. 2020, 221, 1770–1774. [Google Scholar] [CrossRef] [PubMed]
- Wang, Z.; Yang, B.; Li, Q.; Wen, L.; Zhang, R. Clinical features of 69 cases with coronavirus disease 2019 in Wuhan, China. Clin. Infect. Dis. 2020, 71, 769–777. [Google Scholar] [CrossRef] [Green Version]
- Wu, Q.; Xing, Y.; Shi, L.; Li, W.; Gao, Y.; Pan, S.; Wang, Y.; Wang, W.; Xing, Q. Coinfection and other clinical characteristics of COVID-19 in children. Pediatrics 2020, 146. [Google Scholar] [CrossRef] [PubMed]
- Xia, W.; Shao, J.; Guo, Y.; Peng, X.; Li, Z.; Hu, D. Clinical and CT features in pediatric patients with COVID-19 infection: Different points from adults. Pediatr. Pulmonol. 2020, 55, 1169–1174. [Google Scholar] [CrossRef] [Green Version]
- Yang, X.; Yu, Y.; Xu, J.; Shu, H.; Liu, H.; Wu, Y.; Zhang, L.; Yu, Z.; Fang, M.; Yu, T. Clinical course and outcomes of critically ill patients with SARS-CoV-2 pneumonia in Wuhan, China: A single-centered, retrospective, observational study. Lancet Respir. Med. 2020, 8, 475–481. [Google Scholar] [CrossRef] [Green Version]
- Zheng, F.; Liao, C.; Fan, Q.-H.; Chen, H.; Zhao, X.; Xie, Z.; Li, X.; Chen, C.; Lu, X.; Liu, Z. Clinical characteristics of children with coronavirus disease 2019 in Hubei, China. Curr. Med. Sci. 2020, 275–280. [Google Scholar] [CrossRef] [Green Version]
- Zhang, J.; Dong, X.; Cao, Y.; Yuan, Y.; Yang, Y.; Yan, Y.; Akdis, C.A.; Gao, Y. Clinical characteristics of 140 patients infected with SARS-CoV-2 in Wuhan, China. Allergy 2020, 75, 1730–1741. [Google Scholar] [CrossRef] [PubMed]
- Contou, D.; Claudinon, A.; Pajot, O.; Micaëlo, M.; Flandre, P.L.; Dubert, M.; Cally, R.; Logre, E.; Fraissé, M.; Mentec, H. Bacterial and viral co-infections in patients with severe SARS-CoV-2 pneumonia admitted to a French ICU. Ann. Intensive Care 2020, 10, 119. [Google Scholar] [CrossRef]
- Gayam, V.; Konala, V.M.; Naramala, S.; Garlapati, P.R.; Merghani, M.A.; Regmi, N.; Balla, M.; Adapa, S. Presenting characteristics, comorbidities, and outcomes of patients coinfected with COVID-19 and Mycoplasma pneumoniae in the USA. J. Med. Virol. 2020, 92, 2181–2187. [Google Scholar] [CrossRef]
- Hazra, A.; Collison, M.; Pisano, J.; Kumar, M.; Oehler, C.; Ridgway, J.P. Coinfections with SARS-CoV-2 and other respiratory pathogens. Infect. Control Hosp. Epidemiol. 2020, 41, 1228–1229. [Google Scholar] [CrossRef]
- Karami, Z.; Knoop, B.T.; Dofferhoff, A.S.; Blaauw, M.J.; Janssen, N.A.; van Apeldoorn, M.; Kerckhoffs, A.P.; van de Maat, J.S.; Hoogerwerf, J.J.; Ten Oever, J. Few bacterial co-infections but frequent empiric antibiotic use in the early phase of hospitalized patients with COVID-19: Results from a multicentre retrospective cohort study in The Netherlands. Infect. Dis. 2020. [Google Scholar] [CrossRef] [PubMed]
- Kim, D.; Quinn, J.; Pinsky, B.; Shah, N.H.; Brown, I. Rates of co-infection between SARS-CoV-2 and other respiratory pathogens. JAMA 2020, 323, 2085–2086. [Google Scholar] [CrossRef] [PubMed] [Green Version]
- Kreitmann, L.; Monard, C.; Dauwalder, O.; Simon, M.; Argaud, L. Early bacterial co-infection in ARDS related to COVID-19. Intensive Care Med. 2020, 46, 1787–1789. [Google Scholar] [CrossRef] [PubMed]
- Lehmann, C.J.; Pho, M.T.; Pitrak, D.; Ridgway, J.P.; Pettit, N.N. Community acquired co-infection in COVID-19: A retrospective observational experience. Clin. Infect. Dis. 2020. [Google Scholar] [CrossRef]
- Massey, B.W.; Jayathilake, K.; Meltzer, H.Y. Respiratory microbial co-infection with SARS-CoV-2. Front. Microbiol. 2020, 11. [Google Scholar] [CrossRef] [PubMed]
- Nowak, M.D.; Sordillo, E.M.; Gitman, M.R.; Paniz Mondolfi, A.E. Coinfection in SARS-CoV-2 infected patients: Where are influenza virus and rhinovirus/enterovirus? J. Med. Virol. 2020, 92, 1699–1700. [Google Scholar] [CrossRef]
- Ozaras, R.; Cirpin, R.; Duran, A.; Duman, H.; Arslan, O.; Bakcan, Y.; Kaya, M.; Mutlu, H.; Isayeva, L.; Kebanlı, F. Influenza and COVID-19 coinfection: Report of six cases and review of the literature. J. Med. Virol. 2020, 92, 2657–2665. [Google Scholar] [CrossRef]
- Sepulveda, J.; Westblade, L.F.; Whittier, S.; Satlin, M.J.; Greendyke, W.G.; Aaron, J.G.; Zucker, J.; Dietz, D.; Sobieszczyk, M.; Choi, J.J. Bacteremia and blood culture utilization during COVID-19 surge in New York City. J. Med. Virol. 2020, 58. [Google Scholar] [CrossRef]
- Singh, V.; Upadhyay, P.; Reddy, J.; Granger, J. SARS-CoV-2 respiratory co-infections: Incidence of viral and bacterial co-pathogens. Int. J. Infect. Dis. 2021. [Google Scholar] [CrossRef] [PubMed]
- Song, W.; Jia, X.; Zhang, X.; Ling, Y.; Yi, Z. Co-infection in COVID-19, a cohort study. J. Infect. 2020. [Google Scholar] [CrossRef] [PubMed]
- Tang, M.-L.; Li, Y.-Q.; Chen, X.; Lin, H.; Jiang, Z.-C.; Gu, D.-L.; Chen, X.; Tang, C.-X.; Xie, Z.-Q. Co-infection with common respiratory pathogens and SARS-CoV-2 in patients with COVID-19 pneumonia and laboratory biochemistry findings: A retrospective cross-sectional study of 78 patients from a single center in China. Int. Med. J. Exp. Clin. Res. 2021, 27, e929783-1. [Google Scholar]
- Thelen, J.M.; Buenen, A.N.; van Apeldoorn, M.; Wertheim, H.F.; Hermans, M.H.; Wever, P.C. Community-acquired bacteraemia in COVID-19 in comparison to influenza A and influenza B: A retrospective cohort study. BMC Infect. Dis. 2021, 21, 199. [Google Scholar] [CrossRef]
- Wee, L.E.; Ko, K.K.K.; Ho, W.Q.; Kwek, G.T.C.; Tan, T.T.; Wijaya, L. Community-acquired viral respiratory infections amongst hospitalized inpatients during a COVID-19 outbreak in Singapore: Co-infection and clinical outcomes. J. Clin. Virol. 2020, 128, 104436. [Google Scholar] [CrossRef] [PubMed]
- Wu, C.; Chen, X.; Cai, Y.; Zhou, X.; Xu, S.; Huang, H.; Zhang, L.; Zhou, X.; Du, C.; Zhang, Y. Risk factors associated with acute respiratory distress syndrome and death in patients with coronavirus disease 2019 pneumonia in Wuhan, China. JAMA Intern. Med. 2020, 180, 934–943. [Google Scholar] [CrossRef] [Green Version]
- Yue, H.; Zhang, M.; Xing, L.; Wang, K.; Rao, X.; Liu, H.; Tian, J.; Zhou, P.; Deng, Y.; Shang, J. The epidemiology and clinical characteristics of co-infection of SARS-CoV-2 and influenza viruses in patients during COVID-19 outbreak. J. Med. Virol. 2020, 92, 2870–2873. [Google Scholar] [CrossRef] [PubMed]
- Zhao, D.; Yao, F.; Wang, L.; Zheng, L.; Gao, Y.; Ye, J.; Guo, F.; Zhao, H.; Gao, R. A comparative study on the clinical features of coronavirus 2019 (COVID-19) pneumonia with other pneumonias. Clin. Infect. Dis. 2020, 71, 756–761. [Google Scholar] [CrossRef] [PubMed] [Green Version]
- Zheng, X.; Wang, H.; Su, Z.; Li, W.; Yang, D.; Deng, F.; Chen, J. Co-infection of SARS-CoV-2 and Influenza virus in Early Stage of the COVID-19 Epidemic in Wuhan, China. J. Infect. 2020. [Google Scholar] [CrossRef]
- Lansbury, L.; Lim, B.; Baskaran, V.; Lim, W.S. Co-infections in people with COVID-19: A systematic review and meta-analysis. J. Infect. 2020, 81, 266–275. [Google Scholar] [CrossRef]
- Langford, B.J.; So, M.; Raybardhan, S.; Leung, V.; Westwood, D.; MacFadden, D.R.; Soucy, J.-P.R.; Daneman, N. Bacterial co-infection and secondary infection in patients with COVID-19: A living rapid review and meta-analysis. Clin. Microbiol. Infect. 2020. [Google Scholar] [CrossRef] [PubMed]
- Davis, B.; Rothrock, A.N.; Swetland, S.; Andris, H.; Davis, P.; Rothrock, S.G. Viral and atypical respiratory co-infections in COVID-19: A systematic review and meta-analysis. J. Am. Coll. Emerg. Phys. Open 2020, 1, 533–548. [Google Scholar] [CrossRef] [PubMed]
- Moher, D.; Liberati, A.; Tetzlaff, J.; Altman, D.G.; Group, P. Preferred reporting items for systematic reviews and meta-analyses: The PRISMA statement. PLoS Med. 2009, 6, e1000097. [Google Scholar] [CrossRef] [PubMed] [Green Version]
- Wells, G.; Shea, B.; O’Connell, D.; Peterson, J.; Welch, V.; Losos, M.; Tugwell, P. The Newcastle-Ottawa Scale (NOS) for Assessing the Quality of Nonrandomized Studies in Meta-Analyses; Ottawa Health Research Institute: Ottawa, ON, Canada, 2015. [Google Scholar]
- DerSimonian, R.; Kacker, R. Random-effects model for meta-analysis of clinical trials: An update. Contemp. Clin. Trials 2007, 28, 105–114. [Google Scholar] [CrossRef] [PubMed]
- Higgins, J.P.; Thompson, S.G. Quantifying heterogeneity in a meta-analysis. Stat. Med. 2002, 21, 1539–1558. [Google Scholar] [CrossRef]
- Higgins, J.P.; Thompson, S.G.; Deeks, J.J.; Altman, D.G. Measuring inconsistency in meta-analyses. BMJ 2003, 327, 557–560. [Google Scholar] [CrossRef] [Green Version]
- Egger, M.; Smith, G.D.; Schneider, M.; Minder, C. Bias in meta-analysis detected by a simple, graphical test. BMJ 1997, 315, 629–634. [Google Scholar] [CrossRef] [Green Version]
- Chen, N.; Zhou, M.; Dong, X.; Qu, J.; Gong, F.; Han, Y.; Qiu, Y.; Wang, J.; Liu, Y.; Wei, Y. Epidemiological and clinical characteristics of 99 cases of 2019 novel coronavirus pneumonia in Wuhan, China: A descriptive study. Lancet 2020, 395, 507–513. [Google Scholar] [CrossRef] [Green Version]
- Mo, P.; Xing, Y.; Xiao, Y.; Deng, L.; Zhao, Q.; Wang, H.; Xiong, Y.; Cheng, Z.; Gao, S.; Liang, K. Clinical characteristics of refractory COVID-19 pneumonia in Wuhan, China. Clin. Infect. Dis. 2020. [Google Scholar] [CrossRef] [Green Version]
- Zha, L.; Shen, J.; Tefsen, B.; Wang, Y.; Lu, W.; Xu, Q. Clinical features and outcomes of adult COVID-19 patients co-infected with Mycoplasma pneumoniae. J. Infect. 2020. [Google Scholar] [CrossRef]
- Al Mutair, A.; Alhumaid, S.; Alhuqbani, W.N.; Zaidi, A.R.Z.; Alkoraisi, S.; Al-Subaie, M.F.; AlHindi, A.M.; Abogosh, A.K.; Alrasheed, A.K.; Alsharafi, A.A. Clinical, epidemiological, and laboratory characteristics of mild-to-moderate COVID-19 patients in Saudi Arabia: An observational cohort study. Eur. J. Med. Res. 2020, 25. [Google Scholar] [CrossRef] [PubMed]
- Alhumaid, S.; Al Mutair, A.; Al Alawi, Z.; Al Salman, K.; Al Dossary, N.; Omar, A.; Alismail, M.; Al Ghazal, A.M.; Jubarah, M.B.; Al Shaikh, H. Clinical features and prognostic factors of intensive and non-intensive 1014 COVID-19 patients: An experience cohort from Alahsa, Saudi Arabia. Eur. J. Med. Res. 2021, 26, 47. [Google Scholar] [CrossRef] [PubMed]
- Al-Omari, A.; Alhuqbani, W.N.; Zaidi, A.R.Z.; Al-Subaie, M.F.; AlHindi, A.M.; Abogosh, A.K.; Alrasheed, A.K.; Alsharafi, A.A.; Alhuqbani, M.N.; Salih, S. Clinical characteristics of non-intensive care unit COVID-19 patients in Saudi Arabia: A descriptive cross-sectional study. J. Infect. Public Health 2020, 13, 1639–1644. [Google Scholar] [CrossRef]
- Sharifipour, E.; Shams, S.; Esmkhani, M.; Khodadadi, J.; Fotouhi-Ardakani, R.; Koohpaei, A.; Doosti, Z.; Golzari, S.E. Evaluation of bacterial co-infections of the respiratory tract in COVID-19 patients admitted to ICU. BMC Infect. Dis. 2020, 20, 646. [Google Scholar] [CrossRef] [PubMed]
- Lee, A.; Cheung, Y.S.L.; Joynt, G.M.; Leung, C.C.H.; Wong, W.-T.; Gomersall, C.D. Are high nurse workload/staffing ratios associated with decreased survival in critically ill patients? A cohort study. Ann. Intensive Care 2017, 7, 46. [Google Scholar] [CrossRef]
- Dasgupta, S.; Das, S.; Chawan, N.S.; Hazra, A. Nosocomial infections in the intensive care unit: Incidence, risk factors, outcome and associated pathogens in a public tertiary teaching hospital of eastern India. Indian J. Crit. Care Med. 2015, 19, 14. [Google Scholar]
- Alhumaid, S.; Al Mutair, A.; Al Alawi, Z.; Alsuliman, M.; Ahmed, G.Y.; Rabaan, A.A.; Al-Tawfiq, J.A.; Al-Omari, A. Knowledge of infection prevention and control among healthcare workers and factors influencing compliance: A systematic review. Antimicrob. Resist. Infect. Control. 2021, 10, 1–32. [Google Scholar] [CrossRef] [PubMed]
- Al-Omari, A.; Al Mutair, A.; Alhumaid, S.; Salih, S.; Alanazi, A.; Albarsan, H.; Abourayan, M.; Al Subaie, M. The impact of antimicrobial stewardship program implementation at four tertiary private hospitals: Results of a five-years pre-post analysis. Antimicrob. Resist. Infect. Control. 2020, 9, 95. [Google Scholar] [CrossRef] [PubMed]
- Al Mutair, A.; Alhumaid, S.; Al Alawi, Z.; Zaidi, A.R.Z.; Alzahrani, A.J.; Al-Tawfiq, J.; Al-Shammari, H.; Rabaan, A.; Khojah, O.; Al-Omari, A. Five-year resistance trends in pathogens causing healthcare-associated infections at a multi-hospital healthcare system in Saudi Arabia, 2015–2019. J. Glob. Antimicrob. Resist. 2021. [Google Scholar] [CrossRef]
- Alhumaid, S.; Al Mutair, A.; Al Alawi, Z.; Alzahrani, A.J.; Tobaiqy, M.; Alresasi, A.M.; Bu-Shehab, I.; Al-Hadary, I.; Alhmeed, N.; Alismail, M.; et al. Antimicrobial susceptibility of gram-positive and gram-negative bacteria: A 5-year retrospective analysis at a multi-hospital healthcare system in Saudi Arabia. Ann. Clin. Microbiol. Antimicrob. 2021, 20, 43. [Google Scholar] [CrossRef]
- Uyeki, T.M.; Bernstein, H.H.; Bradley, J.S.; Englund, J.A.; File, T.M., Jr.; Fry, A.M.; Gravenstein, S.; Hayden, F.G.; Harper, S.A.; Hirshon, J.M. Clinical practice guidelines by the Infectious Diseases Society of America: 2018 update on diagnosis, treatment, chemoprophylaxis, and institutional outbreak management of seasonal influenza. Clin. Infect. Dis. 2019, 68, e1–e47. [Google Scholar] [CrossRef]
- Unnewehr, M.; Friederichs, H.; Bartsch, P.; Schaaf, B. High diagnostic value of a new real-time Pneumocystis PCR from bronchoalveolar lavage in a real-life clinical setting. Respiration 2016, 92, 144–149. [Google Scholar] [CrossRef]
- Byington, C.L.; Ampofo, K.; Stockmann, C.; Adler, F.R.; Herbener, A.; Miller, T.; Sheng, X.; Blaschke, A.J.; Crisp, R.; Pavia, A.T. Community surveillance of respiratory viruses among families in the Utah better identification of germs-longitudinal viral epidemiology (BIG-LoVE) study. Clin. Infect. Dis. 2015, 61, 1217–1224. [Google Scholar] [CrossRef]
- Patel, R.; Babady, E.; Theel, E.S.; Storch, G.A.; Pinsky, B.A.; St George, K.; Smith, T.C.; Bertuzzi, S. Report from the American Society for Microbiology COVID-19 international summit, 23 March 2020: Value of diagnostic testing for SARS–CoV-2/COVID-19. Am. Soc. Microbiol. 2020. [Google Scholar] [CrossRef] [Green Version]
- Morens, D.M.; Taubenberger, J.K.; Fauci, A.S. Predominant role of bacterial pneumonia as a cause of death in pandemic influenza: Implications for pandemic influenza preparedness. J. Infect. Dis. 2008, 198, 962–970. [Google Scholar] [CrossRef]
- Leung, C.-H.; Tseng, H.-K.; Wang, W.-S.; Chiang, H.-T.; Wu, A.Y.-J.; Liu, C.-P. Clinical characteristics of children and adults hospitalized for influenza virus infection. J. Microbiol. Immunol. Infect. 2014, 47, 518–525. [Google Scholar] [CrossRef] [Green Version]
- Cusumano, J.A.; Dupper, A.C.; Malik, Y.; Gavioli, E.M.; Banga, J.; Berbel Caban, A.; Nadkarni, D.; Obla, A.; Vasa, C.V.; Mazo, D. (Eds.) Staphylococcus aureus bacteremia in patients infected with COVID-19: A case series. In Open Forum Infectious Diseases; Oxford University Press: Oxford, UK, 2020. [Google Scholar]
- Navarini, A.A.; Recher, M.; Lang, K.S.; Georgiev, P.; Meury, S.; Bergthaler, A.; Flatz, L.; Bille, J.; Landmann, R.; Odermatt, B. Increased susceptibility to bacterial superinfection as a consequence of innate antiviral responses. Proc. Nat. Acad. Sci. USA 2006, 103, 15535–15539. [Google Scholar] [CrossRef] [PubMed] [Green Version]
- Didierlaurent, A.; Goulding, J.; Patel, S.; Snelgrove, R.; Low, L.; Bebien, M.; Lawrence, T.; van Rijt, L.S.; Lambrecht, B.N.; Sirard, J.-C. Sustained desensitization to bacterial Toll-like receptor ligands after resolutionof respiratory influenza infection. J. Exp. Med. 2008, 205, 323–329. [Google Scholar] [CrossRef] [PubMed] [Green Version]
- Gadi, N.; Wu, S.C.; Spihlman, A.P.; Moulton, V.R. What’s sex got to do with COVID-19? Gender-based differences in the host immune response to coronaviruses. Front. Immunol. 2020, 11, 2147. [Google Scholar] [CrossRef] [PubMed]
- Rabaan, A.A.; Al-Ahmed, S.H.; Garout, M.A.; Al-Qaaneh, A.M.; Sule, A.A.; Tirupathi, R.; Mutair, A.A.; Alhumaid, S.; Hasan, A.; Dhawan, M. Diverse immunological factors influencing pathogenesis in patients with COVID-19: A review on viral dissemination, immunotherapeutic options to counter cytokine storm and inflammatory responses. Pathogens 2021, 10, 565. [Google Scholar] [CrossRef] [PubMed]
- Kamfose, M.M.; Muriithi, F.G.; Knight, T.; Lasserson, D.; Hayward, G. Intravenous ceftriaxone versus multiple dosing regimes of intravenous anti-Staphylococcal antibiotics for methicillin-susceptible Staphylococcus aureus (MSSA): A systematic review. Antibiotics 2020, 9, 39. [Google Scholar] [CrossRef] [PubMed] [Green Version]







| Author, Year, Study Location | Study Design, Setting | Number of SARS-CoV-2 Patients Tested for Co-Pathogens, n | Co-Infected Patients, n (%) | Age (Years) | Male, n (%) | Admitted to ICU, n (%) | Mechanical Ventilation, n (%) | Deaths, n (%) | Bacterial Co-Infection, n (%) | Fungal Co-Infection, n (%) | Respiratory Viral Co-Infection, n (%) | Total Organisms, n | Antimicrobials Use, n | Laboratory Techniques for Co-Pathogen Detection | NOS Score | Key Findings |
|---|---|---|---|---|---|---|---|---|---|---|---|---|---|---|---|---|
| Alanio et al., 2020 [23], France | Prospective case series, single center | 27 | 7 (25.9) | Median (IQR), 63 (43–79) | 5 (71.4) | 7 (100) | 7 (100) | 4 (75.1) | - | 7 (25.9) | - | 7 Aspergillus fumigatus | 3 Macrolides 2 Antifungals | Culture from respiratory specimens and GM detection in the BAL and serum | 7 | Death was not related to pulmonary aspergillosis but to bacterial septic shock and organ failure. |
| Allou et al., 2021 [9], France | Prospective cohort, single center | 36 | 5 (13.9) | Median (IQR), 68 (57–82) | 4 (80) | 10 (27.8) | 2 (5.5) | 0 | 2 (5.5) | - | 3 (8.3) | 1 Influenza A virus 1 Branhamella catarrhalis 1 S. pneumoniae 1 H. influenzae 1 Human Coronavirus 229E 1 Rhinovirus 1 MSSA | Not reported | RT-PCR for naopharyngeal specimens [viruses] AND sputum culture [bacteria and fungi] | 7 | Level of D-dimer was significantly higher in patients with co-infection compared to patients without co-infection (1.36 mg/mL vs. 0.63 mg/mL, p = 0.05). |
| Amin et al., 2021 [14], United States | Retrospective case series, single center | 140 | 79 (56.4) | Mean (SD), 62.3 (16.3) | 55 (69.6) | 29 (36.7) | 26 (32.9) | 38 (48.1) | 79 (56.4) | - | - | 79 M. pneumoniae | All patients received antibiotics coverage against M. pneumoniae, however, agents were not reported | Serum antibody test (IgM) | 6 | Death was significantly higher in patients with M. pneumoniae co-infection compared to patients without M. pneumoniae co-infection (AOR: 2.28, 95% CI: 1.03–5.03). |
| Anton-Vazquez et al., 2021 [24], Spain | Retrospective case series, single center | 917 | 87 (9.5) | Median (IQR), 68 (27–92) | 37 (42.5) | 8 (9.2) | Not reported | 15 (17.2) | 87 (9.5) | - | - | 87 S. pneumoniae | Third Generation Cephalosporins were prescribed in the great majority of cases | Serum antibody test (IgM, IgG) | 6 | Co-infected pneumococcal pneumonia patients compared with COVID-19 patients without pneumococcal testing were mostly female (57% vs. 34%, p < 0.001). No differences in age, length of stay, admission to ICU, or mortality were found between groups. |
| Arentz et al., 2020 [15], United States | Retrospective case series, single center | 21 | 4 (19) | Mean (range), 70 (43–92) | 11 (52) | 21 (100) | 15 (71) | 11 (52.4) | 1 (4.8) | - | 3 (14.3) | 1 Pseudomonas 2 Influenza A virus 1 Parainfluenza 3 virus | Not reported | Unspecified | 8 | Study included 21 ICU patients who had a high rate of ARDS and a high risk of death. |
| Bardi et al., 2021 [2], United States | Retrospective case series, single center | 140 | 57 (40.7) | Median (IQR), 63 (60–68) | 47 (82) | 57 (100) | 56 (98) | 31 (54) | 51 (36.4) | 6 (4.3) | - | 18 Enterococcus faecium 11 Enterococcus faecalis 16 CoNS 14 P. aeruginosa 9 MRSA1 Klebsiella oxytoca 1 Serratia marcescens 1 Bacteroides spp. 1 Candida glabrata 4 Candida albicans 3 Aspergillus fumigatus 3 Stenotrophomonas maltophilia 2 A. baumannii 2 Enterobacter cloacae 1 Aspergillus terreus 1 Hafnia alvei 1 H. influenzae 1 MSSA 1 K. pneumoniae | 53 Third Generation Cephalosporins 53 Macrolides 47 Other antibiotics | Respiratory tracheal aspirate and blood cultures | 6 | Co-infection occurred a median of 9 days (IQR 5–11) after admission and was significantly associated with the APACHE II score (p = 0.02). Co-infection was significantly associated with death (OR 2.7, 95% CI 1.2–5.9, p = 0.015) and longer ICU stay (p < 0.001). |
| Barrasa et al., 2020 [16], Spain | Retrospective case series, multi-center | 48 | 6 (12.5) | Median (IQR), 63 (51–75) | 27 (56.2) | 48 (100) | 45 (93.7) | 12 (25) | 5 (10.4) | - | 1 (2.1) | 3 P. aeruginosa 1 Enterococcus faecium 1 H. influenzae 1 MRSA | 17 Fluoroquinolones 22 Third Generation Cephalosporins 10 Macrolides 9 Linezolid 15 Beta-Lactams | Unspecified | 7 | Procalcitonin plasma above 0.5 mg/L was associated with 16% vs. 19% (p = 0.78) risk of death after 7 days. |
| Bartoletti et al., 2020 [17], Italy | Prospective cohort, multi-center | 108 | 30 (27.7) | Median (IQR), 63 (57–70) | 24 (80) | 108 (100) | 108 (100) | 44 (40.7) | - | 19 (17.6) | - | 15 Aspergillus fumigatus 3 Aspergillus niger 1 Aspergillus flavus | 9 Macrolides 16 Antifungals | Culture from respiratory specimens and GM detection in the BAL and serum | 7 | Co-infection of aspergillosis occurred after a median of 4 (2–8) days from ICU admission and a median of 14 (11–22) days from SARS-CoV-2 symptom onset. Mortality was higher in ICU patients co-infected with aspergillosis compared to SARS-CoV-2 patients without the fungal co-infection (44% vs. 19%, p = 0.002). |
| Calcagno et al., 2021 [5], Italy | Retrospective case series, single center | 56 | 10 (17.8) | Mean (SD), 63.3 (18) | 6 (60) | Not reported | Not reported | Not reported | 10 (17.8) | - | - | 7 S. aureus 2 H. influenzae 1 E. coli 1 M. catarrhalis 1 Streptococci agalactiae 1 K. pneumoniae 1 Enterobacter cloacae | Not reported | RT-PCR of respiratory tract specimens (nasopharyngeal, BAL, BA, and sputum) | 7 | Phenomena like viral interference, common receptor usage, different inoculum size, or simply resource competition might explain why dual or multiple concurrent viral respiratory infections are rare. |
| Chen N et al., 2020 [80], China | Retrospective case series, single center | 99 | 5 (5) | Mean (SD), 55.5 (13.1) | 67 (67.7) | 23 (23) | 17 (17) | 11 (11) | 1 (1) | 4 (4) | - | 1 A. baumannii 1 K. pneumoniae 1 Aspergillus flavus 1 Candida glabrata 3 Candida albicans | 70 [cephalosporins, quinolones, carbapenems, tigecycline, and linezolid] 15 Antifungals | RT-PCR via throat swab | 7 | Six (6%) of patients had high procalcitonin levels. |
| Chen T et al., 2020 [25], China | Retrospective case series, single center | 203 | 17 (8.4) | Median (IQR), 54 (20–91) | 108 (53.2) | 34 (16.7) | 39 (19.2) | 26 (12.8) | 2 (0.9) | - | 15 (7.4) | 4 Parainfluenza virus 3 RSV 3 Adenovirus 2 Mycoplasma 2 Influenza A virus 3 Influenza B virus | Not reported | Unspecified | 7 | Two mortality cases were reported in co-infected patients. |
| Cheng L et al., 2020 [18], Hong Kong | Prospective cohort, single center | 147 | 12 (8.2) | Median (IQR), 49 (30–61) | 9 (75) | 1 (8.3) | Not reported | 0 | 12 (8.2) | - | - | 3 H. influenzae 8 MSSA 1 P. aeruginosa 1 S. pneumoniae | 46 Penicillins & cephalosporins 14 Tetracyclines 3 Fluoroquinolones 3 Macrolides | RT-PCR of respiratory tract specimens AND sputum and blood cultures | 6 | Co-infected SARS-CoV-2 patients had longer length of hospitalization (median: 20 days vs. 27 days, p = 0.016). |
| Cheng Y et al., 2021 [10], China | Prospective cohort, single center | 213 | 97 (45.5) | Median (IQR), 61 (50–68) | 47 (48.5) | Not reported | 2 (2.1) | 3 (3.1) | - | - | 97 (45.5) | 97 Influenza A virus | Not reported | Serum antibody test (IgM) | 6 | Similar symptoms and clinical outcomes were seen in the SARS-CoV-2 co-infected group compared to the SARS-CoV-2 group without co-infection. Co-infection with Influenza A virus had no effect on disease outcome. |
| Contou et al., 2020 [51], France | Prospective cohort, single center | 92 | 26 (28) | Median (IQR), 61 (55–70) | 73 (79) | 92 (100) | 83 (90) | 45 (49) | 26 (28) | - | - | 10 MSSA 7 H. influenzae 6 S. pneumoniae 5 Enterobacteriaceae 2 P. aeruginosa 1 M. catarrhalis 1 A. baumannii | 14 Third Generation Cephalosporins 14 Beta-Lactam/Beta-Lactamase Inhibitors 6 Beta-Lactams 5 Others antibiotics | RT-PCR for respiratory specimens [viruses] AND respiratory and blood cultures [bacteria and fungi] | 7 | Resistance by co-pathogens to 3rd generation cephalosporin and to amoxicillin–clavulanate combination was observed in 8% and 21%, respectively. |
| Cuadrado-Payán et al. [11]. 2020, Spain | Retrospective case series, single center | 4 | 4 (100) | Mean (SD), 67 (14.5) | 3 (75) | 3 (75) | 3 (75) | 0 | - | - | 4 (100) | 3 Influenza A virus 2 Influenza B virus | None | RT-PCR for respiratory specimens | 7 | Clinical courses in co-infected SARS-CoV-2 patients did not differ from those previously reported. |
| De Francesco et al., 2021 [6], Italy | Retrospective cohort, multi-center | 443 | 242 (54.6) | Mean (SD), 71 (19) | 173 (71.4) | Not reported | 16 (6.8) | Not reported | 242 (54.6) | - | - | 242 C. pneumoniae 63 M. pneumoniae | 138 Macrolides | Serum antibody test (IgM, IgG) | 6 | SARS-CoV-2 co-infected patients were more critical than SARS-CoV-2 patients without co-infection (13.2% vs. 5.9%, p = 0.01). Need for ventilatory support was significantly higher in co-infected patients than in only SARS-CoV-2 positive patients (nasal canula: 18.1% vs. 3.6%, p < 0.0001; high flow oxygen support: 45% vs. 23.3%, p < 0.0001; and non-invasive ventilation: 14.7% vs. 4.6%, p = 0.001, respectively). Higher mortality was observed in SARS-CoV-2 patients with M. and/or C. pneumoniae (24.2% vs. 21.8%, p = 0.63). |
| Ding et al., 2020 [19], China | Retrospective case series, single center | 115 | 5 (4.3) | Mean (SD), 50.20 (9.83) | 2 (40) | 0 | 0 | 0 | - | - | 5 (4.3) | 3 Influenza A virus 2 Influenza B virus | Five patients received antibiotics; however, agents were not reported. | Influenza serology | 7 | SARS-CoV-2 co-infected patients did not show severe disease compared to SARS-CoV-2 without influenza co-infection (similar laboratory results, imaging, and prognosis). Nasal blockade and pharyngeal pain were more in the SARS-CoV-2 con-infected group. |
| Elhazmi et al., 2021 [8], Saudi Arabia | Retrospective case series, multi-center | 67 | 8 (11.9) | Mean (SD), 44.4 (11.8) | 6 (75) | 67 (100) | 7 (87.5) | 3 (37.5) | - | - | 8 (11.9) | 8 MERS-CoV | None | RT-PCR for respiratory specimens | 7 | Seven (87.5%) patients were obese. |
| Garcia-Vidal et al., 2021 [7], Spain | Retrospective cohort, single center | 989 | 31 (3.1) | Median (IQR), 63 (54.5–74) | 18 (58.1) | 8 (25.8) | Not reported | 5 (16.1) | 25 (2.5) | - | 7 (0.7) | 12 S. pneumoniae 7 S. aureus 2 H. influenzae 1 M. catarrhalis 2 P. aeruginosa 1 E. coli 1 K. pneumoniae 1 Enterococcus faecium 1 Proteus mirabilis 1 Citrobacter koseri 6 Influenza A virus 3 Influenza B virus 1 RSV 1 HSV | 26 Macrolides 24 Third Generation Cephalosporins 2 Fifth Generation Cephalosporins | RT-PCR for respiratory specimens [viruses] AND blood, pleural fluids, sputum cultures [bacteria and fungi] | 7 | Co-infection at COVID-19 diagnosis is uncommon. Worse clinical outcomes were seen in SARS-CoV-2 co-infected patients. |
| Gayam et al., 2020 [52], United States | Retrospective cohort, single center | 350 | 6 (1.7) | Mean (SD), 57 (10.6) | 2 (33.3) | 1 (16.7) | 1 (16.7) | 1 (16.7) | 6 (1.7) | - | - | 6 M. pneumoniae | 6 Third Generation Cephalosporins 3 Macrolides 3 Tetracyclines | Serum antibody test (IgM, IgG) | 6 | Only one patient (16.7%) required ICU admission and experienced organ failure and death. |
| Hashemi et al., 2021 [12], Iran | Retrospective cohort, multi-center | 105 dead patients | Not reported | Range (0 to >60) | Males were > females | Not reported | Not reported | 105 (100) | - | - | Not reported | 18 Influenza virus (H1N1) 9 Bocavirus 8 RSV 5 Influenza virus (non-H1N1) 4 Parainfluenza virus 3 HMPV 2 Adenovirus | Not reported | RT-PCR for respiratory specimens | 5 | Most of the co-infected cases were men aged >60 years; and had history of obesity, cancer, hepatitis, and kidney diseases. Prevalence of SARS-CoV-2 and influenza A virus co-infection in dead patients was high. |
| Hazra et al., 2020 [53], United States | Retrospective cohort, single center | 459 | 15 (3.3) | Median, 39 | Not reported | Not reported | Not reported | Not reported | - | - | 15 (3.3) | 2 Adenovirus 1 Coronavirus NL63 2 HMPV 3 Influenza A virus 1 Parainfluenza 2 virus 8 Rhinovirus/Enterovirus | Not reported | RT-PCR for respiratory specimens | 5 | Co-infected patients were younger than those only infected with SARS-CoV-2 (age: 39 vs. 58 years, p = 0.02). |
| Hughes et al., 2020 [26], United Kingdom | Retrospective case series, multi-center | 836 | 51 (6.1) | Median (IQR), 69 (55–81) | 519 (62) | 3 (5.9) | Not reported | Not reported | 51 (6.1) | 30 (3.6) | - | 8 Enterobacterales 36 CoNS 4 Streptococcus spp. 7 S. aureus 4 Enterococcus spp. 3 Candida albicans 1 P. aeruginosa 12 Pseudomonas spp. 5 Enterobacter spp. 6 Klebsiella spp. 2 Serratia spp. 24 Candida spp. 3 Aspergillus spp. 1 H. influenzae 1 Hafnia spp. 1 Morganella morganii 1 Providencia spp. 2 S. maltophilia | Not reported | RT-PCR for respiratory specimens [viruses] AND blood, sputum, and BAL cultures [bacteria and fungi] | 6 | Rate of bacterial co-infection in SARS-CoV-2 patients in the early phase of hospital admission was low. |
| Karami et al., 2020 [54], The Netherlands | Retrospective cohort, multi-center | 925 | 12 (1.2) | Median (IQR), 70 (59–77) | 591 (64) | 166 (21.9) | Not reported | 214 (23.3) | 12 (1.2) | - | 2 (0.2) | 7 S. aureus 1 K. oxytoca 1 S. maltophilia 1 Parainfluenzae virus 1 H. influenzae 1 Influenza A virus 1 S. pneumoniae 2 E. coli | No extractable data | Blood and sputum cultures [bacteria and viruses] | 6 | On presentation to the hospital, bacterial co-infections are rare. |
| Kim et al., 2020 [55], United States | Retrospective cohort, single center | 116 | 23 (19.8) | Median (IQR), 46.9 (14–74) | 12 (52.2) | 0 | 0 | 0 | - | - | 23 (19.8) | 8 Rhinovirus/Enterovirus 6 RSV 5 Coronavirus (non-SARS, non-MERS) 2 HMPV 1 Parainfluenza 1 1 Parainfluenza 3 1 Parainfluenza 4 1 Influenza A virus | Not reported | RT-PCR via nasopharyngeal swab | 8 | Patients with co-infections did not differ significantly in age (mean, 46.9 years) from those infected with SARS-CoV-2 only (mean, 51.1 years). |
| Koehler et al., 2020 [20], Germany | Retrospective case series, single center | 19 | 5 (26.3) | Mean (SD), 62.6 (8.8) | 3 (60) | 5 (100) | Not reported | 3 (60) | - | 5 (26.3) | 2 (10.5) | 2 HMPV 5 Aspergillus fumigatus | 5 Antifungals | RT-PCR for respiratory specimens [viruses] AND GM detection in the BAL and tracheal aspirates | 6 | Critical cases of SARS-CoV-2 patients were at risk of developing aspergillosis co-infection and had higher mortality. |
| Kreitmann et al., 2020 [56], France | Prospectivecohort, single center | 47 | 13 (27.6) | Median (IQR), 61 (56–74) | 25 (73.5) | 47 (100) | Not reported | 5 (35.8) | 13 (27.6) | - | - | 9 S. aureus 5 H. influenzae 3 S. pneumoniae 1 M. catarrhalis 1 Streptococcus agalactiae | 4 Third Generation Cephalosporins 2 Macrolides 3 Other antibiotics | RT-PCR for respiratory specimens and/or cultures | 6 | Authors argue for initial empirical antibiotic coverage in SARS-CoV-2 patients. |
| Lehmann et al., 2020 [57], United States | Retrospective cohort, single center | 321 | 12 (3.7) | Mean (SD), 60 (17) | 155 (48) | 17 (5) | Not reported | 22 (7) | 7 (2.2) | - | 5 (1.5) | 2 S. aureusa 1 Proteus mirabilisa 3 Influenza A virus 2 Rhinovirus/Enterovirus 1 Bordetella parapertussis 4 S. pneumoniae | Antibiotic use was high (222 [69%]); however, agents were not reported. | RT-PCR for respiratory specimens and/or cultures | 7 | Community-acquired co-infection in COVID-19 is infrequent and often viral. Co-infection was more common among ICU patients. |
| Li Y et al., 2021 [27], China | Retrospective case series, single center | 81 | 27 (33.3) | Mean (SD), 76.55 (9.64) | 15 (55.6) | 1 (3.7) | 1 (3.7) | 0 | 27 (33.3) | - | 6 (7.4) | 23 M. Pneumoniae 1 Influenza A virus 2 Influenza B virus 1 RSV 1 Adenovirus 1 Parainfluenza virus 3 M. catarrhalis 1 S. pneumoniae | No extractable data | Direct immunofluorescence test AND serum antibody test (IgM) | 7 | Almost 1/3 (33.3%) had co-infection. Coinfection did not cause a significant exacerbation in clinical symptoms. |
| Li Z et al., 2020 [28], China | Retrospective case series, multi- center | 32 | 14 (43.7) | Median (IQR), 57 (47–69) | 11 (78.6) | 11 (78.6) | 4 (28.6) | Not reported | 10 (31.2) | 7 (21.9) | 5 (15.6) | 3 Stephanoascus ciferrii 4 Candida albicans 2 Staphylococcus epidermidis 1 Ralstonia mannitolilytica 3 Stenotrophomonas maltophilia 1 Bacteroides fragilis 3 Burkholderia estoste 2 Enterococcus Faecium 1 E. coli 2 Elizabethkingia meningosepticum 1 A. baumannii 1 RSV 1 HMPV 2 HcoV-HKU1 1 Rhinovirus 1 Parainfluenza virus 1 Enterovirus | Not reported | RT-PCR AND cultres | 6 | SARS-CoV-2 patients with co-infections were admitted more often to ICU (p < 0.05), showed more severe difficulty in breathing (p < 0.05), and experienced more complications such as ARDS and shock (p < 0.05). |
| Lin et al., 2020 [29], China | Retrospective case series, single center | 92 | 6 (6.5) | Majority (≈78%) were in the range (18–65) | 1:1 ratio | Not reported | Not reported | Not reported | - | - | 6 (6.5) | 3 RSV 2 Rhinovirus 2 HMPV 1 Parainfluenza 2 virus 2 HcoV-HKU1 | Not reported | RT-PCR of respiratory tract specimens (naso- vs. oropharyngeal source not specified) | 7 | Limitation of the sensitivity of method for the different respiratory viruses and low load of virus in specimens might have contributed to negative results. |
| Liu H et al., 2020 [30], China | Retrospective case series, multi-center | 4 | 2 (50) | Range (2 months to 9 years) | 1:1 ratio | 0 | 0 | 0 | 1 (25) | - | 1 (25) | 1 M. pneumoniae 1 RSV | Not reported | Unspecified | 6 | Pulmonary involvement was more severe, as simultaneous infection of RSV and SARS-CoV-2 in one child was detected. |
| Liu L et al., 2020 [31], China | Retrospective case series, single center | 53 | 31 (58.5) | Median (IQR), 38 (28–47) | 26 (49) | 1 (1.9) | 1 (1.9) | 0 | 25 (47.2) | - | 6 (11.3) | 25 M. pneumoniae 2 Influenza A virus 2 Influenza B virus 2 RSV | 25 Fluoroquinolones | Serum antibody test (IgM, IgG) | 6 | COVID-19 patients co-infected with M. pneumoniae had a higher percentage of monocytes (p < 0.0044) and a lower neutrophils percentage (p < 0.0264). |
| Ma et al., 2020 [32], China | Retrospective case series, single center | 93 | 46 (49.5) | Median (IQR), 67 (54–72) | 51 (54.8) | Not reported | Not reported | 44 (47.3) | - | - | 46 (49.5) | 44 Influenza A virus 2 Influenza B virus 1 Adenovirus 1 Parainfluenza virus | Not reported | Serum antibody test (IgM) | 6 | Critically ill COVID-19 patients with influenza were more prone to cardiac injury than those without influenza.Critically ill COVID-19 patients with influenza exhibited more severe inflammation and organ injury. |
| Mannheim et al., 2020 [33], United States | Retrospective case series, multi-center | 10 | 4 (40) | Median (IQR), 11 (7–16) | Males were > females | 7 (70) | Not reported | 0 | 2 (20) | - | 3 (30) | 1 M. pneumoniae 1 Adenovirus 1 Rhinovirus/Enterovirus 1 E. coli 1 Rotavirus | Not reported | RT-PCR for respiratory specimens | 6 | Underlying co-infection might have contributed to severe disease. |
| Massey et al., 2020 [58], United States | Retrospective cohort, multi-center | 1456 | Not reported | Mean (SD), 72.4 (20.9) | Not reported | Not reported | Not reported | Not reported | Not reported | - | Not reported | 937 S. aureus 576 EBV 574 HHV6 328 M. catarrhalis 64 K. pneumoniae 305 HMPV109 Adenovirus | Not reported | RT-PCR for respiratory specimens | 6 | Advanced age and nursing home status were associated with higher co-infection rates in SARS-CoV-2 patients. In SARS-CoV-2 patients, 86.3% had at least one co-infection compared to 75.7% in the negative SARS-CoV-2 group (p < 0.0001). |
| May et al., 2021 [3], United Kingdom | Retrospective cohort, single center | 77 | 39 (50.6) | Not reported | Not reported | 39 (100) | Not reported | Not reported | 28 (36.4) | 11 (14.3) | - | 12 S. aureus 1 Staphylococcus lugdunensis 7 H. influenza 2 S. pneumoniae 10 Klebsiella spp. 3 Serratia marcescens 3 Citrobacter spp. 3 Enterobacter cloacae 3 Proteus mirabilis 2 E. coli 2 P. aeruginosa 1 Hafnia alvei 4 Enterococcus spp. 5 Aspergillus | Not reported | Unspecified | 5 | There was no significant correlation between hospital mortality and isolation of a pathogen in early or any respiratory sample (p = 0.512 and p = 1.0, respectively). |
| Mo et al., 2020 [81], China | Retrospective cohort, single center | 155 | 12 (7.7) | Median (IQR), 54 (42–66) | 86 (55.5) | 37 (23.9) | 36 (23.2) | 22 (14.2) | 2 (1.3) | - | 13 (8.4) | 3 Parainfluenza virus 3 RSV 3 Adenovirus 2 Mycoplasma 2 Influenza A virus 2 Influenza B virus | Not reported | Unspecified | 5 | COVID-19 patients were divided into general and refractory groups. |
| Nasir et al., 2020 [34], Pakitstan | Retrospective case series, single center | 23 | 9 (39.1) | Median (IQR), 71 (51–85) | 7 (77.8) | 23 (100) | 2 (22.2) | 4 (17.4) | 9 (39.1) | 5 (21.7) | - | 2 Aspergillus fumigatus 1 Aspergillus niger 6 Aspergillus flavus 2 P. aeruginosa 1 K. pneumoniae 1 MRSA 2 Acinetobacter spp. 1 Clostridium perfringens 2 Stenotrophomonas maltophilia | 7 Macrolides5 Antifungals | Culture from respiratory specimens and GM detection in the BAL, tracheal aspirates and serum | 6 | Invasive aspergillosis is a complication in moderate to severe COVID-19 patients. |
| Nowak et al., 2020 [59], United States | Retrospective cohort, multi-center | 1204 1270 1103 1103 1103 1103 | 1 (0.1) 4 (0.3) 17 (1.5) 8 (0.7) 4 (0.4) 2 (0.2) | Mean, 60.1 | 16 (44) | Not reported | Not reported | Not reported | - | - | 36 (2.8) | 1 Influenza A virus 4 RSV 17 Other Coronaviridae [7 NL63, 5 HKU1, 4 229E, 1 OC43] 8 Rhinovirus/Enterovirus 4 HMPV 2 Adenovirus | Not reported | RT-PCR for respiratory specimens | 6 | Study hypothesized that competitive advantage may play a role in the SARS-CoV-2 interaction with other respiratory viruses during co-infection. |
| Oliva et al., 2020 [35], Italy | Retrospective case series, single center | 182 | 7 (3.8) | Median (IQR), 73 (45–79) | 4 (57.1) | 1 (14.3) | Not reported | 0 | 7 (3.8) | - | - | 5 C. pneumoniae 2 M. pneumoniae | 7 Macrolides 1 Teicoplanin 1 Beta-Lactam/Beta-Lactamase Inhibitors 1 Third Generation Cephalosporins | Serum antibody test (IgM) | 6 | ICU admission and mortality were similar in the SARS-CoV-2 patients co-infected with M. pneumoniae or C. pneumoniae compared to SARS-CoV-2 group without the co-infection (14.2% vs. 13.7% and 0% vs. 14.2%, respectively). |
| Ozaras et al., 2020 [60], Turkey | Retrospective cohort, multi-center | 1103 | 6 (0.54) | Mean (SD), 40.5 (14) | 3 (50) | 0 | 0 | 0 | - | - | 6 (0.5) | 2 Influenza A virus 4 Influenza B virus | 6 Macrolides | Direct immunofluorescence test | 6 | Cases reported in this study were mild to moderate in severity. |
| Peng et al., 2020 [36], China | Retrospective case series, single center | 75 | 42 (56) | Mean (range), 6.06 years (1 month–15 years) | 44 (58.67) | Not reported | Not reported | 0 | 31 (41.3) | - | 8 (10.7) | 28 M. pneumonia 1 M. catarrhalis 1 S. aureus 1 S. pneumoniae 3 Influenza B virus 1 Influenza A virus 2 Adenoviridae 1 CMV 1 RSV | 30 Macrolides Thirty-seven patients received antibiotics; however, agents were not reported. | Serum antibody test (IgM) | 6 | Co-infection never increased patients’ length of stay or decreased time of SARS-CoV-2 virological clearance. |
| Pongpirul et al., 2020 [37], Thailand | Retrospective case series, multi-center | 11 | 11 (100) | Median (IQR), 61 (28–74) | 6 (54.5) | 0 | 0 | 0 | 5 (45.4) | - | 2 (18.2) | 4 H. influenzae 1 Adenovirus 1 Influenza A virus 1 K. pneumoniae | 5 Third Generation Cephalosporins 2 Beta-Lactam/Beta-Lactamase Inhibitors | RT-PCR via nasopharyngeal and oropharyngeal swabs and sputum specimens | 8 | Nasopharyngeal and oropharyngeal swabs and sputum specimens were also tested for 33 respiratory pathogens. |
| Ramadan et al., 2020 [21], Egypt | Prospective cohort, multi- center | 260 | 28 (10.8) | Most common age range was between 51 and 70 years (36.2%) | 144 (55.4) | 60 (23) | 8 (13.3) | 24 (40) | 28 (10.8) | 5 (1.9) | - | 5 S. aureus 2 S. pneumoniae 1 E. faecalis 12 K. pneumoniae 7 A. baumannii 4 E. coli 4 P. aeruginosa 2 Enterobacter cloacae 3 Candida albicans 2 Candida glabrata | 28 Macrolides | Respiratory and blood cultures | 7 | Eight (28.6%) patients who had co-infections were moderate cases, while 20 (71.4%) were detected in severe COVID-19 patients. Mortality in 25% of SARS-CoV-2 patients was due to co-infections and increased SARS-CoV-2 severity and complications were observed in co-infected patients. Bacterial co-infection and multidrug resistance among patients with COVID-19 in Upper Egypt is common. |
| Richardson et al., 2020 [38], United States | Retrospective case series, multi-center | 1996 | 42 (2.1) | Not reported | Not reported | Not reported | Not reported | Not reported | Not reported | - | Not reported | 22 Enterovirus/Rhinovirus 7 Coronavirus (non–COVID-19) 4 RSV 3 Parainfluenza 3 2 C. pneumoniae 2 HMPV 1 Influenza A virus 1 M. pneumoniae | Not reported | Respiratory viral panel | 8 | Most patients were obese (60.7% had a BMI≥30) and old (median (IQR): 63 (52–75)). |
| Rutsaert et al., 2020 [39], Belgium | Retrospective case series, single center | 34 | 6 (17.6) | Median (IQR), 74 (38–86) | 6 (100) | 6 (100) | 6 (100) | 4 (66.7) | - | 6 (17.6) | - | 5 Aspergillus fumigatus 1 Aspergillus flavus | 5 Antifungals | Culture from respiratory specimens and GM detection in the BAL and serum | 6 | Patients were old and had deteriorating outcomes due to many medical conditions and risk factors. |
| Schirmer et al., 2021 [13], United States | Retrospective cohort, multi-center | 3757 | 56 (1.5) | Median (IQR), 68 (56–74) | 55 (98) | 10 (26) | Not reported | 10 (18) | 1 (0.03) | - | 55 (1.5) | 2 Adenovirus 1 C. pneumoniae 13 Coronaviruses (HKU1, NL63, 229E, & OC43) 3 HMPV 2 Parainfluenza virus 4 12 Influenza A virus 3 Influenza B virus 4 RSV 19 Rhinovirus/Enterovirus | Not reported | Molecular and/or viral culture respiratory assays [multiplex respiratory pathogen panels] | 6 | Individuals with COVID-19 co-infection had higher odds of being male. |
| Sepulveda et al., 2020 [61], United States | Retrospective cohort, multi- center | 4185 | 159 (3.8) | Not reported | Not reported | Not reported | Not reported | Not reported | 156 (3.7) | 3 (0.07) | - | 39 Staphylococcus epidermidis 28 Staphylococcus hominis 8 E. coli 8 Staphylococcus haemolyticus 8 CoNS 5 Corynebacterium 5 Enterobacter cloacae complex 5 Micrococcus luteus 5 Staphylococcus warneri 1 Actinomyces turicensis 1 Aerococcus urinae 1 Candida glabrata 1 Comamonas estosterone 1 Dolosigranulum pigrum 1 Eneterobacter 1 Enterococcus faecium, Vancomycin-Resistant 1 Globicatella sanguinis 1 Granulicatella adiacens 1 Kocuria marina 1 Moraxella osloensis 1 Rothia aeria 1 S. aureus 1 Staphylococcus auricularis 1 Staphylococcus lugdunensis 1 Streptococcus intermedius 1 Streptococcus sanguinis 2 Enterococcus faecalis 2 E. coli 2 Fusobacterium spp. 2 Lactobacillus 2 Streptococci, Viridans Group 2 Streptococcus anginosus 2 Streptococcus spp. 6 K. pneumoniae 6 MSSA 11 Staphylococcus capitis 10 Methicillin Susceptible- CoNS 9 Bacillus non-anthracis 7 Methicillin Resistant-CoNS 4 MRSA 3 Candida albicans | Not reported | Blood cultures | 6 | Rate of bacteremia was significantly lower among COVID-19 patients (3.8%) than among COVID-19-negative patients (8.0%) (p < 0.001). More than 98% of all positive cultures were detected within 4 days of incubation. The most common causes of true bacteremia among COVID-19 patients were E. coli (16.7%), S. aureus (13.3%), K. pneumoniae (10.0%), and Enterobacter cloacae complex (8.3%). |
| Singh et al., 2021 [62], United States | Retrospective cohort, multi-center | 4259 | 1,558 (36.59) | Mean (SD), 45.21 (20.43) | 692 (44.4) | Not reported | Not reported | Not reported | 517 (12.1) | - | 53 (1.2) | 53 H. influenzae 75 S. aureus 1 Bordetella pertussis 1 C. pneumoniae 11 K. pneumoniae 1 M. pneumoniae 49 S. pneumoniae 2 Adenovirus 1 Coronavirus 1 Herpes virus 5 12 EBV 1 RSV 3 Rhinovirus 1 HSV 1 HMPV 1 PIV 1 Influenza virus | Not reported | RT-PCR for respiratory specimens | 6 | Co-infections were significantly higher in the older age group (60+ years). |
| Song et al., 2020 [63], China | Retrospective cohort, single center | 89 | 18 (20.2) | Median (IQR), 35.5 (15–76) | Not reported | 2 (11.1) | Not reported | Not reported | 18 (20.2) | - | - | 6 K. pneumoniae 5 E. coli 4 M. catarrhalis 4 H. influenzae 2 A. baumannii 2 S. aureus 1 P. aeruginosa 1 Streptococcus Group A | Not reported | RT-PCR for respiratory specimens | 6 | Authors did not detect co-infection of SARS-CoV-2 with other viruses. |
| Sun et al., 2020 [40], China | Retrospective case series, single center | 36 | ≈23 (62.86) | Mean (range), 6.43 months (2–12 months) | 22 (61.11) | 1 (2.78) | 1 (2.78) | 1 (2.78) | 1 (2.8) | - | 1 (2.8) | 1 M. pneumonia 1 Influenza A virus | 15 Second Generation Cephalosporins15 Macrolides | Unspecified | 6 | Co-infections were common in infants with COVID-19, which were different from adults with COVID-19; however, authors never provided details of all co-pathogens. |
| Tagarro et al., 2021 [41], Spain | Retrospective case series, multi-center | 41 | 2 (4.8) | Mean (range), 1 (0–15) | Females were > males | 4 (9.7) | 1 (2) | 0 | - | - | 2 (4.9) | 2 Influenza B virus | Not reported | Unspecified | 7 | Most patients who tested positive for SARS-CoV-2 had no comorbidities (67%). |
| Tang et al., 2021 [64], China | Retrospective cohort, single center | 78 | 11 (14.1) | Mean (SD), 42.7 (14.9) | 41 (52.6) | 2 (18.2) | 2 (18.2) | 0 | 6 (7.7) | - | 6 (7.7) | 5 M. pneumoniae 4 RSV 2 C. pneumoniae 1 Influenza B virus 1 Adenoviruses 1 Legionella pneumophila | 48 Fluoroquinolones 5 Beta-Lactam/Beta-Lactamase Inhibitors 3 Linezolid 1 Vancomycin 3 Carbapenems | Serum antibody test (IgM) | 6 | SARS-CoV-2 patients with co-infections had significantly higher levels of procalcitonin compared to SARS-CoV-2 patients with no co-infections (p = 0.002). |
| Thelen et al., 2021 [65], The Netherlands | Retrospective cohort, multi-center | 678 | 61 (9) | Median (IQR), 70 (58–78) | 443 (65.1) | 6 (0.9) | Not reported | Not reported | 61 (9) | - | - | 2 E. coli 1 K. pneumoniae 1 P. aeruginosa 2 S. pneumoniae 1 Other Streptococcus spp. 1 S. aureus 55 CoNS 1 Corynebacterium spp. | Not reported | RT-PCR for respiratory specimens AND blood cultures | 6 | Prevalence of co-infection in SARS-CoV-2 patients was very low compared to influenza patient group. |
| Van Arkel et al., 2020 [42], The Netherlands | Retrospective case series, single center | 31 | 6 (19.3) | Median (IQR), 62.5 (43–83) | 6 (100) | 6 (100) | 6 (100) | 4 (66.7) | - | - | 5 Aspergillus fumigatus | 6 Antifungals | Culture from respiratory specimens and GM detection in the BAL, tracheal aspirates, and serum. | 6 | Pulmonary aspergillosis co-infections occurred after a median of 11.5 days (8–42) after COVID-19 symptom onset and at a median of 5 days (3–28) after ICU admission. | |
| Wang L et al., 2021 [22], United Kingdom | Retrospective cohort, multi- center | 1396 | 37 (2.7) | Median (IQR), 76 (64–82) | 28 (75.7) | 11 (29.7) | Not reported | 10 (27) | 37 (2.7) | 4 (0.3) | - | 12 E. coli 2 K. pneumoniae 2 Klebsiella variicola 4 Proteus mirabilis 2 P. aeruginosa 1 MRSA 7 MSSA 1 Staphylococcus epidermidis 1 Candida albicans 2 Group A Streptococcus 1 H. influenzae 3 Candida spp. 2 Enterococcus faecalis 3 S. pneumoniae 1 Serratia spp. 1 Klebsiella oxytoca 1 Streptococcus anginosus 1 Bacteroides ovatus 1 Granulicatella adiacens 1 S. aureus | Not reported | Unspecified | 7 | ICU admission and mortality were not different in SARS-CoV-2 patients with co-infections compared to SARS-CoV-2 patients without co-infections [215 (15.8%) vs. 11 (29.7%), p = 0.075] and [410 (30.2%) vs. 10 (27.0%), p = 0.68], respectively. Bacterial co-infection was infrequent in hospitalized COVID-19 patients within 48 hours of admission. |
| Wang R et al., 2020 [43], China | Retrospective case series, single center | 118 | 35 (29.7) | Mean (SD), 38.76 (13.79) | (56.8) | 19 (16.1) | 4 (3.4) | 0 | 35 (29.7) | - | 1 (0.8) | 40 M. pneumoniae 1 Adenovirus 1 Influenza B virus 1 Influenza A virus | Seventy-nine patients received antibiotics; however, agents were not reported. | Serum Antibody test (IgM) | 6 | Old age, chronic underlying diseases, and smoking history may be risk factors that worsen SARS-CoV-2 disease. |
| Wang Y et al., 2020 [44], China | Retrospective case series, single center | 55 | 4 (7.3) | Median (IQR), 49 (2–69) | 22 (40) | 0 | 0 | 0 | 3 (12.7) | - | 1 (1.8) | 1 EBV 3 M. pneumoniae | Not reported | Serologically | 7 | All patients included in this study had laboratory-confirmed positive results for SARS-CoV-2 and were asymptomatic. |
| Wang Z et al., 2020 [45], China | Retrospective case series, single center | 29 sputum 28 blood | 5 (17.2) 4 (14.3) | Majority (51%) were in the range (30–49) | Females were > males | Not reported | Not reported | 5 (7.5) | 5 (≈17.2) | 2 (6.9) | 2 (7.1) | 2 Candida albicans 2 Enterobacter cloacae 1 A. baumannii 2 Chlamydia 1 RSV 1 Adenovirus | 39 Fluoroquinolones 8 Antifungals | Serum Antibody test (IgM, IgG) | 7 | Source of patients’ samples tested for co-pathogens were sputum and blood. |
| Wee et al., 2020 [66], Singapore | Prospective cohort, single center | 431 | 6 (1.4) | Mean (SD), 29.2 (1.7) | 6 (100) | 0 | 0 | 0 | 0 | - | 6 (1.4) | 3 Rhinovirus 2 Parainfluenza 1 Other coronavirus (229E/NL63/OC43) | Not reported | RT-PCR for respiratory specimens | 6 | Co-infections in patients with SARS-CoV-2 shown no increase in morbidity or mortality. All cases of COVID-19 co-infections were young, healthy, and had no medical comorbidities. |
| Wu C et al., 2020 [67], China | Retrospective cohort, single center | 173 | 1 (0.6) | Majority (80.1%) had a median age <65 | Males were > females | 53 (26.4) | 67 (33.3) | 44 (21.9) | - | - | 1 (0.6) | 1 Influenza A virus | Not reported | RT-PCR for respiratory specimens [viruses] AND sputum culture [bacteria and fungi] | 8 | Most (n = 173 [86.1%]) patients were tested for 9 additional respiratory pathogens. Bacteria and fungi cultures were collected from 148 (73.6%) patients. |
| Wu Q et al., 2020 [46], China | Retrospective case series, multi-center | 34 | 19 (55.9) | Range (≤3 month to >10 years) | Males were > females | 0 | 1 (2.9) | 0 | 16 (47) | - | 10 (29.4) | 16 M. pneumoniae 2 RSV 2 EBV 3 CMV 1 Influenza A virus 1 Influenza B virus | 15 Macrolides | Unspecified | 7 | Nearly one-half of the infected children had co-infection with other common respiratory pathogens. |
| Xia et al., 2020 [47], China | Retrospective case series, single center | 20 | 8 (40) | Range (<1 month to >6 years) | Males were > females | 0 | 0 | 0 | 4 (20) | - | 5 (25) | 1 CMV 2 Influenza B virus 1 Influenza A virus 4 Mycoplasma 1 RSV | Not reported | Unspecified | 5 | Procalcitonin increased in most of the cases (80%). |
| Yang et al., 2020 [48], China | Retrospective case series, single center | 52 | 7 (13.5) | Majority (73%) were in the range (50–79) | Males were > females | 52 (100) | 37 (71) | 32 (61.5) | 4 (7.7) | 3 (5.8) | - | 2 K. pneumoniae 1 Aspergillus flavus 1 Aspergillus fumigatus 1 P. aeruginosa 1 Serratia marcescens 1 Candida albicans | Forty-nine patients received antibiotics; however, agents were not reported. | Respiratory and blood cultures | 8 | Those isolated pathogens caused hospital-acquired infections. |
| Yue et al., 2020 [68], China | Retrospective cohort, single center | 307 | 176 (57.3) | Mean (SD), 60.3 (16.5) | 75 (42.6) | Not reported | Not reported | Not reported | - | - | 176 (57.3) | 153 Influenza A virus 23 Influenza B virus | None | Serum antibody test (IgM) | 6 | Patients co-infected with SARS-CoV-2 and Influenza B virus developed poor outcomes (30.4% vs. 5.9%). |
| Zha et al., 2020 [82], China | Retrospective case series, single center | 874 | 22 (2.5) | Median (IQR), 56.5 (52.5–66.5) | 11 (50) | Not reported | Not reported | 1 (4.5) | 22 (2.5) | - | - | 22 M. pneumoniae | 18 Fluoroquinolones 11 Cephalosporins 3 Beta-Lactam/Beta-Lactamase Inhibitors | RT-PCR for respiratory specimens OR serum antibody test (IgM) | 6 | Length of cough was longer in the M. pneumoniae co-infection group (20 vs. 16.25, p = 0.043), while the length of hospital stay was slightly longer (16 vs. 14, p = 0.145). |
| Zhang et al., 2020 [50], China | Retrospective case series, single center | 140 | 7 (5) | Majority (70%) were > 50 | 1:1 ratio | Not reported | Not reported | Not reported | 5 (3.6) | - | 2 (1.4) | 5 M. pneumonia 1 RSV 1 EBV | Not reported | Serum antibody test (IgM, IgG) | 5 | No clinical and radiological signs of co-infection caused by these pathogens were identified. Increased procalcitonin (p = 0.004) was more commonly observed in severe patients. |
| Zhao et al., 2020 [69], China | Prospective cohort, multi-center | 19 | 2 (10.5) | Median (IQR), 48 (27–56) | Males were > females | 0 | 0 | 0 | 1 (5.3) | - | 1 (5.3) | 1 Coxsackie virus 1 Mycoplasma | None | RT-PCR for respiratory specimens AND serum antibody test (IgM) | 6 | Sample size was very small. |
| Zheng F et al., 2020 [49], China | Retrospective case series, multi-center | 25 | 6 (24) | Range (1 month to ≥6 years) | Males were > females | 2 (8) | 2 (8) | 0 | 4 (16) | - | 2 (8) | 2 Influenza B virus 3 M. pneumonia 1 Klebsiella aerogenes | 1 Beta-Lactam/Beta-Lactamase Inhibitors 1 Carbapenems 1 Linezolid | Unspecified | 5 | Highest incidence of infection occurred in children aged <3 years. |
| Zheng X et al., 2020 [70], China | Retrospective cohort, single center | 1001 | 4 (0.4) | Mean (SD), 35 (19.6) | 1:1 | 0 | 0 | 0 | - | - | 4 (0.4) | 3 Influenza A virus 3 Influenza B virus | Three patients received antibiotics; however, agents were not reported. | RT-PCR for respiratory specimens | 7 | Patients with both SARS-CoV-2 and influenza virus infection showed similar clinical characteristics to those patients with SARS-CoV-2 infection only. Co-infection of SARS-CoV-2 and influenza viruses was low. |
| Zhu et al., 2020 [4], China | Retrospective cohort, single center | 257 | 243 (94.5) | Median (IQR), 51 (2−99) | 138 (53.7) | 3 (1.2) | 0 | 0 | 236 (91.8) | 60 (23.3) | 81 (31.5) | 153 S. pneumoniae 143 K. pneumoniae 103 H. influenza 60 Aspergillus 52 EBV 24 E. coli 21 S. aureus 12 Rhinovirus 12 P. aeruginosa 11 M. catarrhalis 10 Adenovirus 8 HSV 7 A. baumannii 6 C. pneumoniae 6 Mucor 5 Influenza B 4 M. pneumonia 3 Bordetella pertussis 2 Candida 3 CMV 2 Influenza A virus 1 Bocavirus 1 HMPV 1 Cryptococcus | Not reported | RT-PCR for respiratory specimens | 7 | Highest and lowest rates of co-infections were found in patients aged 15–44 and below 15, respectively. Most co-infections occurred within 1–4 days of onset of COVID-19 disease. Proportion of viral, fungal and bacterial co-infections were the highest in severe COVID-19 cases. |
| Bacterial Pathogen Type | Identified Number (%) | Bacterial Pathogen Type | Identified Number (%) |
|---|---|---|---|
| S. aureus | 1,095 (31.6) | Corynebacterium spp. | 6 (0.2) |
| M. catarrhalis | 352 (10.1) | Bordetella pertussis | 5 (0.1) |
| M. pneumoniae | 338 (9.7) | Micrococcus luteus | 5 (0.1) |
| S. pneumoniae | 316 (9.1) | Citrobacter koseri | 4 (0.1) |
| C. pneumoniae | 261 (7.5) | Hafnia alvei | 3 (0.1) |
| K. pneumoniae | 259 (7.5) | S. maltophilia | 3 (0.1) |
| H. influenzae | 197 (5.7) | Streptococcus anginosus | 3 (0.1) |
| CoNS | 115 (3.3) | Streptococcus Group A | 3 (0.1) |
| E. coli | 65 (1.9) | Burkholderia cepacia | 3 (0.1) |
| P. aeruginosa | 48 (1.4) | Bacteroides spp. | 3 (0.1) |
| Staphylococcus epidermidis | 42 (1.2) | Stephanoascus ciferrii | 3 (0.1) |
| MSSA | 31 (0.9) | Elizabethkingia meningosepticum | 2 (0.1) |
| Other Enterococcus spp. | 31 (0.9) | Granulicatella adiacens | 2 (0.1) |
| Staphylococcus hominis | 28 (0.8) | Lactobacillus | 2 (0.1) |
| A. baumannii | 24 (0.7) | Streptococci agalactiae | 2 (0.1) |
| Enterococcus faecium | 23 (0.7) | Fusobacterium spp. | 2 (0.1) |
| MRSA | 18 (0.5) | Aerococcus urinae | 1 (0.03) |
| Enterococcus faecalis | 17 (0.5) | Streptococcus intermedius | 1 (0.03) |
| Other Klebsiella spp. | 15 (0.4) | Streptococcus sanguinis | 1 (0.03) |
| Enterobacter cloacae | 15 (0.4) | Actinomyces turicensis | 1 (0.03) |
| Pseudomonas spp. | 13 (0.4) | Providencia spp. | 1 (0.03) |
| Streptococcus pneumoniae | 12 (0.3) | Ralstonia mannitolilytica | 1 (0.03) |
| Staphylococcus capitis | 11 (0.3) | Rothia aeria | 1 (0.03) |
| Methicillin Susceptible- CoNS | 10 (0.3) | Legionella pneumophila | 1 (0.03) |
| Other Streptococcus spp. | 9 (0.3) | Clostridium perfringens | 1 (0.03) |
| Proteus mirabilis | 9 (0.3) | Comamonas testosteroni | 1 (0.03) |
| Bacillus non-anthracis | 9 (0.3) | Dolosigranulum pigrum | 1 (0.03) |
| Other Staphylococcus spp. | 8 (0.2) | Globicatella sanguinis | 1 (0.03) |
| Serratia marcescens | 8 (0.2) | Kocuria marina | 1 (0.03) |
| Staphylococcus haemolyticus | 8 (0.2) | Morganella morganii | 1 (0.03) |
| Stenotrophomonas maltophilia | 8 (0.2) | Moraxella osloensis | 1 (0.03) |
| Methicillin Resistant- CoNS | 7 (0.2) |
| Fungal Pathogen Type | Identified Number (%) |
|---|---|
| Aspergillus spp. | 68 (35.4) |
| Aspergillus fumigatus | 43 (22.4) |
| Other Candida spp. | 29 (15.1) |
| Candida albicans | 25 (13) |
| Aspergillus flavus | 10 (5.2) |
| Mucor | 6 (3.1) |
| Candida glabrata | 5 (2.6) |
| Aspergillus niger | 4 (2.1) |
| Aspergillus terreus | 1 (0.5) |
| Cryptococcus | 1 (0.5) |
| Respiratory Viral Pathogen Type | Identified Number (%) |
|---|---|
| EBV | 644 (26.9) |
| HHV6 | 574 (24) |
| Influenza A virus | 355 (14.8) |
| HMPV | 328 (13.7) |
| Adenovirus | 144 (6) |
| Influenza B virus | 68 (2.8) |
| Rhinovirus/Enterovirus | 68 (2.8) |
| RSV | 52 (2.2) |
| Parainfluenza [1, 2, 3 and 4] virus | 29 (1.2) |
| HcoV-OC43 | 11 (0.5) |
| Rhinovirus | 22 (0.9) |
| Influenza virus (H1N1) | 18 (0.8) |
| HcoV-HKU1 | 16 (0.7) |
| HcoV-NL63 | 13 (0.5) |
| Bocavirus | 10 (0.4) |
| HSV | 10 (0.4) |
| HcoV-229E | 9 (0.4) |
| CMV | 8 (0.3) |
| MERS-CoV | 8 (0.3) |
| Enterovirus | 1 (0.04) |
| Rotavirus | 1 (0.04) |
| Coxsackie virus | 1 (0.04) |
| Human Coronavirus 229E | 1 (0.04) |
| Herpes virus 5 | 1 (0.04) |
Publisher’s Note: MDPI stays neutral with regard to jurisdictional claims in published maps and institutional affiliations. |
© 2021 by the authors. Licensee MDPI, Basel, Switzerland. This article is an open access article distributed under the terms and conditions of the Creative Commons Attribution (CC BY) license (https://creativecommons.org/licenses/by/4.0/).
Share and Cite
Alhumaid, S.; Al Mutair, A.; Al Alawi, Z.; Alshawi, A.M.; Alomran, S.A.; Almuhanna, M.S.; Almuslim, A.A.; Bu Shafia, A.H.; Alotaibi, A.M.; Ahmed, G.Y.; et al. Coinfections with Bacteria, Fungi, and Respiratory Viruses in Patients with SARS-CoV-2: A Systematic Review and Meta-Analysis. Pathogens 2021, 10, 809. https://doi.org/10.3390/pathogens10070809
Alhumaid S, Al Mutair A, Al Alawi Z, Alshawi AM, Alomran SA, Almuhanna MS, Almuslim AA, Bu Shafia AH, Alotaibi AM, Ahmed GY, et al. Coinfections with Bacteria, Fungi, and Respiratory Viruses in Patients with SARS-CoV-2: A Systematic Review and Meta-Analysis. Pathogens. 2021; 10(7):809. https://doi.org/10.3390/pathogens10070809
Chicago/Turabian StyleAlhumaid, Saad, Abbas Al Mutair, Zainab Al Alawi, Abeer M. Alshawi, Salamah A. Alomran, Mohammed S. Almuhanna, Anwar A. Almuslim, Ahmed H. Bu Shafia, Abdullah M. Alotaibi, Gasmelseed Y. Ahmed, and et al. 2021. "Coinfections with Bacteria, Fungi, and Respiratory Viruses in Patients with SARS-CoV-2: A Systematic Review and Meta-Analysis" Pathogens 10, no. 7: 809. https://doi.org/10.3390/pathogens10070809
APA StyleAlhumaid, S., Al Mutair, A., Al Alawi, Z., Alshawi, A. M., Alomran, S. A., Almuhanna, M. S., Almuslim, A. A., Bu Shafia, A. H., Alotaibi, A. M., Ahmed, G. Y., Rabaan, A. A., Al-Tawfiq, J. A., & Al-Omari, A. (2021). Coinfections with Bacteria, Fungi, and Respiratory Viruses in Patients with SARS-CoV-2: A Systematic Review and Meta-Analysis. Pathogens, 10(7), 809. https://doi.org/10.3390/pathogens10070809

