Preference Evaluation of Reverberation Times for Traditional Inner Mongolian Musical Instruments in Performance Spaces
Abstract
1. Introduction
2. Methods
2.1. Model Selection and Parameter Setting
2.1.1. Selection of Models
2.1.2. Classification of Reverberation Times for the Spatial Models
2.1.3. Model Parameter Setting
2.1.4. Impulse Responses in the Spatial Models
2.2. The Selection of Experimental Stimuli and Players
2.3. Experimental Instruments and Site
2.4. Preparation of Experimental Stimuli
- (1)
- Import dry audio signal and impulse response
- (2)
- [y,fs] = audioread(‘D:\Files\Mongolian Folk Arts\Reverb\01Dry Model Import\Four-stringed Fiddle\Fast Melody.wav’);
- (3)
- [x,fs] = audioread(‘D:\Files\Mongolian Folk Arts\Reverb\03Sound Impulse\Rectangular Room Impulse\Four-stringed Fiddle\Long Melody 1516.1 Left Channel.Wav’);
- (4)
- Assigned coefficients: x1 = x × 0.5; y1 = y × 0.6;
- (5)
- Perform convolution: mix=conv(y1,x1);
- (6)
- Generate audio files: audiowrite(‘D:\Files\Mongolian Performing Arts\Reverb\04 Sound Convolution\Rectangular Space Erhu 1516 Left Channel.wav’, mix, fs);
2.5. Subjective Listening Experiment
2.6. Data Validation Methods
2.6.1. Circular Triad Analysis
- Pij > 0 and Pjk ≥ 0, but Pik ≤ 0
- Pij = 0, but Pik ≠ Pjk
- Pij < 0 and Pjk ≤ 0, but Pik ≥ 0
2.6.2. Mean Value Analysis
2.6.3. One-Sample t-Tests
3. Results
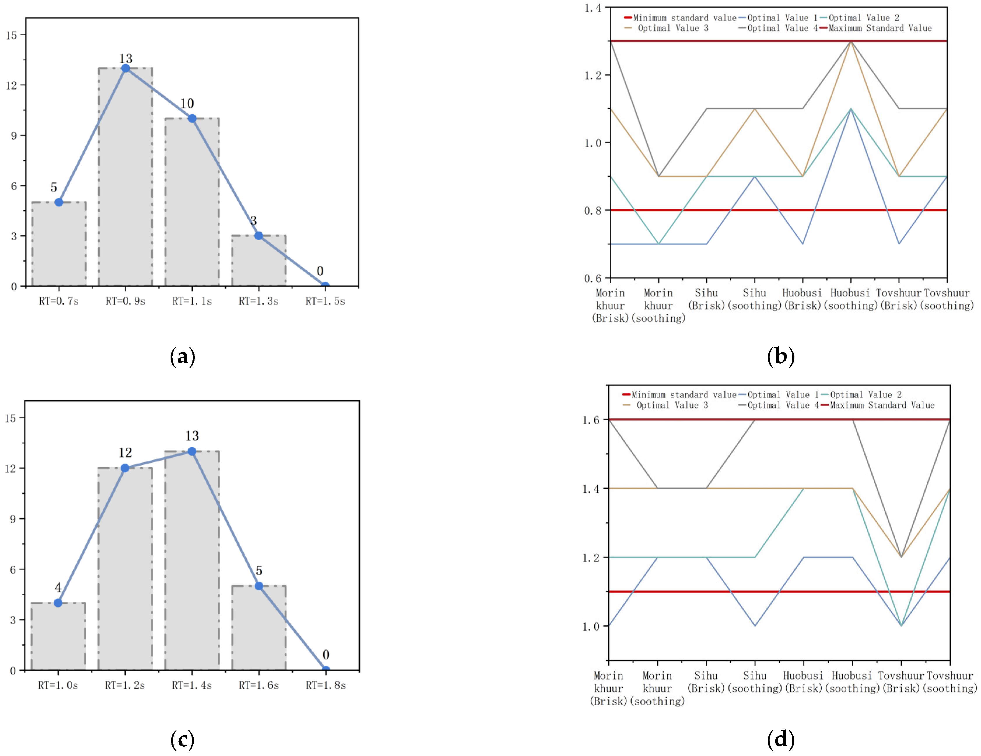
3.1. Optimal Values of Reverberation Times
3.2. Optimal Reverberation Times for Different Instruments
3.3. Optimal Reverberation Times Across Participant Groups
3.4. Optimal Reverberation Times Based on Musical Tempo
4. Discussion
5. Conclusions
- (1)
- Regarding instrument types, the optimal values for all four instruments in the rectangular space were 0.9 s, while those in the theater space were 1.2 s and 1.4 s. Other options did not follow certain patterns due to multiple factors.
- (2)
- Regarding the participant group, in the rectangular space, the optimal values for both groups were 0.9 s, while those for the professional and general groups in the theater space were 1.4 s and 1.2 s, respectively. In both spaces, the general group exhibited a larger range of preferred choices, and the professional group demonstrated preferences for higher reverberation.
- (3)
- Regarding the temporal characteristics of the musical pieces, in the rectangular space, the preferred reverberation time for all samples was 0.9 s. In the theatre space, faster-tempo samples were associated with a reverberation time of 1.2 s, whereas slower-tempo samples were associated with a reverberation time of 1.4 s. Faster-tempo compositions favored shorter reverberation times, while slower-tempo compositions were preferred with longer reverberation times.
- (4)
- In the subjective listening experiment, participants evaluated audio stimuli at varying reverberation times, and generated by convolving dry recordings of traditional Inner Mongolian musical instruments with impulse responses obtained from computationally simulated spatial models. The results indicated that the optimal reverberation times for the selected instruments were 1.2 s and 1.4 s in the theater space, and 0.9 s and 1.1 s in the rectangular space.
Author Contributions
Funding
Data Availability Statement
Acknowledgments
Conflicts of Interest
Appendix A
| Jinchang Theatre | Pinglu Theatre | Heze Theatre | Luoyang Theatre | |
|---|---|---|---|---|
| Floor Plan | ![]() | ![]() | ![]() | ![]() |
| Cross-Section | ![]() | ![]() | ![]() | ![]() |
| V (m3) | 9365 | 9464 | 11,860 | 12,760 |
| Rectangular S (m2) | 3718.7 | 3897.3 | 4349.3 | 4652.0 |
| Seating Qty (seats) | 1009 | 1309 | 1521 | 1420 |
| Each volume (m3) | 9.3 | 7.2 | 7.8 | 9.0 |
| Stage opening width (m) | 16 | 22 | 14.8 | 18 |
| Aspect ratio | 33.0/25.0 = 1.32 | 30.5/30.2 = 1.009 | 31.5/30.8 = 1.016 | 34.9/32.8 = 1.064 |
| Space 1 | Space 2 | Space 3 | Space 4 | |
|---|---|---|---|---|
| Floor Plan | ![]() | ![]() | ![]() | ![]() |
| Cross-Section | ![]() | ![]() | ![]() | ![]() |
| V (m3) | 5691.6 | 2480.6 | 1867.3 | 791.6 |
| Land area S (m2) | 1108.8 | 408.5 | 373.5 | 212.6 |
| Seating Qty (seats) | 612 | 314 | 204 | 300 |
| Each volume (m3) | 9.3 | 7.9 | 9.15 | 2.63 |
| Aspect ratio | 32.9/32.6 = 1.001 | 21.5/19.0 = 1.131 | 26.3/14.2 = 1.839 | 17.8/14.4 = 1.236 |
References
- National Editorial Committee for the Chinese Folk Art Gazetteer. Chinese Folk Art Gazetteer: Inner Mongolia Volume, 1st ed.; China ISBN Centre: Beijing, China, 2000. [Google Scholar]
- Institute of Ethnic Literature and Art, Central University for Nationalities. Encyclopaedia of Chinese Ethnic Musical Instruments, 1st ed.; New World Press: Beijing, China, 1986. [Google Scholar]
- Qing, G.L. A Study on the Distribution Patterns and Stylistic Schools of Contemporary Traditional Instrumental Ensembles Among the Mongolian Ethnic Group. Ph.D. Thesis, China Conservatory of Music, Beijing, China, 2019. [Google Scholar]
- Tong, L.G. Research on Mongolian Intangible Cultural Heritage: The Morin Khuur and Its Cultural Transformation. Ph.D. Thesis, Minzu University of China, Beijing, China, 2010. [Google Scholar]
- Meng, Z.H.; Zhao, F.J. Preliminary Experimental Study on Subjective Preference for Reverberation in Chinese Folk Music Fragments. Appl. Acoust. 2007, 1, 41–45. [Google Scholar]
- Wang, T.T. A Study on Performance Spaces for Traditional Chinese Musical Instruments. Ph.D. Thesis, Xi’an University of Architecture and Technology, Xi’an, China, 2020. [Google Scholar]
- Yang, W.; Kwak, K.H. Subjective acoustic survey of Korean traditional wind instruments, piri and daegeum, in a concert hall using auralisation techniques. Appl. Acoust. 2022, 185, 108421. [Google Scholar] [CrossRef]
- Hidaka, T.; Nishihara, N. Favorable reverberation time in concert halls revisited for piano and violin solos. J. Acoust. Soc. Am. 2022, 151, 2192–2206. [Google Scholar] [CrossRef] [PubMed]
- Meyer, J. Acoustics and the Performance of Music, 5th ed.; Springer: New York, NY, USA, 2009. [Google Scholar]
- Qi, Y.X. Sound Power Level Testing of Western Bowed String Instruments. Master’s Thesis, South China University of Technology, Guangzhou, China, 2023. [Google Scholar]
- Zhao, Y.Z.; Wu, S.X. Sound Power Measurement of the Pipa, a Traditional Chinese Musical Instrument. J. Tongji Univ. (Nat. Sci. Ed.) 2009, 37, 1270–1275. [Google Scholar]
- Lokki, T.; Mcleod, L. Perception of loudness and envelopment for different orchestral dynamics. J. Acoust. Soc. Am. 2020, 148, 2137–2145. [Google Scholar] [CrossRef]
- Qiu, J.Z.; Wu, S.X. Research on Optimal Loudness Values for Ethnic Music Performance Halls. Archit. J. China 2009, 3, 67–69. [Google Scholar]
- Gai, L. Vocal Characteristics of Cantonese Opera Performers and Subjective Selection of Optimal Performance Hall Acoustics. Ph.D. Thesis, South China University of Technology, Guangzhou, China, 2020. [Google Scholar]
- Guo, T.K. A Study on Subjective Preference Selection for ITDG and IACC in Chinese Ethnic Music Halls. Ph.D. Thesis, South China University of Technology, Guangzhou, China, 2014. [Google Scholar]
- Buen, A. Some aspects of the acoustics of the Hardangerfiddle. In Proceedings of the Baltic-Nordic Acoustic Meeting, Oslo, Norway, 3–5 May 2021. [Google Scholar]
- Suyatno, H.A.; Tjokronegoro, I.G.N.; Supanggah, R. Preference of reverberation time for musicians and audience of the javanese traditional gamelan music. J. Phys. Conf. 2016, 776, 012070. [Google Scholar] [CrossRef]
- Siswanto, W.A.; Tam, L. Sound characteristics and sound prediction of the traditional musical instrument the three-rattle angklung. Int. J. Acoust. Vib. 2012, 17, 120–126. [Google Scholar] [CrossRef]
- Sun, H.T.; Yang, Y. Research on Audiovisual Integration Based on Building Acoustics Simulation. J. South China Univ. Technol. (Nat. Sci. Ed.) 2023, 51, 71–79. [Google Scholar]
- Yan, M.C. Research on Reverberation Time Measurement Based on Indoor Impulse Response. J. Open Univ. Sci. Technol. 2023, 1, 23–27. [Google Scholar]
- Shi, Z.W. Analysis of Acoustic Measurement Systems for Chinese Traditional Musical Instruments. Master’s Thesis, China Conservatory of Music, Beijing, China, 2016. [Google Scholar]
- Wang, X.; Hao, X.Y. Research on Multi-Channel Audible Representation of Ethnic Musical Instruments. J. Commun. Univ. China (Nat. Sci. Ed.) 2020, 27, 29–35+40. [Google Scholar]
- Han, X.Y. The Current State and Innovative Potential of Compositions for the Mongolian Instrument Huobusi. Music Compos. 2017, 4, 144–145. [Google Scholar]
- Uligi, B. The Developmental History of the Mongolian Musical Instrument Tobshuur. Inn. Mong. Arts (Mong. Chin.) 2023, 3, 68–79. [Google Scholar]
- Cha, C.; Lee, H. Measurements of sound absorption coefficients of raked audience seating in a rectangular scale model room. Appl. Acoust. 2024, 217, 109872. [Google Scholar] [CrossRef]
- Kamisiński, T. Acoustic simulation and experimental studies of theatres and concert halls. Acta Phys. Pol. A 2010, 118, 78–82. [Google Scholar] [CrossRef]
- GB/T 50076-2013; Specification for Measuring Indoor Reverberation Time. School of Architecture, Tsinghua University; China Architecture & Building Press: Beijing, China, 2014.
- GB/T 50356-2005; Code for Acoustic Design of Theatres, Cinemas and Multipurpose Halls. China Planning Press: Beijing, China, 2005.
- Bork, I. Report on the 3rd round robin on room acoustical computer simulation—Part II: Calculations. Acta Acust. United Acust. 2005, 91, 753–763. [Google Scholar]
- Odeon User Manual. Available online: https://odeon.dk/downloads/user-manual/ (accessed on 15 September 2025).
- Zhu, X.D. The Influence of Interface Scattering in Performance Spaces on Acoustic Quality Parameters. Ph.D. Thesis, Tianjin University, Tianjin, China, 2023. [Google Scholar]
- Liu, J.P. Building Physics, 4th ed.; China Architecture & Building Press: Beijing, China, 2009. [Google Scholar]
- Buren, B. Traditional Musical Instruments of the Mongolian Ethnic Group, 1st ed.; Inner Mongolia University Press: Hohhot, China, 2007. [Google Scholar]
- Wang, J. Construction and Visualisation Design of the Cultural Gene Map of Chaor Musical Instruments. Master’s Thesis, Inner Mongolia Normal University, Hohhot, China, 2022. [Google Scholar]
- Huo, R.C.; Wen, Z. Artistic Characteristics of the Mongolian Four-Stringed Fiddle and the Horqin School. Art Panor. 2023, 23, 3–5. [Google Scholar]
- Uligi, B.; Qi, Q. A Study on the Musical Form Characteristics of Traditional Tobshuur Melodies of the Mongolian Ethnic Group. Inn. Mong. Arts (Mong. Chin.) 2023, 6, 55–64. [Google Scholar]
- Kousgaard, N. The application of binary paired comparisons to listening tests. Percept. Reprod. Sound 1987, 71–80. [Google Scholar]
- Parizet, E. Paired comparison listening tests and circular error rates. Acta Acust. United Acust. 2002, 88, 594–598. [Google Scholar]
- Mao, D.X.; Yu, W.Z. Data Verification and Criteria for Pairwise Comparative Subjective Evaluation of Sound Quality. J. Acoust. 2005, 5, 468–472. [Google Scholar]
- Otto, N.; Amman, S.; Eaton, C. Guidelines for jury evaluations of automotive sounds. SAE Tech. Pap. 2001, 35, 24–47. [Google Scholar]
- Yu, B.; Jiang, G.R. Spatial Distribution of Reverberation Time in Flat Spaces. In Proceedings of the 2010 International Conference on Building Environment Science and Technology, Wuxi, China, 7–9 May 2010. [Google Scholar]
- Beranek, L. Concert Halls and Opera Houses: Music, Acoustics, and Architecture, 2nd ed.; Springer: New York, NY, USA, 2004. [Google Scholar]












| Theater Space | Rectangular Space | |
|---|---|---|
| Sound source and receiving points | ![]() | ![]() |
| Model information | The main performance features a rectangular orchestra pit floor plan, with a single-level balcony at the rear. A liftable orchestra pit is positioned at the stage front. The performance measures approximately 25 m in length and 16 m at its widest point, with an interior volume of 11,860 m3. It accommodates 1521 seats, each occupying 7.8 m3/seat, comprising 545 surfaces and an interior surface area of 7129.62 m2. | The rectangular space features a stepped floor plan, with a depth of 25 m, width of 16 m, and height of 7 m. It comprises 39 surfaces, with an interior surface area of 1373.51 m2. |
| Reverberation Time Surface | 0.7 s | 0.9 s | 1.1 s | 1.3 s | 1.5 s | 1.0 s | 1.2 s | 1.4 s | 1.6 s | 1.8 s |
|---|---|---|---|---|---|---|---|---|---|---|
| Roof | 0.08 | 0.08 | 0.08 | 0.08 | 0.08 | 0.08 | 0.08 | 0.08 | 0.08 | 0.08 |
| Side wall | 0.20 | 0.08 | 0.08 | 0.08 | 0.08 | 0.08 | 0.08 | 0.08 | 0.08 | 0.08 |
| Seat | 0.90 | 0.90 | 0.75 | 0.60 | 0.45 | 0.85 | 0.85 | 0.90 | 0.65 | 0.55 |
| Ground | 0.90 | 0.20 | 0.10 | 0.10 | 0.10 | 0.50 | 0.30 | 0.08 | 0.08 | 0.08 |
| Rear wall | 0.80 | 0.60 | 0.60 | 0.40 | 0.30 | 0.95 | 0.70 | 0.70 | 0.50 | 0.40 |
| Space Type | 125 Hz | 250 Hz | 500 Hz | 1000 Hz | 2000 Hz | 4000 Hz |
|---|---|---|---|---|---|---|
| Rectangular room reverberation time | 0.71 | 0.73 | 0.73 | 0.73 | 0.72 | 0.64 |
| 1.02 | 1.08 | 0.94 | 0.92 | 0.90 | 0.78 | |
| 1.15 | 1.12 | 1.14 | 1.13 | 1.13 | 0.99 | |
| 1.37 | 1.35 | 1.34 | 1.34 | 1.33 | 1.14 | |
| 1.66 | 1.62 | 1.54 | 1.54 | 1.55 | 1.25 | |
| Theater space reverberation time | 1.25 | 1.07 | 1.00 | 1.02 | 1.01 | 0.83 |
| 1.48 | 1.37 | 1.20 | 1.21 | 1.18 | 1.02 | |
| 1.67 | 1.55 | 1.41 | 1.42 | 1.31 | 1.11 | |
| 1.85 | 1.79 | 1.63 | 1.64 | 1.63 | 1.32 | |
| 2.07 | 1.97 | 1.84 | 1.84 | 1.82 | 1.53 |
| 500–1000 Hz Reverberation Time | Binaural Pulse Diagram | 500–1000 Hz Reverberation Time | Binaural Pulse Diagram |
|---|---|---|---|
| 0.7 s | ![]() | 1.0 s | ![]() |
| 0.9 s | ![]() | 1.2 s | ![]() |
| 1.1 s | ![]() | 1.4 s | ![]() |
| 1.3 s | ![]() | 1.6 s | ![]() |
| 1.5 s | ![]() | 1.8 s | ![]() |
| Huobusi | Tovshuur | Morin Khuur | High-Pitched Sihu |
|---|---|---|---|
![]() | ![]() | ![]() | ![]() |
| Huobusi, a Mongolian plucked string instrument. A series of Hobus has been developed, including soprano, alto, and bass variants, with all four strings tuned in fifth intervals. It produces clear, bright tones with a mellow, rich resonance and a gentle, beautiful timbre, evoking the vast spirit of the grasslands. It can be used for singing accompaniment, solo performance, ensemble playing, or accompanying song and dance. | Tovshuur, a Mongolian plucked string instrument. Primarily used for solos, folk song accompaniment, and folk dance accompaniment, its melodies often feature rhythmic themes repeated and developed with variations. Sometimes multiple playing techniques are employed within a single piece, creating remarkably distinct effects. It excels at both passionate dance tunes and lyrical, expressive melodies. | Morin Khuur, a Mongolian bowed string instrument, derives its name from the horse-head carving adorning its pegbox. This ancient bowed instrument is ideal for performing Mongolian folk songs, accurately conveying the essence of Mongolian life: vast grasslands, howling winds, sorrowful emotions, galloping hooves, and joyful pastoral melodies. | The high-pitched Sihu, a Mongolian bowed string instrument, evolved from the folk xiao sihu. It produces a crisp, melodious, and beautiful tone, with considerable volume. Primarily used for solos, duets, and instrumental ensembles, it often performs in duets or ensembles with the medium-pitched sihu, horsehead fiddle, sanxian, yatogga, or hobus. |
| Instrument Type | Instrumental Fragment | Audio Characteristics |
|---|---|---|
| Huobusi | Prairie Reflections | ![]() |
| Manjiang Hong | ![]() | |
| Morin Khuur | Wild Geese | ![]() |
| The Gobi in My Heart | ![]() | |
| High-pitched Erhu | Meeting at the Oboo | ![]() |
| Improvisational Fragments | ![]() | |
| Tovshuur | Saulden | ![]() |
| Galloping Steed | ![]() |
| 125 Hz | 250 Hz | 500 Hz | 1000 Hz | 2000 Hz | 4000 Hz |
|---|---|---|---|---|---|
| 0.78 | 0.49 | 0.46 | 0.47 | 0.48 | 0.46 |
| Space Type | I | II | III | IV | V | VI | VII | VIII | IX | X |
|---|---|---|---|---|---|---|---|---|---|---|
| Rectangular space | 1.0 s 1.2 s | 1.0 s 1.4 s | 1.0 s 1.6 s | 1.0 s 1.8 s | 1.2 s 1.4 s | 1.2 s 1.6 s | 1.2 s 1.8 s | 1.4 s 1.6 s | 1.4 s 1.8 s | 1.6 s 1.8 s |
| Theater space | 0.7 s 0.9 s | 0.7 s 1.1 s | 0.7 s 1.3 s | 0.7 s 1.5 s | 0.9 s 1.1 s | 0.9 s 1.3 s | 0.9 s 1.5 s | 1.1 s 1.3 s | 1.1 s 1.5 s | 1.3 s 1.5 s |
| Group | Gender | Age | Number | Characteristics |
|---|---|---|---|---|
| Professional group | Man | 20–30 | 12 | Having undergone extensive, systematic training in instrumental performance or vocal studies, both possess higher education qualifications in music-related disciplines and demonstrate professional proficiency in musical aural skills and analytical abilities. |
| woman | 20–30 | 12 | ||
| General group | Man | 20–30 | 10 | Having received no formal training in any musical instrument or vocal technique, these individuals are non-arts students whose exposure to music stems primarily from casual recreational listening. |
| woman | 20–30 | 10 |
| Room Type | Experimental Materials | Subject Group | Optimal Value (in Seconds) |
|---|---|---|---|
| Rectangular space | Morin khuur fast piece | Professional group | 0.9, 1.1, 1.3 |
| General group | 0.7, 0.9, 1.1 | ||
| Horsehead Fiddle slow piece | Professional group | 0.9 | |
| General group | 0.7, 0.9 | ||
| High-pitched Si Hu fast melody | Professional group | 0.9, 1.1 | |
| General group | 0.7, 0.9 | ||
| High-pitched Si Hu slow melody | Professional group | 0.9 | |
| General group | 1.1 | ||
| Huobusi fast melody | Professional group | 0.9, 1.1 | |
| General group | 0.7, 0.9 | ||
| Fire Unthinkable slow melody | Professional group | 1.1, 1.3 | |
| General group | 0.9, 1.1, 1.3 | ||
| Tovshuur fast melody | Professional group | 0.9, 1.1 | |
| General group | 0.9, 1.1 | ||
| Tovshuur slow melody | Professional group | 0.9, 1.1 | |
| General group | 0.9 | ||
| Theater space | Morin Khuur fast piece | Professional group | 1.4, 1.6 |
| General group | 1.0, 1.2 | ||
| Horsehead Fiddle slow piece | Professional group | 1.2, 1.4 | |
| General group | 1.2, 1.4 | ||
| High-pitched Si Hu fast melody | Professional group | 1.4 | |
| General group | 1.2, 1.4 | ||
| High-pitched Si Hu slow melody | Professional group | 1.2, 1.4 | |
| General group | 1.0, 1.2, 1.4, 1.6 | ||
| Huobusi fast melody | Professional group | 1.2, 1.4, 1.6 | |
| General group | 1.2, 1.4 | ||
| Fire Unthinkable slow melody | Professional group | 1.2, 1.4 | |
| General group | 1.4, 1.6 | ||
| Tovshuur fast melody | Professional group | 1.0 | |
| General group | 1.0, 1.2 | ||
| Tovshuur slow melody | Professional group | 1.2, 1.4, 1.6 | |
| General group | 1.2, 1.4 |
| ROOM TYPE | Experimental Material | Optimal Reverb Time Values |
|---|---|---|
| Rectangular space | Morin khuur | 0.9 s (4), 1.1 s (2), 0.7 s (2), 1.3 s (1) |
| High-pitched Si Hu | 0.9 s (3), 1.1 s (2), 0.7 s (1) | |
| Huobusi | 0.9 s (3), 1.1 s (3), 1.3 (2), 0.7 s (1) | |
| Tovshuur | 0.9 s (4), 1.1 s (3), 0.7 s (1) | |
| Theater space | Morin Khuur | 1.2 s (3), 1.4 s (3), 0.7s (1), 1.6 s (1) |
| High-pitched Si Hu | 1.4 s (4), 1.2 s (3), 1.0 s (1), 1.6 s (1) | |
| Huobusi | 1.4 s (4), 1.2 s (3), 1.6 s (2) | |
| Tovshuur | 1.2 s (3), 1.4 s (2), 1.0 s (2), 1.6 s (1) |
| Room Type | Subject Group | Optimal Value |
|---|---|---|
| Rectangular space | Professional group | 0.9 s (7), 1.1 s (6), 1.3 s (2) |
| General group | 0.9 s (7), 0.7 s (5) 1.1 s (4), 1.3 s (1) | |
| Theater space | Professional group | 1.4 s (7), 1.2 s (5), 1.6 s (3), 1.0 s (1) |
| General category | 1.2 s (7), 1.4 s (6), 1.6 s (2), 1.0 s (3) |
| Spatial Type | Experimental Material | Optimal Value |
|---|---|---|
| Rectangular space | Fast tempo | 0.9 s (8), 1.1 s (6), 0.7 s (4), 1.3 s (1) |
| Slow tempo | 0.9 s (5), 1.1 s (4), 1.3 s (2), 0.7 s (1) | |
| Theater space | Fast tempo | 1.2 s (5), 1.4 s (5), 1.0 s (3), 1.6 s (2) |
| Slow tempo | 1.4 s (8), 1.2 s (7), 1.6 s (3), 1.0 s (1) |
Disclaimer/Publisher’s Note: The statements, opinions and data contained in all publications are solely those of the individual author(s) and contributor(s) and not of MDPI and/or the editor(s). MDPI and/or the editor(s) disclaim responsibility for any injury to people or property resulting from any ideas, methods, instructions or products referred to in the content. |
© 2026 by the authors. Licensee MDPI, Basel, Switzerland. This article is an open access article distributed under the terms and conditions of the Creative Commons Attribution (CC BY) license.
Share and Cite
Yue, X.; Ni, S.; Qu, Z.; Xu, Z.; Yang, D.; Zhu, X. Preference Evaluation of Reverberation Times for Traditional Inner Mongolian Musical Instruments in Performance Spaces. Buildings 2026, 16, 331. https://doi.org/10.3390/buildings16020331
Yue X, Ni S, Qu Z, Xu Z, Yang D, Zhu X. Preference Evaluation of Reverberation Times for Traditional Inner Mongolian Musical Instruments in Performance Spaces. Buildings. 2026; 16(2):331. https://doi.org/10.3390/buildings16020331
Chicago/Turabian StyleYue, Xiaoyun, Shuonan Ni, Zhongzheng Qu, Zifan Xu, Da Yang, and Xiangdong Zhu. 2026. "Preference Evaluation of Reverberation Times for Traditional Inner Mongolian Musical Instruments in Performance Spaces" Buildings 16, no. 2: 331. https://doi.org/10.3390/buildings16020331
APA StyleYue, X., Ni, S., Qu, Z., Xu, Z., Yang, D., & Zhu, X. (2026). Preference Evaluation of Reverberation Times for Traditional Inner Mongolian Musical Instruments in Performance Spaces. Buildings, 16(2), 331. https://doi.org/10.3390/buildings16020331









































