An Interpretable Pretrained Tabular Modeling Framework for Predicting IRI Across Multiple Pavement Structural Configurations
Abstract
1. Introduction
2. Database Construction and Feature Development
2.1. Data Collection and Preprocessing
2.2. Pavement Layer Materials and Feature Representation
2.3. Data Features
Descriptive Statistics
2.4. Data Correlation and Collinearity
3. Methodology
3.1. K-Fold Cross-Validation
3.2. Hyperparameter Optimization Methods
3.3. Machine Learning Model
3.4. Model Evaluation Metrics
3.5. Key Factor Interpretability and Critical Threshold Analysis
3.5.1. SHAP Feature Interpretation
3.5.2. Critical Thresholds via Generalized Additive Models (GAMs)
3.5.3. Statistical Significance Testing Based on Paired t-Test
3.6. Analysis of Structural Subgroups
4. Results Analysis and Discussion
4.1. Optimal Hyperparameters of ML Model
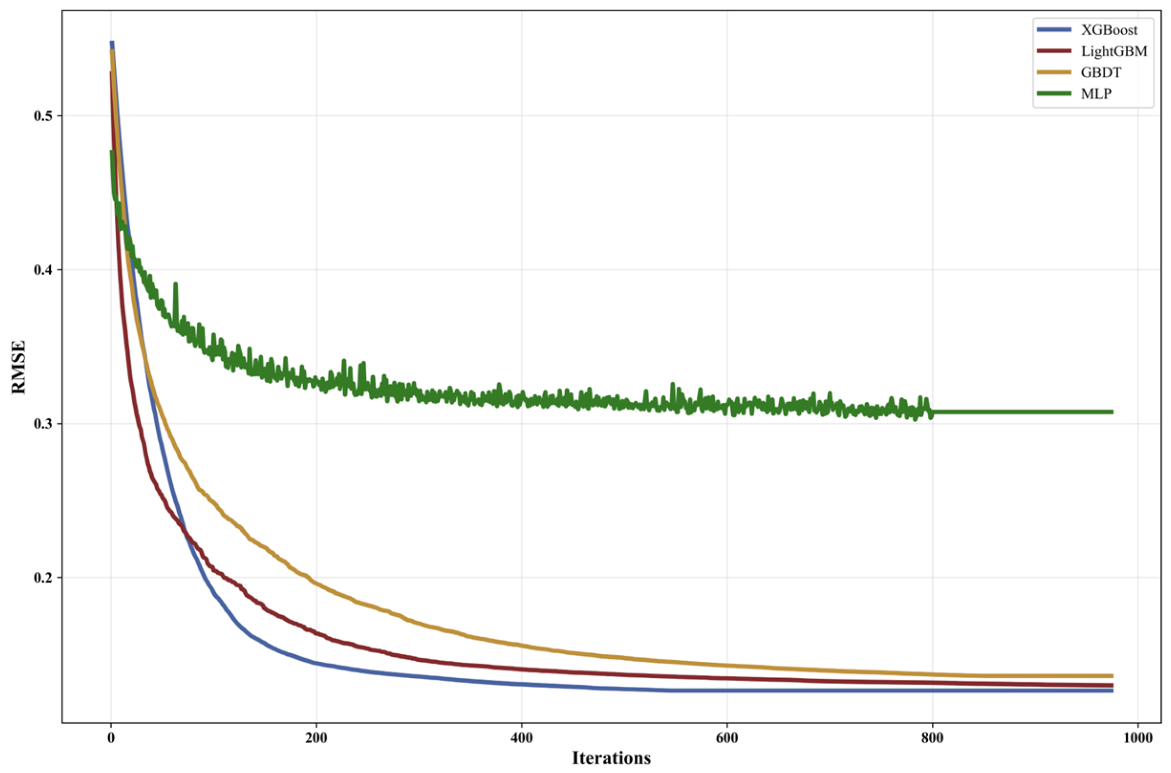
4.2. Comparison of Prediction Performance of Different Machine Learning Models
4.2.1. Statistical Significance Test Results
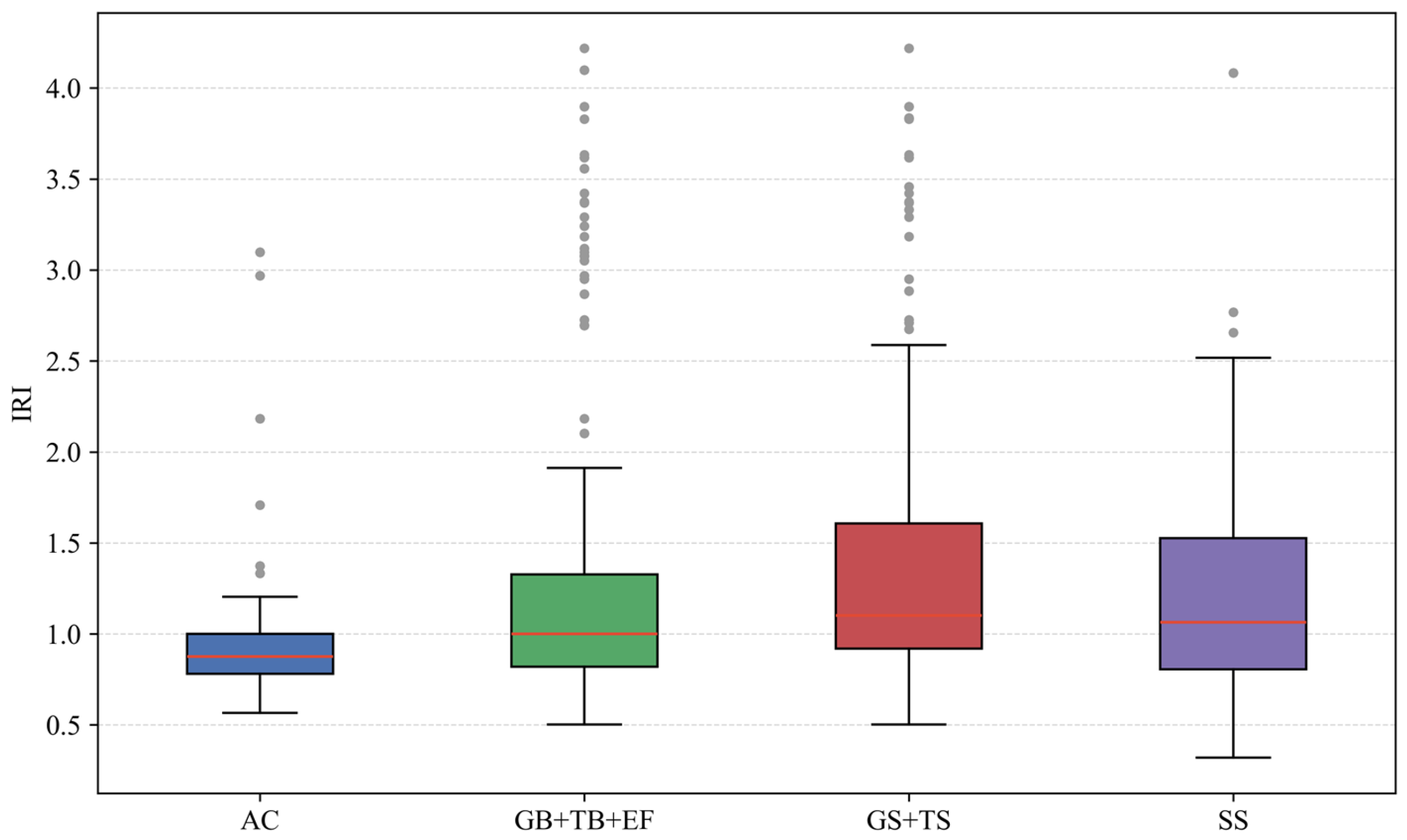
4.2.2. Performance Comparison of Different Road Surface Structures
4.3. Discussion on the Interpretability of Machine Learning Models
4.3.1. SHAP Global Analysis
4.3.2. Generalized Additive Model (GAM) Analysis
4.3.3. Interpretability Analysis of Different Pavement Structures
4.4. Graphical IRI Prediction Platform Using TabPFN
5. Limitations and Future Research
Limitations and Future Perspectives
6. Conclusions
Author Contributions
Funding
Data Availability Statement
Acknowledgments
Conflicts of Interest
Abbreviations
| ALT | AVG_LAYER_THICKNESS |
| IRI | International Roughness Index |
| ATV | ANNUAL_TRUCK_VOLUME_TREND |
| GESAL | ANNUAL_GESAL_TREND |
| TAP | TOTAL_ANN_PRECIP |
| MAT | MEAN_ANN_TEMP_AVG |
| FTY | FREEZE_THAW_YR |
| MAH | MAX_ANN_HUM_AVG |
| CY | CONSTRUCTION_ YEAR |
| AADTT | AADTT_ALL_TRUCKS_TREND |
| ESAL | ANNUAL_ESAL_TREND |
| TSY | TOTAL_SNOWFALL_YR |
| FIY | FREEZE_INDEX_YR |
| MAW | MEAN_ANN_WIND_AVG |
| mAH | MIN_MON_HUM_AVG |
| LTPP | Long-Term Pavement Performance Database |
| Coefficient of Determination | |
| MAE | Mean Absolute Error |
| MAPE | Mean Absolute Percentage Error |
| RMSE | Root Mean Square Error |
| BO | Bayesian Optimization |
| SHAP | SHapley Additive exPlanations |
| GAM | Generalized Additive Model |
| GPR | Gaussian Process Regression |
| ANN | Artificial Neural Network |
| LSTM | Long Short-Term Memory network |
| CNN | Convolutional Neural Network |
| GRU | Gated Recurrent Unit |
| PSO | Particle Swarm Optimization |
| SVR | Support Vector Regression |
Appendix A
| Source Table | Key Fields Used for Join | Derived Variables |
|---|---|---|
| TRF_TREND | STATE_CODE, STATE_CODE_EXP, SHRP_ID, CONSTRUCTION_NO, YEAR | AADTT, ATV, ESAL, GESAL |
| CLM_VWS_PRECIP_ANNUAL | STATE_CODE, STATE_CODE_EXP, SHRP_ID, YEAR | TAP, FTY, TSY, FIY |
| CLM_VWS_TEMP_ANNUAL | STATE_CODE, STATE_CODE_EXP, SHRP_ID, YEAR | MAT |
| CLM_VWS_WIND_ANNUAL | STATE_CODE, STATE_CODE_EXP, SHRP_ID, YEAR | MAW |
| CLM_VWS_HUMIDITY_ANNUAL | STATE_CODE, STATE_CODE_EXP, SHRP_ID, YEAR | MAH, mAH |
| IRI | STATE_CODE, STATE_CODE_EXP, SHRP_ID, YEAR | IRI |
| CLM_OWS_LOCATION | STATE_CODE, STATE_CODE_EXP, SHRP_ID | ALT, ELE |
| TST_L05B | STATE_CODE, STATE_CODE_EXP, SHRP_ID | LAYER_CNT, AVG_LAYER_THICKNESS |
Appendix B

Appendix C
| Feature | Root_Index | Threshold | CI_Lower | CI_Upper | Bootstrap_N | CI_Level |
|---|---|---|---|---|---|---|
| AADTT | 1 | 204.8883 | 195.9284 | 224.6359 | 1000 | 95 |
| AADTT | 2 | 997.4238 | 975.4175 | 1017.9421 | 1000 | 95 |
| AADTT | 3 | 2679.9996 | 2326.5961 | 7664.1427 | 1000 | 95 |
| AADTT | 4 | 3698.8270 | 2699.7695 | 4093.3364 | 797 | 95 |
| AADTT | 5 | 7615.9906 | 5511.1347 | 7810.9969 | 797 | 95 |
| ATV | 1 | 752,043.2239 | 720,251.4289 | 1,647,631.1538 | 1000 | 95 |
| ATV | 2 | 993,504.3082 | 855,922.5474 | 1,485,723.5174 | 882 | 95 |
| ATV | 3 | 1,644,648.1935 | 1,059,912.8113 | 1,672,045.2853 | 882 | 95 |
| ESAL | 1 | 631,043.9718 | 607,211.3041 | 652,347.0988 | 1000 | 95 |
| ESAL | 2 | 1,257,653.6293 | 1,187,152.0557 | 1,249,907.8346 | 334 | 95 |
| ESAL | 3 | 1,273,548.0831 | 1,268,513.9118 | 1,358,175.1102 | 334 | 95 |
| GESAL | 1 | 243,331.6419 | 227,324.5664 | 262,316.1842 | 1000 | 95 |
| ELE | 1 | 149.8131 | 142.0602 | 159.6350 | 1000 | 95 |
| ELE | 2 | 255.7434 | 238.5566 | 299.9143 | 1000 | 95 |
| ELE | 3 | 336.8588 | 319.3378 | 375.6019 | 981 | 95 |
| ELE | 4 | 506.6202 | 449.5647 | 561.7288 | 981 | 95 |
| TAP | 1 | 288.1520 | 279.3273 | 301.5358 | 1000 | 95 |
| TAP | 2 | 684.7846 | 631.0919 | 999.6476 | 999 | 95 |
| TAP | 3 | 730.3740 | 725.6052 | 1119.7333 | 999 | 95 |
| TAP | 4 | 964.4261 | 914.9548 | 1005.2250 | 434 | 95 |
| TAP | 5 | 1111.4170 | 1093.5076 | 1119.8389 | 434 | 95 |
| MAT | 1 | 16.8558 | 16.7521 | 17.0527 | 1000 | 95 |
| MAT | 2 | 23.2547 | 22.6807 | 23.1803 | 988 | 95 |
| FTY | 1 | 42.0207 | 39.9520 | 42.4907 | 1000 | 95 |
| MAW | 1 | 2.8155 | 2.7987 | 2.8485 | 1000 | 95 |
| ALT | 1 | 7.2961 | 7.1690 | 7.4257 | 1000 | 95 |
| MAH | 1 | 57.0082 | 41.0763 | 94.9602 | 1000 | 95 |
| MAH | 2 | 58.2863 | 56.1962 | 94.7142 | 833 | 95 |
| MAH | 3 | 94.8817 | 58.2606 | 95.0576 | 792 | 95 |
| mAH | 1 | 19.2503 | 19.1112 | 19.4262 | 1000 | 95 |
| mAH | 2 | 26.4241 | 24.8695 | 51.2960 | 1000 | 95 |
| mAH | 3 | 37.7706 | 34.8460 | 38.5218 | 895 | 95 |
| mAH | 4 | 51.2016 | 50.9470 | 51.4338 | 884 | 95 |
References
- Öztürk, İ.; Lehtonen, E.; Madigan, R.; Lee, Y.M.; Aittoniemi, E.; Merat, N. Cross-country differences in willingness to use conditionally automated driving systems: Impact of technology affinity, driving skills, and perceived traffic climate. Technol. Soc. 2025, 82, 102903. [Google Scholar] [CrossRef]
- Cao, R.; Yao, L.; Leng, Z. Synthesising climate and traffic factors for pavement regionalisation in China. Int. J. Pavement Eng. 2025, 26, 2450098. [Google Scholar] [CrossRef]
- Zhong, J.; Li, Y.; Bloss, W.J.; Harrison, R.M. Street-scale black carbon modelling over the West Midlands, United Kingdom: Sensitivity test of traffic emission factor adjustments. Environ. Int. 2025, 196, 109265. [Google Scholar] [CrossRef] [PubMed]
- Gu, Z.; Peng, B.; Xin, Y. Higher traffic crash risk in extreme hot days? A spatiotemporal examination of risk factors and influencing features. Int. J. Disaster Risk Reduct. 2025, 116, 105045. [Google Scholar] [CrossRef]
- Ghadi, M.Q. Investigating the impact of climate change on traffic accidents in Jordan. Sustainability 2025, 17, 2161. [Google Scholar] [CrossRef]
- Ge, Y.; Zhao, H.; Liu, T. Prediction and analysis of the severity of road traffic accidents at traffic signs under rainstorm conditions. In Proceedings Volume 13422, Proceedings of the Fourth International Conference on Intelligent Traffic Systems and Smart City (ITSSC 2024), Xi’an, China, 23–25 August 2024; SPIE: Bellingham, WA, USA; Volume 2025, pp. 422–427.
- Khamkhanpom, P.; Nguyen, Q.P.; Le, X.Q.; Nguyen, Q.T. Mechanistic-Empirical pavement design method and applicability in Laos. Transp. Res. Procedia 2025, 85, 18–25. [Google Scholar] [CrossRef]
- Ahmed, T.; Isied, M.; Souliman, M.I. Leveraging physics with deep learning: Physics-informed neural networks (PINN) for IRI prediction in flexible pavements. Can. J. Civ. Eng. 2025, 52, 1885–1899. [Google Scholar] [CrossRef]
- Kwon, K.; Yeom, Y.; Shin, Y.; Bae, A.; Choi, H. Machine learning models for predicting the International Roughness Index of asphalt concrete overlays on Portland cement concrete pavements. Comput.-Aided Civ. Infrastruct. Eng. 2025, 40, 3385–3402. [Google Scholar] [CrossRef]
- Purwanto, A.; Tjendani, H.T.; Witjaksana, B. Analysis of Pavement Condition Using The International Roughness Index (IRI) Method With The Roadroid Application on The Genengan–Lembeyan Road Section In Magetan District. J. Soc. Res. 2025, 4, 337–346. [Google Scholar] [CrossRef]
- Ban, I.; Bonari, J.; Paggi, M. A computational framework for evaluating tire-asphalt hysteretic friction including pavement roughness. arXiv 2025, arXiv:2504.01511. [Google Scholar] [CrossRef]
- Ali, A.A.; Hussein, A.; Heneash, U. Performance of soft computing technique in predicting the pavement international roughness index: Case study. Int. J. Pavement Res. Technol. 2025, 18, 346–364. [Google Scholar] [CrossRef]
- Al-Mahamid, H.; Al-Nabulsi, D.; Torok, A. Developing safety performance functions incorporating pavement roughness using Poisson regression and Machine learning models on Jordan’s Desert Highway. Transp. Res. Interdiscip. Perspect. 2025, 34, 101659. [Google Scholar] [CrossRef]
- Jagadeesh, A.; Premarathna, W.; Kumar, A.; Kasbergen, C.; Erkens, S. Finite element modelling of jointed plain concrete pavements under rolling forklift tire. Eng. Struct. 2025, 328, 119705. [Google Scholar] [CrossRef]
- Chau, A.D.; Hoang, H.T.; Nguyen, L.D. Web-Based Decision Support System for Automated Pavement Design and Life-Cycle Cost Analysis. J. Constr. Eng. Manag. 2025, 151, 05025004. [Google Scholar] [CrossRef]
- Ayesh, D.; Ruixuan, Z.; Yilin, G.; Jinjiang, Z.; Chaminda, G. Deploying machine learning for long-term road pavement moisture prediction: A case study from Queensland, Australia. J. Road Eng. 2025, 5, 184–201. [Google Scholar] [CrossRef]
- Rizelioğlu, M. An extensive bibliometric analysis of pavement deterioration detection using sensors and machine learning: Trends, innovations, and future directions. Alex. Eng. J. 2025, 112, 349–366. [Google Scholar] [CrossRef]
- Wang, S.; Xia, P.; Gong, F.; Liu, J.; Huang, B.-T. Incremental Update Framework for Multi-Source Low Carbon Concrete Prediction Based on Boctgan-Adaptive Weight and Experience Replay. 2025. Available online: https://papers.ssrn.com/sol3/papers.cfm?abstract_id=5138018 (accessed on 5 March 2026).
- Rajan, K.; Aryal, M.; Sharma, K.; Bhandary, N.P.; Pokhrel, R.; Acharya, I.P. Development of a framework for the prediction of slope stability using machine learning paradigms. Nat. Hazards 2025, 121, 83–107. [Google Scholar] [CrossRef]
- Sanij, H.K.; Babagoli, R.; Elyasi, R.M. Enhancing stone matrix asphalt performance with sugarcane bagasse ash: Mechanical properties and machine learning-based predictions using XGBoost and random forest. Case Stud. Constr. Mater. 2025, 23, e05186. [Google Scholar] [CrossRef]
- Zhong, C.; Qian, G.; Gong, X.; Yu, H.; Jun, C.; Zhong, Y.; Ma, J.; Gu, H. Study on mesostructure evolution behavior of asphalt mixture compaction process based on deep learning image processing. Constr. Build. Mater. 2025, 458, 139650. [Google Scholar] [CrossRef]
- Liu, J.; Cheng, C.; Wang, Z.; Yang, S.; Wang, L. Intelligent Asphalt Mixture Design: A Combined Supervised Machine Learning and Deep Reinforcement Learning Approach. Transp. Res. Rec. 2025, 2679, 03611981251320382. [Google Scholar] [CrossRef]
- Golanbari, B.; Mardani, A.; Farhadi, N.; Nazari Chamki, A. Applications of machine learning in predicting rut depth in off-road environments. Sci. Rep. 2025, 15, 5486. [Google Scholar] [CrossRef] [PubMed]
- Grube, G.; Grigolato, S.; Ala-Ilomäki, J.; Routa, J.; Lindeman, H.; Astrup, R.; Talbot, B. Modelling machine-induced soil deformation in forest soils using stump proximity and machine learning. Biosyst. Eng. 2025, 258, 104255. [Google Scholar] [CrossRef]
- Jalota, S.; Suthar, M. Machine learning approach for estimating durability of modified bituminous mixes under wet-dry cycle condition. Eur. J. Environ. Civ. Eng. 2025, 29, 2818–2844. [Google Scholar] [CrossRef]
- Al-Khateeb, G.; Alnaqbi, A.; Zeiada, W. Predictive modeling of punchouts in continuously reinforced concrete pavement: A machine learning approach. AI Civ. Eng. 2025, 4, 15. [Google Scholar] [CrossRef]
- Alnaqbi, A.; Zeiada, W.; Al-Khateeb, G. A hybrid machine learning method of support vector regression with particle swarm optimization for predicting IRI in continuously reinforced concrete pavement. J. Eng. Appl. Sci. 2025, 72, 128. [Google Scholar] [CrossRef]
- Xu, C.; Chen, X.; Zeng, Q.; Cai, M.; Zhang, W.; Yu, B. A framework of integrating machine learning model and pavement life cycle assessment to optimize asphalt mixture design. Constr. Build. Mater. 2025, 469, 140481. [Google Scholar] [CrossRef]
- Sharma, A.; Sachdeva, S.N.; Aggarwal, P. Predicting IRI using machine learning techniques. Int. J. Pavement Res. Technol. 2023, 16, 128–137. [Google Scholar] [CrossRef]
- Rajender, A.; Samanta, A.K.; Paral, A. Comparative study of corrosion-based service life prediction of reinforced concrete structures using traditional and machine learning approach. Int. J. Struct. Integr. 2025, 16, 591–621. [Google Scholar] [CrossRef]
- Lashkov, I.; Yuan, R.; Zhang, G. Machine learning-based vehicle detection and tracking based on headlight extraction and GMM clustering under low illumination conditions. Expert Syst. Appl. 2025, 267, 126240. [Google Scholar] [CrossRef]
- Zhou, G.; Gao, H.; Cai, Y.; Guo, J.; Zhao, X. A Filter Method for Vehicle-Based Moving LiDAR Point Cloud Data for Removing IRI-Insensitive Components of Longitudinal Profile. Remote Sens. 2026, 18, 240. [Google Scholar] [CrossRef]
- A Ilemobayo, J.; Durodola, O.; Alade, O.; JAwotunde, O.; TOlanrewaju, A.; Falana, O.; Ogungbire, A.; Osinuga, A.; Ogunbiyi, D.; Ifeanyi, A.; et al. Hyperparameter tuning in machine learning: A comprehensive review. J. Eng. Res. Rep. 2024, 26, 388–395. [Google Scholar] [CrossRef]
- Morales-Hernández, A.; Van Nieuwenhuyse, I.; Rojas Gonzalez, S. A survey on multi-objective hyperparameter optimization algorithms for machine learning. Artif. Intell. Rev. 2023, 56, 8043–8093. [Google Scholar] [CrossRef]
- Hanifi, S.; Cammarono, A.; Zare-Behtash, H. Advanced hyperparameter optimization of deep learning models for wind power prediction. Renew. Energy 2024, 221, 119700. [Google Scholar] [CrossRef]
- Shu, J.; Meng, D.; Xu, Z. Learning an explicit hyper-parameter prediction function conditioned on tasks. J. Mach. Learn. Res. 2023, 24, 1–74. [Google Scholar]
- Elghaish, F.; Matarneh, S.; Abdellatef, E.; Rahimian, F.; Hosseini, M.R.; Farouk Kineber, A. Multi-layers deep learning model with feature selection for automated detection and classification of highway pavement cracks. Smart Sustain. Built Environ. 2025, 14, 511–535. [Google Scholar] [CrossRef]
- Chen, K.; Torbaghan, M.E.; Thom, N.; Garcia-Hernández, A.; Faramarzi, A.; Chapman, D. A Machine Learning based approach to predict road rutting considering uncertainty. Case Stud. Constr. Mater. 2024, 20, e03186. [Google Scholar] [CrossRef]
- Haoran, Z.; Zidong, Z.; Min, W.; Xin, Y.; Yongxin, W.; Chen, C.; Jun, Q. Integrated design optimization method for pavement structure and materials based on further development of finite element and particle swarm optimization algorithm. Constr. Build. Mater. 2024, 426, 136080. [Google Scholar] [CrossRef]
- Xiao, M.; Luo, R.; Chen, Y.; Ge, X. Prediction model of asphalt pavement functional and structural performance using PSO-BPNN algorithm. Constr. Build. Mater. 2023, 407, 133534. [Google Scholar] [CrossRef]
- Chiou, Y.-S.; Ho, M.-C.; Song, P.-Y.; Lin, J.-D.; Lu, S.-H.; Ke, C.-Y. A Study on the Application of Genetic Algorithms to the Optimization of Road Maintenance Strategies. Appl. Sci. 2025, 15, 10094. [Google Scholar] [CrossRef]
- Altarabsheh, A.; Altarabsheh, I.; Ventresca, M. A hybrid genetic algorithm to maintain road networks using reliability theory. Struct. Infrastruct. Eng. 2023, 19, 810–823. [Google Scholar] [CrossRef]
- Li, H.; Zhang, J.; Yang, X.; Ye, M.; Jiang, W.; Gong, J.; Tian, Y.; Zhao, L.; Wang, W.; Xu, Z. Bayesian optimization based extreme gradient boosting and GPR time-frequency features for the recognition of moisture damage in asphalt pavement. Constr. Build. Mater. 2024, 434, 136675. [Google Scholar] [CrossRef]
- Sheikh, I.R.; Ming, Z.; Xiaohui, S.; Changqing, C.; Xiangsheng, C.; Zijun, D.; Foci, C. Interpretable machine learning framework for resilient modulus estimation using LTPP data for pavements. Case Stud. Constr. Mater. 2025, 23, e05403. [Google Scholar] [CrossRef]
- Shafiee, M.; Fattahi, M.; Roshani, E.; Popov, P. Enhanced prediction of urban road pavement performance under climate change with machine learning. J. Civ. Eng. Constr. 2024, 13, 159–169. [Google Scholar] [CrossRef]
- Fares, A.; Abdelkader, E.M.; Faris, N.; Zayed, T. Using machine learning for road performance modelling and influential factors investigation. Int. J. Struct. Civil Eng. Res. 2023, 12, 154–159. [Google Scholar] [CrossRef]
- Breejen, F.d.; Bae, S.; Cha, S.; Yun, S.-Y. Fine-tuned In-Context Learning Transformers are Excellent Tabular Data Classifiers. arXiv 2024, arXiv:2405.13396. [Google Scholar]
- Gardner, J.; Perdomo, J.C.; Schmidt, L. Large scale transfer learning for tabular data via language modeling. Adv. Neural Inf. Process. Syst. 2024, 37, 45155–45205. [Google Scholar]
- Zhang, X.; Wang, Z.; Jiang, L.; Gao, W.; Wang, P.; Liu, K. TFWT: Tabular Feature Weighting with Transformer. arXiv 2024, arXiv:2405.08403. [Google Scholar] [CrossRef]
- Peroni, M.; Le, F.; Sheinin, V. Robust Tabular Foundation Models. arXiv 2025, arXiv:2512.03307. [Google Scholar]
- Sharma, A.; Aggarwal, P. IRI prediction using machine learning models. WSEAS Trans. Comput. Res. 2023, 11, 111–116. [Google Scholar] [CrossRef]
- Khalifah, R.; Isied, M.; Souliman, M. Asphalt pavement bleeding prediction model using LTPP database. In Bituminous Mixtures and Pavements VIII; CRC Press: Boca Raton, FL, USA, 2024; pp. 879–885. [Google Scholar]
- Chen, L.; Li, H.; Wang, S.; Shan, F.; Han, Y.; Zhong, G. Imporved model for pavement performance prediction based on recurrent neural network using LTPP database. Int. J. Transp. Sci. Technol. 2024, 19, 128–138. [Google Scholar] [CrossRef]
- Song, Y.; Wang, Y.D.; Hu, X.; Liu, J. An efficient and explainable ensemble learning model for asphalt pavement condition prediction based on LTPP dataset. IEEE Trans. Intell. Transp. Syst. 2022, 23, 22084–22093. [Google Scholar] [CrossRef]
- Ahmed, T.; Isied, M.; Souliman, M. Enhancing road safety: Developing a neural network-based model for predicting skid resistance in asphalt pavements using LTPP data. Discover Civ. Eng. 2025, 2, 226. [Google Scholar] [CrossRef]
- Suliman, A.M.; Awed, A.M.; Abd El-Hakim, R.T.; El-Badawy, S.M. International roughness index prediction for jointed plain concrete pavements using regression and machine learning techniques. Transp. Res. Rec. 2024, 2678, 235–250. [Google Scholar] [CrossRef]
- Elkins, G.E.; Ostrom, B. Long-Term Pavement Performance Information Management System User Guide; U.S. Department of Transportation, Federal Highway Administration: Washington, DC, USA, 2021. [Google Scholar]
- Wei, J.; Shen, T.; Wang, K.; Liu, J.; Wang, S.; Hu, W. Transfer learning framework for the wind pressure prediction of high-rise building surfaces using wind tunnel experiments and machine learning. Build. Environ. 2025, 271, 112620. [Google Scholar] [CrossRef]
- Zaidi, S.A.; Chouvatut, V.; Phongnarisorn, C.; Praserttitipong, D. Deep learning based detection of endometriosis lesions in laparoscopic images with 5-fold cross-validation. Intell.-Based Med. 2025, 11, 100230. [Google Scholar] [CrossRef]
- Dada, B.A.; Nwulu, N.I.; Olukanmi, S.O. Bayesian Optimization with Optuna for Enhanced Soil Nutrient Prediction: A Comparative Study with Genetic Algorithm and Particle Swarm Optimization. Smart Agric. Technol. 2025, 12, 101136. [Google Scholar] [CrossRef]
- Hu, H.; Xia, X.; Jian, L.; Zhang, Y.; Tang, Y.; Wang, L.; Liao, Y.; Pan, Z. Analysis of the Impact of Street Physical Morphology on Thermal Environment Based on GBDT-SHAP Machine Learning Model: A Case Study of the Five Central Districts of Chengdu; Research Square: Asheville, NC, USA, 2025. [Google Scholar]
- Ye, H.-J.; Liu, S.-Y.; Chao, W.-L. A closer look at tabpfn v2: Strength, limitation, and extension. arXiv 2025, arXiv:2502.17361. [Google Scholar] [CrossRef]
- Qu, J.; HolzmÞller, D.; Varoquaux, G.; Morvan, M.L. Tabicl: A tabular foundation model for in-context learning on large data. arXiv 2025, arXiv:2502.05564. [Google Scholar]
- Plati, C.; Armeni, A.; Kyriakou, C.; Asoniti, D. AI for Predicting Pavement Roughness in Road Monitoring and Maintenance. Infrastructures 2025, 10, 157. [Google Scholar] [CrossRef]
- Arshad, M.; Hamza, H.M. Applications of machine learning and traditional prediction techniques for estimating resilient modulus values of unbound granular materials incorporating reclaimed asphalt pavement (RAP) as a primary component. Constr. Build. Mater. 2025, 473, 140900. [Google Scholar] [CrossRef]
- Zhu, J.; Yin, Y.; Ma, T.; Wang, D. A novel maintenance decision model for asphalt pavement considering crack causes based on random forest and XGBoost. Constr. Build. Mater. 2025, 477, 140610. [Google Scholar] [CrossRef]
- Luo, C.; Zhu, S.-P.; Keshtegar, B.; Niu, X.; Taylan, O. An enhanced uniform simulation approach coupled with SVR for efficient structural reliability analysis. Reliab. Eng. Syst. Saf. 2023, 237, 109377. [Google Scholar] [CrossRef]
- Khan, A.; Zhang, W.; Wu, Y.; She, X.; Jiang, X.; Huang, W.; Wang, H.; Bao, W.; Feng, C. Prediction of pavement maintenance quality and performance indicators using particle swarm optimized gradient boosting decision trees. Int. J. Pavement Eng. 2025, 26, 2595129. [Google Scholar] [CrossRef]
- Yamany, M.S.; Elshaboury, N.; Abdelaty, A.; Smadi, O.; Ksaibati, K. Pavement Roughness Prediction on Local Roads: Machine Learning Models and Classification Granularity. Int. J. Pavement Res. Technol. 2025, 18, 1–20. [Google Scholar] [CrossRef]
- Zhang, Y.; Peng, J.; Wang, Z.; Xi, M.; Liu, J.; Xu, L. Machine learning-assisted sustainable mix design of waste glass powder concrete with strength–cost–CO2 emissions trade-offs. Buildings 2025, 15, 2640. [Google Scholar] [CrossRef]
- Jamil, M.H.; Jagirdar, R.; Kashem, A.; Ali, M.N.; Deb, D. Modeling of Marshall Stability of plastic-reinforced asphalt concrete using machine learning algorithms and SHAP. Hybrid Adv. 2025, 10, 100483. [Google Scholar] [CrossRef]
- Bordt, S.; von Luxburg, U. From Shapley values to generalized additive models and back. In Proceedings of the International Conference on Artificial Intelligence and Statistics, Valencia, Spain, 2–4 May 2024; PMLR: 2023, pp. 709–745. [Google Scholar]
- Xu, Q.; Li, J.; Fan, Y.; Gao, Z.; Wang, Z.; Xu, L.; Wang, S.; Liu, J. Intelligent prediction framework for axial compressive capacity of FRP-RACFST columns. Mater. Today Commun. 2024, 41, 110999. [Google Scholar] [CrossRef]












| Reference | Data Source | Sample | Model | Performance Index | |
|---|---|---|---|---|---|
| [51] | LTPP | 2111 | GPR | IRI | 0.89 |
| [52] | LTPP | 1725 | ANN | IRI | 0.75 |
| [53] | LTPP | 3238 | LSTM-Attention | IRI | 0.79 |
| [54] | LTPP | 4782 | CNN-GRU hybrid model | IRI | 0.89 |
| [55] | LTPP | 395 | PSO-SVR | IRI | 0.91 |
| [56] | LTPP | 1414 | ANN | IRI | 0.92 |
| Pavement Type | Sample Size |
|---|---|
| Flexible pavement | 8412 |
| Rigid pavement | 1724 |
| Composite pavement | 700 |
| Layer Type | Primary Function | Pavement Layer |
|---|---|---|
| Asphalt Concrete (AC) | Provides structural strength and durability; supports traffic loads and ensures ride comfort. | Surface Layer |
| Elastic Foam (EF) | Absorbs stress and energy; reduces vibration and noise; enhances fatigue performance. | Base Layer |
| Granular Base (GB) | Provides bearing capacity; distributes loads and ensures drainage. | Base Layer |
| Treated Base (TB) | Strengthens structure via stabilization; reduces permanent deformation and rutting. | Base Layer |
| Granular Subbase (GS) | Serves as transitional support; improves stability, drainage, and frost resistance. | Subbase Layer |
| Treated Subbase (TS) | Enhances sublayer load bearing; mitigates soil deformation and improves long-term performance. | Subbase Layer |
| Subgrade Soil (SS) | Forms natural foundation; determines bearing capacity and deformation control | Subgrade |
| Types of Variables | Variables | Min. | Max. | Avg. | Median. | |
|---|---|---|---|---|---|---|
| Input | Pavement Structure | ELE | −34.00 | 5991.00 | 419.66 | 274.00 |
| ALT | 1.81 | 76.60 | 7.73 | 5.83 | ||
| CY | 1989.00 | 2012.00 | 1991.91 | 2000.00 | ||
| Climate | TAP | 23.60 | 2619.70 | 852.95 | 865.90 | |
| TSY | 0.00 | 10,286.00 | 671.16 | 501.00 | ||
| MAT | −4.10 | 26.60 | 12.15 | 11.40 | ||
| FIY | 0.00 | 3369.00 | 384.24 | 207.00 | ||
| FTY | 0.00 | 236.00 | 78.03 | 80.00 | ||
| MAW | 0.70 | 7.80 | 3.76 | 3.80 | ||
| MAH | 35.00 | 99.00 | 85.87 | 89.00 | ||
| mAH | 13.00 | 76.00 | 46.17 | 49.00 | ||
| Traffic | AADTT | 0.00 | 15,170.00 | 1191.11 | 803.00 | |
| ATV | 0.00 | 5,537,050.00 | 413,002.96 | 268,640.00 | ||
| ESAL | 0.00 | 4,295,722.00 | 460,667.14 | 269,629.00 | ||
| GESAL | 0.00 | 3,495,555.00 | 397,360.91 | 242,292.00 | ||
| Output | IRI | 0.32 | 5.87 | 1.49 | 1.33 | |
| Index | Formula | |
|---|---|---|
| (3) | ||
| RMSE | (4) | |
| MAE | (5) | |
| MAPE | (6) | |
| ML Model | Hyperparameter | Search Range | Optimal Value |
|---|---|---|---|
| XGBoost | n_estimators | 50–1000 | 405 |
| learning_rate | 0.02–0.2 (log) | 0.0384 | |
| max_depth | 4–10 | 9 | |
| subsample | 0.6–1.0 | 0.7663 | |
| colsample_bytree | 0.6–1.0 | 0.6022 | |
| RF | n_estimators | 50–1000 | 810 |
| max_depth | 8–25 | 10 | |
| min_samples_split | 5–20 | 8 | |
| min_samples_leaf | 2–8 | 2 | |
| SVR | C | 0.1–1000 (log) | 0.7201 |
| epsilon | 0.01–1.0 (log) | 0.0666 | |
| kernel | [‘rbf’, ‘poly’] | rbf | |
| gamma | [‘scale’, ‘auto’] | scale | |
| LightGBM | n_estimators | 50–1000 | 522 |
| learning_rate | 0.02–0.2 (log) | 0.0529 | |
| max_depth | 4–10 | 8 | |
| num_leaves | 25–100 | 83 | |
| min_child_samples | 5–20 | 17 | |
| KNN | n_neighbors | 5–30 | 25 |
| weights | [‘uniform’, ‘distance’] | uniform | |
| p | 1–3 | 2 | |
| GBDT | n_estimators | 50–1000 | 665 |
| learning_rate | 0.02–0.2 (log) | 0.0270 | |
| max_depth | 4–10 | 9 | |
| min_samples_split | 1–20 | 5 | |
| min_samples_leaf | 2–8 | 6 | |
| MLP | activation | [‘relu’, ‘tanh’] | tanh |
| learning_rate_init | 5 × 10−4–5 × 10−2 (log) | 0.0467 | |
| hidden_layer_sizes | [(100, 50), (200, 100, 50), (256, 128, 64)] | (200, 100, 50) | |
| alpha (L2 regularization) | 1 × 10−5–1 × 10−2 (log) | 0.0038 | |
| max_epochs | 200–1000 | 927 | |
| TabPFN | device | Default/Fixed | auto |
| n_estimators | Default/Fixed | 8 | |
| random_state | Default/Fixed | 42 | |
| TabM | learning_rate | Default/Fixed | 0.0033 |
| epochs | Default/Fixed | 51 | |
| batch_size | Default/Fixed | 512 |
| ML Model | Model Performance Evaluation Parameters | |||||||
|---|---|---|---|---|---|---|---|---|
| Train Set | Test Set | |||||||
| RMSE | MAE | MAPE | RMSE | MAE | MAPE | |||
| TabPFN | 0.9414 | 0.1336 | 0.0247 | 1.4462 | 0.9474 | 0.1380 | 0.0247 | 1.3649 |
| TabM | 0.8168 | 0.2370 | 0.1442 | 11.0573 | 0.8370 | 0.2429 | 0.1485 | 11.4749 |
| GBDT | 0.9523 | 0.1210 | 0.0255 | 1.6560 | 0.9136 | 0.1768 | 0.0348 | 2.1917 |
| XGBoost | 0.9533 | 0.1196 | 0.0277 | 1.9082 | 0.8963 | 0.1937 | 0.0411 | 2.7267 |
| RF | 0.9347 | 0.1415 | 0.0668 | 5.4092 | 0.9250 | 0.1684 | 0.0723 | 5.8640 |
| LightGBM | 0.9496 | 0.1244 | 0.0291 | 1.9523 | 0.9334 | 0.1552 | 0.0345 | 2.2967 |
| MLP | 0.2309 | 0.2857 | 0.3410 | 27.4663 | 0.2106 | 0.2345 | 0.3661 | 28.6109 |
| KNN | 0.6090 | 0.3463 | 0.2264 | 17.3231 | 0.5841 | 0.3880 | 0.2436 | 18.5068 |
| SVR | 0.3319 | 0.4527 | 0.2540 | 17.1353 | 0.2929 | 0.5058 | 0.2719 | 17.7228 |
| Model | t-Statistic | p-Value |
|---|---|---|
| XGBoost | 5.21 | |
| RF | 4.97 | |
| SVR | 8.86 | |
| LightGBM | 4.82 | |
| KNN | 8.03 | |
| GBDT | 4.93 | |
| MLP | 12.47 | |
| TabM | 11.78 |
| Dataset | Model | Bootstrap CI (95%) | |||
|---|---|---|---|---|---|
| Train Set | Test Set | ||||
| (95% CI) | RMSE (95% CI) | (95% CI) | RMSE (95% CI) | ||
| AC | TabPFN | 0.9273 (0.9058–0.9512) | 0.0751 (0.0599–0.0896) | 0.9243 (0.9036–0.9443) | 0.0763 (0.0511–0.0984) |
| RF | 0.9273 (0.9058–0.9312) | 0.0772 (0.0611–0.0914) | 0.7578 (0.5778–0.8821) | 0.1357 (0.0925–0.1731) | |
| LR | 0.1916 (0.1707–0.2112) | 0.2439 (0.2290–0.2596) | 0.1997 (0.1605–0.2305) | 0.2467 (0.2188–0.2745) | |
| GS+TS | TabPFN | 0.9477 (0.9429–0.9508) | 0.1616 (0.1575–0.1656) | 0.9494 (0.9483–0.9513) | 0.1651 (0.1571–0.1726) |
| RF | 0.9277 (0.9265–0.9301) | 0.1912 (0.1868–0.1955) | 0.9287 (0.9252–0.9303) | 0.1954 (0.1865–0.2033) | |
| LR | 0.5061 (0.4890–0.5255) | 0.5078 (0.4942–0.5218) | 0.5058 (0.4718–0.5390) | 0.5191 (0.4873–0.5468) | |
| GB+TB+EF | TabPFN | 0.9478 (0.9440–0.9516) | 0.1781 (0.1722–0.1838) | 0.9486 (0.9406–0.9557) | 0.1793 (0.1668–0.1918) |
| RF | 0.9479 (0.9445–0.9513) | 0.1783 (0.1739–0.1829) | 0.9485 (0.9482–0.9687) | 0.1795 (0.1709–0.1886) | |
| LR | 0.3661 (0.3462–0.3870) | 0.6204 (0.6067–0.6340) | 0.3702 (0.3336–0.4048) | 0.6278 (0.6014–0.6550) | |
| SS | TabPFN | 0.9417 (0.9403–0.9501) | 0.1548 (0.1521–0.1573) | 0.9495 (0.9424–0.9502) | 0.1556 (0.1504–0.1610) |
| RF | 0.9217 (0.9212–0.9301) | 0.1831 (0.1800–0.1860) | 0.9246 (0.9214–0.9303) | 0.1841 (0.1780–0.1901) | |
| LR | 0.3707 (0.3631–0.3786) | 0.5490 (0.5392–0.5580) | 0.3705 (0.3542–0.3861) | 0.5520 (0.5237–0.5721) | |
| Variable | Threshold | Observed Effect on IRI | Engineering Implication |
|---|---|---|---|
| ALT | >7.30 cm | IRI increases with higher SHAP contribution | Pavement performance becomes more sensitive to structural thickness under repeated traffic loading |
| ELE | <149.81 m or >506.62 m | Higher SHAP contributions at extreme elevations | Extreme elevation conditions may intensify climate-related pavement deterioration |
| mAH | 26.42–37.77% | Increased SHAP contribution | Moderate humidity ranges may promote material deterioration processes |
| MAW | <2.82 m/s | Increased SHAP contribution to IRI | Low wind speed environments may facilitate moisture retention and accelerate pavement degradation |
| MAH | 58.29–94.88% | Increased IRI risk | High humidity weakens pavement materials and accelerates roughness development |
| MAT | <16.8 °C | Higher SHAP contribution | Lower temperature environments intensify pavement deterioration |
| TAP | Around 1111.42 mm | Second transition point in SHAP response | High precipitation may accelerate moisture-related pavement damage |
| FTY | >42 cycles/year | Significant increase in IRI | Repeated freeze–thaw cycles accelerate pavement structural damage |
| GESAL | <243,331.64 | Increased SHAP contribution | Rapid traffic growth accelerates cumulative load effects and pavement deterioration |
| ATV | <752,043 | Higher SHAP contribution observed with increasing values | Higher truck traffic intensity accelerates cumulative traffic loading effects on pavement roughness |
| AADTT | 997–2680; 3699–7616 | Elevated SHAP contribution | Moderate to high truck traffic levels accelerate pavement fatigue accumulation and intensify pavement deterioration. |
| ESAL | >6.31 × 105 | Rapid increase in SHAP contribution | Cumulative heavy traffic loading accelerates pavement roughness growth |
| Dataset | Feature | Mean|SHAP|Values |
|---|---|---|
| AC | ESAL | 0.2244 |
| AADTT | 0.1091 | |
| GESAL | 0.0322 | |
| FTY | 0.0278 | |
| GS+TS | ALT | 0.2397 |
| mAH | 0.1885 | |
| ESAL | 0.0956 | |
| GESAL | 0.0691 | |
| GB+TB+EF | ESAL | 0.2745 |
| GESAL | 0.1204 | |
| FTY | 0.0711 | |
| FIY | 0.0674 | |
| SS | ALT | 0.1832 |
| ESAL | 0.1254 | |
| AADTT | 0.0616 | |
| ELE | 0.0551 |
| Evidence Category | Key Result | Quantitative Evidence | Engineering Implication |
|---|---|---|---|
| Model Performance | TabPFN achieved best prediction accuracy | Test ; RMSE = 0.1380 | Reliable IRI prediction under complex conditions |
| Model stability | Ensemble and cross-validation improved generalization | Stable performance across 5-fold CV | Reduced overfitting and improved transferability |
| Factor Contribution | Traffic, structure, and climate jointly drive IRI evolution | Traffic: 39.5%; Structure: 35.9%; Climate: 24.5% | Multi-factor coupling must be considered in maintenance |
| GAM nonlinear threshold | Critical turning points identified | ESAL > 6.31 × 106; MAT < 16.86 °C; ALT > 7.30 cm | Supports threshold-based preventive maintenance |
| Pavement-Type Sensitivity | Influencing factors vary by pavement structure | AC: ALT, ESAL/AADTT; GB+TB+EF: ALT, GESAL/AADTT; GS+TS: ALT, FTY; SS: ALT, GESAL | Enables structure-specific lifecycle management |
Disclaimer/Publisher’s Note: The statements, opinions and data contained in all publications are solely those of the individual author(s) and contributor(s) and not of MDPI and/or the editor(s). MDPI and/or the editor(s) disclaim responsibility for any injury to people or property resulting from any ideas, methods, instructions or products referred to in the content. |
© 2026 by the authors. Licensee MDPI, Basel, Switzerland. This article is an open access article distributed under the terms and conditions of the Creative Commons Attribution (CC BY) license.
Share and Cite
Qin, L.; Liu, T.; Sun, Q.; Tang, M. An Interpretable Pretrained Tabular Modeling Framework for Predicting IRI Across Multiple Pavement Structural Configurations. Buildings 2026, 16, 1358. https://doi.org/10.3390/buildings16071358
Qin L, Liu T, Sun Q, Tang M. An Interpretable Pretrained Tabular Modeling Framework for Predicting IRI Across Multiple Pavement Structural Configurations. Buildings. 2026; 16(7):1358. https://doi.org/10.3390/buildings16071358
Chicago/Turabian StyleQin, Liang, Tong Liu, Qianhui Sun, and Mingxin Tang. 2026. "An Interpretable Pretrained Tabular Modeling Framework for Predicting IRI Across Multiple Pavement Structural Configurations" Buildings 16, no. 7: 1358. https://doi.org/10.3390/buildings16071358
APA StyleQin, L., Liu, T., Sun, Q., & Tang, M. (2026). An Interpretable Pretrained Tabular Modeling Framework for Predicting IRI Across Multiple Pavement Structural Configurations. Buildings, 16(7), 1358. https://doi.org/10.3390/buildings16071358

