Multi-Objective Optimization Design of a Metakaolin–Slag-Based Binary Solid Waste Geopolymer Mortar Mix Proportion Using Response Surface Methodology
Abstract
1. Introduction
2. Experiments
2.1. Raw Materials
2.2. Experimental Design
2.3. Preparation and Testing Methods for Geopolymer Materials
2.3.1. Preparation of Geopolymer Mortar
2.3.2. Mechanical Testing
2.3.3. Durability Testing
2.3.4. SEM Test
2.3.5. XRD Test
2.3.6. MIP Test
3. Results and Discussion
3.1. Compressive Strength
3.2. Water Absorption Rate
3.3. Response Surface Methodology for Optimizing MK–Slag Mix Proportion
3.3.1. Regression Equations and Analysis of Variance
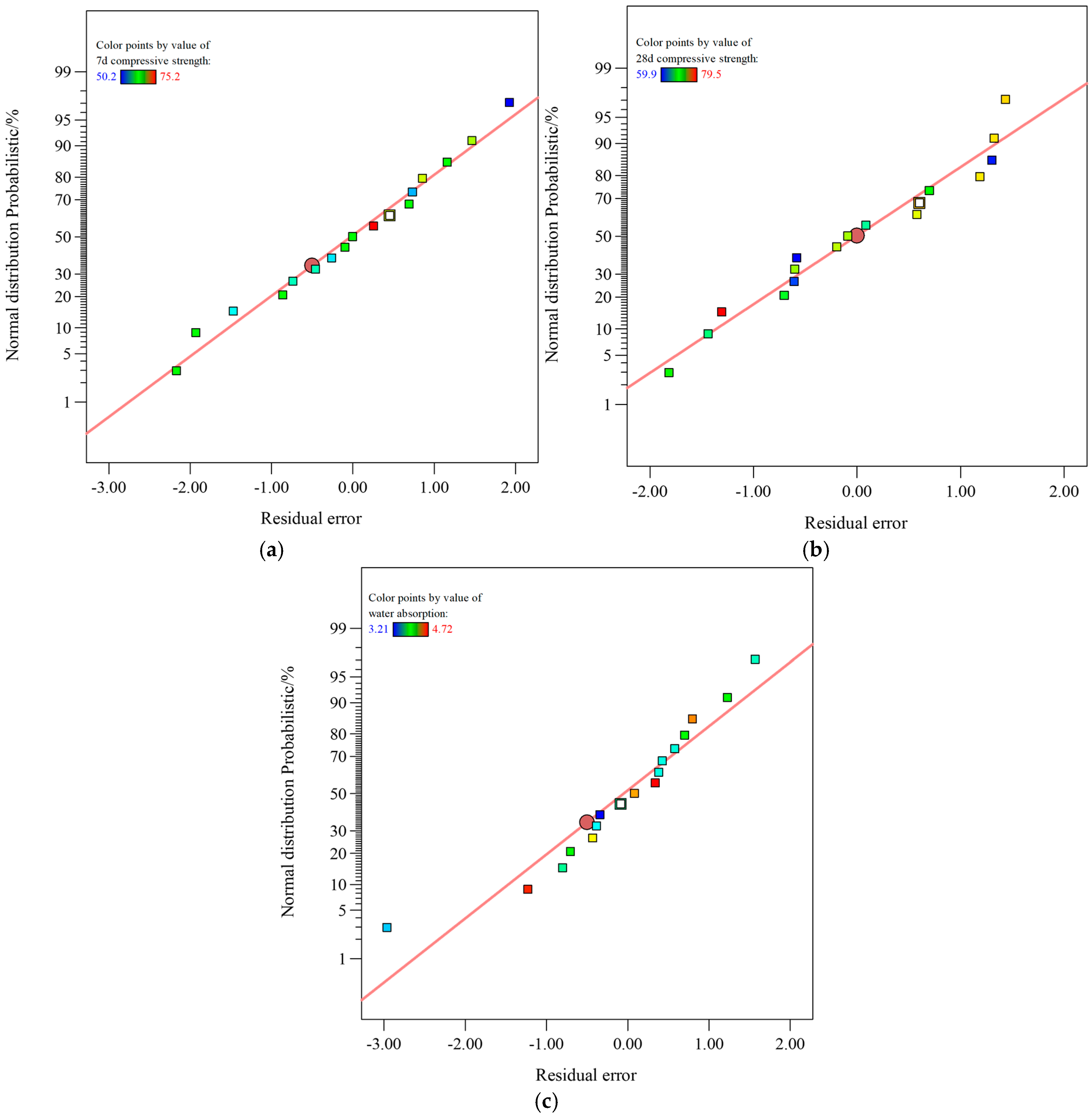
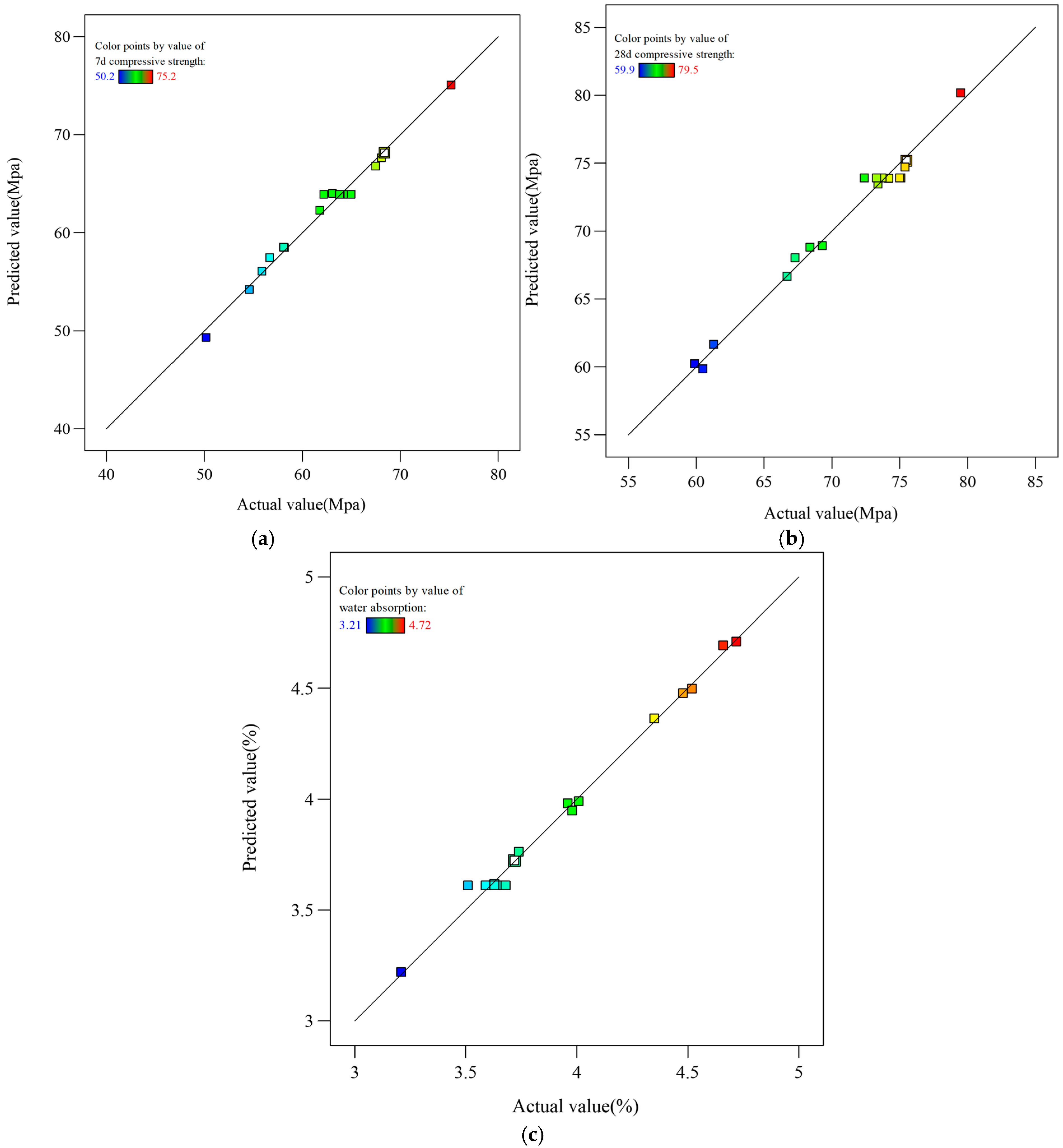
3.3.2. Analysis of Response Surface Model Prediction Accuracy
3.3.3. Response Surface Analysis
3.4. Microstructural Analysis
3.4.1. SEM Analysis
3.4.2. XRD Analysis
3.4.3. MIP Analysis
4. Conclusions
- Single-factor experiments demonstrated that metakaolin–slag content, water/binder ratio, and water glass modulus significantly affect MK–slag properties. Increasing slag content improves mechanical strength and durability. Higher water/binder ratios decrease both strength and durability. Compressive strength initially increases and then decreases with water glass modulus, while water absorption is lowest at intermediate modulus values. At a modulus of 1.2, water absorption reaches 4.49%.
- RSM analysis yielded a quadratic polynomial model for 7-day and 28-day compressive strength and water absorption. Significant interactions among factors were observed. At a metakaolin–slag ratio of 45:55, water/binder ratio of 0.45, and water glass modulus of 1.3, 7-day and 28-day compressive strengths reached 73.8 MPa and 79.6 MPa, respectively, with water absorption at 3.36%.
- SEM, XRD, and MIP analyses show that with curing age, MK–slag hydration products increase, forming abundant N-A-S-H and C-(A)-S-H gels. These gels interlock to form a dense structure, enhancing mechanical strength and durability and clarifying the reaction mechanism of MK–slag.
- A comparative analysis with traditional cementitious materials shows that geopolymer materials reduce carbon emissions by 81.26–85.50% and lower carbon emission costs by 60.07–72.64%, demonstrating significant environmental benefits and a strong potential for practical application. For further details, refer to Appendix A.
- Although water absorption was used in this study as an indicator of pore connectivity to assess durability performance, this approach has certain limitations. Future research should incorporate additional durability indicators, such as moisture absorption and chloride ion permeability, to provide a more comprehensive evaluation of the durability of MK–slag mortar. Building on existing research, a more robust multi-objective optimization framework should be proposed to offer a theoretical basis for the development of solid waste-based green cementitious materials with excellent performance and cost-effectiveness.
Author Contributions
Funding
Data Availability Statement
Conflicts of Interest
Appendix A
| Indicator Name | Traditional Portland Cement | MK–Slag Geopolymer Materials (This Study) | Comparison of Differences | Data Sources and Explanation |
|---|---|---|---|---|
| Material Carbon Emissions (kg CO2/t) | 814–870 | 462–682 | Reduced by 21.61–43.24% | Calculated based on experimental results |
| Carbon emission costs (yuan/t) | 57.52 | 15.74–22.97 | Reduced by 60.07–72.64% | Without large-scale limestone calcination and high-temperature combustion processes |
| Carbon Footprint of Cementitious Materials (kg CO2-eq per t Slag) | High (919) | Low (767–839) | Geopolymer materials are more environmentally friendly | Slag is an industrial by-product |
| Industrial solid waste utilization rate | Low (0–20%) | High (55%) | The effect is obvious | Increase waste utilization |
References
- Supriya; Chaudhury, R.; Sharma, U.; Thapliyal, P.C.; Singh, L.P. Low-CO2 emission strategies to achieve net zero target in cement sector. J. Clean. Prod. 2023, 417, 137466. [Google Scholar] [CrossRef]
- Watari, T.; Cao, Z.; Hata, S.; Nansai, K. Efficient use of cement and concrete to reduce reliance on supply-side technologies for net-zero emissions. Nat. Commun. 2022, 13, 4158. [Google Scholar] [CrossRef]
- Lu, Z.; Li, W.; Yue, R. Investigation of the long-term supply–demand relationships of ecosystem services at multiple scales under SSP–RCP scenarios to promote ecological sustainability in China’s largest city cluster. Sustain. Cities Soc. 2024, 104, 105295. [Google Scholar] [CrossRef]
- Choy, Y.K.; Onuma, A.; Lee, K.E. The Nexus of Industrial–Urban Sustainability, the Circular Economy, and Climate–Ecosystem Resilience: A Synthesis. Sustainability 2025, 17, 2620. [Google Scholar] [CrossRef]
- Cheng, D.; Reiner, D.M.; Yang, F.; Cui, C.; Meng, J.; Shan, Y.; Liu, Y.; Tao, S.; Guan, D. Projecting future carbon emissions from cement production in developing countries. Nat. Commun. 2023, 14, 8213. [Google Scholar] [CrossRef]
- El Fadili, H.; Ait-Khouia, Y.; Ouffa, N.; Taha, Y.; Moukannaa, S.; Benzaazoua, M. Comprehensive review on alkaline dissolution of aluminosilicates and its role in the mechanisms and properties of geopolymers and alkali-activated materials. Case Stud. Constr. Mater. 2025, 23, e05330. [Google Scholar] [CrossRef]
- Singh, N.B.; Middendorf, B. Geopolymers as an alternative to Portland cement: An overview. Constr. Build. Mater. 2020, 237, 117455. [Google Scholar] [CrossRef]
- Li, N.; Shi, C.; Zhang, Z. Understanding the roles of activators towards setting and hardening control of alkali-activated slag cement. Compos. Part B Eng. 2019, 171, 34–45. [Google Scholar] [CrossRef]
- Vaičiukynienė, D.; Nizevičienė, D.; Kantautas, A.; Bocullo, V.; Kielė, A. Alkali Activated Paste and Concrete Based on of Biomass Bottom Ash with Phosphogypsum. Appl. Sci. 2020, 10, 5190. [Google Scholar] [CrossRef]
- Zhang, Z.H.; Zhu, H.J.; Zhou, C.H.; Wang, H. Geopolymer from kaolin in China: An overview. Appl. Clay Sci. 2016, 119, 31–41. [Google Scholar] [CrossRef]
- Zhong, Q.; Tian, X.; Xie, G.; Luo, X.; Peng, H. Investigation of Setting Time and Microstructural and Mechanical Properties of MK/GGBFS-Blended Geopolymer Pastes. Materials 2022, 15, 8431. [Google Scholar] [CrossRef]
- Yip, C.K.; Lukey, G.C.; van Deventer, J.S.J. The coexistence of geopolymeric gel and calcium silicate hydrate at the early stage of alkaline activation. Cem. Concr. Res. 2005, 35, 1688–1697. [Google Scholar] [CrossRef]
- Asaad, M.A.; Huseien, G.F.; Memon, R.P.; Ghoshal, S.K.; Mohammadhosseini, H.; Alyousef, R. Enduring performance of alkali-activated mortars with metakaolin as granulated blast furnace slag replacement. Case Stud. Constr. Mater. 2022, 16, e00845. [Google Scholar] [CrossRef]
- Yao, Z.; Luo, L.; Qin, Y.; Cheng, J.; Qu, C. Research on mix design and mechanical performances of MK-GGBFS based geopolymer pastes using central composite design method. Sci. Rep. 2024, 14, 9101. [Google Scholar] [CrossRef]
- Martínez, A.; Miller, S.A. A review of drivers for implementing geopolymers in construction: Codes and constructability. Resour. Conserv. Recycl. 2023, 199, 107238. [Google Scholar] [CrossRef]
- Esievo, O.P.; Awodiji, C.T.G. Response Surface Model for Predicting the Compressive Strength of Metakaolin Geopolymer Concrete. J. Archit. Civ. Eng. 2025, 10, 24–32. [Google Scholar] [CrossRef]
- Veza, I.; Spraggon, M.; Fattah, I.M.R.; Idris, M. Response surface methodology (RSM) for optimizing engine performance and emissions fueled with biofuel: Review of RSM for sustainability energy transition. Results Eng. 2023, 18, 101213. [Google Scholar] [CrossRef]
- Zhan, J. Study on the Volume Stability of Alkali-Activated Metakaolin-Slag Composite Cementitious Materials. Doctoral Dissertation, Ningxia University, Yinchuan, China, 2022. [Google Scholar]
- Yi, M. Research on the Preparation and Properties of Geopolymer Mortar. Doctoral Dissertation, Zhejiang Sci-Tech University, Hangzhou, China, 2020. [Google Scholar]
- ISO 679:2009; Cement—Test Methods—Determination of Strength. International Organization for Standardization: Geneva, Switzerland, 2009.
- GB/T 17671-2021; Test Method of Cement Mortar Strength (ISO Method) (ISO 679:2009, Cement—Test Methods—Determination of Strength, MOD). State Administration for Market Regulation and Standardization Administration of China: Beijing, China, 2021.
- JGJ/T 70-2009; Standard for Test Method of Basic Properties of Construction Mortar. Ministry of Construction of the People’s Republic of China: Beijing, China, 2009.
- Zhu, H.; Liang, G.; Li, H.; Wu, Q.; Zhang, C.; Yin, Z.; Hua, S. Insights to the sulfate resistance and microstructures of alkali-activated metakaolin/slag pastes. Appl. Clay Sci. 2021, 202, 105968. [Google Scholar] [CrossRef]
- Xiao, L.; Zhang, C.; Zhang, H.; Jiang, Z. Internal Curing Effects of Slag on Properties and Microstructure of Ambient-Cured Fly Ash-Based Geopolymer Mortar. Buildings 2024, 14, 3846. [Google Scholar] [CrossRef]
- Chen, C.; Shenoy, S.; Sasaki, K.; Zhang, H.; Tian, Q. Influence of liquid-to-solid ratios on properties and microstructure of coal gasification slag-based one-part geopolymer. Case Stud. Constr. Mater. 2024, 20, e02924. [Google Scholar] [CrossRef]
- Xie, F.; Liu, Z.; Zhang, D.; Wang, J.; Huang, T.; Wang, D. Reaction kinetics and kinetics models of alkali activated phosphorus slag. Constr. Build. Mater. 2020, 237, 117728. [Google Scholar] [CrossRef]
- Liu, J.; Shi, X.; Zhang, G.; Li, L. Study the Mechanical Properties of Geopolymer under Different Curing Conditions. Minerals 2023, 13, 690. [Google Scholar] [CrossRef]
- Wang, M.; Liu, Q.; Liang, X.; Xu, J.; Li, Z.; Liang, R.; Sun, G. Influence of Metakaolin on Properties of Magnesium Potassium Phosphate Cement with High Water-to-Solid Ratio. J. Mater. Civ. Eng. 2022, 34, 04022227. [Google Scholar] [CrossRef]
- Zhang, B.; Zhu, H.; Cheng, Y.; Huseien, G.F.; Shah, K.W. Shrinkage mechanisms and shrinkage-mitigating strategies of alkali-activated slag composites: A critical review. Constr. Build. Mater. 2022, 318, 125993. [Google Scholar] [CrossRef]
- Peng, H.; Yang, Y.; Ge, Y.; Li, Y.; Shi, X. Metakaolin-Based Geopolymer Features Different Pore Structure Characteristics from Ordinary Portland Cement Paste: A Mechanistic Study. J. Mater. Civ. Eng. 2022, 34, 04022321. [Google Scholar] [CrossRef]
- Zhao, H.; Ding, J.; Huang, Y.; Tang, Y.; Xu, W.; Huang, D. Experimental analysis on the relationship between pore structure and capillary water absorption characteristics of cement-based materials. Struct. Concr. 2019, 20, 1750–1762. [Google Scholar] [CrossRef]
- Nan, F.; Shen, Q.; Zou, S.; Yang, H.; Sun, Z.; Yang, J. Capillary Water Absorption Characteristics of Steel Fiber-Reinforced Concrete. Buildings 2025, 15, 1542. [Google Scholar] [CrossRef]
- Zhang, D.; Yang, Z.; Kang, D.; Fang, C.; Jiao, Y.; Wang, K.; Mi, S. Study on the mechanism of Ca2+ and Na+ interaction during the hydration of multi-source solid waste geopolymers. J. Build. Eng. 2023, 69, 106177. [Google Scholar] [CrossRef]
- Zhang, H.-Y.; Liu, J.-C.; Wu, B. Mechanical properties and reaction mechanism of one-part geopolymer mortars. Constr. Build. Mater. 2021, 273, 121973. [Google Scholar] [CrossRef]
- Cui, Y.; Wang, D.; Wang, Y.; Sun, R.; Rui, Y. Effects of the n(H2O: Na2Oeq) ratio on the geopolymerization process and microstructures of fly ash-based geopolymers. J. Non-Cryst. Solids 2019, 511, 19–28. [Google Scholar] [CrossRef]
- Burciaga-Díaz, O.; Escalante-García, J.I. Structural transition to well-ordered phases of NaOH-activated slag-metakaolin cements aged by 6 years. Cem. Concr. Res. 2022, 156, 106791. [Google Scholar] [CrossRef]
- Liu, Y.; Zhang, S.; Fang, Z.; Sun, M.; Fan, Y.; Shah, S.P. Influence of Water-to-Binder Ratio on Autogenous Shrinkage and Electrical Resistivity of Cement Mortar. Buildings 2025, 15, 1444. [Google Scholar] [CrossRef]
- Charitha, V.; Athira, G.; Bahurudeen, A.; Shekhar, S. Carbonation of alkali activated binders and comparison with the performance of ordinary Portland cement and blended cement binders. J. Build. Eng. 2022, 53, 104513. [Google Scholar] [CrossRef]
- Zhuang, S.; Wang, Q.; Zhang, M. Water absorption behaviour of concrete: Novel experimental findings and model characterization. J. Build. Eng. 2022, 53, 104602. [Google Scholar] [CrossRef]
- Firdous, R.; Stephan, D. Effect of silica modulus on the geopolymerization activity of natural pozzolans. Constr. Build. Mater. 2019, 219, 31–43. [Google Scholar] [CrossRef]
- Kamakshi, T.A.; Reddy, K.C.; Subramaniam, K.V.L. Studies on rheology and fresh state behavior of fly ash-slag geopolymer binders with silica. Mater. Struct. 2022, 55, 65. [Google Scholar] [CrossRef]
- Diao, Y.; Zhu, D.; Hu, Q.; Wang, C.; Hu, H.; Zhang, L.; Huang, J. Self-curing strategy of granite waste powder by calcined and alkaline activation: Mechanical and durability properties. J. Build. Eng. 2025, 103, 112214. [Google Scholar] [CrossRef]
- Du, X.; Hu, K.; Ma, H.; Chen, Y.; Zhang, W.; Chen, G.; Qiao, P. Effect of calcium-to-aluminum ratio on gel structure and performance of geopolymer artificial aggregates for sustainable asphalt pavements. Constr. Build. Mater. 2025, 491, 142755. [Google Scholar] [CrossRef]
- Duraman, S.B.; Richardson, I.G. Microstructure & properties of steel-reinforced concrete incorporating Portland cement and ground granulated blast furnace slag hydrated at 20 °C. Cem. Concr. Res. 2020, 137, 106193. [Google Scholar] [CrossRef]
- Zhang, Y.; He, Y.; Cui, X.; Liu, L. Enhancing Freeze–Thaw Resistance of Alkali-Activated Slag by Metakaolin. ACS Omega 2023, 8, 20869–20880. [Google Scholar] [CrossRef]
- Jia, Z.; Chen, C.; Zhou, H.; Zhang, Y. The characteristics and formation mechanism of the dark rim in alkali-activated slag. Cem. Concr. Compos. 2020, 112, 103682. [Google Scholar] [CrossRef]
- Walkley, B.; San Nicolas, R.; Sani, M.A. Phase evolution of C-(N)-ASH/NASH gel blends investigated via alkali-activation of synthetic calcium aluminosilicate precursors. Cem. Concr. Res. 2016, 89, 120–135. [Google Scholar] [CrossRef]
- Zhang, G.-Y.; Sun, D.-L.; Han, Y.; Wang, J.; Xia, J.; Zhu, J.; Miao, Y.-H. Low-alkalinity activation of calcium carbide slag for blast furnace slag-based materials: Synergistic effects of carbonation curing on performance and microstructure. J. Build. Eng. 2025, 113, 114190. [Google Scholar] [CrossRef]
- Burciaga-Díaz, O.; Magallanes-Rivera, R.X.; Escalante-García, J.I. Alkali-activated slag-metakaolin pastes: Strength, structural, and microstructural characterization. J. Sustain. Cem.-Based Mater. 2013, 2, 111–127. [Google Scholar] [CrossRef]
- Mindess, S.; Young, J.F.; Darwin, D. Concrete, 2nd ed.; Prentice-Hall: Upper Saddle River, NJ, USA, 2003. [Google Scholar]
- Zhang, L.; Qian, X.; Lin, T.; Ruan, S.; Yan, D.; Qian, K. Is early drying shrinkage still determined by the mesopore content? A case study of cement paste with minerals. J. Build. Eng. 2022, 50, 104187. [Google Scholar] [CrossRef]


















| Oxides | SiO2 | Al2O3 | Fe2O3 | CaO | MgO | SO3 | Other |
|---|---|---|---|---|---|---|---|
| Metakaolin | 52.22 | 43.49 | 0.63 | 0.52 | 1.09 | 0.37 | 1.68 |
| Slag | 31.44 | 14.29 | 0.31 | 42.07 | 8.64 | 2.18 | 2.07 |
| Number | MK–Slag Content/% | Water/Binder Ratio | Water Glass Modulus |
|---|---|---|---|
| 1 | 20:80 | 0.46 | 1.2 |
| 2 | 35:65 | 0.46 | 1.2 |
| 3 | 50:50 | 0.46 | 1.2 |
| 4 | 65:35 | 0.46 | 1.2 |
| 5 | 80:20 | 0.46 | 1.2 |
| 6 | 65:35 | 0.42 | 1.2 |
| 7 | 65:35 | 0.44 | 1.2 |
| 8 | 65:35 | 0.46 | 1.2 |
| 9 | 65:35 | 0.48 | 1.2 |
| 10 | 65:35 | 0.50 | 1.2 |
| 11 | 65:35 | 0.48 | 0.8 |
| 12 | 65:35 | 0.48 | 1.0 |
| 13 | 65:35 | 0.48 | 1.2 |
| 14 | 65:35 | 0.48 | 1.4 |
| 15 | 65:35 | 0.48 | 1.6 |
| Influencing Factors | Factor Number | Coded Value | ||
|---|---|---|---|---|
| −1 | 0 | 1 | ||
| Metakaolin-slag content/% | X1 | 45:55 | 55:45 | 65:35 |
| water/binder ratio | X2 | 0.45 | 0.47 | 0.49 |
| water glass modulus | X3 | 1.1 | 1.3 | 1.5 |
| Number | Metakaolin–Slag Content/% | Water/Binder Ratio | Water Glass Modulus | Y1/MPa | Y2/MPa | Y3/% |
|---|---|---|---|---|---|---|
| 1 | −1 | 0.45 | 1.3 | 75.2 | 79.5 | 3.21 |
| 2 | 1 | 0.45 | 1.3 | 61.8 | 69.3 | 4.01 |
| 3 | −1 | 0.49 | 1.3 | 68.1 | 68.4 | 3.96 |
| 4 | 1 | 0.49 | 1.3 | 55.9 | 60.5 | 4.72 |
| 5 | −1 | 0.47 | 1.1 | 68.4 | 75.5 | 3.72 |
| 6 | 1 | 0.47 | 1.1 | 50.2 | 67.3 | 4.66 |
| 7 | −1 | 0.47 | 1.5 | 63.1 | 75.4 | 3.98 |
| 8 | 1 | 0.47 | 1.5 | 58.2 | 61.3 | 4.48 |
| 9 | 0 | 0.45 | 1.1 | 58.1 | 74.2 | 3.63 |
| 10 | 0 | 0.49 | 1.1 | 56.7 | 66.7 | 4.52 |
| 11 | 0 | 0.45 | 1.5 | 67.5 | 73.4 | 3.74 |
| 12 | 0 | 0.49 | 1.5 | 54.6 | 59.9 | 4.35 |
| 13 | 0 | 0.47 | 1.3 | 64.6 | 75.1 | 3.59 |
| 14 | 0 | 0.47 | 1.3 | 65 | 73.7 | 3.64 |
| 15 | 0 | 0.47 | 1.3 | 63.9 | 73.3 | 3.51 |
| 16 | 0 | 0.47 | 1.3 | 63.8 | 75 | 3.68 |
| 17 | 0 | 0.47 | 1.3 | 62.2 | 72.4 | 3.63 |
| Source | 7 d Compressive Strength | 28 d Compressive Strength | Water Absorption | |||
|---|---|---|---|---|---|---|
| F-Value | p-Value | F-Value | p-Value | F-Value | p-Value | |
| Model | 55.39 | <0.0001 | 52.37 | <0.0001 | 117.76 | <0.0001 |
| X1 | 251.92 | <0.0001 | 179.92 | <0.0001 | 374.11 | <0.0001 |
| X2 | 79.17 | <0.0001 | 184.40 | <0.0001 | 364.20 | <0.0001 |
| X3 | 10.62 | 0.0139 | 20.69 | 0.0026 | 0.0166 | 0.9010 |
| X1X2 | 0.3059 | 0.5974 | 1.17 | 0.3160 | 0.1330 | 0.7261 |
| X1X3 | 37.58 | 0.0005 | 7.67 | 0.0277 | 16.10 | 0.0051 |
| X2X3 | 28.10 | 0.0011 | 7.94 | 0.0259 | 6.52 | 0.0379 |
| X12 | 3.94 | 0.0874 | 9.21 | 0.0190 | 92.84 | <0.0001 |
| X22 | 0.3220 | 0.5881 | 31.23 | 0.0008 | 16.18 | 0.0050 |
| X32 | 88.56 | <0.0001 | 22.29 | 0.0022 | 164.25 | <0.0001 |
| Lack-of-fit | 1.05 | 0.4608 | 0.6635 | 0.6616 | 0.3574 | 0.7878 |
| = 0.9862 | = 0.8901 | R2 = 0.9854 | = 0.9666 | R2 = 0.9934 | = 0.9697 | |
| = 0.9683 | C.V. = 1.74% | = 0.9666 | C.V. = 1.51% | = 0.9688 | C.V. = 1.39% | |
Disclaimer/Publisher’s Note: The statements, opinions and data contained in all publications are solely those of the individual author(s) and contributor(s) and not of MDPI and/or the editor(s). MDPI and/or the editor(s) disclaim responsibility for any injury to people or property resulting from any ideas, methods, instructions or products referred to in the content. |
© 2026 by the authors. Licensee MDPI, Basel, Switzerland. This article is an open access article distributed under the terms and conditions of the Creative Commons Attribution (CC BY) license.
Share and Cite
Yin, R.; Zhu, L.; Cheng, D.; Liang, P.; Gao, R. Multi-Objective Optimization Design of a Metakaolin–Slag-Based Binary Solid Waste Geopolymer Mortar Mix Proportion Using Response Surface Methodology. Buildings 2026, 16, 402. https://doi.org/10.3390/buildings16020402
Yin R, Zhu L, Cheng D, Liang P, Gao R. Multi-Objective Optimization Design of a Metakaolin–Slag-Based Binary Solid Waste Geopolymer Mortar Mix Proportion Using Response Surface Methodology. Buildings. 2026; 16(2):402. https://doi.org/10.3390/buildings16020402
Chicago/Turabian StyleYin, Ruize, Lianyong Zhu, Dawei Cheng, Pengchang Liang, and Renfei Gao. 2026. "Multi-Objective Optimization Design of a Metakaolin–Slag-Based Binary Solid Waste Geopolymer Mortar Mix Proportion Using Response Surface Methodology" Buildings 16, no. 2: 402. https://doi.org/10.3390/buildings16020402
APA StyleYin, R., Zhu, L., Cheng, D., Liang, P., & Gao, R. (2026). Multi-Objective Optimization Design of a Metakaolin–Slag-Based Binary Solid Waste Geopolymer Mortar Mix Proportion Using Response Surface Methodology. Buildings, 16(2), 402. https://doi.org/10.3390/buildings16020402

