Investigation of the Flow and Mechanical Performances of Foamed Concrete Used for Filling Cracks in the Base Layer of Asphalt Pavement
Abstract
1. Introduction
2. Test Materials and Test Methods
2.1. Raw Materials
2.2. Test Methods
2.2.1. Flow Performance
2.2.2. Mechanical Performance
2.2.3. Grouting Plumpness
2.2.4. Image Acquisition
2.2.5. Gray Correlation Analysis
2.2.6. Test Verification of Grouting Plumpness
3. Results and Discussions
3.1. Performance Test Results of FC
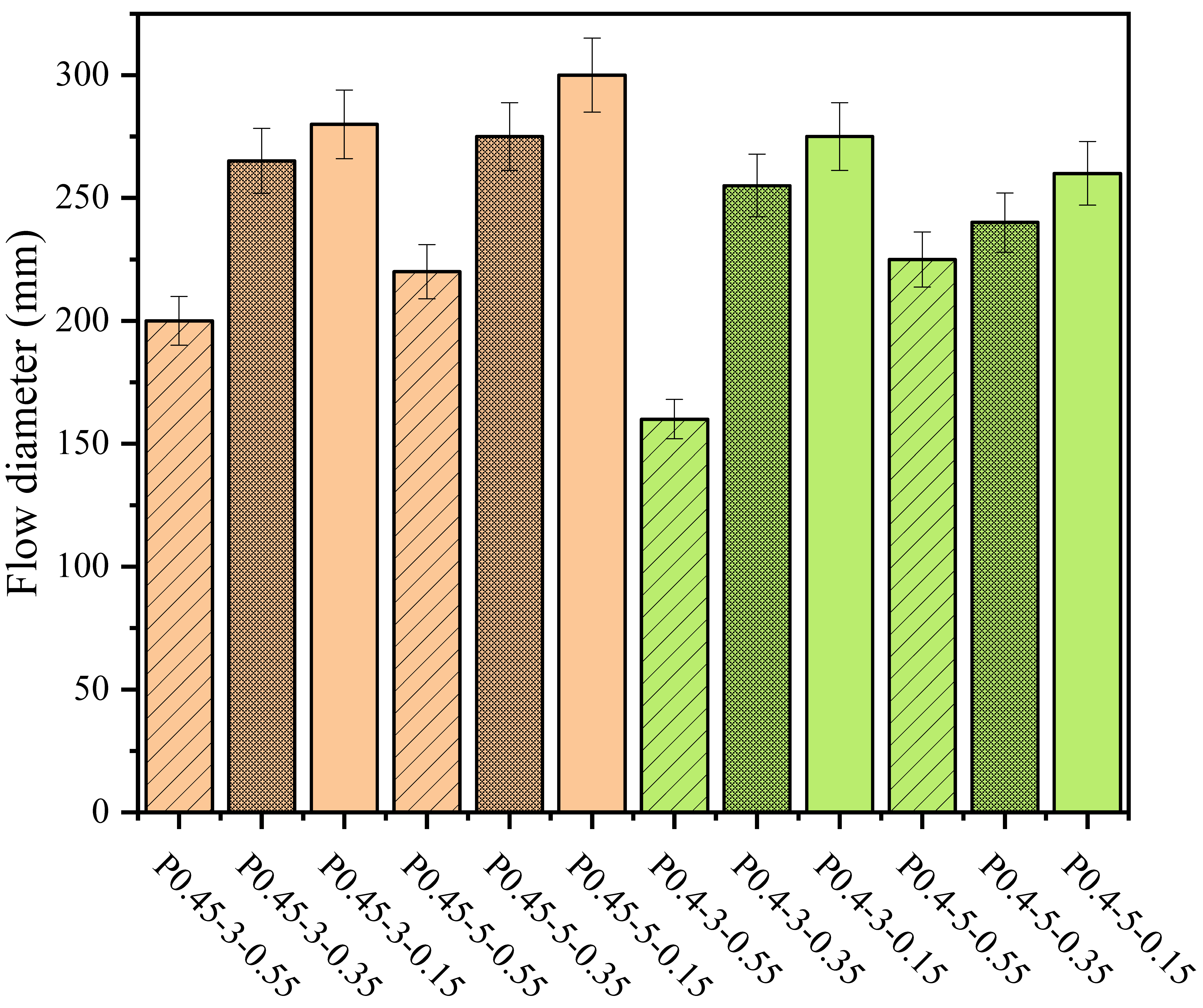
3.1.1. Flow Performance
3.1.2. Mechanical Performance
3.2. Tested Grouting Plumpness Results of FC
3.3. Calculated Grouting Plumpness Results of FC
3.3.1. Comparison of Grouting Plumpness
3.3.2. Distribution of FC
3.4. Gray Correlation Analysis
3.5. Verification of the Grouting Feasibility Conclusion
4. Conclusions
- (1)
- Increasing W/C and WRA dosage could effectively improve the flow performance of FC. Compared with P0.4-3-0.55, increasing W/C by 0.05 (P0.45-3-0.55) reduced flow time by 72.22% and increased flow diameter by 25%. Increasing water reducing agent dosage by 0.2 (P0.4-3-0.35) reduced flow time by 65.56% and increased flow diameter by 40.63%.
- (2)
- Increasing W/C and the dosage of WRA reduced the mechanical performance of FC. For P0.4-3-0.55 and P0.45-3-0.55, when the W/C increased by 0.05, the 28d flexural and compressive strength reduced by 17.7% and 36.9%, respectively. Compared with P0.45-5-0.55, increasing the water-reducing agent dosage by 0.2 caused the 28d flexural strength and compressive strength to reduce by 74.7% and 15.4%, respectively.
- (3)
- Flow diameter should be higher than 230 mm to ensure that the average grouting plumpness of FC was above 80%. The result can be directly applied to the optimization and control of grouting mixture proportions in the field.
- (4)
- The flow performance indexes of FC obtained by the flow cone method and the MSM both had obvious correlations with the grouting plumpness. The correlation between flow diameter and the grouting plumpness was 0.85, and this method should be first selected to evaluate the flow performance of FC.
5. Future
Author Contributions
Funding
Data Availability Statement
Conflicts of Interest
References
- Du, Y.; Liu, P.; Quan, X.; Ma, C.; Tian, J.; Wu, X. Improving Rutting and Fatigue Properties of Asphalt Mastic by Adding Cement–Polyethylene Glycol Composite. J. Mater. Civ. Eng. 2021, 33, 04021291. [Google Scholar] [CrossRef]
- Guo, M.; Zhang, R.; Du, X.; Liu, P. A State-of-the-Art Review on the Functionality of Ultra-Thin Overlays Towards a Future Low Carbon Road Maintenance. Engineering 2024, 32, 82–98. [Google Scholar] [CrossRef]
- Yeo, S.H.; Mo, K.H.; Hosen, M.A.; Mahmud, H.B. Properties of cementitious repair materials for concrete pavement. Adv. Mater. Sci. Eng. 2022, 2022, 3057801. [Google Scholar] [CrossRef]
- Mariappan, R.; Subanantharaj Palammal, J.; Soundara, B.; Gurujothi, S.R. Sustainable pavement construction through reclaimed asphalt pavement and supplementary cementitious materials. Eur. J. Environ. Civ. Eng. 2025, 30, 1–38. [Google Scholar] [CrossRef]
- Tarefder, R.A.; Ahmad, M. Cost-effectiveness analysis of chip seal with and without millings. Int. J. Pavement Eng. 2018, 19, 893–900. [Google Scholar] [CrossRef]
- Xu, S.; Cao, H.; Zhu, Y.; Sun, H.; Lu, J.; Shi, J. Mechanism of filtration behaviors of cement-based grout in saturated sand under different grouting conditions. Geofluids 2022, 2022, 2332743. [Google Scholar] [CrossRef]
- Wang, C.; Diao, Y.; Guo, C.; Wu, H.; Guan, H.; Qin, L.; Chu, X.; Du, X. Experimental study on the mechanical behavior of silty soil stabilized with polyurethane. Constr. Build. Mater. 2024, 416, 15. [Google Scholar] [CrossRef]
- Xiao, Y.; Stuedlein, A.W.; Pan, Z.; Liu, H.; Evans, T.M.; He, X.; Lin, H.; Chu, J.; van Paassen, L.A. Toe bearing capacity of precast concrete piles through bio-grouting improvement. J. Geotech. Geoenvironmental Eng. 2020, 146, 06020026. [Google Scholar] [CrossRef]
- Tian, Z.; Zhang, Z.; Zhang, K.; Tang, X.; Huang, S. Statistical modeling and multi-objective optimization of road geopolymer grouting material via RSM and MOPSO. Constr. Build. Mater. 2020, 271, 121534. [Google Scholar] [CrossRef]
- Zhang, S.; Qiao, W.G.; Chen, P.C.; Xi, K. Rheological and mechanical properties of microfine-cement-based grouts mixed with microfine fly ash, colloidal nano-silica and super plasticizer. Constr. Build. Mater. 2019, 212, 10–18. [Google Scholar] [CrossRef]
- Mejdi, M.; Wilson, W.; Saillio, M.; Chaussadent, T.; Divet, L.; Tagnit-Hamou, A. Hydration and microstructure of glass powder cement pastes-A multi-technique investigation. Concr. Res. 2022, 151, 106610. [Google Scholar] [CrossRef]
- Zhang, Y.; Wang, Y.; Li, T.; Xiong, Z.; Sun, Y. Effects of lithium carbonate on performances of sulphoaluminate cement-based dual liquid high water material and its mechanisms. Constr. Build. Mater. 2017, 161, 374–380. [Google Scholar] [CrossRef]
- Xu, J.; Kang, A.; Wu, Z.; Xiao, P.; Li, B.; Lu, Y. Research on the Formulation and Properties of a High-Performance Geopolymer Grouting Material Based on Slag and Fly Ash. KSCE J. Civ. Eng. 2021, 25, 3437–3447. [Google Scholar] [CrossRef]
- Technical Guidelines for Construction of Highway Roadbases, JTG/T F20-2015, 2015. Available online: https://www.scribd.com/document/949483052/8-JTG-T-F20-2015-Technical-Guidelines-for-Construction-of-Highway-Roadbases (accessed on 1 August 2015).
- Han, C.; Wei, J.; Zhang, W.; Yang, F.; Yin, H.; Xie, D.; Xie, C. Quantitative permeation grouting in sand layer with consideration of grout properties and medium characteristics. Constr. Build. Mater. 2022, 327, 126947. [Google Scholar] [CrossRef]
- Tabatabaeian, M.; Khaloo, A.; Khaloo, H. An innovative high performance pervious concrete with polyester and epoxy resins. Constr. Build. Mater. 2019, 228, 116820. [Google Scholar] [CrossRef]
- Bayraktar, O.Y.; Kaplan, G.; Gencel, O.; Benli, A.; Sutcu, M. Physico-mechanical, durability and thermal properties of basalt fiber reinforced foamed concrete containing waste marble powder and slag. Constr. Build. Mater. 2021, 288, 123128. [Google Scholar] [CrossRef]
- Lu, X.; Wang, J.; Wang, J.; Tan, H. Effect of hydroxypropyl methylcellulose as foam stabilizers on the stability of foam and properties of foamed concrete. Constr. Build. Mater. 2024, 413, 134906. [Google Scholar] [CrossRef]
- Zhang, S.; He, Y.; Zhang, H.; Chen, J.; Liu, L. Effect of fine sand powder on the rheological properties of one-part alkali-activated slag semi-flexible pavement grouting materials. Constr. Build. Mater. 2022, 333, 127328. [Google Scholar] [CrossRef]
- Zhang, J.; Li, S.; Li, Z.; Liu, C.; Gao, Y.; Qi, Y. Properties of red mud blended with magnesium phosphate cement paste: Feasibility of grouting material preparation. Constr. Build. Mater. 2020, 260, 119704. [Google Scholar] [CrossRef]
- Fan, D.; Zhang, C.; Lu, J.; Peng, L.; Yu, R.; Poon, C. Rheology dependent pore structure optimization of high-performance foam concrete. Cem. Concr. Res. 2025, 188, 107737. [Google Scholar] [CrossRef]
- Zhou, G.; Zhu, Y.; Su, R.K.L. Novel high performance green calcined clay-based foam concrete. J. Build. Eng. 2025, 110, 113069. [Google Scholar] [CrossRef]
- Sang, L.; Xu, Y.; Ke, Z.; Yin, J. Open-graded asphalt concrete grouted by latex modified cement mortar. Road Mater. Pavement Des. 2018, 21, 61–77. [Google Scholar] [CrossRef]
- Yang, B.; Weng, X. The influence on the durability of semi-flexible airport pavement materials to cyclic wheel load test. Constr. Build. Mater. 2015, 98, 171–175. [Google Scholar] [CrossRef]
- Brady, K.C.; Jones, M.R.; Watts, G.R. Specification for foamed concrete. In Application Guide AG39; TRL Limited: Wokingham, UK, 2001. [Google Scholar]
- Luo, D.; Qiao, X.; Niu, D. A predictive model for the freeze-thaw concrete durability index utilizing the deeplabv3+ model with machine learning. Constr. Build. Mater. 2025, 459, 139788. [Google Scholar] [CrossRef]
- Kabir, H.; Wu, J.; Dahal, S.; Joo, T.; Garg, N. Automated estimation of cementitious sorptivity via computer vision. Nat. Commun. 2026, 15, 9935. [Google Scholar] [CrossRef]
- Liu, F. Grey System Theory and Its Applications, 10th ed.; Science Press: Beijing, China, 2024; p. 16. [Google Scholar]
- Li, H.; Chen, D.; Arzaghi, E.; Abbassi, R.; Xu, B.; Patelli, E.; Tolo, S. Safety assessment of hydro-generating units using experiments and grey-entropy correlation analysis. Energy 2018, 165, 222–234. [Google Scholar] [CrossRef]
- Zhang, H.; Ma, W.; Gao, F.; Ge, Z.; Yang, M.; Fang, H.; Šavija, B. Rheology, shrinkage, mechanical properties and microstructure of ultra-light-weight concrete with fly ash cenospheres. J. Build. Eng. 2024, 98, 111258. [Google Scholar] [CrossRef]
- Qiu, J.; Guo, Z.; Yang, L.; Jiang, H.; Zhao, Y. Effects of packing density and water film thickness on the fluidity behavior of cemented paste backfill. Powder Technol. 2020, 359, 27. [Google Scholar] [CrossRef]
- Xiong, Y.; Zhang, Z.; Zhang, C.; Xiao, J. Foam-stability enhancement in biochar-infused foam concrete: Analyzing ionic strength, interparticle distance, and water state. J. Clean. Prod. 2024, 443, 141231. [Google Scholar] [CrossRef]
- Zeng, H.; Lai, Y.; Qu, S.; Yu, F. Exploring the effect of graphene oxide on freeze-thaw durability of air-entrained mortars. Constr. Build. Mater. 2022, 324, 126708. [Google Scholar] [CrossRef]
- Zhao, S.; Ouyang, J.; Han, B.G. Study on the evolution of rheological properties and microscopic characteristics of environmentally friendly NRL-modified asphalt and its modification mechanism. Int. J. Pavement Eng. 2026, 27, 2604720. [Google Scholar] [CrossRef]













| Group | W/C | WRA (wt.%) | Foam Dosage (vol.%) |
|---|---|---|---|
| P0.45-3-0.55 | 0.45 | 0.3% | 55% |
| P0.45-3-0.35 | 0.45 | 0.3% | 35% |
| P0.45-3-0.15 | 0.45 | 0.3% | 15% |
| P0.45-5-0.55 | 0.45 | 0.5% | 55% |
| P0.45-5-0.35 | 0.45 | 0.5% | 35% |
| P0.45-5-0.15 | 0.45 | 0.5% | 15% |
| P0.4-3-0.55 | 0.4 | 0.3% | 55% |
| P0.4-3-0.35 | 0.4 | 0.3% | 35% |
| P0.4-3-0.15 | 0.4 | 0.3% | 15% |
| P0.4-5-0.55 | 0.4 | 0.5% | 55% |
| P0.4-5-0.35 | 0.4 | 0.5% | 35% |
| P0.4-5-0.15 | 0.4 | 0.5% | 15% |
| Group | Measured Grouting Plumpness/% | Calculated Grouting Plumpness/% | Relative Difference/% |
|---|---|---|---|
| P0.45-3-0.55 | 58.63 | 61.60 | −5.06 |
| P0.45-3-0.35 | 73.89 | 69.83 | 5.49 |
| P0.45-3-0.15 | 89.34 | 92.37 | −3.39 |
| P0.45-5-0.55 | 81.22 | 78.44 | 3.42 |
| P0.45-5-0.35 | 85.99 | 80.36 | 6.55 |
| P0.45-5-0.15 | 89.00 | 88.75 | 0.28 |
| P0.4-3-0.55 | 19.56 | 22.16 | −3.29 |
| P0.4-3-0.35 | 51.04 | 49.57 | 2.88 |
| P0.4-3-0.15 | 67.90 | 63.85 | 5.96 |
| P0.4-5-0.55 | 48.44 | 49.76 | −2.72 |
| P0.4-5-0.35 | 66.08 | 62.18 | 5.90 |
| P0.4-5-0.15 | 79.24 | 75.89 | 4.23 |
| Group | |||||
|---|---|---|---|---|---|
| 1 | 0.73 | 0.81 | 0.76 | 0.77 | 0.95 |
| 2 | 0.72 | 0.87 | 0.79 | 0.74 | 0.85 |
| 3 | 0.83 | 0.89 | 0.69 | 0.70 | 0.80 |
| 4 | 0.66 | 0.85 | 0.62 | 0.57 | 0.90 |
| 5 | 0.85 | 0.91 | 0.93 | 0.61 | 0.82 |
| 6 | 0.75 | 0.75 | 0.91 | 0.66 | 0.75 |
| 7 | 0.69 | 0.63 | 0.87 | 0.53 | 0.98 |
| 8 | 0.78 | 0.62 | 0.82 | 0.81 | 0.88 |
| 9 | 0.86 | 0.78 | 0.85 | 0.82 | 0.83 |
| 10 | 0.65 | 0.86 | 0.79 | 0.56 | 0.92 |
| 11 | 0.69 | 0.95 | 0.6 | 0.49 | 0.87 |
| 12 | 0.79 | 0.92 | 0.65 | 0.54 | 0.86 |
| Gray correlation | 0.75 | 0.82 | 0.78 | 0.65 | 0.87 |
| Group | W/C | WRA Dosage | Foam Dosage | Flow Time/s | Flow Diameter/mm |
|---|---|---|---|---|---|
| P1 | 0.4 | 0.2% | 55% | 71 | 190 |
| P2 | 0.4 | 0.4% | 35% | 25 | 260 |
| Group | Grouting Plumpness/% | |||
|---|---|---|---|---|
| 1 cm | 3 cm | 5 cm | Average | |
| P1 | 68.83 | 60.54 | 48.74 | 59.37 |
| P2 | 90.73 | 85.47 | 64.97 | 80.39 |
Disclaimer/Publisher’s Note: The statements, opinions and data contained in all publications are solely those of the individual author(s) and contributor(s) and not of MDPI and/or the editor(s). MDPI and/or the editor(s) disclaim responsibility for any injury to people or property resulting from any ideas, methods, instructions or products referred to in the content. |
© 2026 by the authors. Licensee MDPI, Basel, Switzerland. This article is an open access article distributed under the terms and conditions of the Creative Commons Attribution (CC BY) license.
Share and Cite
Du, Y.; Li, S.; Kong, L.; Tian, J.; Yuan, J.; Fu, H. Investigation of the Flow and Mechanical Performances of Foamed Concrete Used for Filling Cracks in the Base Layer of Asphalt Pavement. Buildings 2026, 16, 1036. https://doi.org/10.3390/buildings16051036
Du Y, Li S, Kong L, Tian J, Yuan J, Fu H. Investigation of the Flow and Mechanical Performances of Foamed Concrete Used for Filling Cracks in the Base Layer of Asphalt Pavement. Buildings. 2026; 16(5):1036. https://doi.org/10.3390/buildings16051036
Chicago/Turabian StyleDu, Yinfei, Siyi Li, Lingxiang Kong, Jun Tian, Jinyun Yuan, and Hao Fu. 2026. "Investigation of the Flow and Mechanical Performances of Foamed Concrete Used for Filling Cracks in the Base Layer of Asphalt Pavement" Buildings 16, no. 5: 1036. https://doi.org/10.3390/buildings16051036
APA StyleDu, Y., Li, S., Kong, L., Tian, J., Yuan, J., & Fu, H. (2026). Investigation of the Flow and Mechanical Performances of Foamed Concrete Used for Filling Cracks in the Base Layer of Asphalt Pavement. Buildings, 16(5), 1036. https://doi.org/10.3390/buildings16051036

