An Investigation of Cracks in PK-Section Concrete Beams at Early Ages
Abstract
1. Introduction
2. Experiment
2.1. PK-Section Concrete Box Girder Test
2.2. Material Tests
2.3. Shrinkage Test
3. Simulation
3.1. Finite Element Model (FEM)
3.2. Parameter Fitting and Calculation Results
3.2.1. Simulation of Hydration Temperature
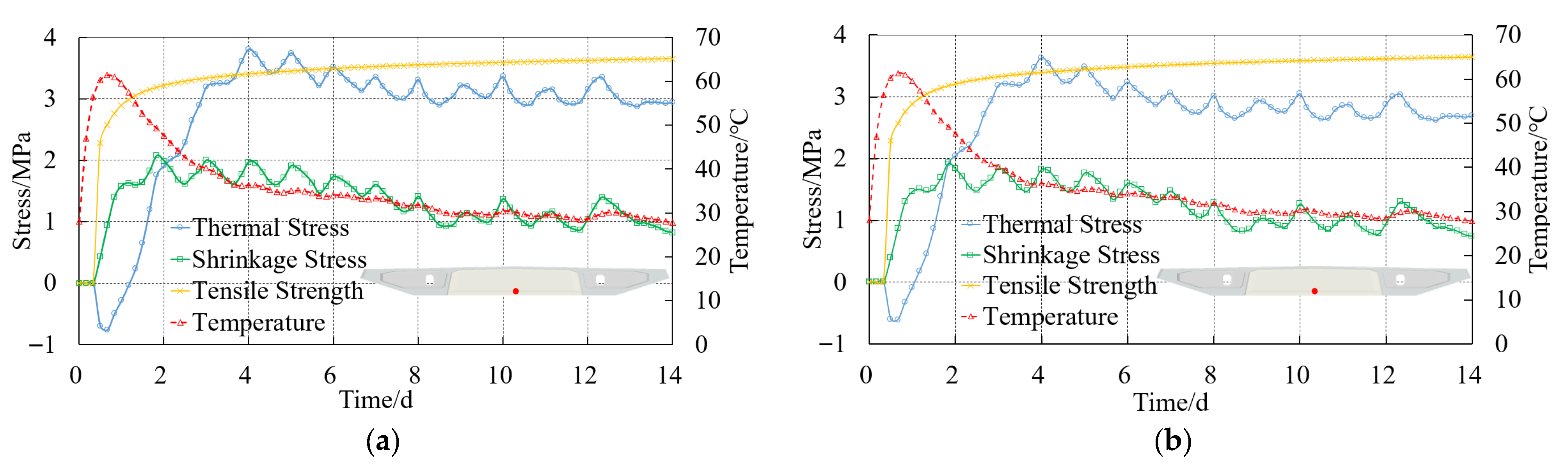
3.2.2. Simulation of Stress–Strain
4. Discussion
4.1. Analysis of Restraint Effects
4.2. Analysis of Construction Conditions of the Main Girder
4.3. Construction Technique Optimization
5. Conclusions
Author Contributions
Funding
Data Availability Statement
Conflicts of Interest
References
- Qu, Z.; Zhang, Y.; Liu, Z.; Si, R.; Wu, J. A review on early-age cracking of concrete: Causes and control. Case Stud. Constr. Mater. 2024, 21, e03848. [Google Scholar] [CrossRef]
- Sheng, X.; Xiao, S.; Zheng, W.; Sun, H.; Yang, Y.; Ma, K. Experimental and finite element investigations on hydration heat and early cracks in massive concrete piers. Case Stud. Constr. Mater. 2023, 18, e01926. [Google Scholar] [CrossRef]
- Liu, Y.; Liu, J. Review on temperature action and effect of steel–concrete composite girder bridge. J. Traffic Transp. Eng. (Engl. Ed.) 2020, 20, 42–59. [Google Scholar] [CrossRef]
- Yu, M.; Yao, X.; Xie, K.; Hao, T.; Wang, X. Analysis Method for the Pouring Stage of Concrete-Filled Steel Tube (CFST) Arch Bridges Considering Time-Varying Heat of Hydration and Elastic Modulus. Buildings 2025, 15, 1711. [Google Scholar] [CrossRef]
- Kuryłowicz-Cudowska, A.; Wilde, K. FEM and experimental investigations of concrete temperature field in the massive stemwall of the bridge abutment. Constr. Build. Mater. 2022, 347, 128565. [Google Scholar] [CrossRef]
- Do, T.A.; Verdugo, D.; Tia, M.; Hoang, T.T. Effect of volume-to-surface area ratio and heat of hydration on early-age thermal behavior of precast concrete segmental box girders. Case Stud. Therm. Eng. 2021, 28, 101448. [Google Scholar] [CrossRef]
- Wu, H.; Liu, J. Investigations of the Temperature Field and Cracking Risk in Early Age Massive Concrete in the #0 Segment of a Box Girder Bridge. KSCE J. Civ. Eng. 2023, 27, 3971–3989. [Google Scholar] [CrossRef]
- Yang, T.; Wang, X.; Li, Q.; Xu, A.; Ma, X. Inversion of Thermal Parameters and Temperature Field Prediction for Concrete Box Girders Based on BO-XGBoost. Buildings 2025, 15, 3408. [Google Scholar] [CrossRef]
- Massoud, S.; Lumantarna, E.; Mendis, P.; Zhong, A. Thermal Stresses of Concrete at Early Ages. J. Mater. Civ. Eng. 2019, 31, 04019056. [Google Scholar] [CrossRef]
- Liu, J.; Liu, Y.; Zhang, Z. Numerical Simulation on Thermomechanical Coupling Behavior of Early-Age Concrete in the Large-Scale Steel–Concrete Connecting Segment of a Hybrid-Girder Cable-Stayed Bridge. J. Bridge Eng. 2020, 25, 05020009. [Google Scholar] [CrossRef]
- Bažant, Z.P. Constitutive Equation for Concrete Creep and Shrinkage Based on Thermodynamics of Multiphase Systems. Matér. Constr. 1970, 3, 3–36. [Google Scholar] [CrossRef]
- Choi, S.; Cha, S.W.; Oh, B.H. Thermo-hygro-mechanical behavior of early-age concrete deck in composite bridge under environmental loadings. Part 2: Strain and stress. Mater. Struct. 2011, 44, 1347–1367. [Google Scholar] [CrossRef]
- Do, T.A.; Tia, M.; Nguyen, T.H.; Hoang, T.T.; Tran, T.D. Assessment of temperature evolution and early-age thermal cracking risk in segmental high-strength concrete box girder diaphragms. KSCE J. Civ. Eng. 2022, 26, 166–182. [Google Scholar] [CrossRef]
- Han, S.; Liu, Y.; Lyu, Y.; Liu, J.; Zhang, N. Numerical simulation investigation on hydration heat temperature and early cracking risk of concrete box girder in cold regions. J. Traffic Transp. Eng. (Engl. Ed.) 2023, 10, 697–720. [Google Scholar] [CrossRef]
- Gribniak, V.; Kaklauskas, G.; Bacinskas, D. State-of-the-Art Review of Shrinkage Effect on Cracking and Deformations of Concrete Bridge Elements. Baltic J. Road Bridge Eng. 2007, 2, 183–193. [Google Scholar]
- Kwak, H.-G.; Ha, S.; Weiss, W.J. Experimental and Numerical Quantification of Plastic Settlement in Fresh Cementitious Systems. J. Mater. Civ. Eng. 2010, 22, 951–966. [Google Scholar] [CrossRef]
- Ghourchian, S.; Wyrzykowski, M.; Plamondon, M.; Lura, P. On the Mechanism of Plastic Shrinkage Cracking in Fresh Cementitious Materials. Cem. Concr. Res. 2019, 115, 251–263. [Google Scholar] [CrossRef]
- Elzokra, A.A.E.; Al Houri, A.; Habib, A.; Habib, M.; Malkawi, A.B. Shrinkage Behavior of Conventional and Nonconventional Concrete: A Review. Civ. Eng. J. 2020, 6, 1839–1851. [Google Scholar] [CrossRef]
- Du, W.; Qian, C.; Xu, Y.; Wei, M.; Peng, B.; Xie, Y. Effects of Ambient Temperature, Formwork Type, and Demolding Time on the Thermal Deformation of Sidewall Concrete in Underground Engineering: Experiment, Simulation, and Engineering Practice. Constr. Build. Mater. 2022, 353, 129083. [Google Scholar] [CrossRef]
- Yang, Q.; Sun, Y.; Peng, X. Experimental Study on Mechanical Properties of Concrete at Super-Early Age. Materials 2022, 15, 7582. [Google Scholar] [CrossRef]
- Ministry of Transport of the People’s Republic of China. Testing Methods of Cement and Concrete for Highway Engineering (JTG 3420-2020); China Communications Press: Beijing, China, 2020. (In Chinese) [Google Scholar]
- FIB—Fédération Internationale du Béton. Fib Model Code for Concrete Structures 2010; International Federation for Structural Concrete: Lausanne, Switzerland, 2013. [Google Scholar]
- Bobko, C.P.; Edwards, A.J.; Seracino, R.; Zia, P. Thermal Cracking of Mass Concrete Bridge Footings in Coastal Environments. J. Perform. Constr. Facil. 2015, 29, 04014171. [Google Scholar] [CrossRef]
- Kurup, D.S.; Mohan, M.K.; Van Tittelboom, K.; De Schutter, G.; Santhanam, M.; Rahul, A.V. Early-age Shrinkage Assessment of Cementitious Materials: A Critical Review. Cem. Concr. Compos. 2024, 145, 105343. [Google Scholar] [CrossRef]
- Tazawa, E.; Miyazawa, S.; Kasai, T. Chemical Shrinkage and Autogenous Shrinkage of Hydrating Cement Paste. Cem. Concr. Res. 1995, 25, 288–292. [Google Scholar] [CrossRef]
- Zhao, D.; Zhu, L.; Shen, Z.; Miu, Z.; Liu, X. Effect of Hydration Heat of Super-Large-Section Tunnel-Lining Concrete on Structural Stress and Its Mitigation Measures. Tunn. Undergr. Space Technol. 2025, 157, 106324. [Google Scholar] [CrossRef]
- Cai, Y.; Wang, F.; Zhao, Z.; Lyu, Z.; Wang, Y.; Zou, P. Early-Hydration Heat and Influencing Factor Analysis of Large-Volume Concrete Box Girder Based on Equivalent Age. Structures 2023, 50, 1699–1713. [Google Scholar] [CrossRef]
- Huang, Y.; Liu, G.; Huang, S.; Rao, R.; Hu, C. Experimental and Finite Element Investigations on the Temperature Field of a Massive Bridge Pier Caused by the Hydration Heat of Concrete. Constr. Build. Mater. 2018, 192, 240–252. [Google Scholar] [CrossRef]
- Zhu, B.F. Temperature Stresses and Temperature Control in Mass Concrete, 2nd ed.; China Water Conservancy and Hydropower Press: Beijing, China, 2012. (In Chinese) [Google Scholar]
- Zhang, L.; Mo, D.; Wang, L.; Wu, X. A method for directly measuring thermal stress in concrete under temperature gradients. Constr. Build. Mater. 2025, 482, 141676. [Google Scholar] [CrossRef]
- Schmidt, C.; Chudoba, R.; Jin, C.; Hegger, J. Experimental investigations on early crack development in fully restrained reinforced concrete members with active zero-displacement control. Materials 2023, 56, 115. [Google Scholar] [CrossRef]
- Safiuddin, M.; Kaish, A.B.M.A.; Woon, C.-O.; Raman, S.N. Early-Age Cracking in Concrete: Causes, Consequences, Remedial Measures, and Recommendations. Appl. Sci. 2018, 8, 1730. [Google Scholar] [CrossRef]
- Le, Q.X.; Torero, J.L.; Dao, V.T.N. Stress–strain–temperature relationship for concrete. Fire Saf. J. 2021, 120, 103126. [Google Scholar] [CrossRef]
- Latifi, M.R.; Biricik, Ö.; Mardani Aghabaglou, A. Effect of the addition of polypropylene fiber on concrete properties. J. Adhes. Sci. Technol. 2022, 36, 345–369. [Google Scholar] [CrossRef]
- Lu, T.; Li, Z.; Huang, H. Effect of Supplementary Materials on the Autogenous Shrinkage of Cement Paste. Materials 2020, 13, 3367. [Google Scholar] [CrossRef]






















| Material | Cement | Fly Ash | Slag | Fine Aggregate | Coarse Aggregate | Admixture | Water |
|---|---|---|---|---|---|---|---|
| Content | 277 | 105 | 93 | 690 | 1163 | 4.9 | 142 |
| Position | Deck Slab | Inclined Bottom Slab | Vertical Web | Transverse Diaphragm | Internal Slab |
|---|---|---|---|---|---|
| Before formwork removal | 14 | 8 | 7 | 7 | 5 |
| After formwork removal | 14 | 14 | 12 | 10 | 8 |
Disclaimer/Publisher’s Note: The statements, opinions and data contained in all publications are solely those of the individual author(s) and contributor(s) and not of MDPI and/or the editor(s). MDPI and/or the editor(s) disclaim responsibility for any injury to people or property resulting from any ideas, methods, instructions or products referred to in the content. |
© 2026 by the authors. Licensee MDPI, Basel, Switzerland. This article is an open access article distributed under the terms and conditions of the Creative Commons Attribution (CC BY) license.
Share and Cite
Zhang, Z.; Wang, J.; Li, H.; Shi, X.; Huang, B. An Investigation of Cracks in PK-Section Concrete Beams at Early Ages. Buildings 2026, 16, 460. https://doi.org/10.3390/buildings16020460
Zhang Z, Wang J, Li H, Shi X, Huang B. An Investigation of Cracks in PK-Section Concrete Beams at Early Ages. Buildings. 2026; 16(2):460. https://doi.org/10.3390/buildings16020460
Chicago/Turabian StyleZhang, Zepeng, Jia Wang, Hongsheng Li, Xuefei Shi, and Bin Huang. 2026. "An Investigation of Cracks in PK-Section Concrete Beams at Early Ages" Buildings 16, no. 2: 460. https://doi.org/10.3390/buildings16020460
APA StyleZhang, Z., Wang, J., Li, H., Shi, X., & Huang, B. (2026). An Investigation of Cracks in PK-Section Concrete Beams at Early Ages. Buildings, 16(2), 460. https://doi.org/10.3390/buildings16020460

