Hematological Features in Sheep with IgG and IgM Antibodies against Borrelia burgdorferi sensu lato
Abstract
:1. Introduction
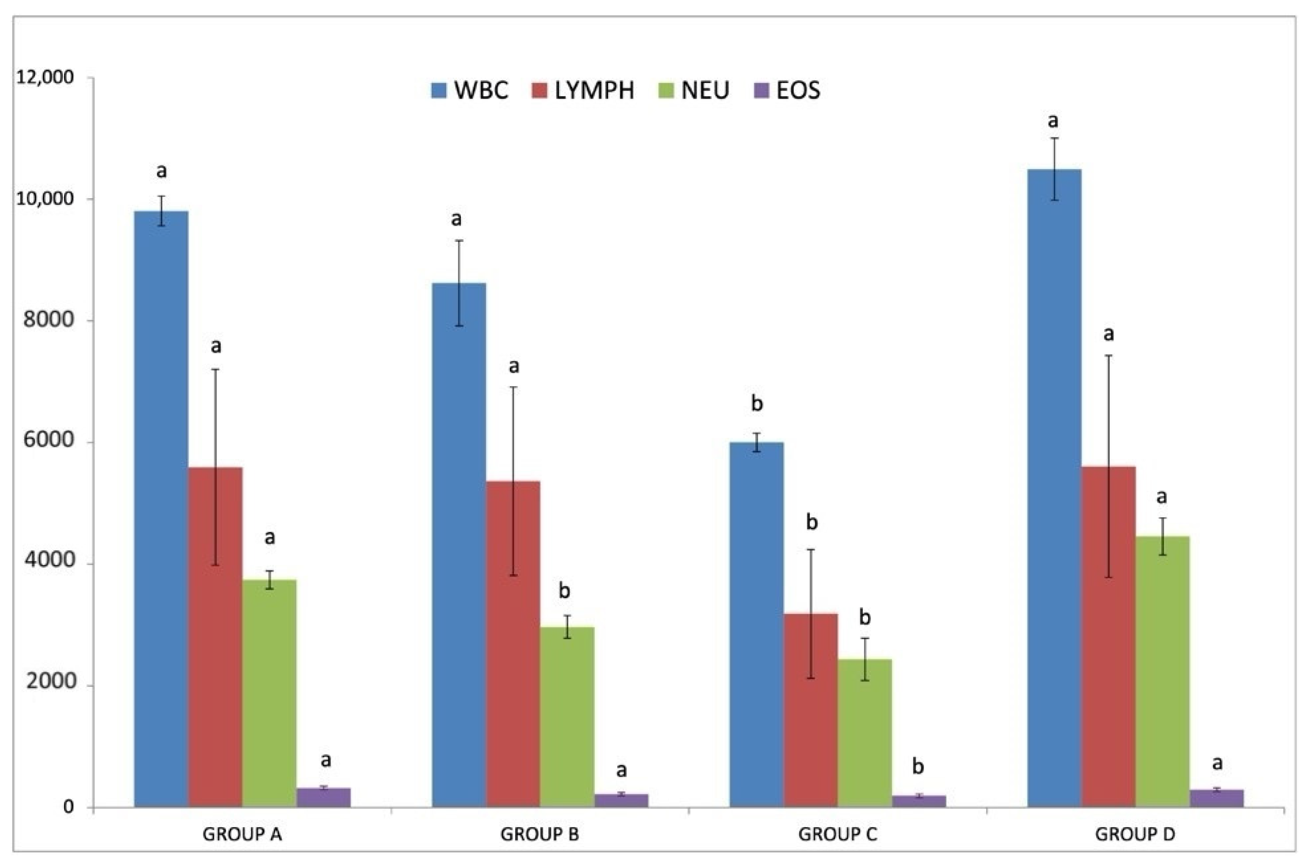
2. Results
3. Discussion
4. Materials and Methods
4.1. Sample Size
4.2. Inclusion Criteria
4.3. Blood Sampling
4.4. Complete Blood Count
4.5. Indirect Immunofluorescence Antibody (IFA) Assay
4.6. Groups
4.7. Data Analysis
5. Conclusions
Author Contributions
Funding
Institutional Review Board Statement
Informed Consent Statement
Data Availability Statement
Conflicts of Interest
References
- Parte, A.C. LPSN—List of prokaryotic names with standing in nomenclature. Nucleic Acids Res. 2014, 42, D613–D616. [Google Scholar] [CrossRef][Green Version]
- Kingry, L.C.; Anacker, M.; Pritt, B.; Bjork, J.; Respicio-Kingry, L.; Liu, G.; Sheldon, S.; Boxrud, D.; Strain, A.; Oatman, S.; et al. Surveillance for and Discovery of Borrelia Species in US Patients Suspected of Tickborne Illness. Clin. Infect. Dis. 2018, 66, 1864–1871. [Google Scholar] [CrossRef]
- Baranton, G.; Assous, M.; Postic, D. [Three bacterial species associated with Lyme borreliosis. CLinical and diagnostic implications]. Bull. Acad. Natl. Med. 1992, 176, 1075–1085; discussion 1085–1076. [Google Scholar]
- Mead, P.S. Epidemiology of Lyme disease. Infect. Dis. Clin. N. Am. 2015, 29, 187–210. [Google Scholar] [CrossRef]
- Steere, A.C.; Strle, F.; Wormser, G.P.; Hu, L.T.; Branda, J.A.; Hovius, J.W.R.; Li, X.; Mead, P.S. Lyme borreliosis. Nat. Rev. Dis. Primers 2016, 2, 16090. [Google Scholar] [CrossRef]
- Centers for Disease Control and Prevention (CDC). Regions Where Ticks Live. Available online: https://www.cdc.gov/ticks/geographic_distribution.html (accessed on 24 January 2021).
- Pavlidou, V.; Gerou, S.; Kahrimanidou, M.; Papa, A. Ticks infesting domestic animals in northern Greece. Exp. Appl. Acarol. 2008, 45, 195–198. [Google Scholar] [CrossRef]
- Chaligiannis, Ι.; Fernández de Mera, I.G.; Papa, A.; Sotiraki, S.; de la Fuente, J. Molecular identification of tick-borne pathogens in ticks collected from dogs and small ruminants from Greece. Exp. Appl. Acarol. 2018, 74, 443–453. [Google Scholar] [CrossRef]
- Moraga-Fernández, A.; Chaligiannis, Ι.; Cabezas-Cruz, A.; Papa, A.; Sotiraki, S.; de la Fuente, J.; de Mera, I.G.F. Molecular identification of spotted fever group Rickettsia in ticks collected from dogs and small ruminants in Greece. Exp. Appl. Acarol. 2019, 78, 421–430. [Google Scholar] [CrossRef]
- Norte, A.C.; Margos, G.; Becker, N.S.; Albino Ramos, J.; Núncio, M.S.; Fingerle, V.; Araújo, P.M.; Adamík, P.; Alivizatos, H.; Barba, E.; et al. Host dispersal shapes the population structure of a tick-borne bacterial pathogen. Mol. Ecol. 2020, 29, 485–501. [Google Scholar] [CrossRef]
- Comstedt, P.; Bergström, S.; Olsen, B.; Garpmo, U.; Marjavaara, L.; Mejlon, H.; Barbour, A.G.; Bunikis, J. Migratory passerine birds as reservoirs of Lyme borreliosis in Europe. Emerg. Infect. Dis. 2006, 12, 1087–1095. [Google Scholar] [CrossRef]
- Dumic, I.; Severnini, E. “Ticking Bomb”: The Impact of Climate Change on the Incidence of Lyme Disease. Can. J. Infect. Dis. Med. Microbiol. 2018, 2018, 5719081. [Google Scholar] [CrossRef] [PubMed][Green Version]
- Lindgren, E.; Jaenson, T.G.T. Lyme Borreliosis in Europe. Influences of Climate and Climate Change, Epidemiology, Ecology and Adaptation Measures; WHO/Europe: Geneva, Switzerland, 2006; p. 34. [Google Scholar]
- WHO. Vector-Borne Diseases. Available online: https://www.who.int/news-room/fact-sheets/detail/vector-borne-diseases (accessed on 28 December 2020).
- WHO. Lyme Borreliosis (Lyme Disease). Available online: https://www.who.int/ith/diseases/lyme/en/ (accessed on 29 December 2020).
- WHO/Europe. Lyme Borreliosis in Europe. Available online: https://www.euro.who.int/__data/assets/pdf_file/0008/246167/Fact-sheet-Lyme-borreliosis-Eng.pdf (accessed on 29 December 2020).
- Sykes, R.A.; Makiello, P. An estimate of Lyme borreliosis incidence in Western Europe†. J. Public Health 2017, 39, 74–81. [Google Scholar] [CrossRef][Green Version]
- Antoniou, M.; Tselentis, Y.; Babalis, T.; Gikas, A.; Stratigakis, N.; Vlachonikolis, I.; Kafatos, A.; Fioretos, M. The seroprevalence of ten zoonoses in two villages of Crete, Greece. Eur. J. Epidemiol. 1995, 11, 415–423. [Google Scholar] [CrossRef] [PubMed]
- Santino, I.; Dastoli, F.; Sessa, R.; Del Piano, M. Geographical incidence of infection with Borrelia burgdorferi in Europe. Panminerva Med. 1997, 39, 208–214. [Google Scholar] [PubMed]
- Chatzipanagiotou, S.; Papandreou-Rakitzis, P.; Malamou-Ladas, H.; Antoniou, P. Determination of antibody titres for Borrelia burgdorferi in the serum of gipsies living in Attika, Greece. Eur. J. Clin. Microbiol. Infect. Dis. 1992, 11, 477–478. [Google Scholar] [CrossRef]
- Stamouli, M.; Totos, G.; Braun, H.B.; Michel, G.; Gizaris, V. Very low seroprevalence of Lyme borreliosis in young Greek males. Eur. J. Epidemiol. 2000, 16, 495–496. [Google Scholar] [CrossRef]
- Athanasiou, L.V.; Kontos, V.I.; Kritsepi Konstantinou, M.; Polizopoulou, Z.S.; Rousou, X.A.; Christodoulopoulos, G. Cross-Sectional Serosurvey and Factors Associated with Exposure of Dogs to Vector-Borne Pathogens in Greece. Vector Borne Zoonotic Dis. 2019, 19, 923–928. [Google Scholar] [CrossRef]
- Angelou, A.; Gelasakis, A.I.; Verde, N.; Pantchev, N.; Schaper, R.; Chandrashekar, R.; Papadopoulos, E. Prevalence and risk factors for selected canine vector-borne diseases in Greece. Parasites Vectors 2019, 12, 283. [Google Scholar] [CrossRef]
- Kostopoulou, D.; Gizzarelli, M.; Ligda, P.; Foglia Manzillo, V.; Saratsi, K.; Montagnaro, S.; Schunack, B.; Boegel, A.; Pollmeier, M.; Oliva, G.; et al. Mapping the canine vector-borne disease risk in a Mediterranean area. Parasites Vectors 2020, 13, 282. [Google Scholar] [CrossRef]
- Ben Said, M.; Belkahia, H.; Alberti, A.; Abdi, K.; Zhioua, M.; Daaloul-Jedidi, M.; Messadi, L. First molecular evidence of Borrelia burgdorferi sensu lato in goats, sheep, cattle and camels in Tunisia. Ann. Agric. Environ. Med. 2016, 23, 442–447. [Google Scholar] [CrossRef]
- Helmy, N. Seasonal abundance of Ornithodoros (O.) savignyi and prevalence of infection with Borrelia spirochetes in Egypt. J. Egypt Soc. Parasitol. 2000, 30, 607–619. [Google Scholar] [PubMed]
- Trávnicek, M.; Stefancikova, A.; Nadzamová, D.; Stanko, M.; Cislákova, L.; Pet’ko, B.; Mardzinová, S.; Bhide, M.R. Seroprevalence of anti-Borrelia burgdorferi antibodies in sheep and goats from mountainous areas of Slovakia. Ann. Agric. Environ. Med. 2002, 9, 153–155. [Google Scholar] [PubMed]
- Ciceroni, L.; Simeoni, J.; Pacetti, A.I.; Ciarrocchi, S.; Cacciapuoti, B. Antibodies to Borrelia burgdorferi in sheep and goats. Alto Adige-South Tyrol, Italy. New Microbiol. 1996, 19, 171–174. [Google Scholar]
- Fridriksdóttir, V.; Nesse, L.L.; Gudding, R. Seroepidemiological studies of Borrelia burgdorferi infection in sheep in Norway. J. Clin. Microbiol. 1992, 30, 1271–1277. [Google Scholar] [CrossRef][Green Version]
- Nadelman, R.B.; Wormser, G.P. Lyme borreliosis. Lancet 1998, 352, 557–565. [Google Scholar] [CrossRef]
- Nadelman, R.B. Erythema migrans. Infect. Dis. Clin. N. Am. 2015, 29, 211–239. [Google Scholar] [CrossRef]
- Burgess, E.C. Borrelia burdgorferi Infection in Wisconsin Horses and Cows. Ann. N. Y. Acad. Sci. 1988, 539, 235–243. [Google Scholar] [CrossRef]
- Štefančíková, A.; Štěpánová, G.; Derdáková, M.; Pet’ko, B.; Kysel’ová, J.; Cigánek, J.; Strojný, L.; Čisláková, L.; Trávniček, M. Serological Evidence for Borrelia burgdorferi Infection Associated with Clinical Signs in Dairy Cattle in Slovakia. Vet. Res. Commun. 2002, 26, 601–611. [Google Scholar] [CrossRef]
- Parker, J.L.; White, K.K. Lyme borreliosis in cattle and horses: A review of the literature. Cornell Vet. 1992, 82, 253–274. [Google Scholar] [PubMed]
- Fridriksdóttir, V.; Overnes, G.; Stuen, S. Suspected Lyme borreliosis in sheep. Vet. Rec. 1992, 130, 323–324. [Google Scholar] [CrossRef] [PubMed]
- Ballard, H.S.; Bottino, G.; Bottino, J. The association of thrombocytopaenia and Lyme disease. Postgrad. Med. J. 1994, 70, 285–287. [Google Scholar] [CrossRef] [PubMed]
- Schneider, T.; Lange, R.; Niederhut, D. Thrombocytopenic purpura caused by Borrelia burgdorferi? Dtsch. Med. Wochenschr. 1988, 113, 1061–1063. [Google Scholar] [CrossRef] [PubMed]
- Baneth, G.; Nachum-Biala, Y.; Halperin, T.; Hershko, Y.; Kleinerman, G.; Anug, Y.; Abdeen, Z.; Lavy, E.; Aroch, I.; Straubinger, R.K. Borrelia persica infection in dogs and cats: Clinical manifestations, clinicopathological findings and genetic characterization. Parasites Vectors 2016, 9, 244. [Google Scholar] [CrossRef] [PubMed][Green Version]
- Borys, M.A.; Kass, P.H.; Mohr, F.C.; Sykes, J.E. Differences in clinicopathologic variables between Borrelia C6 antigen seroreactive and Borrelia C6 seronegative glomerulopathy in dogs. J. Vet. Intern. Med. 2019, 33, 2096–2104. [Google Scholar] [CrossRef] [PubMed][Green Version]
- Katsogiannou, E.G.; Athanasiou, L.V.; Christodoulopoulos, G.; Polizopoulou, Z.S. Diagnostic approach of anemia in ruminants. J. Hell. Vet. Med. Soc. 2018, 69, 1033–1046. [Google Scholar] [CrossRef][Green Version]
- Thrall, M.A. Erythrocyte morphology. In Veterinary Hematology and Clinical Chemistry, 2nd ed.; Jonh Wiley & Sons, Inc.: Ames, IA, USA, 2012; pp. 61–74. [Google Scholar]
- Barger, A.M. Erythrocyte morphology. In Schalm’s Veterinary Hematology, 6th ed.; John Wiley & Sons, Inc.: Ames, IA, USA, 2010; pp. 144–151. [Google Scholar]
- Yang, J.; Liu, Z.; Guan, G.; Li, Y.; Chen, Z.; Ma, M.; Liu, A.; Ren, Q.; Wang, J.; Luo, J.; et al. Comprehensive surveillance of the antibody response to Borrelia burgdorferi s.l. in small ruminants in China. Ann. Agric. Environ. Med. 2015, 22, 208–211. [Google Scholar] [CrossRef][Green Version]
- Locke, J.W. Complement Evasion in Borrelia spirochetes: Mechanisms and Opportunities for Intervention. Antibiotics 2019, 8, 80. [Google Scholar] [CrossRef][Green Version]
- Günthard, H.F.; Péter, O.; Gubler, J. Leukopenia and thrombocytopenia in a patient with early Lyme borreliosis. Clin. Infect. Dis. 1996, 22, 1119–1120. [Google Scholar] [CrossRef] [PubMed][Green Version]
- Brown, S.L.; Hansen, S.L.; Langone, J.J. Role of serology in the diagnosis of Lyme disease. JAMA 1999, 282, 62–66. [Google Scholar] [CrossRef]
- Kalish, R.A.; McHugh, G.; Granquist, J.; Shea, B.; Ruthazer, R.; Steere, A.C. Persistence of immunoglobulin M or immunoglobulin G antibody responses to Borrelia burgdorferi 10–20 years after active Lyme disease. Clin. Infect. Dis. 2001, 33, 780–785. [Google Scholar] [CrossRef][Green Version]
- Nadelman, R.B.; Wormser, G.P. Reinfection in patients with Lyme disease. Clin. Infect. Dis. 2007, 45, 1032–1038. [Google Scholar] [CrossRef][Green Version]
- Burdash, N.; Fernandes, J. Lyme borreliosis: Detecting the great imitator. J. Am. Osteopath. Assoc. 1991, 91, 573–574. [Google Scholar] [CrossRef]
- Tierno, P.M., Jr.; Cadet-Legros, J. Methods Comparison for Diagnosis of Lyme Disease. Lab. Med. 1996, 27, 542–546. [Google Scholar] [CrossRef][Green Version]
- Girschick, H.J.; Huppertz, H.I.; Rüssmann, H.; Krenn, V.; Karch, H. Intracellular persistence of Borrelia burgdorferi in human synovial cells. Rheumatol. Int. 1996, 16, 125–132. [Google Scholar] [CrossRef]
- Diterich, I.; Rauter, C.; Kirschning, C.J.; Hartung, T. Borrelia burgdorferi-induced tolerance as a model of persistence via immunosuppression. Infect. Immun. 2003, 71, 3979–3987. [Google Scholar] [CrossRef] [PubMed][Green Version]
- Magnarelli, L.A.; Anderson, J.F.; Johnson, R.C. Cross-reactivity in serological tests for Lyme disease and other spirochetal infections. J. Infect. Dis. 1987, 156, 183–188. [Google Scholar] [CrossRef]
- Bisias, A.; Kritas, S.; Billinis, C.; Burriel, R. Laboratory investigation of adult small ruminant Leptospirosis, a neglected infection in Greece: Problems and recommendations. J. Hell. Vet. Med. Soc. 2018, 66, 223. [Google Scholar] [CrossRef][Green Version]
- Kraiczy, P.; Hartmann, K.; Hellwage, J.; Skerka, C.; Kirschfink, M.; Brade, V.; Zipfel, P.F.; Wallich, R.; Stevenson, B. Immunological characterization of the complement regulator factor H-binding CRASP and Erp proteins of Borrelia burgdorferi. Int. J. Med. Microbiol. Suppl. 2004, 293, 152–157. [Google Scholar] [CrossRef]
- Liang, F.T.; Jacobs, M.B.; Bowers, L.C.; Philipp, M.T. An immune evasion mechanism for spirochetal persistence in Lyme borreliosis. J. Exp. Med. 2002, 195, 415–422. [Google Scholar] [CrossRef] [PubMed]
- Steere, A.C.; Glickstein, L. Elucidation of Lyme arthritis. Nat. Rev. Immunol. 2004, 4, 143–152. [Google Scholar] [CrossRef] [PubMed]
- Cabello, F.C.; Godfrey, H.P.; Newman, S.A. Hidden in plain sight: Borrelia burgdorferi and the extracellular matrix. Trends Microbiol. 2007, 15, 350–354. [Google Scholar] [CrossRef]
- Alaedini, A.; Latov, N. Antibodies against OspA epitopes of Borrelia burgdorferi cross-react with neural tissue. J. Neuroimmunol. 2005, 159, 192–195. [Google Scholar] [CrossRef]
- Zarember, K.A.; Godowski, P.J. Tissue expression of human Toll-like receptors and differential regulation of Toll-like receptor mRNAs in leukocytes in response to microbes, their products, and cytokines. J. Immunol. 2002, 168, 554–561. [Google Scholar] [CrossRef] [PubMed][Green Version]
- Lazarus, J.J.; Kay, M.A.; McCarter, A.L.; Wooten, R.M. Viable Borrelia burgdorferi Enhances Interleukin-10 Production and Suppresses Activation of Murine Macrophages. Infect. Immun. 2008, 76, 1153–1162. [Google Scholar] [CrossRef][Green Version]
- Dorward, D.W.; Fischer, E.R.; Brooks, D.M. Invasion and cytopathic killing of human lymphocytes by spirochetes causing Lyme disease. Clin. Infect. Dis. 1997, 25 (Suppl. 1), S2–S8. [Google Scholar] [CrossRef][Green Version]
- Wormser, G.P.; McKenna, D.; Carlin, J.; Nadelman, R.B.; Cavaliere, L.F.; Holmgren, D.; Byrne, D.W.; Nowakowski, J. Brief communication: Hematogenous dissemination in early Lyme disease. Ann. Intern. Med. 2005, 142, 751–755. [Google Scholar] [CrossRef]
- Novak, C.; Harrison, A.; Aucott, J. Early Disseminated Lyme Disease with Carditis Complicated by Posttreatment Lyme Disease Syndrome. Case Rep. Infect. Dis. 2017, 2017, 5847156. [Google Scholar] [CrossRef][Green Version]
- Margos, G.; Pantchev, N.; Globokar, M.; Lopez, J.; Rodon, J.; Hernandez, L.; Herold, H.; Salas, N.; Civit, A.; Fingerle, V. First Cases of Natural Infections with Borrelia hispanica in Two Dogs and a Cat from Europe. Microorganisms 2020, 8, 1251. [Google Scholar] [CrossRef] [PubMed]
- Piccione, J.; Levine, G.J.; Duff, C.A.; Kuhlman, G.M.; Scott, K.D.; Esteve-Gasent, M. Tick-Borne Relapsing Fever in Dogs. J. Vet. Intern. Med. 2016, 30. [Google Scholar] [CrossRef] [PubMed]
- Hurtado, O.J.B.; Giraldo-RÌos, C. Economic and Health Impact of the Ticks in Production Animals. Ticks Tick Borne Pathog. 2018. [Google Scholar] [CrossRef][Green Version]
- Parveen, N.; Leong, J.M. Identification of a candidate glycosaminoglycan-binding adhesin of the Lyme disease spirochete Borrelia burgdorferi. Mol. Microbiol. 2000, 35, 1220–1234. [Google Scholar] [CrossRef] [PubMed]
- Williams, L.R.; Austin, F.E. Hemolytic activity of Borrelia burgdorferi. Infect. Immun. 1992, 60, 3224–3230. [Google Scholar] [CrossRef][Green Version]
- Mehrzad, R.; Bravoco, J. Pancytopenia in Lyme disease. BMJ Case Rep. 2014, 2014, bcr2013201079. [Google Scholar] [CrossRef] [PubMed]
- Stefan, N.; Elsner, S.; Schnaidt, M.; Wernet, D.; Stumvoll, M. Autoimmune thrombocytopenia associated with Borrelia burgdorferi. Clin. Infect. Dis. 1999, 28, 927. [Google Scholar] [CrossRef] [PubMed]
- Perine, P.L.; Parry, E.H.; Vukotich, D.; Warrell, D.A.; Bryceson, A.D. Bleeding in louse-borne relapsing fever. I. Clinical studies in 37 patients. Trans. R Soc. Trop. Med. Hyg. 1971, 65, 776–781. [Google Scholar] [CrossRef]
- Alugupalli, K.R.; Michelson, A.D.; Joris, I.; Schwan, T.G.; Hodivala-Dilke, K.; Hynes, R.O.; Leong, J.M. Spirochete-platelet attachment and thrombocytopenia in murine relapsing fever borreliosis. Blood 2003, 102, 2843–2850. [Google Scholar] [CrossRef]
- Alugupalli, K.R.; Michelson, A.D.; Barnard, M.R.; Robbins, D.; Coburn, J.; Baker, E.K.; Ginsberg, M.H.; Schwan, T.G.; Leong, J.M. Platelet activation by a relapsing fever spirochaete results in enhanced bacterium–platelet interaction via integrin αIIbβ3 activation. Mol. Microbiol. 2001, 39, 330–341. [Google Scholar] [CrossRef][Green Version]
- Coburn, J.; Leong, J.M.; Erban, J.K. Integrin alpha IIb beta 3 mediates binding of the Lyme disease agent Borrelia burgdorferi to human platelets. Proc. Natl. Acad. Sci. USA 1993, 90, 7059–7063. [Google Scholar] [CrossRef][Green Version]
- Nadelman, R.B.; Nowakowski, J.; Horowitz, H.W.; Strle, F.; Wormser, G.P. Thrombocytopenia and Borrelia burgdorferi: An Association Remains Unproven. Clin. Infect. Dis. 1999, 29, 1603–1604. [Google Scholar] [CrossRef]
- Kreidler, S.M.; Muller, K.E.; Grunwald, G.K.; Ringham, B.M.; Coker-Dukowitz, Z.T.; Sakhadeo, U.R.; Barón, A.E.; Glueck, D.H. GLIMMPSE: Online Power Computation for Linear Models with and without a Baseline Covariate. J. Stat. Softw. 2013, 54. [Google Scholar] [CrossRef] [PubMed][Green Version]
- Bull, B.S.; Koepke, J.A.; Simson, E.; van Assendelft, O.W. Procedure for determining Packed Cell Volume by microhematocrit method. In Approved Standard, 3rd ed.; CLSI: Wayne, PA, USA, 2000. [Google Scholar]
- Katsogiannou, E.G.; Athanasiou, L.V.; Katsoulos, P.D.; Polizopoulou, Z.S.; Tzivara, A.; Christodoulopoulos, G. Estimation of white blood cell and platelet counts in ovine blood smears, and a comparison with the ADVIA 120 hematology analyzer. Vet. Clin. Pathol. 2020, 49, 222–226. [Google Scholar] [CrossRef] [PubMed]
- Oikonomidis, I.L.; Brozos, C.; Kiossis, E.; Kritsepi-Konstantinou, M. Combined and breed-specific RIs for hematologic, biochemical, and hormonal analytes in Chios and Florina adult rams. Vet. Clin. Pathol. 2018, 47, 56–68. [Google Scholar] [CrossRef] [PubMed]
- Nascimento, D.A.G.; Vieira, R.F.d.C.; Vieira, T.S.W.J.; Toledo, R.d.S.; Tamekuni, K.; Santos, N.J.R.d.; Gonçalves, D.D.; Vieira, M.L.; Biondo, A.W.; Vidotto, O. Serosurvey of Borrelia in dogs, horses, and humans exposed to ticks in a rural settlement of southern Brazil. Rev. Bras. Parasitol. Vet. 2016, 25, 418–422. [Google Scholar] [CrossRef] [PubMed][Green Version]









Publisher’s Note: MDPI stays neutral with regard to jurisdictional claims in published maps and institutional affiliations. |
© 2021 by the authors. Licensee MDPI, Basel, Switzerland. This article is an open access article distributed under the terms and conditions of the Creative Commons Attribution (CC BY) license (http://creativecommons.org/licenses/by/4.0/).
Share and Cite
Athanasiou, L.V.; Spanou, V.M.; Katsogiannou, E.G.; Katsoulos, P.D. Hematological Features in Sheep with IgG and IgM Antibodies against Borrelia burgdorferi sensu lato. Pathogens 2021, 10, 164. https://doi.org/10.3390/pathogens10020164
Athanasiou LV, Spanou VM, Katsogiannou EG, Katsoulos PD. Hematological Features in Sheep with IgG and IgM Antibodies against Borrelia burgdorferi sensu lato. Pathogens. 2021; 10(2):164. https://doi.org/10.3390/pathogens10020164
Chicago/Turabian StyleAthanasiou, Labrini V., Victoria M. Spanou, Eleni G. Katsogiannou, and Panagiotis D. Katsoulos. 2021. "Hematological Features in Sheep with IgG and IgM Antibodies against Borrelia burgdorferi sensu lato" Pathogens 10, no. 2: 164. https://doi.org/10.3390/pathogens10020164

