Annual Operation Energy Efficiency Benchmarking of Chilled Water Plants: A Systematic Review of Global Cases (2014–2025)
Abstract
1. Introduction
2. Methodology
3. Current Status of CHW Plant Energy Efficiency
3.1. Case Characteristics
3.1.1. City Climate
3.1.2. Building Type
3.1.3. Chiller Type
3.1.4. Evaluation Method
3.2. Energy Efficiency Value
3.2.1. Overall Analysis
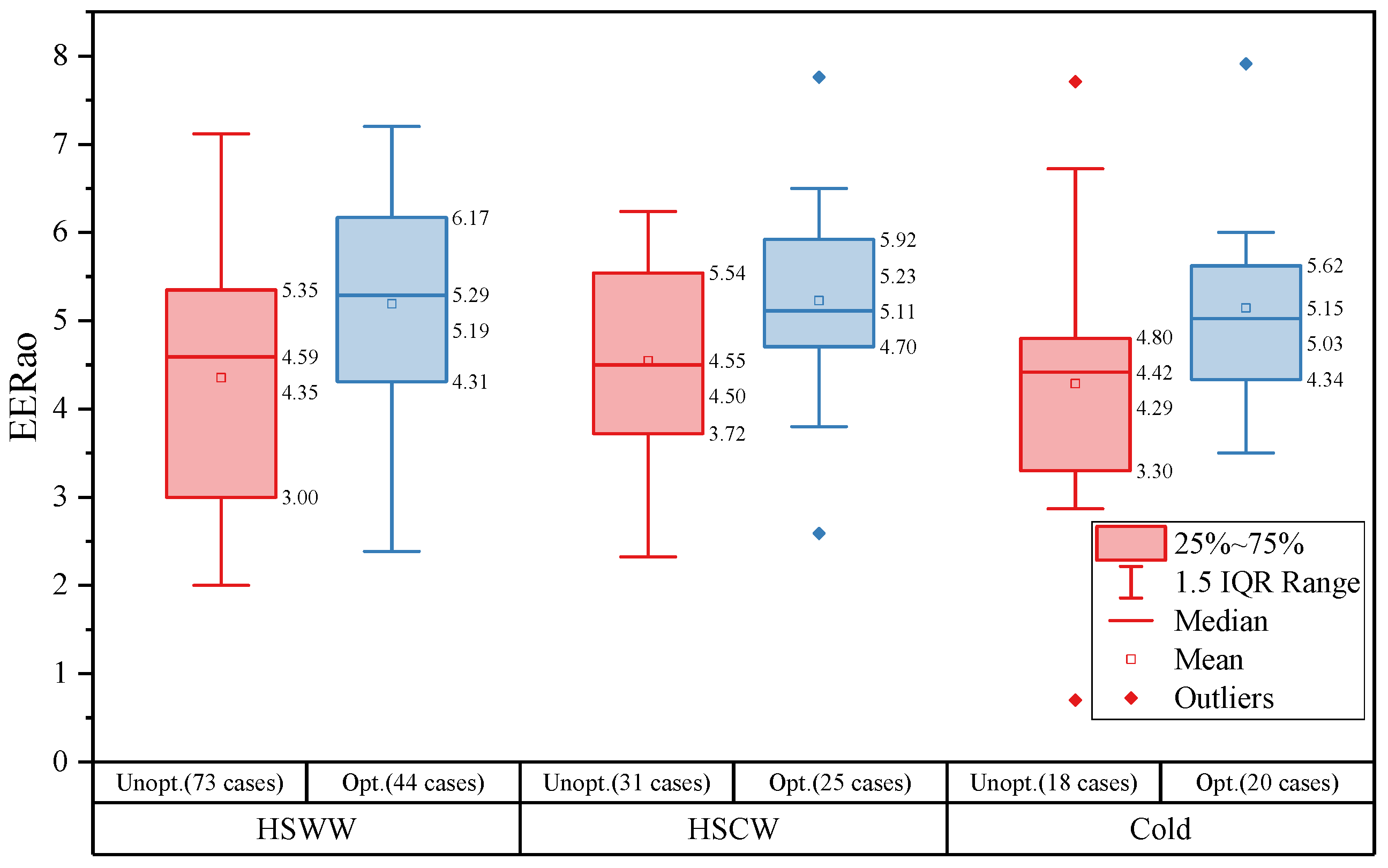
3.2.2. Climate Zones
3.2.3. Nominal Cooling Capacities
3.2.4. Building Type
3.3. Energy Efficiency Rating
3.3.1. -Based Rating Standard
3.3.2. Energy Efficiency Rating Analysis
4. Analysis of Factors Influencing Energy Efficiency Improvement
4.1. Baseline Energy Efficiency
4.2. Optimization Strategy
4.3. Control Strategy
5. Discussion and Outlook
5.1. Annual Operation Energy Efficiency Ratio
5.2. Energy Efficiency Rating Standard
5.3. Future Research to Improve Energy Efficiency
5.4. Energy Efficiency Case Database
6. Conclusions
Supplementary Materials
Author Contributions
Funding
Data Availability Statement
Conflicts of Interest
Abbreviations
| ASHRAE | American society of heating, refrigerating and air-conditioning engineers |
| CHW | Chilled Water |
| CNKI | China National Knowledge Infrastructure |
| DBJ/T | Local recommended technical standards for construction |
| HSCW | Hot summer and cold winter |
| HSWW | Hot summer and warm winter |
| HVAC | Heating, ventilation, and air-conditioning |
| NCC | Nominal cooling capacity |
| RT | Refrigeration ton |
| SS | Singapore Standards |
| STD | Standard |
| T/CECS | The team standard of the China Association for Engineering Construction Standardization |
| T/DZJN | The team standard of China Electronics Energy Saving Technology Association |
| TRNSYS | Transient system simulation program |
| UAE | United Arab Emirates |
| WSE | Water-side economizers |
References
- Xu, Y.; Ramanathan, V. Well below 2 °C: Mitigation strategies for avoiding dangerous to catastrophic climate changes. Proc. Natl. Acad. Sci. USA 2017, 114, 10315–10323. [Google Scholar] [CrossRef] [PubMed]
- European Environment Agency. Energy Efficiency. 2024. Available online: https://www.eea.europa.eu/en/topics/in-depth/energy-efficiency?activeTab=fa515f0c-9ab0-493c-b4cd-58a32dfaae0a (accessed on 20 August 2025).
- International Energy Agency. Energy Statistics Data Browser. 2023. Available online: https://www.iea.org/topics/buildings (accessed on 20 August 2025).
- EPA. Sources of Greenhouse Gas Emissions. 2022. Available online: https://www.epa.gov/ghgemissions/sources-greenhouse-gas-emissions (accessed on 20 August 2025).
- China Association of Building Energy Efficiency. 2022 Research Report of China Building Energy Consumption and Carbon Emissions (R); China Association of Building Energy Efficiency: Chongqing, China, 2022. [Google Scholar]
- Cao, X.; Dai, X.; Liu, J. Building energy-consumption status worldwide and the state-of-the-art technologies for zero-energy buildings during the past decade. Energy Build. 2016, 128, 198–213. [Google Scholar] [CrossRef]
- Pérez-Lombard, L.; Ortiz, J.; Pout, C. A review on buildings energy consumption information. Energy Build. 2008, 40, 394–398. [Google Scholar] [CrossRef]
- Jia, L.; Wei, S.; Liu, J. A review of optimization approaches for controlling water-cooled central cooling systems. Build. Environ. 2021, 203, 108100. [Google Scholar] [CrossRef]
- Lyu, W.; Wang, Z.; Li, X.; Xin, X.; Chen, S.; Yang, Y.; Xu, Z.; Yang, Q.; Li, H. Energy efficiency and economic analysis of utilizing magnetic bearing chillers for the cooling of data centers. J. Build. Eng. 2022, 48, 103920. [Google Scholar] [CrossRef]
- Nassif, N.; AlRaees, N.; AlRifaie, F. Optimizing the Design of Chilled-Water Plants for Commercial Building Energy Systems. ASHRAE Trans. 2017, 123, 64–71. [Google Scholar]
- Moghaddas-Zadeh, N.; Farzaneh-Gord, M.; Ebrahimi-Moghadam, A.; Bahnfleth, W.P. ANN-based procedure to obtain the optimal design and operation of the compression chiller network—Energy, economic and environmental analysis. J. Build. Eng. 2023, 72, 106711. [Google Scholar] [CrossRef]
- Al Qahtani, F.; Muaafa, M. Chiller Plant Management Optimization By Artificial Intelligence. In Proceedings of the 2022 Saudi Arabia Smart Grid (SASG), Riyadh, Saudi Arabia, 12–14 December 2022. [Google Scholar] [CrossRef]
- Bhattacharya, A.; Vasisht, S.; Adetola, V.; Huang, S.; Sharma, H.; Vrabie, D.L. Control co-design of commercial building chiller plant using Bayesian optimization. Energy Build. 2021, 246, 111077. [Google Scholar] [CrossRef]
- Hinkelman, K.; Wang, J.; Zuo, W.; Gautier, A.; Wetter, M.; Fan, C.; Long, N. Modelica-based modeling and simulation of district cooling systems: A case study. Appl. Energy 2022, 311, 118654. [Google Scholar] [CrossRef]
- Ala’raj, M.; Radi, M.; Abbod, M.F.; Majdalawieh, M.; Parodi, M. Data-driven based HVAC optimisation approaches: A Systematic Literature Review. J. Build. Eng. 2022, 46, 103678. [Google Scholar] [CrossRef]
- Taheri, S.; Hosseini, P.; Razban, A. Model predictive control of heating, ventilation, and air conditioning (HVAC) systems: A state-of-the-art review. J. Build. Eng. 2022, 60, 105067. [Google Scholar] [CrossRef]
- Ahmad, M.W.; Mourshed, M.; Yuce, B.; Rezgui, Y. Computational intelligence techniques for HVAC systems: A review. Build. Simul. 2016, 9, 359–398. [Google Scholar] [CrossRef]
- Lu, S.; Zhou, S.; Ding, Y.; Kim, M.K.; Yang, B.; Tian, Z.; Liu, J. Exploring the comprehensive integration of artificial intelligence in optimizing HVAC system operations: A review and future outlook. Results Eng. 2025, 25, 103765. [Google Scholar] [CrossRef]
- Anka, S.K.; Lamptey, N.B.; Choi, J.M. Comparative analysis and optimization of the annual performance for a novel internet data center cooling system. J. Build. Eng. 2023, 67, 106064. [Google Scholar] [CrossRef]
- Zarei, A.; Zaboli, S.; Babaie Rabiee, M. Energy and exergy analysis of a high-efficiency multi-evaporator absorption refrigeration system with integrated ejectors and compression cooling system. Appl. Therm. Eng. 2025, 267, 125753. [Google Scholar] [CrossRef]
- Yang, Z.; Zhao, N.; Sun, H.; Zhao, H.; Wu, Y.; Duan, M.; Lin, B. Comparison of the energy performance of novel dual-temperature cooling systems: From field testing to simulations. J. Build. Eng. 2023, 75, 106920. [Google Scholar] [CrossRef]
- Homod, R.Z. Analysis and optimization of HVAC control systems based on energy and performance considerations for smart buildings. Renew. Energy 2018, 126, 49–64. [Google Scholar] [CrossRef]
- Vu, H.D.; Chai, K.S.; Keating, B.; Tursynbek, N.; Xu, B.; Yang, K.; Yang, X.; Zhang, Z. Data driven chiller plant energy optimization with domain knowledge. In Proceedings of the 2017 ACM on Conference on Information and Knowledge Management, Singapore, 6–10 November 2017. [Google Scholar] [CrossRef]
- Jaramillo, R.C.; Braun, J.E.; Horton, W.T. A near-optimal control algorithm for central cooling plants with electric and/or gas-driven chillers. Sci. Technol. Built Environ. 2020, 26, 1132–1150. [Google Scholar] [CrossRef]
- Jaramillo, R.C.; Braun, J.E.; Horton, W.T. Application of Near-Optimal Tower Control and Free Cooling on the Condenser Water Side for Optimization of Central Cooling Systems. In Proceedings of the International High Performance Buildings Conference, West Lafayette, IN, USA, 14–17 July 2014. [Google Scholar]
- Cho, J.; Yang, J.; Lee, C.; Lee, J. Development of an energy evaluation and design tool for dedicated cooling systems of data centers: Sensing data center cooling energy efficiency. Energy Build. 2015, 96, 357–372. [Google Scholar] [CrossRef]
- Ayrir, W.; Helmi, A.M.; Abongmbo, S.; Benhaddou, D. Towards Sustainable Buildings: Chilled Water System Analysis & Efficiency Modeling. In Proceedings of the 2024 6th Global Power, Energy and Communication Conference (GPECOM), Budapest, Hungary, 4–7 June 2024. [Google Scholar] [CrossRef]
- Hussain, S.A.; Huang, G.; Yuen, R.K.K.; Wang, W. Adaptive regression model-based real-time optimal control of central air-conditioning systems. Appl. Energy 2020, 276, 115427. [Google Scholar] [CrossRef]
- Teimourzadeh, H.; Jabari, F.; Mohammadi-Ivatloo, B. An augmented group search optimization algorithm for optimal cooling-load dispatch in multi-chiller plants. Comput. Electr. Eng. 2020, 85, 106434. [Google Scholar] [CrossRef]
- Ho, W.; Yu, F. Improved model and optimization for the energy performance of chiller system with diverse component staging. Energy 2021, 217, 119376. [Google Scholar] [CrossRef]
- Asad, H.S.; Wan, H.; Kasun, H.; Rehan, S.; Huang, G. Distributed real-time optimal control of central air-conditioning systems. Energy Build. 2022, 256, 111756. [Google Scholar] [CrossRef]
- Chan, K.; Wong, V.T.; Yow, A.K.; Yuen, P.; Chao, C.Y. Development and performance evaluation of a chiller plant predictive operational control strategy by artificial intelligence. Energy Build. 2022, 262, 112017. [Google Scholar] [CrossRef]
- Cen, J.; Zeng, L.; Liu, X.; Wang, F.; Deng, S.; Yu, Z.; Zhang, G.; Wang, W. Research on energy-saving optimization method for central air conditioning system based on multi-strategy improved sparrow search algorithm. Int. J. Refrig. 2024, 160, 263–274. [Google Scholar] [CrossRef]
- Shan, K.; Fan, C.; Wang, J. Model predictive control for thermal energy storage assisted large central cooling systems. Energy 2019, 179, 916–927. [Google Scholar] [CrossRef]
- Fu, Q.; Chen, X.; Ma, S.; Fang, N.; Xing, B.; Chen, J. Optimal control method of HVAC based on multi-agent deep reinforcement learning. Energy Build. 2022, 270, 112284. [Google Scholar] [CrossRef]
- Bai, X.; Tang, Q.; Luo, J.; Mao, Y.; Liang, C.; Zhang, X. Optimizing energy efficiency in multi-chiller systems: A comprehensive Modelica-based approach. J. Build. Eng. 2024, 95, 110087. [Google Scholar] [CrossRef]
- Wu, X.; Chen, Z. Performance analysis of a district cooling system based on operation data. Procedia Eng. 2017, 205, 3117–3122. [Google Scholar] [CrossRef]
- Huang, Z.; Chen, X.; Wang, K.; Zhou, B. Air conditioning load forecasting and optimal operation of water systems. Sustainability 2022, 14, 4867. [Google Scholar] [CrossRef]
- Wang, P.; Sun, J.Q.; Yoon, S.; Zhao, L.; Liang, R.B. A global optimization method for data center air conditioning water systems based on predictive optimization control. Energy 2024, 295, 130925. [Google Scholar] [CrossRef]
- Deng, Q.; Chen, Z.; Zhu, W.; Li, Z.; Yuan, Y.; Li, X.; Jiang, Z.; Yin, S.; Yang, C.; Gui, W. Intelligent monitoring and optimal control of HVAC system and its cloud-edge implementation. IFAC-Pap. 2024, 58, 414–419. [Google Scholar] [CrossRef]
- Chen, Y.; Yang, C.; Pan, X.; Yan, D. Design and operation optimization of multi-chiller plants based on energy performance simulation. Energy Build. 2020, 222, 110100. [Google Scholar] [CrossRef]
- Shi, W.; Wang, J.; Lyu, Y.; Jin, X.; Du, Z. Optimal control of chilled water systems based on collaboration of the equipment’s near-optimal performance maps. Sustain. Energy Technol. Assess. 2021, 46, 101236. [Google Scholar] [CrossRef]
- Xu, W. China High Efficiency Air Conditioning Refrigeration Station Development Research Report 2021; China Architecture Publishing: Beijing, China, 2022. [Google Scholar]
- Peng, L.; Yin, Y.; Yang, F.; Deng, X.; Liu, H.; Ma, Y. Design of air conditioning system and carbon emission reduction for high-efficiency refrigeration plant room of a hospital in Hainan. Heat. Vent. Air Cond. 2022, 52, 43–49. [Google Scholar] [CrossRef]
- Jiang, Y.; Xie, C.; Wang, G.; Li, Y.; Li, B.; Zhang, J.; Zhou, M.; Yu, Y.; Yang, J. Research and practice of high-efficiency chiller plant rooms in office buildings. Heat. Vent. Air Cond. 2024, 54, 56–60. [Google Scholar]
- Li, Y.; Jiang, Z.; Liu, G. Technical application and energy efficiency analysis of metro intelligent environmental control system. Mod. Urban Transit 2020, 12, 53–58. [Google Scholar]
- Qian, H.; Zou, S.; Xu, Z.; Qu, G.; Tan, H.; Liu, S.; Huang, D.; Lin, H. High energy efficiency optimization of refrigeration room system in a low-temperature process project. Refrig. Air-Cond. 2024, 24, 68–76. [Google Scholar]
- Lin, J. Design and energy efficiency ratio analysis of high efficiency refrigeration equipment for subway. People’s Public Transp. 2024, 12, 64–66. [Google Scholar]
- Zhang, B.; Dong, F.; Zhang, R.; Zang, Z.; Qu, K. Analysis on the Operation of a High-Efficiency Refrigeration Station. Constr. Sci. Technol. 2024, 11, 43–46. [Google Scholar] [CrossRef]
- Fang, X.; Li, Y.; Qiu, Y.; Hu, J.; Huang, M.; Guan, X.; Yan, J.; Liang, R. Application Analysis of High-Efficient Chiller Plant Room Key Energy-Saving Technologies in Commercial Building. Chin. J. Refrig. Technol. 2022, 42, 64–72. [Google Scholar] [CrossRef]
- Tan, H.; Li, J.; Qu, G.; Liu, J. Design of high-efficiency air conditioning system for existing teaching building of a university. Heat. Vent. Air Cond. 2022, 52, 25–29. [Google Scholar] [CrossRef]
- Lin, W.; Yan, S.; Fan, H.; Meng, J.; Ou, H.; Fan, Y. Efficient renovation of refrigeration systems in a comprehensive building. Heat. Vent. Air Cond. 2021, 51, 118–121. [Google Scholar]
- Tan, H.; Qu, G.; Huang, D.; Jiang, S.; Luo, Z.; Wu, B.; Li, G. Energy-saving transformation of air conditioning system in a hotel based on energy efficiency target. Heat. Vent. Air Cond. 2022, 52, 13–18+105. [Google Scholar] [CrossRef]
- Chen, S. Global Optimization of Dedicated Outdoor Air System with Double Heat Recovery Based on Machine Learning and Model Predictive Control. Doctoral Dissertation, Guangzhou University, Guangzhou, China, 2023. Available online: https://link.cnki.net/doi/10.27040/d.cnki.ggzdu.2023.002186 (accessed on 20 August 2025).
- Yang, S. Design of Energy Saving Control System for the Refrigerating Machine Room of Central Air Conditioning. Master’s Thesis, Anhui University of Science and Technology, Huainan, China, 2018. Available online: https://kns.cnki.net/kcms2/article/abstract?v=HbazLCXbuSV4IORXcMSaT9TrvtXiwnc2j4_JS3ZLBfGpXCea_QbhrSdjMIe6ewgknBFB10Q_8rYKXHOJgqQDt5OVCqmKeqI5_z3NEh10i9E8BQAnbusijwBqxzRDKq47CB_FvUJZjhDZbc1ATSOKHJ4i8El20G7bwb0XNXgtSuU7HQo1FgF_G1dOXSd1kDWoLkdilSBQk2o=&uniplatform=NZKPT&language=CHS (accessed on 20 August 2025).
- Li, S.; Wang, J.; Zhang, R.; Liu, D.; Zhang, Y. Performance of refrigerating station based on active optimization control system. Refrig. Air-Cond. 2023, 23, 56–61. [Google Scholar]
- Wu, X. Research on Energy Saving Renovation of Refrigeration Room of the Central Air Condition System of a Hospital in GuangZhouMajor: Building and Civil Engineering. Master’s Thesis, Guangzhou University, Guangzhou, China, 2015. [Google Scholar]
- Fan, C.; Zou, Y. Equation-based modelling and energy efficiency evaluation of chiller plants system in data center. Shanxi Archit. 2022, 48, 117–119+123. [Google Scholar] [CrossRef]
- Mo, Z. Research on Efficient Operation of Refrigeration Room System Based on Operating Parameters of Cooling Tower. Master’s Thesis, Guangzhou University, Guangzhou, China, 2024. Available online: https://link.cnki.net/doi/10.27040/d.cnki.ggzdu.2024.000711 (accessed on 20 August 2025).
- Yi, Q. Operation diagnosis and simulation optimization of a plant cooling room in Jiangmen City. Master’s Thesis, Guangzhou University, Guangzhou, China, 2023. Available online: https://link.cnki.net/doi/10.27040/d.cnki.ggzdu.2023.000924 (accessed on 20 August 2025).
- Pei, Q.; Yi, Q.; Mo, Z.; Lin, Y.; Du, M.; Hu, F. Actual System Operation of the Refrigeration Room for a Factory in Jiangmen City. Build. Energy Effic. 2024, 52, 134–140. [Google Scholar] [CrossRef]
- Zhang, Y. Analysis and discussion based on high efficiency refrigeration room technology. House Collect. 2023, 11, 167–169. [Google Scholar]
- Luo, L.; Li, Y.; Qiu, Y.; Fan, B.; Huang, M.; Guan, X.; Huang, Y.; Hu, Q.; Fei, J.; Sun, J.; et al. Simulation Design and Efficient Construction of Chiller Plant Taking a Commercial Complex as an Example. Contam. Control Air-Cond. 2023, 2, 89–95. [Google Scholar]
- Li, Y.; Qiu, Y.; Liu, Z.; Guan, X.; Hu, Q.; Fang, X.; Sun, J.; Xiong, M.; Yang, P.; Wang, C.; et al. High efficiency refrigeration room design of Heyou International Hospital. Refrig. Air-Cond. 2024, 24, 66–71. [Google Scholar]
- Qin, M. Exploration of a Result Oriented High-Efficiency Refrigeration Room Construction Mechanism: Construction of high-efficient refrigeration room for cultural and sports buildings in “400 meter forest belt” of Changning, Shanghai. Build. Energy Effic. 2022, 50, 141–144. [Google Scholar]
- Wang, Y.; Wang, J.; Liu, B.; Xu, X.; Chen, G.; Xu, X. Analysis of Operating Energy Data of a High-Efficient Commercial Building Chiller Plant. Build. Energy Effic. 2024, 52, 65–72+121. [Google Scholar] [CrossRef]
- Song, J.; Zheng, Y.; Zhang, W. Experimental Analysis of Renovation of High-Efficiency Refrigeration Room for Air Conditioning System at a Station in Shanghai Subway. Shanghai Energy Sav. 2024, 1, 116–123. [Google Scholar] [CrossRef]
- Jiang, H. Optimization design and comparative analysis of high efficiency refrigeration room. Energy Conserv. 2023, 42, 16–19. [Google Scholar]
- Liu, C. Research on deepening design methods and system operation strategies for high efficiency refrigeration equipment rooms. Refrig. Air-Cond. 2024, 25, 1–7+15. [Google Scholar]
- Jian, Y.; Chen, G.; Jia, P.; Zhang, F.; Zhou, Q.; Zhao, X. Design of high-efficiency refrigeration and air conditioning system for a commercial project in Nanjing. Heat. Vent. Air Cond. 2022, 52, 47–51. [Google Scholar] [CrossRef]
- Ping, L. Efficient Renovation of a Chiller Plant System Based on Near-Optimal Control of Overall Energy Efficiency. Dev. Innov. Mach. Electr. Prod. 2023, 36, 150–154. [Google Scholar] [CrossRef]
- Lin, M.; Huang, J. Renovation Practice of a High-Efficiency Chiller Plant in a Biopharmaceutical Plant. Chem. Eng. Manag. 2021, 8, 188–190. [Google Scholar] [CrossRef]
- Jiang, Y. Research on the Operational Characteristics of an High Efficiency Refrigeration Station Based on Optimized Control of Air Conditioning Water System. Master’s Thesis, Yangzhou University, Yangzhou, China, 2023. Available online: https://link.cnki.net/doi/10.27441/d.cnki.gyzdu.2023.000276 (accessed on 20 August 2025).
- Liu, H. Study on energy efficiency ratio of high efficiency refrigeration plant in industrial building: A case of Batteryfactory. Master’s Thesis, Guangzhou University, Guangzhou, China, 2021. Available online: https://link.cnki.net/doi/10.27040/d.cnki.ggzdu.2021.000221 (accessed on 20 August 2025).
- He, Z.; Zheng, L.; Chen, L. Energy efficiency grade calculation of Zhongtian Qiantang Ginza central air-conditioning refrigeration room. Heat. Vent. Air Cond. 2023, 53, 82–84. [Google Scholar]
- Ren, D. Energy Conservation Regulation and Control Method of District Cooling System in a University. Build. Energy Effic. 2020, 48, 14–20+31. [Google Scholar]
- Zhang, W. Design and analysis of high efficiency refrigeration room of a project in Hefei City. Anhui Archit. 2024, 31, 79–80+99. [Google Scholar] [CrossRef]
- Yi, J.; Ren, Z.; Yang, X. Application Analysis on High Efficiency Air Conditioning Refrigeration Room Construction. Shanghai Energy Sav. 2023, 12, 1892–1897. [Google Scholar] [CrossRef]
- Yin, C.; Wu, Z.; Wei, Q.; Chen, Y. Summary and discussion on design of high-efficiency refrigeration machine room in Wuhan Optics Valley Joy City. Heat. Vent. Air Cond. 2024, 54, 36–40+46. [Google Scholar] [CrossRef]
- Xiong, Q.; Jiang, W. Analysis of energy saving technology of integrated refrigeration station in Wuhan Metro station. China Constr. 2024, 3, 143–145. [Google Scholar]
- Zhuo, M.; Wang, S.; Han, G.; He, Y. Operational Energy Analysis of High Efficiency Variable-Frequency Screw Chillers in Cooling Station. Chin. J. Refrig. Technol. 2019, 39, 72–77. [Google Scholar]
- Han, G. Operational energy efficiency of refrigeration plant room energy-saving renovation project for one office building. Refrig. Air-Cond. 2022, 22, 64–69. [Google Scholar]
- Wang, Y.; Zheng, L.; Zhu, J.; Li, M.; Cheng, L. Design and operation data analysis of efficient computer room system for Xinhe Wanda Plaza project. Installation 2023, 5, 59–61+65. [Google Scholar]
- Xue, S. Research on Performance Test and Energy Saving Control Optimization of Refrigeration Room System in Public Buildings. Master’s Thesis, Beijing University of Civil Engineering and Architecture, Beijing, China, 2023. Available online: https://link.cnki.net/doi/10.26943/d.cnki.gbjzc.2023.000578 (accessed on 20 August 2025).
- Sun, Y. Research on Load Forecast and Control Strategy of High-Efficiency Refrigeration Station Based on Particle Swarm Optimization. Master’s Thesis, Qingdao University of Technology, Qingdao, China, 2021. Available online: https://link.cnki.net/doi/10.27263/d.cnki.gqudc.2021.000240 (accessed on 20 August 2025).
- Yang, J. Simulation Research on Lithium Bromide Unity Replace by High Efficiency Eletric Chiller in Energy Saving Reconstruction of Existing Public Buildings. Master’s Thesis, Qingdao University of Technology, Qingdao, China, 2018. [Google Scholar]
- Niu, M. Research on Energy Saving Optimization Operation of Central Air-Conditioning Water System Based on TRNSYS. Master’s Thesis, Qingdao University of Technology, Qingdao, China, 2023. Available online: https://link.cnki.net/doi/10.27263/d.cnki.gqudc.2023.000767 (accessed on 20 August 2025).
- Liu, N.; Guan, L.; Bian, S.; Shao, D. Optimization of operation strategy for chiller room in a hotel. Heat. Vent. Air Cond. 2024, 54, 36–41+86. [Google Scholar] [CrossRef]
- Zhang, R. Research on Low Energy Consumption of CentralAir-Conditioning Cooling Water System Based on High-Efficiency Machine Room—Take a Shopping Mall in Yantai as an Example. Master’s Thesis, Yantai University, Yantai, China, 2020. Available online: https://link.cnki.net/doi/10.27437/d.cnki.gytdu.2020.000150 (accessed on 20 August 2025).
- Jiang, K. Application and Research of Oil-Free Centrifugal Chillers in Pubilc Buildings. Master’s Thesis, Qingdao University of Technology, Qingdao, China, 2019. Available online: https://link.cnki.net/doi/10.27263/d.cnki.gqudc.2019.000481 (accessed on 20 August 2025).
- Chen, X.; Sun, Y.; Cui, H. Design and energy saving analysis of high efficiency refrigeration room of typical office building in Qingdao. JU SHE 2024, 14, 91–94+105. [Google Scholar]
- Wei, D.; Jiao, H.; Feng, H. Nonlinear predictive control of refrigeration system based on load forecasting. Control Theory Appl. 2021, 38, 1619–1630. [Google Scholar] [CrossRef]
- Cheng, Y.; Chen, X.; Li, W.; Wang, B.; Zhang, J.; Wang, J.; Zhang, J.; Yuan, Y. Strategies and Methods of Energy Efficiency Improvement of Hospital Central Air Conditioning Freezing Station. Chin. Hosp. Archit. Equip. 2024, 25, 64–71. [Google Scholar] [CrossRef]
- Zhang, R.; Zhang, Z. Refrigeration System Group Control Solution Based on Industrial Internet of Things and Soft PLC. Mod. Manuf. Technol. Equip. 2023, 59, 179–181. [Google Scholar] [CrossRef]
- Wu, F.; Li, H.; Chen, J. Construction and engineering practice of high efficiency refrigeration system. Heat. Vent. Air Cond. 2022, 52, 129–132. [Google Scholar]
- Ning, Z.; Yi, J.; Xie, Y. The Chiller Water Plant Systems’ Development in Hot Summer and Warm Winter Zone. Build. Energy Effic. 2024, 52, 65–69. [Google Scholar]
- Wang, F. Research on Performance Improvement Design of High-Efficiency Refrigeration Plant Room. Green Build. 2023, 15, 73–77. [Google Scholar]
- Yide, Q.; Yuanyang, L.; Xing, F.; Jie, F.; Xin, Y.; Qin, H.; Zheng, L.; Cong, W.; Jiawei, W.; Xulei, G.; et al. Standardized design of high-efficiecy intelligent environmental control system and its application to metro projects. Refrig. Air-Cond. 2023, 23, 84–92. [Google Scholar]
- Hua, L.; Hu, C.; Li, J.; Tian, Y.; Dong, L.; Wang, Y.; Wu, J.; Zhang, X.; Guo, L.; Yu, K. Research and application of deep energy saving control technology of high energy efficiency factory refrigerating station. Installation 2022, S1, 73–74. [Google Scholar]
- Zhou, Y.; Luo, X.; Wang, G. Application of energy-saving and environment-friendly high efficiency refrigeration room in pharmaceutical industry. Low Carbon World 2022, 12, 85–87. [Google Scholar] [CrossRef]
- Fan, C. Modelling and Optimal Control for Chiller Plants Integrated with Water-Side Economizer System. Doctoral Dissertation, Guangzhou University, Guangzhou, China, 2021. Available online: https://link.cnki.net/doi/10.27040/d.cnki.ggzdu.2021.001269 (accessed on 20 August 2025).
- Cao, Z.; Zhou, X.; Wu, X.; Zhu, Z.; Liu, T.; Neng, J.; Wen, Y. Data Center Sustainability: Revisits and Outlooks. IEEE Trans. Sustain. Comput. 2024, 9, 236–248. [Google Scholar] [CrossRef]
- Alan, F.M.; Nelson, L.B. Transforming Chiller Plant Efficiency with SC+BAS: Case Study in a Hong Kong Shopping Mall. Urban Sci. 2025, 9, 253. [Google Scholar] [CrossRef]
- Liao, Y.; Liao, F.; Huang, G.; Fan, C. Investigating the impact of operating parameters on the energy efficiency of evaporative precooling systems in data centers in hot and humid climates. J. Build. Eng. 2025, 104, 112353. [Google Scholar] [CrossRef]
- Guan, L.; Li, C.; Xia, J.; Ge, P. Design of Efficient Refrigeration Room System for a PCB Plant Project in Guangzhou and the Actual Operation Effect Analysis. Refrigeration 2024, 43, 11–15. [Google Scholar]
- Jie, X.; Yong, G.; Linwen, G.; Wenbing, T. Design Scheme for HVAC of Guangzhou Infinitus Plaza. Refrigeration 2025, 44, 21–26. [Google Scholar]
- Xu, X. Comparison of Energy-Saving Optimisation Options for a Commercial Office Building’s Refrigeration Plant Room. Green Build. 2025, 17, 113–119. [Google Scholar]
- Zhong, L.; Zhang, L.; Mei, J.; Lin, X. Renovation Practice of Hospital Green Low-Carbon and High-Efficiency Refrigeration Room. Chin. Hosp. Archit. Equip. 2025, 26, 19–26. [Google Scholar]
- Su, Y.; Liao, Y.; Jin, Y.; Wang, F.; Lou, Y.; Xia, J.; Ma, M.; Deng, J.; Qiang, W.; Wei, Q. Measurement of operation performance of a high-efficiency chilled-water plant for a commercial complex in hot summer and cold winter zone. Heat. Vent. Air Cond. 2025, 55, 15–23. [Google Scholar] [CrossRef]
- Liu, Z.; Zhou, B.; Hong, H.; Hu, P.; Lei, F. Operation Optimization of Hospital Air Conditioning System in Cold Season in Hot Summer and Cold Winter Area. Build. Energy Effic. 2025, 53, 127–134. [Google Scholar] [CrossRef]
- Wang, T.; Chen, X.; Niu, M.; Cui, H.; Sun, R. Research on energy-asaving and optimal operation of central air conditioning water system. Energy Conserv. 2025, 44, 48–51. [Google Scholar]
- Wu, X. Research on Energy Efficiency Optimization of High Efficiency Refrigeration Room in Building A. Master’s Thesis, Inner Mongolia University of Science & Technology, Baotou, China, 2025. Available online: https://link.cnki.net/doi/10.27724/d.cnki.gnmgk.2025.000887 (accessed on 20 August 2025).
- Huang, S.; Zuo, W.; Sohn, M.D. Improved cooling tower control of legacy chiller plants by optimizing the condenser water set point. Build. Environ. 2017, 111, 33–46. [Google Scholar] [CrossRef]
- Huang, S.; Zuo, W. Optimization of the water-cooled chiller plant system operation. In Proceedings of the 2014 ASHRAE/IBPSA-USA Building Simulation Conference, Atlanta, GA, USA, 10–12 September 2014. [Google Scholar]
- Huang, S.; Zuo, W.; Sohn, M.D. Amelioration of the cooling load based chiller sequencing control. Appl. Energy 2016, 168, 204–215. [Google Scholar] [CrossRef]
- Fong, K.F.; Hanby, V.I.; Chow, T.-T. HVAC system optimization for energy management by evolutionary programming. Energy Build. 2006, 38, 220–231. [Google Scholar] [CrossRef]
- Yu, F.; Chan, K. Environmental performance and economic analysis of all-variable speed chiller systems with load-based speed control. Appl. Therm. Eng. 2009, 29, 1721–1729. [Google Scholar] [CrossRef]
- Ling, L.; Zhang, Q.; Yu, Y.; Ma, X.; Liao, S. Energy saving analysis of the cooling plant using lake water source base on the optimized control strategy with set points change. Appl. Therm. Eng. 2018, 130, 1440–1449. [Google Scholar] [CrossRef]
- Zhu, Y.; Zhang, Q.; Zeng, L.; Wang, J.; Zou, S.; Zheng, H. An advanced control strategy for optimizing the operation state of chillers with cold storage technology in data center. Energy Build. 2023, 301, 113684. [Google Scholar] [CrossRef]
- Cho, J.; Kim, Y. Improving energy efficiency of dedicated cooling system and its contribution towards meeting an energy-optimized data center. Appl. Energy 2016, 165, 967–982. [Google Scholar] [CrossRef]
- Ham, S.-W.; Kim, M.-H.; Choi, B.-N.; Jeong, J.-W. Energy saving potential of various air-side economizers in a modular data center. Appl. Energy 2015, 138, 258–275. [Google Scholar] [CrossRef]
- Ma, Z.; Wang, S. Supervisory and optimal control of central chiller plants using simplified adaptive models and genetic algorithm. Appl. Energy 2011, 88, 198–211. [Google Scholar] [CrossRef]
- Yu, F.W.; Chan, K. Optimization of water-cooled chiller system with load-based speed control. Appl. Energy 2008, 85, 931–950. [Google Scholar] [CrossRef]
- Ha, J.-w.; Cho, S.; Kim, H.-y.; Song, Y.-h. Annual energy consumption cut-off with cooling system design parameter changes in large office buildings. Energies 2020, 13, 2034. [Google Scholar] [CrossRef]
- He, Y.; Xu, Q.; Li, D.; Mei, S.; Zhang, Z.; Ji, Q. Energy-saving method and performance analysis of chiller plants group control based on Kernel Ridge Regression and Genetic Algorithm. Sci. Technol. Built Environ. 2023, 29, 545–559. [Google Scholar] [CrossRef]
- Wang, Z. Research on Automatic Control and Regulation System of Central Air Conditioning Based on Computer Automatic Control Technology. In Proceedings of the 2023 IEEE 3rd International Conference on Power, Electronics and Computer Applications (ICPECA), Shenyang, China, 29–31 January 2023. [Google Scholar] [CrossRef]
- Chen, Z.; Deng, Z.; Chong, A.; Chen, Y. AutoBPS-BIM: A toolkit to transfer BIM to BEM for load calculation and chiller design optimization. Build. Simul. 2023, 16, 1287–1298. [Google Scholar] [CrossRef]
- Takabatake, T.; Yamamoto, M.; Hino, H. Algorithm for searching optimal set values of absorption chiller system using Bayesian optimization. Sci. Technol. Built Environ. 2022, 28, 188–199. [Google Scholar] [CrossRef]
- Lin, Y.L.; Yang, W.; Liu, M.S. Central Plant Control Optimization with a Thermal Chilled Water Energy Storage System: A Case Study in a High-Tech Building. Adv. Mater. Res. 2015, 1070, 1989–1993. [Google Scholar] [CrossRef]
- Suzuki, Y.; Imazu, M.; Shinoda, J.; Furukawa, R.; Araki, Y.; Tanabe, S.-i.; Fujino, K.; Hatori, D.; Hirasuga, N.; Kato, S. Efficient operation of heat source using high-temperature chilled water in an advanced office building. E3S Web Conf. 2019, 111, 03071. [Google Scholar] [CrossRef]
- Walgama, S.; Kumarawadu, S.; Pathirana, C.D. Indoor and Outdoor Conditions Utilized Energy Saving Scheme for HVAC Cooling Water Systems in Smart Commercial Buildings. In Proceedings of the 2021 IEEE Electrical Power and Energy Conference (EPEC), Toronto, ON, Canada, 22–31 October 2021. [Google Scholar] [CrossRef]
- Chen, L.; Meng, F.; Zhang, Y. MBRL-MC: An HVAC control approach via combining model-based deep reinforcement learning and model predictive control. IEEE Internet Things J. 2022, 9, 19160–19173. [Google Scholar] [CrossRef]
- Qiu, S.; Li, Z.; Li, Z.; Li, J.; Long, S.; Li, X. Model-free control method based on reinforcement learning for building cooling water systems: Validation by measured data-based simulation. Energy Build. 2020, 218, 110055. [Google Scholar] [CrossRef]
- Yang, J.; Wu, J.; Xian, T.; Zhang, H.; Li, X. Research on energy-saving optimization of commercial central air-conditioning based on data mining algorithm. Energy Build. 2022, 272, 112326. [Google Scholar] [CrossRef]
- Si, Q.; Peng, Y.; Jin, Q.; Li, Y.; Cai, H. Multi-Objective Optimization Research on the Integration of Renewable Energy HVAC Systems Based on TRNSYS. Buildings 2023, 13, 3057. [Google Scholar] [CrossRef]
- Yu, F.; Ho, W. Load allocation improvement for chiller system in an institutional building using logistic regression. Energy Build. 2019, 201, 10–18. [Google Scholar] [CrossRef]
- Garnier, A.; Eynard, J.; Caussanel, M.; Grieu, S. Predictive control of multizone heating, ventilation and air-conditioning systems in non-residential buildings. Appl. Soft Comput. 2015, 37, 847–862. [Google Scholar] [CrossRef]
- Wang, J.; Zhang, Q.; Yoon, S.; Yu, Y. Impact of uncertainties on the supervisory control performance of a hybrid cooling system in data center. Build. Environ. 2019, 148, 361–371. [Google Scholar] [CrossRef]
- Tao, C.; Hong, X.; Youcai, M.; Zhigao, H.; Cong, W. Design practice of energy saving and carbon reduction renovation of air conditioning system for a dispatch communication building. Heat. Vent. Air Cond. 2024, 54, 59–64. [Google Scholar] [CrossRef]
- Ren, T. Energy Saving Diagnosis and Analysis of Refrigeration Room System in Some Building in Shanghai. Shanghai Energy Sav. 2023, 11, 1668–1676. [Google Scholar] [CrossRef]
- Sun, G.; Liu, Q.; Li, A. Research and application of energy-saving scheme for refrigeration in communication room in cold area. Telecom Eng. Tech. Stand. 2023, 36, 79–83. [Google Scholar] [CrossRef]
- Wu, F. PCB factory efficient refrigeration room project practice and research. Installation 2023, S1, 198–199. [Google Scholar]
- Qi, B.; Li, L.; Li, S. Taking a pension project in cold area as an example, the application of high efficiency refrigeration room system is discussed. Heat. Vent. Air Cond. 2023, 53, 173–177. [Google Scholar]
- Zhang, L. Application of Energy-saving and Low-carbon Technology in Refrigerating Station and Its Effect Verification. Energy Energy Conserv. 2023, 6, 97–100. [Google Scholar] [CrossRef]
- Cao, M. Power-Saving Design and Research on Air-Conditioning Refrigeration Station Based on Central Air-Conditioning Power Management System. Master’s Thesis, Shandong Jianzhu University, Jinan, China, 2020. Available online: https://link.cnki.net/doi/10.27273/d.cnki.gsajc.2020.000684 (accessed on 20 August 2025).
- Liang, J.; Li, C. Design of High-Efficient Refrigeration System for HVAC of one Office Building in Beijing. Build. Energy Environ. 2017, 36, 103–105+161. [Google Scholar]
- Li, J. A Case Study on Energy Saving Retrofitting of a Shopping Mall. Master’s Thesis, Tsinghua University, Beijing, China, 2016. [Google Scholar]
- Pan, J.; Ma, Y. Application of Metasys Group Control System in Refrigeration Room. Build. Energy Effic. 2015, 43, 97–100+114. [Google Scholar] [CrossRef]
- Feng, Y.; Wei, S. Research on the Design of “Cost Reduction and Efficiency Enhancement” for a Refrigeration Station in an Office Building in Chengdu. Refrig. Air Cond. 2024, 38, 376–384. [Google Scholar]
- Wang, X.; Zhang, Q.; Chen, Z.; Yang, J.; Chen, Y. Development of Chiller Plant Models in OpenAI Gym Environment for Evaluating Reinforcement Learning Algorithms. Energies 2025, 18, 2225. [Google Scholar] [CrossRef]
- Shu, X.; Dong, Y.; Liu, J.; Xu, X. Study of the Optimal Control of the Central Air Conditioning Cooling Water System for a Deep Subway Station in Chongqing. Buildings 2025, 15, 8. [Google Scholar] [CrossRef]
- Junjie, H.; Caihua, L.; Hui, H.; Xi, B.; Yubo, M.; Qi, T. Energy-Saving Optimization Strategy Research for Chilled Water Units Based on Active Water Storage. J. Refrig. 2025, 46, 108–115. [Google Scholar]
- Li, Y. Research on Energy-Saving Scheme of Central Air Conditioning in Data Rooms Based on Airflow Organization and Equipment Efficiency Optimization. Energy Conserv. 2024, 43, 86–88. [Google Scholar]
- Jia, Y.; Zhang, H.; Li, Z. Research on the Energy-saving Degree of Metro Environmental Control Strategies Based on Dymola. Heat. Vent. Air Cond. 2024, 54, 377–381. [Google Scholar]
- Ma, M.; Bian, S.; Liu, B. A Central Air Conditioning Operation Control Method Based on Ridge Regression and Long Short Term Memory Algorithms. In Proceedings of the 2024 Chinese Automation Congress (CAC), Qingdao, China, 1–3 November 2024. [Google Scholar] [CrossRef]
- GB 50176-2016; Code for Thermal Design of Civil Building. China Architecture & Building Press: Beijing, China, 2016.
- Huang, D.; Qu, G.; Tan, H.; Jiang, S.; He, H.; Lin, H.; Li, X. Study on energy efficiency ratio evaluation zoning of high-efficiency refrigeration room system based on building thermal zoning. Heat. Vent. Air Cond. 2022, 52, 1–7. [Google Scholar] [CrossRef]
- Lawrie, K.L.; Crawley, D.B. Development of Global Typical Meteorological Years (TMYx). 2022. Available online: https://climate.onebuilding.org (accessed on 20 August 2025).
- Fan, C.; Hinkelman, K.; Fu, Y.; Zuo, W.; Huang, S.; Shi, C.; Mamaghani, N.; Faulkner, C.; Zhou, X. Open-source Modelica models for the control performance simulation of chiller plants with water-side economizer. Appl. Energy 2021, 299, 117337. [Google Scholar] [CrossRef]
- Zhou, F.; Gu, W.L.; Ma, G.Y. Advancements in data center cooling systems: From refrigeration to high performance cooling. Energy Build. 2024, 320, 114634. [Google Scholar] [CrossRef]
- SS553-2016; Code of Practice for Air-Conditioning and Mechanical Ventilation in Buildings. Singapore Standards Council: Singapore, 2017.
- T/CECS 1100-2022; Assessment Standard for High Efficiency Air Conditioning Refrigerating Station. China Association for Engineering Construction Standardization: Beijing, China, 2022.
- DBJ/T 15-129-2017; Standard for Energy Efficiency Measurement and Assessment on Chiller Plant Systems in Centralized Air Conditioning Systems. Guangdong Provincial Department of Housing and Urban-Rural Development: Guangzhou, China, 2017.
- Cao, Y.; Wang, C.; Wang, S.; Fu, X.; Ming, X. Energy modeling and optimization of building condenser water systems with all-variable speed pumps and tower fans: A case study. Build. Simul. 2024, 17, 1085–1111. [Google Scholar] [CrossRef]
- Trautman, N.; Razban, A.; Chen, J. Overall chilled water system energy consumption modeling and optimization. Appl. Energy 2021, 299, 117166. [Google Scholar] [CrossRef]
- Thangavelu, S.R.; Myat, A.; Khambadkone, A. Energy optimization methodology of multi-chiller plant in commercial buildings. Energy 2017, 123, 64–76. [Google Scholar] [CrossRef]
- Xin, X.; Zhang, Z.; Zhou, Y.; Liu, Y.; Wang, D.; Nan, S. A comprehensive review of predictive control strategies in heating, ventilation, and air-conditioning (HVAC): Model-free vs. model. J. Build. Eng. 2024, 94, 110013. [Google Scholar] [CrossRef]
- T/DZJN78-2022; Energy Efficiency Grade and the Minimum Allowable Value for Central Air-Conditioning Chiller Plant System Part 1: Electrically Driven Water-Cooled Chiller. China Electronics Energy Saving Technology Association: Beijing, China, 2022.
















| Reference | Review Contents | Main Results and Conclusions |
|---|---|---|
| Jia et al., 2021 [8] | Reviewed 98 publications (2005–2021) focusing on optimization of water-cooled central cooling systems. Comparative analysis between model-based and data-driven approaches was conducted across key components: decision variables, objective functions, constraints, and algorithms. | 1. Holistic optimization strategies utilizing directly controllable variables and metaheuristic algorithms are recommended. 2. Model-based approaches offer a balance between efficiency, robustness, and computational speed, albeit with inherent trade-offs. 3. Data-driven methods show promise but require further development for enhanced control precision and practical implementation. |
| Maher et al., 2022 [15] | Synthesized findings from 142 studies (2001–2021) on data-driven HVAC control systems, with emphasis on modeling, control strategies, and optimization techniques aimed at improving energy efficiency while maintaining thermal comfort. | 1. Existing research predominantly emphasizes thermal comfort, often neglecting indoor air quality, visual, and acoustic factors. 2. Optimization strategies rarely account for dynamic electricity pricing or demand-response mechanisms; ensemble methods are underutilized. 3. MPC effectively addresses system nonlinearities. 4. High reliance on simulation limits real-world validation; limited applicability across diverse building types and climatic zones. |
| Saman et al., 2022 [16] | Reviewed applications of computational intelligence in HVAC systems, including energy management, fault detection and diagnosis, and system-level optimization. | 1. Studies tend to prioritize energy and thermal performance, overlooking financial costs, demand response, and emissions. 2. Conventional MPC approaches dominate, with limited adoption of deep learning despite its advantages in pattern recognition. 3. Validation efforts are concentrated on residential and office buildings, with insufficient coverage of educational and industrial facilities. 4. Integration of building subsystems and refinement of performance metrics remain underexplored. |
| Muhammad et al., 2016 [17] | Provided a theoretical and practical overview of computational intelligence techniques for HVAC system prediction, optimization, control, and fault diagnosis. | 1. Computational intelligence techniques such as fuzzy logic, neural networks, and genetic algorithms improve energy efficiency and occupant comfort. Multi-agent systems and particle swarm optimization excel in addressing complex, multi-objective problems. 2. Key challenges include high computational complexity and limited real-time applicability, necessitating more efficient and scalable algorithms. |
| Lu et al., 2025 [18] | Reviewed 184 studies (2000–2024) on artificial intelligence applications in HVAC system optimization, with a focus on artificial intelligence implementation strategies and technological integration. | 1. Machine learning techniques enhance HVAC performance and user comfort; computer vision facilitates real-time fault detection. 2. Personalized control strategies based on occupant behavior, supported by digital twins and Internet of Things, enable predictive maintenance and adaptive optimization. 3. The integration of building information modeling, Internet of Things, and artificial intelligence supports comprehensive smart management, advancing building energy efficiency and carbon neutrality goals. |
| Country | City | Avg Temp °C (Coldest Month) | Climate Zone * | Reference |
|---|---|---|---|---|
| America | Tucson, AZ | 10 | HSCW | [159] |
| Atlanta, GA | 4.44 | HSCW | [159] | |
| San Francisco, CA | 8.33 | HSCW | [132,159] | |
| Seattle, WA | 5 | HSCW | [159] | |
| Denver, CO | 0.56 | HSCW | [159] | |
| Rochester, NY | −5.56 | Cold | [159] | |
| Lafayette, IN | −7.78 | Cold | [24,25] | |
| Houston, TX | 11.67 | HSWW | [27] | |
| Washington, CO | −3.89 | Cold | [113,114] | |
| Greensboro, NC | 0.56 | HSCW | [10] | |
| Golden, GA | 11.67 | HSWW | [132] | |
| Sterling, CO | −2.22 | Cold | [132] | |
| Chicago, IL | −5 | Cold | [132] | |
| Tampa, FL | 16.11 | HSWW | [132] | |
| Singapore | Kent Ridge, SG | 25 | HSWW | [23,102,120] |
| Korea | Seoul, KG | −2.22 | Cold | [26,120,124] |
| Sri Lanka | Kandy, CP | 22.78 | HSWW | [11] |
| Saudi Arabia | Riyadh, RI | 14.44 | HSWW | [12] |
| France | Perpignan, LP | 7.22 | HSCW | [137] |
| UAE | Abu Dhabi, AZ | 20 | HSWW | [120] |
| Mongolia | Ulaanbaatar, UB | −23.87 | Severe Cold | [120] |
| Standard | Climate | NCC (kW) | Energy Efficiency Rating | ||
|---|---|---|---|---|---|
| Level 1 | Level 2 | Level 3 | |||
| T/CECS 1100-2022 [162] | Cold | All | ≥5.5 | ≥5.0 | ≥4.5 |
| HSCW | All | ≥5.6 | ≥5.1 | ≥4.6 | |
| HSWW | All | ≥5.7 | ≥5.2 | ≥4.7 | |
| SS553-2016 [161] | All | NCC ≥ 1758 | ≥5.41 | ≥5.17 | ≥5.17 |
| NCC < 1758 | ≥5.17 | ≥5.02 | ≥4.40 | ||
| ASHRAE [163] | All | All | ≥5.0 | ≥4.15 | ≥3.5 |
| Unoptimized | Optimized | |
|---|---|---|
| Needs Improvement | 21 | 3 |
| Fair | 11 | 6 |
| Good | 28 | 23 |
| Excellent | 32 | 61 |
| Total | 92 | 93 |
| HSWW | HSCW | Cold | ||||
|---|---|---|---|---|---|---|
| Unoptimized | Optimized | Unoptimized | Optimized | Unoptimized | Optimized | |
| No level | 17 | 9 | 16 | 4 | 10 | 7 |
| Level 3 | 8 | 5 | 5 | 8 | 5 | 4 |
| Level 2 | 4 | 4 | 5 | 5 | 1 | 3 |
| Level 1 | 6 | 20 | 5 | 8 | 0 | 6 |
| Total | 35 | 38 | 31 | 25 | 16 | 20 |
Disclaimer/Publisher’s Note: The statements, opinions and data contained in all publications are solely those of the individual author(s) and contributor(s) and not of MDPI and/or the editor(s). MDPI and/or the editor(s) disclaim responsibility for any injury to people or property resulting from any ideas, methods, instructions or products referred to in the content. |
© 2026 by the authors. Licensee MDPI, Basel, Switzerland. This article is an open access article distributed under the terms and conditions of the Creative Commons Attribution (CC BY) license.
Share and Cite
Yang, H.; Zhang, W.; Lin, G.; Li, H. Annual Operation Energy Efficiency Benchmarking of Chilled Water Plants: A Systematic Review of Global Cases (2014–2025). Buildings 2026, 16, 756. https://doi.org/10.3390/buildings16040756
Yang H, Zhang W, Lin G, Li H. Annual Operation Energy Efficiency Benchmarking of Chilled Water Plants: A Systematic Review of Global Cases (2014–2025). Buildings. 2026; 16(4):756. https://doi.org/10.3390/buildings16040756
Chicago/Turabian StyleYang, Huaiyu, Wanpeng Zhang, Guanjing Lin, and Hui Li. 2026. "Annual Operation Energy Efficiency Benchmarking of Chilled Water Plants: A Systematic Review of Global Cases (2014–2025)" Buildings 16, no. 4: 756. https://doi.org/10.3390/buildings16040756
APA StyleYang, H., Zhang, W., Lin, G., & Li, H. (2026). Annual Operation Energy Efficiency Benchmarking of Chilled Water Plants: A Systematic Review of Global Cases (2014–2025). Buildings, 16(4), 756. https://doi.org/10.3390/buildings16040756

