Antiviral Activity of Ribavirin against Tilapia tilapinevirus in Fish Cells
Abstract
:1. Introduction
2. Results
2.1. Toxicity Effect of Ribavirin on E-11 Cells
2.2. Ribavirin Reduced TiLV-Induced Cytopathic Effect in E-11 Cells
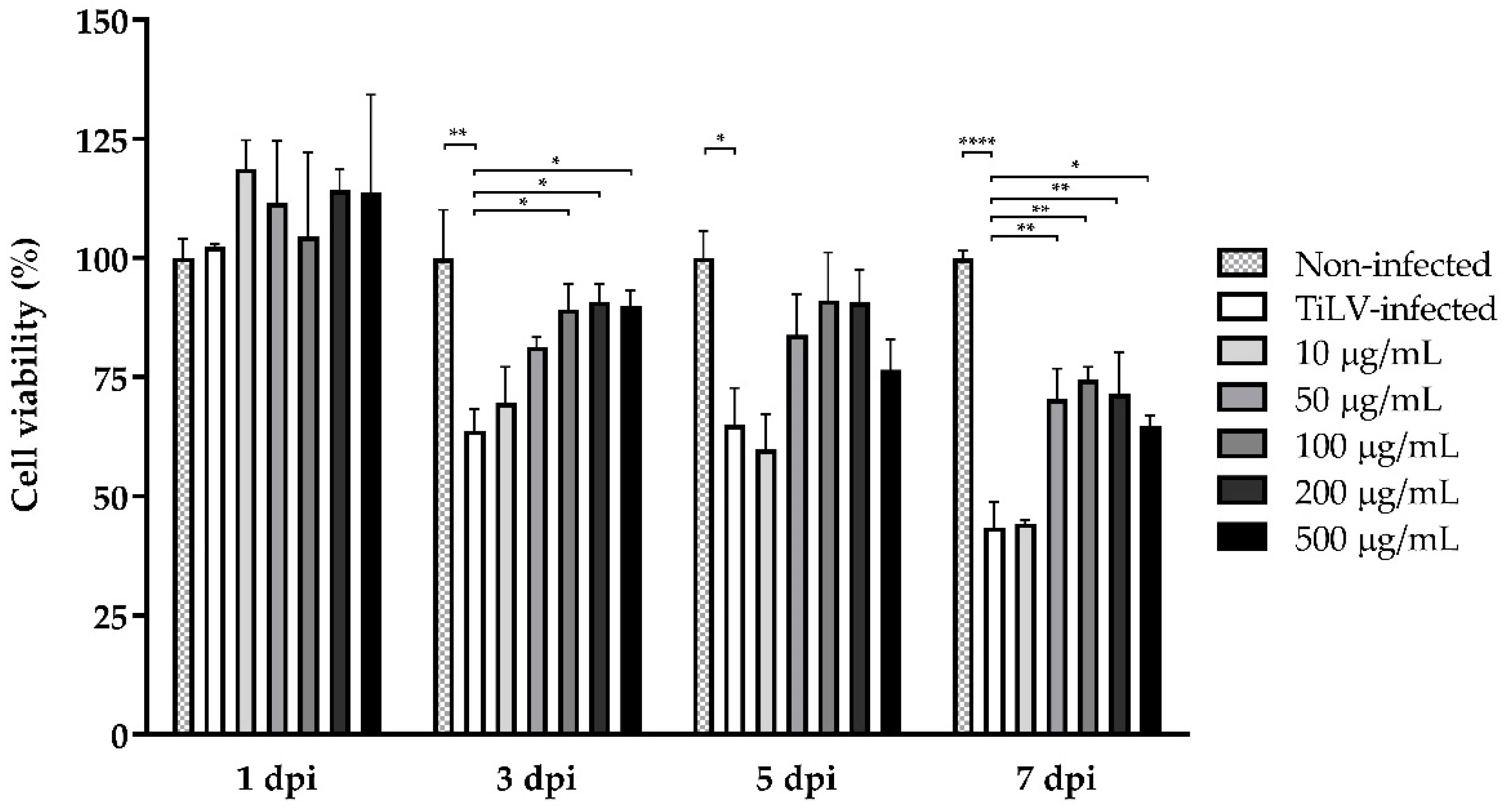
2.3. Ribavirin Treatment Improves Cell Viability during TiLV Infection
2.4. Lower TiLV RNA in Ribavirin-Treated E-11 Cells
3. Discussion
4. Materials and Methods
4.1. Cell Culture and Virus
4.2. Ribavirin Dilution
4.3. Ribavirin Cytotoxicity Assay
4.4. CCK-8 Assay
4.5. Ribavirin Antiviral Effect
4.6. RNA Extraction, Cdna Synthesis, and RT-Qpcr
4.7. Statistical Analysis
5. Conclusions
Author Contributions
Funding
Institutional Review Board Statement
Informed Consent Statement
Data Availability Statement
Conflicts of Interest
References
- Surachetpong, W.; Roy, S.R.K.; Nicholson, P. Tilapia Lake Virus: The Story so Far. J. Fish Dis. 2020, 43, 1115–1132. [Google Scholar] [CrossRef]
- Aich, N.; Paul, A.; Choudhury, T.G.; Saha, H. Tilapia Lake Virus (TiLV) Disease: Current Status of Understanding. Aquac. Fish. 2021, in press. [Google Scholar] [CrossRef]
- Bacharach, E.; Mishra, N.; Briese, T.; Zody, M.C.; Kembou Tsofack, J.E.; Zamostiano, R.; Berkowitz, A.; Ng, J.; Nitido, A.; Corvelo, A.; et al. Characterization of a Novel Orthomyxo-like Virus Causing Mass Die-Offs of Tilapia. mBio 2016, 7, e00431-16. [Google Scholar] [CrossRef] [PubMed] [Green Version]
- Amal, M.N.A.; Koh, C.B.; Nurliyana, M.; Suhaiba, M.; Nor-Amalina, Z.; Santha, S.; Diyana-Nadhirah, K.P.; Yusof, M.T.; Ina-Salwany, M.Y.; Zamri-Saad, M. A Case of Natural Co-Infection of Tilapia Lake Virus and Aeromonas veronii in a Malaysian Red Hybrid Tilapia (Oreochromis niloticus × O. mossambicus) Farm Experiencing High Mortality. Aquaculture 2018, 485, 12–16. [Google Scholar] [CrossRef]
- Eyngor, M.; Zamostiano, R.; Kembou Tsofack, J.E.; Berkowitz, A.; Bercovier, H.; Tinman, S.; Lev, M.; Hurvitz, A.; Galeotti, M.; Bacharach, E.; et al. Identification of a Novel RNA Virus Lethal to Tilapia. J. Clin. Microbiol. 2014, 52, 4137–4146. [Google Scholar] [CrossRef] [Green Version]
- Fathi, M.; Dickson, C.; Dickson, M.; Leschen, W.; Baily, J.; Muir, F.; Ulrich, K.; Weidmann, M. Identification of Tilapia Lake Virus in Egypt in Nile Tilapia Affected by ‘Summer Mortality’ Syndrome. Aquaculture 2017, 473, 430–432. [Google Scholar] [CrossRef]
- Ferguson, H.W.; Kabuusu, R.; Beltran, S.; Reyes, E.; Lince, J.A.; del Pozo, J. Syncytial Hepatitis of Farmed Tilapia, Oreochromis niloticus (L.): A Case Report. J. Fish Dis. 2014, 37, 583–589. [Google Scholar] [CrossRef]
- Mugimba, K.K.; Chengula, A.A.; Wamala, S.; Mwega, E.D.; Kasanga, C.J.; Byarugaba, D.K.; Mdegela, R.H.; Tal, S.; Bornstein, B.; Dishon, A.; et al. Detection of Tilapia Lake Virus (TiLV) Infection by PCR in Farmed and Wild Nile Tilapia (Oreochromis niloticus) from Lake Victoria. J. Fish Dis. 2018, 41, 1181–1189. [Google Scholar] [CrossRef] [PubMed]
- Surachetpong, W.; Janetanakit, T.; Nonthabenjawan, N.; Tattiyapong, P.; Sirikanchana, K.; Amonsin, A. Outbreaks of Tilapia Lake Virus Infection, Thailand, 2015–2016. Emerg. Infect. Dis. 2017, 23, 1031–1033. [Google Scholar] [CrossRef] [Green Version]
- Waiyamitra, P.; Piewbang, C.; Techangamsuwan, S.; Liew, W.C.; Surachetpong, W. Infection of Tilapia tilapinevirus in Mozambique Tilapia (Oreochromis mossambicus), a Globally Vulnerable Fish Species. Viruses 2021, 13, 1104. [Google Scholar] [CrossRef]
- Chiamkunakorn, C.; Machimbirike, V.I.; Senapin, S.; Khunrae, P.; Dong, H.T.; Rattanarojpong, T. Blood and Liver Biopsy for the Non-Destructive Screening of Tilapia Lake Virus. J. Fish Dis. 2019, 42, 1629–1636. [Google Scholar] [CrossRef]
- Jaemwimol, P.; Rawiwan, P.; Tattiyapong, P.; Saengnual, P.; Kamlangdee, A.; Surachetpong, W. Susceptibility of Important Warm Water Fish Species to Tilapia Lake Virus (TiLV) Infection. Aquaculture 2018, 497, 462–468. [Google Scholar] [CrossRef]
- Yamkasem, J.; Piewbang, C.; Techangamsuwan, S.; Pierezan, F.; Soto, E.; Surachetpong, W. Susceptibility of Ornamental African Cichlids Aulonocara spp. to Experimental Infection with Tilapia Lake Virus. Aquaculture 2021, 542, 736920. [Google Scholar] [CrossRef]
- Tattiyapong, P.; Dechavichitlead, W.; Waltzek, T.B.; Surachetpong, W. Tilapia Develop Protective Immunity Including a Humoral Response Following Exposure to Tilapia Lake Virus. Fish Shellfish Immunol. 2020, 106, 666–674. [Google Scholar] [CrossRef]
- Jaemwimol, P.; Sirikanchana, K.; Tattiyapong, P.; Mongkolsuk, S.; Surachetpong, W. Virucidal Effects of Common Disinfectants against Tilapia Lake Virus. J. Fish Dis. 2019, 42, 1383–1389. [Google Scholar] [CrossRef] [PubMed]
- Waiyamitra, P.; Zoral, M.A.; Saengtienchai, A.; Luengnaruemitchai, A.; Decamp, O.; Gorgoglione, B.; Surachetpong, W. Probiotics Modulate Tilapia Resistance and Immune Response against Tilapia Lake Virus Infection. Pathogens 2020, 9, 919. [Google Scholar] [CrossRef] [PubMed]
- Leyssen, P.; Balzarini, J.; De Clercq, E.; Neyts, J. The Predominant Mechanism by Which Ribavirin Exerts Its Antiviral Activity In Vitro against Flaviviruses and Paramyxoviruses is Mediated by Inhibition of IMP Dehydrogenase. J. Virol. 2005, 79, 1943–1947. [Google Scholar] [CrossRef] [PubMed] [Green Version]
- McCormick, J.B.; King, I.J.; Webb, P.A.; Scribner, C.L.; Craven, R.B.; Johnson, K.M.; Elliott, L.H.; Belmont-Williams, R. Lassa Fever. Effective Therapy with Ribavirin. N. Engl. J. Med. 1986, 314, 20–26. [Google Scholar] [CrossRef]
- Ramírez-Olivencia, G.; Estébanez, M.; Membrillo, F.J.; Ybarra, M.D.C. Use of Ribavirin in Viruses Other than Hepatitis C. A Review of the Evidence. Enferm. Infecc. Microbiol. Clin. 2019, 37, 602–608. [Google Scholar] [CrossRef]
- Stein, D.S.; Creticos, C.M.; Jackson, G.G.; Bernstein, J.M.; Hayden, F.G.; Schiff, G.M.; Bernstein, D.I. Oral Ribavirin Treatment of Influenza A and B. Antimicrob. Agents Chemother. 1987, 31, 1285–1287. [Google Scholar] [CrossRef] [Green Version]
- Graci, J.D.; Cameron, C.E. Mechanisms of Action of Ribavirin against Distinct Viruses. Rev. Med. Virol. 2006, 16, 37–48. [Google Scholar] [CrossRef] [PubMed]
- Sintchak, M.D.; Nimmesgern, E. The Structure of Inosine 5′-Monophosphate Dehydrogenase and the Design of Novel Inhibitors. Immunopharmacology 2000, 47, 163–184. [Google Scholar] [CrossRef]
- Kentsis, A.; Topisirovic, I.; Culjkovic, B.; Shao, L.; Borden, K.L. Ribavirin Suppresses eIF4E-Mediated Oncogenic Transformation by Physical Mimicry of the 7-Methyl Guanosine mRNA Cap. Proc. Natl. Acad. Sci. USA 2004, 101, 18105–18110. [Google Scholar] [CrossRef] [Green Version]
- von Grotthuss, M.; Wyrwicz, L.S.; Rychlewski, L. mRNA Cap-1 Methyltransferase in the SARS Genome. Cell 2003, 113, 701–702. [Google Scholar] [CrossRef] [Green Version]
- Eriksson, B.; Helgstrand, E.; Johansson, N.G.; Larsson, A.; Misiorny, A.; Norén, J.O.; Philipson, L.; Stenberg, K.; Stening, G.; Stridh, S.; et al. Inhibition of Influenza Virus Ribonucleic Acid Polymerase by Ribavirin Triphosphate. Antimicrob. Agents Chemother. 1977, 11, 946–951. [Google Scholar] [CrossRef] [PubMed] [Green Version]
- Fernandez-Larsson, R.; Patterson, J.L. Ribavirin is an Inhibitor of Human Immunodeficiency Virus Reverse Transcriptase. Mol. Pharmacol. 1990, 38, 766–770. [Google Scholar]
- Beaucourt, S.; Vignuzzi, M. Ribavirin: A Drug Active against Many Viruses with Multiple Effects on Virus Replication and Propagation. Molecular Basis of Ribavirin Resistance. Curr. Opin. Virol. 2014, 8, 10–15. [Google Scholar] [CrossRef]
- Morick, D.; Saragovi, A. Inhibition of Nervous Necrosis Virus by Ribavirin in a Zebrafish Larvae Model. Fish Shellfish Immunol. 2017, 60, 537–544. [Google Scholar] [CrossRef]
- Yu, X.B.; Chen, X.H.; Shan, L.P.; Hao, K.; Wang, G.X. In Vitro Antiviral Efficacy of Moroxydine Hydrochloride and Ribavirin against Grass Carp Reovirus and Giant Salamander Iridovirus. Dis. Aquat. Organ. 2016, 121, 189–199. [Google Scholar] [CrossRef] [PubMed] [Green Version]
- Rivas-Aravena, A.; Vallejos-Vidal, E.; Cortez-San Martin, M.; Reyes-Lopez, F.; Tello, M.; Mora, P.; Sandino, A.M.; Spencer, E. Inhibitory Effect of a Nucleotide Analog on Infectious Salmon Anemia Virus Infection. J. Virol. 2011, 85, 8037–8045. [Google Scholar] [CrossRef] [PubMed] [Green Version]
- Marroqui, L.; Estepa, A.; Perez, L. Assessment of the Inhibitory Effect of Ribavirin on the Rainbow Trout Rhabdovirus VHSV by Real-Time Reverse-Transcription PCR. Vet. Microbiol. 2007, 122, 52–60. [Google Scholar] [CrossRef] [Green Version]
- Fitzsimmons, K. Tilapia: The Most Important Aquaculture Species of the 21st Century. In Proceedings of the Fifth International Symposium on Tilapia Aquaculture, Rio de Janeiro, Brazil, 3–7 September 2000; pp. 3–8. [Google Scholar]
- FAO. Regional Multi-Stakeholder Consultation on Land Governance in the Asia-Pacific Region; FAO: Rome, Italy, 2016; p. 24. [Google Scholar]
- Zhou, X. An Overview of Recently Published Global Aquaculture Statistics. FAO Aquac. Newsl. 2017, 56, 6–8. [Google Scholar]
- OIE. Tilapia Lake Virus Disease (TiLV). United States of America. Immediate Notification. 2019. Available online: http://www.oie.int/wahis_2/public/wahid.php/Reviewreport/Review?page_refer=MapFullEventReport&reportid=30412:OIE (accessed on 13 October 2021).
- Mai, T.T.; Kayansamruaj, P.; Taengphu, S.; Senapin, S.; Costa, J.Z.; del-Pozo, J.; Thompson, K.D.; Rodkhum, C.; Dong, H.T. Efficacy of Heat-Killed and Formalin-Killed Vaccines against Tilapia tilapinevirus in Juvenile Nile Tilapia (Oreochromis niloticus). J. Fish Dis. 2021, 44, 2097–2109. [Google Scholar] [CrossRef] [PubMed]
- Yu, N.; Zeng, W.; Wang, J.; Zhang, Y.; Zhang, X.; Liu, Z. A High Efficacy DNA Vaccine against Tilapia Lake Virus in Nile Tilapia (Oreochromis niloticus). Preprints 2021, 1, 13. [Google Scholar] [CrossRef]
- Zeng, W.; Wang, Y.; Chen, X.; Wang, Q.; Bergmann, S.M.; Yang, Y.; Wang, Y.; Li, B.; Lv, Y.; Li, H.; et al. Potency and Efficacy of VP20-Based Vaccine against Tilapia Lake Virus Using Different Prime-Boost Vaccination Regimens in Tilapia. Aquaculture 2021, 539, 736654. [Google Scholar] [CrossRef]
- Zeng, W.; Wang, Y.; Hu, H.; Wang, Q.; Bergmann, S.M.; Wang, Y.; Li, B.; Lv, Y.; Li, H.; Yin, J.; et al. Cell Culture-Derived Tilapia Lake Virus-Inactivated Vaccine Containing Montanide Adjuvant Provides High Protection against Viral Challenge for Tilapia. Vaccines 2021, 9, 86. [Google Scholar] [CrossRef]
- Liamnimitr, P.; Thammatorn, W.; U-thoomporn, S.; Tattiyapong, P.; Surachetpong, W. Non-Lethal Sampling for Tilapia Lake Virus Detection by RT-qPCR and Cell Culture. Aquaculture 2018, 486, 75–80. [Google Scholar] [CrossRef]
- Nanthini, R.; Abdul Majeed, S.; Vimal, S.; Taju, G.; Sivakumar, S.; Santhosh Kumar, S.; Pillai, D.; Sneha, K.G.; Rakesh, C.G.; Sahul Hameed, A.S. In Vitro Propagation of Tilapia Lake Virus in Cell Lines Developed from Oreochromis mossambicus. J. Fish Dis. 2019, 42, 1543–1552. [Google Scholar] [CrossRef]
- Thangaraj, R.S.; Ravi, C.; Kumar, R.; Dharmaratnam, A.; Valaparambil Saidmuhammed, B.; Pradhan, P.K.; Sood, N. Derivation of Two Tilapia (Oreochromis niloticus) Cell Lines for Efficient Propagation of Tilapia Lake Virus (TiLV). Aquaculture 2018, 492, 206–214. [Google Scholar] [CrossRef]
- Wang, Y.; Wang, Q.; Zeng, W.; Yin, J.; Li, Y.; Ren, Y.; Shi, C.; Bergmann, S.M.; Zhu, X. Establishment and Characterization of a Cell Line from Tilapia Brain for Detection of Tilapia Lake Virus. J. Fish Dis. 2018, 41, 1803–1809. [Google Scholar] [CrossRef]
- Yadav, M.K.; Rastogi, A.; Criollo Joaquin, M.P.; Verma, D.K.; Rathore, G.; Swaminathan, T.R.; Paria, A.; Pradhan, P.K.; Sood, N. Establishment and Characterization of a Continuous Cell Line from Heart of Nile Tilapia Oreochromis niloticus and Its Susceptibility to Tilapia Lake Virus. J. Virol. Methods 2021, 287, 113989. [Google Scholar] [CrossRef] [PubMed]
- Hu, Y.; Shen, Y.; Li, B.; Wang, G.X.; Zhu, B. Evaluation on the Antiviral Activity of Ribavirin against Infectious Hematopoietic Necrosis Virus in Epithelioma Papulosum Cyprini Cells. Virus Res. 2019, 263, 73–79. [Google Scholar] [CrossRef]
- Kim, S.Y.; Kim, S.R.; Oh, M.J.; Jung, S.J.; Kang, S.Y. In Vitro Antiviral Activity of Red Alga, Polysiphonia Morrowii Extract and Its Bromophenols against Fish Pathogenic Infectious Hematopoietic Necrosis Virus and Infectious Pancreatic Necrosis Virus. J. Microbiol. 2011, 49, 102–106. [Google Scholar] [CrossRef]
- Migus, D.O.; Dobos, P. Effect of Ribavirin on the Replication of Infectious Pancreatic Necrosis Virus in Fish Cell Cultures. J. Gen. Virol. 1980, 47, 47–57. [Google Scholar] [CrossRef]
- Rivas-Aravena, A.; Guajardo, S.; Valenzuela, B.; Cartagena, J.; Imarai, M.I.; Spencer, E.; Sandino, A.M. Ribavirin Stimulates the Immune Response of Atlantic Salmon. Vet. Immunol. Immunopathol. 2015, 164, 93–100. [Google Scholar] [CrossRef]
- Yang, F.; Song, K.; Zhang, Z.; Chen, C.; Wang, G.; Yao, J.; Ling, F. Evaluation on the Antiviral Activity of Ribavirin against Micropterus Salmoides Rhabdovirus (MSRV) In Vitro and In Vivo. Aquaculture 2021, 543, 736975. [Google Scholar] [CrossRef]
- Iwamoto, T.; Nakai, T.; Mori, K.; Arimoto, M.; Furusawa, I. Cloning of the Fish Cell Line SSN-1 for Piscine Nodaviruses. Dis. Aquat. Organ. 2000, 43, 81–89. [Google Scholar] [CrossRef] [PubMed]
- Tattiyapong, P.; Dachavichitlead, W.; Surachetpong, W. Experimental Infection of Tilapia Lake Virus (TiLV) in Nile Tilapia (Oreochromis niloticus) and Red Tilapia (Oreochromis spp.). Vet. Microbiol. 2017, 207, 170–177. [Google Scholar] [CrossRef] [PubMed]
- Reed, L.J.; Muench, H. A Simple Method of Estimating Fifty Percent Endpoints12. Am. J. Epidemiol. 1938, 27, 493–497. [Google Scholar] [CrossRef]
- Lei, C.; Yang, J.; Hu, J.; Sun, X. On the Calculation of TCID(50) for Quantitation of Virus Infectivity. Virol. Sin. 2021, 36, 141–144. [Google Scholar] [CrossRef]
- Tattiyapong, P.; Sirikanchana, K.; Surachetpong, W. Development and Validation of a Reverse Transcription Quantitative Polymerase Chain Reaction for Tilapia Lake Virus Detection in Clinical Samples and Experimentally Challenged Fish. J. Fish Dis. 2018, 41, 255–261. [Google Scholar] [CrossRef] [PubMed]




Publisher’s Note: MDPI stays neutral with regard to jurisdictional claims in published maps and institutional affiliations. |
© 2021 by the authors. Licensee MDPI, Basel, Switzerland. This article is an open access article distributed under the terms and conditions of the Creative Commons Attribution (CC BY) license (https://creativecommons.org/licenses/by/4.0/).
Share and Cite
Lertwanakarn, T.; Trongwongsa, P.; Yingsakmongkol, S.; Khemthong, M.; Tattiyapong, P.; Surachetpong, W. Antiviral Activity of Ribavirin against Tilapia tilapinevirus in Fish Cells. Pathogens 2021, 10, 1616. https://doi.org/10.3390/pathogens10121616
Lertwanakarn T, Trongwongsa P, Yingsakmongkol S, Khemthong M, Tattiyapong P, Surachetpong W. Antiviral Activity of Ribavirin against Tilapia tilapinevirus in Fish Cells. Pathogens. 2021; 10(12):1616. https://doi.org/10.3390/pathogens10121616
Chicago/Turabian StyleLertwanakarn, Tuchakorn, Pirada Trongwongsa, Sangchai Yingsakmongkol, Matepiya Khemthong, Puntanat Tattiyapong, and Win Surachetpong. 2021. "Antiviral Activity of Ribavirin against Tilapia tilapinevirus in Fish Cells" Pathogens 10, no. 12: 1616. https://doi.org/10.3390/pathogens10121616
APA StyleLertwanakarn, T., Trongwongsa, P., Yingsakmongkol, S., Khemthong, M., Tattiyapong, P., & Surachetpong, W. (2021). Antiviral Activity of Ribavirin against Tilapia tilapinevirus in Fish Cells. Pathogens, 10(12), 1616. https://doi.org/10.3390/pathogens10121616

