Next Article in Journal
Physiological Stress in Elderly Residents of Densely Populated Urban Villages: A Skin Conductance Study with Interpretable Machine Learning Modeling
Previous Article in Journal
Experimental Study on the Axial Compression High-Cycle Fatigue Performance of Concrete-Filled Double-Skin Steel Tubular Columns
Previous Article in Special Issue
Sensitivity Analysis of Envelope Design for Rural Dwellings in Cold Regions of China: An Orthogonal Experiment-Based Approach
error_outline You can access the new MDPI.com website here. Explore and share your feedback with us.
 
 
Font Type:
Arial Georgia Verdana
Font Size:
Aa Aa Aa
Line Spacing:
Column Width:
Background:
Article

Daylight Glare with the Sun in the Field of View: An Evaluation of the Daylight Glare Metric Through a Laboratory Study Under an Artificial Sky Dome and an Extensive Simulation Study

1
Unit of Energy Efficient Building, University of Innsbruck, 6020 Innsbruck, Austria
2
Research and Development, Bartenbach GmbH, 6112 Wattens, Austria
*
Author to whom correspondence should be addressed.
Buildings 2026, 16(2), 249; https://doi.org/10.3390/buildings16020249
Submission received: 28 November 2025 / Revised: 30 December 2025 / Accepted: 1 January 2026 / Published: 6 January 2026

Abstract

The Daylight Glare Probability (DGP) includes the luminance of a glare source quadratically, but the solid angle only linearly. While this is in line with formulae of other glare metrics, it must be questioned for small glare sources, if the glare stimulus can no longer be distinguished from larger stimuli causing equal vertical illuminance at the eye, especially in the peripheral visual field. To account for this, the modified version Daylight Glare Metric (DGM) was previously developed. We conducted two studies to evaluate the effect of the modified DGM. First, in a laboratory study under an artificial sky with an LED sun, 35 test subjects evaluated different glare situations. Second, we performed a comprehensive simulation study for an office space, including three locations, three view directions, and 17 window systems (electrochromic glazing, fabric shades). The results from the perception study under the artificial sky provide evidence that the adapted DGM is better suited to predict glare from small, bright sources. The results from the simulation study for a realistic office setting show that, compared to the DGP, the DGM reduces glare ratings for many hours of the year, thus underscoring the practical relevance of improving the DGP formula.

1. Introduction

Glare is a visual phenomenon that can cause discomfort or reduce visibility due to excessive brightness or contrast in the visual field. It is categorized into two types: discomfort glare, which causes annoyance without necessarily impairing vision, and disability glare, which reduces the ability to see details or objects. Glare is influenced by factors such as luminance, contrast, the size of the glare source (GS), and its position in the field of view [1,2]. The assessment of glare caused by electric lighting is well-established and formally standardized through the “Unified Glare Rating” (UGR) calculation method. This methodology is outlined in the European Standard for Workplace Lighting EN 12464-1 [3], which defines UGR requirements for various types of interiors, visual task areas, and activities. However, with the widespread shift to LED technology, adaptations of UGR evaluations have been elaborated, e.g., to account for non-uniform source luminance [4]. Despite these updates, the application-specific requirements outlined in the standard remain unchanged.
Daylight glare is a specific type of discomfort glare caused by natural light sources, such as the sun or reflections, or from bright areas of the sky or from surroundings in a sunlit environment. The Daylight Glare Probability (DGP) metric was developed to address the unique characteristics of daylight glare [5]. Unlike earlier metrics for daylight glare, DGP incorporates vertical illuminance at the eye and considers both contrast and saturation effects, making it more robust and reliable for daylight-dominated environments. Studies have consistently shown that DGP outperforms other metrics for daylight glare evaluation. Jakubiec and Reinhart [6] showed that DGP outperforms the Daylight Glare Index (DGI), the CIE Glare Index, the Visual Comfort Probability, and the Unified Glare Rating. In the study by Wymelenberg and Inanici [7], DGP performed better than the DGI, although both advanced metrics were outperformed by vertical illuminance and simple luminance metrics (mean or standard deviation of luminance in the scene). In contrast, Viula and Hordijk [8] showed, in a classroom setup, that the DGP outperformed all other metrics, including simpler luminance- or illuminance-based ones. In a comprehensive cross-validation study, Wienold et al. [2] evaluated the performance and robustness of 22 different glare metrics and showed that DGP delivered the highest performance and the highest robustness among all metrics. This result is confirmed in CIE 252 [9], in the chapter on comparative studies showing the applicability and limitations of glare models.
With this in mind, it is also clear that DGP has become a quasi-standard in both research and practice for evaluating daylight glare. It is included in standards such as EN 17037 [10], which defines essential properties of daylight in buildings, including glare protection, where the comprehensive method requires evaluations of annual DGP values. Also, in the simplified, table-based method for low-transmittance glazing and textile screens, the references are based on EN 14501 [11], in which, again, the DGP metric is used to classify the systems. The categorization of the DGP levels according to EN 17037 is given in Table 1.
While it is proposed as a standard procedure, the EN 17037 daylight standard also explicitly mentions shortcomings of the method. This involves two key points:
i.
The DGP should not be used to assess daylight glare in rooms with horizontal daylight openings;
ii.
The DGP cannot be used in situations where vertical illuminance is not a good indicator of glare perception (this is probably the more important and critical point).
The second situation can arise in indoor spaces when a system is installed that reduces the overall luminous flux but still creates high-contrast conditions. This happens for fabric glare protection systems, which have some openness fraction, or for dark sun protection glazing or switchable (e.g., electrochromic) glazing in dark tint states. In these configurations, the overall vertical illuminance is limited, but the primary source of glare is the sun disk. Despite its small apparent size, the sun is extremely bright (around 109 cd·m−2), resulting in a small glare source with a luminance of millions or tens of millions cd·m−2 after being “filtered” by the glass or shade.
Numerous very recent studies show that the correct consideration of glare from daylight is highly relevant. Lu and Tzempelikos [12] investigated the adequacy of simulation methods for glare risk assessments with roller shades. A major factor of influence is the correct mapping of the direct sunlight for valid assessments of DGP. Jain et al. [13] evaluated the influence on the perceived glare of blue electrochromic glazing against color-neutral glazing. They were therefore exactly in the second of the critical cases mentioned above, having the sun behind a glazing in a dark tint state. In their study they circumvented this by using a larger measurement spot around the sun and not looking into absolute thresholds. Viula et al. [14] investigated situations in classrooms away from the window where the prediction level of DGP was limited. They proposed adaptations of the DGP metric in both the contrast term (based on the luminance of the glare source (Ls) and the solid angle of the glare source (ωs)) and the adaptation term (based on the total vertical illuminance (Ev)). They came up with a series of adaptations of the formula for various settings (window/wall zone, with/without glare). Karmann et al. [15] compared the performance of glare predictions from various metrics with glare classifications of fabric shades according to EN 14501 [11]. While DGP showed the highest correlation with user ratings, deviations were found for situations with direct sunlight in the field of view.
Metrics for discomfort glare share the same general structure and are based on four main physical quantities: Ls, ωs, background luminance (Lb) or Ev, and the position of the glare source in the field of view (P). The metrics were created based on subject studies, and the coefficients were derived in each case. What the metrics all have in common is that the luminance of the glare light source is included in the formula to a higher power than its solid angle. In most formulas—including the UGR, but also DGP—Ls is squared, while ωs is linear (cf. Equation (1)).
D G P = 5.87 × 10 5   E v + 9.18 × 10 2 log 1 + i L s , i 2 ω s , i E v 1.87 P i 2 + 0.16
This was also one of the main criticisms of the DGP metric, as it tends to overestimate the impact of small but bright glare sources (such as the sun). Geisler-Moroder and Knoflach [16] investigated the effect of small glare sources in the peripheral visual field. They suggested adjusting the DGP by limiting the minimum solid angle of the glare source depending on its position in the visual field. They came up with the Daylight Glare Metric (DGM), an improved formula that corrects the unintended effect for small sources but leaves the validated DGP metric unchanged in most situations (Equation (2)).
D G M = 5.87 × 10 5   E v + 9.18 × 10 2 log 1 + i L s , i 2 ω s , i 2 E v 1.87 P i 2 ω s , i * + 0.16
Here the solid angle of a glare source ωs,i is adjusted as follows: for ωs,i > ωthreshold, the solid angle is unchanged, i.e., ωs,i* = ωs,i, else it is replaced by the canonical solid angle, i.e., ωs,i* = ωthreshold = 2π (1 − cos γthreshold) for the specified threshold angle γthreshold (see Equations (2)–(5) in [16]). While the derivation of the adjusted metric was presented and initial evaluations based on point-in-time simulations provided evidence that the adjusted DGM leads to improved results, a full evaluation was not provided.
The present work addresses this gap by conducting (1) a laboratory study to assess how well the revised formula aligns with person-specific glare evaluations and (2) a simulation study to estimate the practical relevance of the proposed adjustments in real-world applications.

2. Methods

2.1. Laboratory Study

2.1.1. Aim of the Study

The perception study and the associated questionnaire items were designed to address the central research question of whether the modified DGM correlates more strongly with the participants’ subjective glare assessments than the original DGP metric.

2.1.2. Experimental Environment

The evaluation of the modified DGM required stable and daylight-like conditions. For this purpose, all experiments were carried out inside an artificial sky dome. A constant indirect vertical illuminance of Ev,ind = 1000 lx at the eye was generated through a uniform luminance distribution on the dome representing sky and floor reflections. In addition, an artificial sun was used as a controllable glare source, providing luminance values of up to 6000 kcd/m2. The glare source could be varied by dimming and using pinhole apertures of defined sizes. The position of the glare source in the field of view could be defined by means of lateral mobility and variable elevation angles of the artificial sun. The combination of the indirect component with the direct contribution from the artificial sun resulted in total vertical illuminance levels between 1955 lx and 5836 lx at the subjects’ eyes, corresponding to a bright and highly daylit office environment. The setup used in the artificial sky dome is illustrated in Figure 1.

2.1.3. Preliminary Tests and Design Decisions

Preliminary tests (see [16]) revealed several crucial aspects that informed the final study design. One key finding concerned the usable field of view. While glare assessments in electric lighting contexts (e.g., UGR) typically assume a field-of-view limit at an elevation of approximately 60°, the initially selected maximum elevation angle of 45° proved problematic. Several participants could no longer adequately perceive glare sources positioned at that angle, indicating that the effective visual field varies substantially between individuals. Consequently, the maximum elevation angle for the glare source was reduced to 40°.
A second adjustment was prompted by the observation that participants tended to tilt their heads downward when using the chin rest. This posture would have shifted the field of view and thus confounded the spatial placement of the glare source. To ensure a neutral head position, the headrest was mounted with a backward tilt of 10°.
Furthermore, the preliminary study indicated that participants reported comparatively low glare sensitivity under the initially selected luminance levels. In order to broaden the elicited glare responses and ensure a meaningful evaluation of both DGP and the DGM, the luminance levels of the artificial sun were increased accordingly.

2.1.4. Glare Situations

The final experiment comprised 16 systematically varied glare situations. These situations differed with respect to the azimuth and elevation of the glare source, the size of the source expressed through its solid angle, and the luminance of the source.
The choice of the size and luminance of the glare sources was intended to enable systematic investigation of the existing glare metric DGP and the modified DGM in terms of their consistency with the test subjects’ assessments. Such systematic variation would not have been feasible in real-world office environments due to the inability to isolate and control these parameters with the required precision. Table 2 summarizes the situations evaluated by the subjects. With the indirect illuminance Ev,ind = 1000 lx generated from the background (artificial sky and ground) and the respective glare source specification (direction, luminance, and the opening angle defining the solid angle, see Table 2), the glare ratings were calculated analytically according to Equation (1) for DGP and Equation (2) for DGM. Figure 2 and Figure 3 show the glare source positions, sizes, and luminance values for the main glare situations SIT01–SIT12 and for the high-glare situations SIT13–SIT16, respectively. Two of these situations, SIT02 and SIT03, were constructed so that the DGP and DGM yielded identical values, as they featured a centrally located glare source with an opening angle of approximately 3°. In all other situations, the concept of blurring small glare sources in the peripheral field of view resulted in lower DGM values compared to the DGP, with a maximum difference of 0.124 for SIT12 (DGP = 0.529, DGM = 0.405).

2.1.5. Study Participants

The study was conducted with 35 participants (8 men, 26 women, 1 diverse) aged between 18 and 59 (mean = 29.3, SD = 11.3). The majority had blue, green, or gray eyes (n = 19), followed by brown (n = 13) and brown-green eyes (n = 3). Twenty participants wore visual aids (glasses or contact lenses). The main reasons for wearing visual aids were nearsightedness (n = 15), followed by farsightedness (n = 1), astigmatism (n = 3), and reading glasses only (n = 1). There were no known eye diseases in the sample. Informed consent for participation was obtained from all subjects involved in the study.

2.1.6. Experimental Procedure

At the beginning of the study, each participant completed a sociodemographic questionnaire. Participants were also asked to self-report their subjective sensitivity to bright light on an 11-point scale (0 to 10). After filling out the questionnaire, the high-glare situation SIT13 was presented to establish a comparable perceptual baseline across participants. The main experiment followed a block-randomized repeated-measures design in which blocks were defined by the azimuth angle of the glare source. Within each block, the order of situations was randomized to minimize sequence effects. Each of the 16 glare situations was shown individually, after which participants provided their glare assessments.

2.1.7. Questionnaire

For each presented glare situation, the subjects were asked to answer seven questions adapted from Jain et al. [17] and translated into German.
  • Q1 Wie würden Sie die momentane Blendung in Ihrem Sichtfeld beschreiben?
(nicht wahrnehmbar/wahrnehmbar/störend/unerträglich)
Original question: At the moment, how would you describe glare in your field of view?
(imperceptible/noticeable/disturbing/intolerable)
  • Q2 Haben Sie im Moment Beschwerden durch Blendung?
(Ja/Nein)
Original question: Are you experiencing any discomfort due to glare at the moment?
(Yes/No)
  • Q3 Wie stark sind Ihre Beschwerden aufgrund von Blendung im Moment?
(keine/leicht/moderat/stark)
Original question: How much discomfort due to glare are you experiencing at the moment?
(not at all/slightly/moderately/very much)
  • Q4 Wie stark fühlen Sie sich im Moment durch Blendung gestört?
(0—gar nicht … 10—sehr stark)
Original question: On a scale of 0–10, how much discomfort due to glare are you experiencing at the moment? (0—not at all … 10—very much)
  • Q5 Wie akzeptabel ist die Blendung, die Sie im Moment erleben?
(inakzeptabel/eher inakzeptabel/eher akzeptabel/akzeptabel)
Original question: How acceptable is the glare you are currently experiencing?
(unacceptable/somewhat unacceptable/somewhat acceptable/acceptable)
  • Q6 Ist die aktuelle Blendung in dieser Situation stärker, schwächer, oder gleich stark wie in der vorherigen Situation?
(stärker/schwächer/gleich stark)
Added question: Is the current glare in this situation stronger, weaker, or the same as in the previous situation?
(stronger/weaker/the same)
  • Q7 Leiden Sie aktuell unter irgendwelchen Beschwerden an Ihren Augen?
(keine/leicht/moderat/stark)
Original question: Are you experiencing any eye fatigue or pain in your eyes?
(none/slight/moderate/severe)

2.1.8. Statistical Analysis

All questionnaire items (Q1–Q7) were designed to capture different facets of the participants’ glare perception. However, among these items, Q4, which uses an 11-point rating scale, offered the highest resolution and was therefore best suited for evaluating differences between glare situations. Consequently, the statistical analyses reported in detail focus primarily on Q4.
Before conducting the analyses, outliers were removed according to the conventional criterion of 1.5 times the interquartile range below the first or above the third quartile. Tests for normality using the Shapiro–Wilk test indicated that the data were not normally distributed. For this reason, only non-parametric methods were applied. Pairwise comparisons between individual glare situations were analyzed using Wilcoxon signed-rank tests, whereas comparisons across multiple glare situations were conducted using Friedman tests.
In addition to these analyses, Kendall’s Tau correlations were calculated to examine the relationship between the participants’ self-reported glare sensitivities and their ratings for Q1 and Q4. These correlations were used to assess whether individuals who report being more sensitive to glare also tend to assign higher glare ratings within the experiment.
No analyses were conducted regarding potential sociodemographic influences due to the comparatively small sample size, which would not allow for meaningful or reliable statistical subgroup evaluations. Likewise, the potential influence of visual aids (e.g., corrective glasses) on glare perception was not examined. This decision is supported by CIE 252 [9], which states that “the influence of the optical correction on discomfort glare is almost certainly non-existent”.

2.2. Simulation Study

2.2.1. Simulation Model

While individual situations were evaluated in the laboratory study, the European daylighting standard EN 17037, in its comprehensive method, requests the investigation of the temporal behavior of the occurrence of glare in an annual evaluation [10]. A DGP threshold value for each level should not be exceeded more frequently than a limit frequency of 5%. The matrix methods in Radiance for efficient Climate-Based Daylight Modeling (CBDM) were developed in order to be able to carry out such annual evaluations [18,19,20]. With the Five-Phase Method (5PM) [21], a refined algorithm is available that allows the direct solar component to be mapped with greater accuracy, and has also been validated [22]. A further improvement for representing the direct-through component of the sun when including a shading or daylighting system in simulations using BSDF data was developed with the so-called Peak Extraction Method (PE) [23,24]. We used this approach—the 5PM using the PE in the more precise direct part—for our simulation study in order to best realize the representation of the sun as a glare light source. As the model for the study, we used the published reference office of the IEA SHC Task 56 and the locations proposed there (Stockholm, Stuttgart, Rome) [25]. Figure 4 shows a perspective view and a plan of the simulation model. For the three locations, Table 3 provides information about the used EPW weather data files (IWEC reference weather data compiled from data from 1984 to 2007 (Stockholm), 1982 to 1992 (Stuttgart), and 1984 to 2008 (Rome)), the latitude, and the “sun hours”, i.e., the number of hours with non-zero direct normal irradiance in the weather data. For all the situations in which there was non-zero direct-normal irradiance in the weather data, a sun and, thus, a small, bright light source was generated in the simulation as a potential source of glare. These situations are therefore relevant for our evaluation here. In comparison, we also report in Table 3 how many hours of sunshine occur according to the common definition by the World Meteorological Organization (WMO) (direct normal irradiance threshold 120 W/m2).
The simulations and evaluations were performed for three typical viewpoints in the reference office space: View 1 represents a typical view at the workplace next to the wall, with the view direction parallel to the façade; View 2 represents a typical view at the workplace in the middle of the room, with the view direction parallel to the façade; and View 3 represents a view from the workplace in the middle of the room, with the view direction perpendicular to the façade. All viewpoints are assumed at a height of 1.20 m above floor level to represent a sitting person. The locations of the viewpoints in the room are shown in Figure 5, Figure 6 and Figure 7, respectively.
The current evaluation focuses on situations with direct sunlight in the field of view. Figure 5, Figure 6 and Figure 7 show the view from the respective viewpoint superimposed with the sun paths at the respective location. The subfigures (b) show the sun paths for Stockholm, (c) those for Stuttgart, and (d) those for Rome. This shows that, depending on the viewpoint and location, the number of hours is significantly reduced. In order to drastically reduce the calculation time in the evaluation, the hours were therefore determined for which (1) the sun is visible through the window in the field of view (see Figure 5, Figure 6 and Figure 7, (b) to (d), respectively) and (2) direct solar radiation is available at this time in the climate data file. Table 4 shows the resulting number of hours for which this is the case.
For the evaluation, we considered the same 17 systems as in the original paper [16], which include typical and widely used anti-glare fabrics, as well as an electrochromic window in various switching states. The systems were (1) the electrochromic (EC) window with six different tint states corresponding to visual transmittance at normal incidence of 2%, 7%, 17%, 27%, 42%, and 61%, respectively, and (2) 11 light-scattering fabric blinds with different weaves, colors, and openness factors. For all systems, the tabulated BSDFs in Klems resolution and in high resolution (Tensor Tree variable resolution with a maximum resolution of 4096 × 4096, corresponding to a minimum angular resolution of 2 × 1.27°), obtained from [16], were used. The BSDFs for the rotationally symmetric EC glazing system were generated with the Radiance genBSDF tool [26], while the BSDFs for the fabric shades, which show a clear anisotropy in their scattering, were generated by Wang et al. [27].
The daylight simulations were performed using the 5PM in Radiance, version 6.1a, following the steps and settings described there (3PM, subtraction of direct component of 3PM, adding accurate direct component) [19]. In order to correctly represent the luminance distribution at the facade, the extension and additional settings as described in [22] were used, accounting for the accurate direct solar contribution “room” and “façade” separately. The accurate direct component for the 5PM simulation was simulated using the aBSDF material [28] for the façade systems to allow PE for direct-through solar contributions. For the 3PM simulation the Tregenza sky subdivision (145 patches) was used, while for the 5PM accurate direct contribution, the sun positions according to the Reinhart MF:4 subdivision (2305 patches) were used.
As shown in Table 4, the number of hours during which the sun is present according to climate data and visible from the viewpoint varies significantly. To reduce the simulation time, we therefore determined the exact accurate solar contributions only for these hours. This was performed by (1) extracting for each viewpoint the numbers of the Reinhart MF:4 sky hemisphere patches, which can be seen from the respective position; and (2) determining for each location (i.e., each weather file), from the corresponding direct-sun sky matrix (generated with gendaymtx -5 0.5 -d), those hours for which the direct contribution in one of these MF:4 patches was greater than zero.
In total, for the three locations (Stockholm, Stuttgart, Rome), three views, and 17 systems (6 EC states, 11 fabric shades), this resulted in 1,340,280 (=8760 × 3 × 3 × 17) HDR images. From these, through selecting only the determined situations with direct sun in the field of view, a total of 103,632 HDR images were used. For each of these images, an additional blurred image using a Lorentzian filter with full width, half maximum of 0.18° mimicking the human eye as well as the scattering of an HDR camera lens [24], was generated. This means that the glare assessment was performed on a total of 207,264 different images.

2.2.2. Evaluation of Glare Metrics

In their original work, Geisler-Moroder et al. [16] specify a scaling factor scalethreshold of 2.346 for the threshold angle γthreshold in Equation (2) in order to limit “the solid angle up to ~15° from the viewing direction so that the solid angle is 0.0003 sr, that is, matches the limit specified for the UGR calculation”. With scalethreshold = 1.0, the threshold angle corresponds to the results from their experiment 2. The results from experiment 1 (Figure 13 in [16]), are best represented for scalethreshold = 1.780. For comparison purposes, we have also implemented a variant that always limits the minimum solid angle of a small glare source to 0.0003 sr, in line with the specification for the UGR method. In this case, a small glare source is always reproduced with at least 0.0003 sr (corresponding to 2 × 0.56°) regardless of the viewing direction. Table 5 summarizes the glare metrics that were used in the assessment.
All glare evaluations were performed using evalglare software [29]. The version including the evaluation of the DGM was provided by the authors from [16]. Additionally, the evaluation with a fixed minimum of 0.0003 sr was implemented. As our evaluations include electrochromic glazing and low transmission screens, which still have a direct-through component through their openness factor, we disabled the “low light correction” in the evalglare calculations. This decision was based on recent findings by the author of evalglare [30].

2.3. Use of Generative Artificial Intelligence (GenAI)

GenAI was used to generate templates for Python 3.11 scripts for the creation of figures. The content of a sample result file was provided as a prompt together with a description of the desired display format. The scripts were then reviewed by the authors and adapted for the final display format.

3. Results

3.1. Laboratory Study

3.1.1. Descriptive Analysis

To find out how much discomfort due to glare the test subjects were experiencing in the laboratory study, they had to answer several questions. The mean values (Table 6) and median values (Table 7) show that these different ratings are largely consistent. The color coding in the tables is scaled for each column (i.e., green denotes the lowest ratings in the column, while red denotes the highest ratings in the column). The coloring of the situation indices highlights that SIT13 is the reference situation, SIT07 is designed as a “low-glare” situation, and SIT14 to SIT16 are designed as “high-glare” situations. According to the glare metrics DGP and DGM, higher glare ratings would have been expected. Overall, the glare evaluations were relatively low but still aligned with the objective glare ratings. The situation SIT07 has the lowest DGP and DGM values, and this is supported by the subjects’ responses. On the other hand, DGP and DGM for SIT14 and SIT16 imply strong glare, and this corresponds well with the responses of the test subjects. This is particularly evident for Q6, i.e., the comparison with the respective previous situation, which always differed.

3.1.2. Self-Reported Sensitivity to Bright Light

Self-reported sensitivity to bright light was comparatively low, resulting in a median value of 3 (mean = 3.17, SD = 1.87; see Figure 8). A Kendall’s Tau Correlation test between the median answers to items Q1 and Q4 and self-reported bright light sensitivity showed no significant correlation between the subjective glare rating and self-reported glare sensitivity (Q1: p = 0.251, τ = 0.168; Q4: p = 0.103, τ = 0.215).

3.1.3. Assessment of the Initial Glare Situation (SIT13)

Situation SIT13 was designed as a “high-glare” situation and was always presented to the test subjects as the first situation to have the same starting conditions. Although SIT13 is the situation with the highest glare score according to both glare metrics DGP and DGM, the test subjects rated it as causing the least disturbance due to glare. This statistically highly significant anomaly can be explained by the presentation at the very beginning of the test procedure. In addition, the subsequent situation typically exhibited a significantly lower glare effect (both lower DGP and DGM), which may have contributed to a reinterpretation of the severity of the disturbance. SIT14, which was shown at a random position in the test procedure, has a DGP and DGM value close to SIT13 and was perceived as generating significantly stronger glare (p < 0.001; r = 0.936; see Figure 9). SIT13 is therefore not used in the interpretation of the results.

3.1.4. Comparisons Between Glare Situations

To assess the situations with regard to the DGM variants (cf. Table 5), we further report the glare ratings for the original DGP, as well as for DGP* (blurred image with Lorentzian filter), DGM (scalethreshold = 2.346, as proposed in [16]), DGM1.78 (scalethreshold = 1.780, experiment 1 in [16]), and DGM1.00 (scalethreshold = 1.0, experiment 2 in [16]) in the following tables (Table 8, Table 9, Table 10 and Table 11).
According to the DGP, the situations SIT01 and SIT04 caused comparable glare that was considerably higher than that of SIT02 and SIT03 (see Table 8). Furthermore, SIT01 should have caused significantly more glare than SIT02. Similarly, SIT04 should have caused significantly more glare than SIT03. According to the DGM evaluations, a similar level of discomfort was expected for all the situations (SIT01–SIT04).
The assessment showed that SIT01 actually caused significantly less glare for the test subjects than SIT02 (p = 0.002; r = 0.697), which contradicts both glare metrics (see Figure 10a). However, the deviation of the participants’ rating from the DGP is stronger than the deviation from the DGM. Between SIT03 and SIT04, no significant difference in perceived glare was found (p = 0.139, r = 0.333), which matches the DGM and contradicts the DGP.
For situation SIT06, DGP predicted it would be slightly more glaring than SIT05 (see Table 9). No significant difference in subjective glare rating was found between these situations (p = 0.356; r = 0.217). The modified DGM reported lower glare and was similar for both situations (cf. Figure 11).
Situation SIT07 is designed as a “glare-free” situation according to the DGM, while according to the classical DGP, this situation should have caused discomfort. However, the test subjects rated this situation with the lowest mean Q4 rating (apart from the special, initial case SIT13; see Table 6).
SIT08 should have caused slightly more glare than both SIT05 and SIT06. This is also reflected in the test subjects’ assessments (SIT05: p = 0.067, r = 0.431; SIT06: p = 0.003; r = 0.711), see Figure 12. According to DGP the difference from SIT05 to SIT08 should have been greater than from SIT06 to SIT08, which cannot be confirmed by the responses of the test subjects.
For situations SIT09 to SIT12, the DGP predicted a sharp increase in glare (see Table 10). The DGM, on the other hand, resulted in a constant glare assessment. An increase in the glare effect could not be statistically proven based on the test subjects’ ratings (χ2(3) = 0.614, p = 0.893, W = 0.007). This implies comparable glare for these situations, which contradicts the DGP and shows that the DGM significantly improved the glare rating in this case. For comparison, in SIT16 the glare source was situated at the same position in the visual field, but this situation had by far the highest glare rating of the test subjects (cf. Table 6 and Table 7). The butterfly charts for the responses to question Q4 in Figure 13 allow for a comparison of SIT09 with situations SIT10, SIT11, SIT12, and SIT16.
The situations SIT14 to SIT16 were designed to cause severe glare (see Table 11). SIT14 should have caused more glare than SIT15, which cannot be confirmed by the participants’ assessments (p = 0.149, r = 0.337, see Figure 14a). The deviation of the participants’ rating from the DGM is stronger than the deviation from the DGP.
On the contrary, SIT16 should have caused a glare sensation comparable to SIT15. According to the test subjects’ assessments, SIT16 was significantly more disturbing, with a mean value of 4.77 and a median of 5 (p = 0.008, r = 0.548) (see Figure 14b). The deviation of the participants’ rating from the DGP is stronger than the deviation from the DGM.

3.2. Simulation Study

3.2.1. Descriptive Analysis

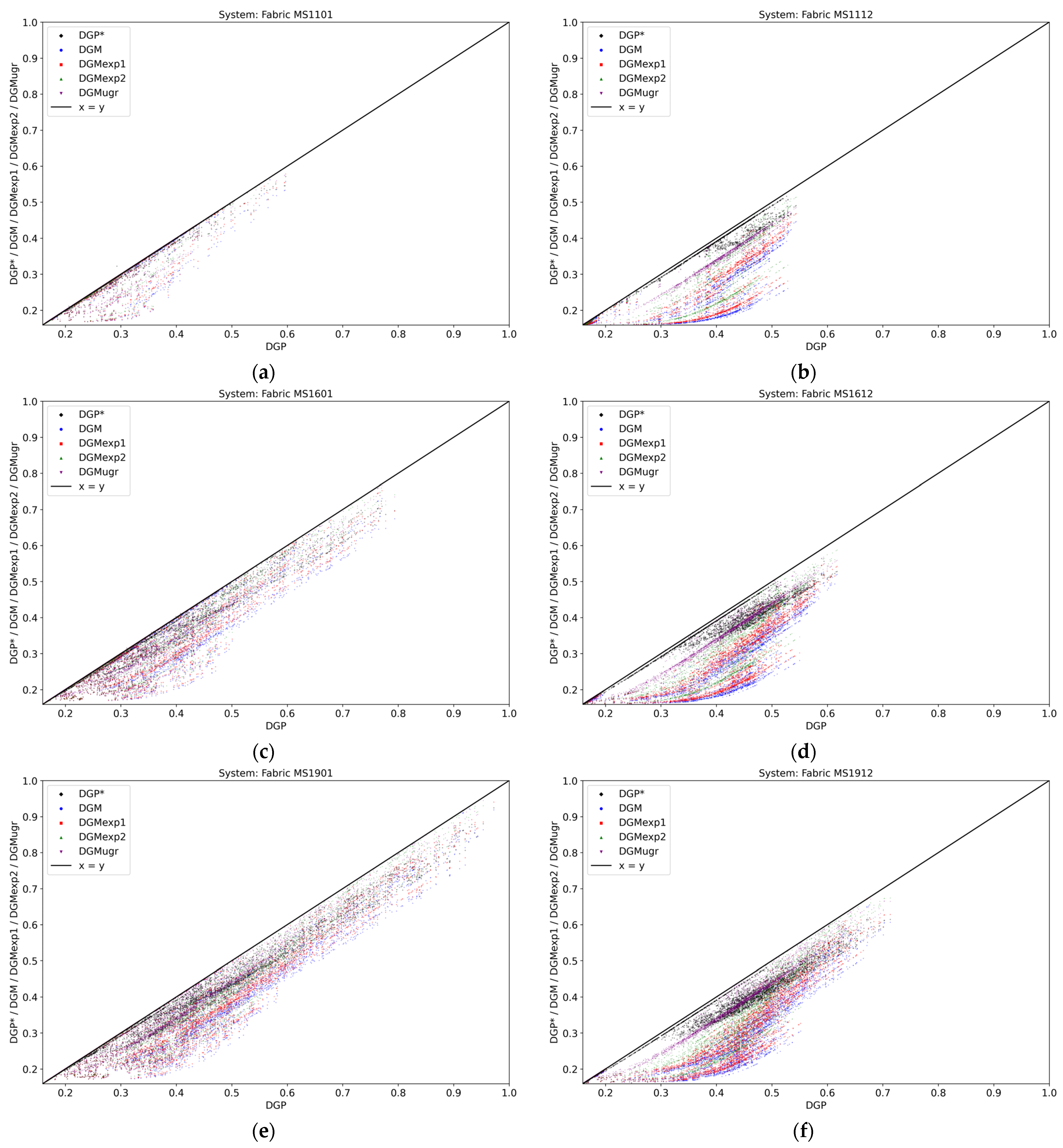
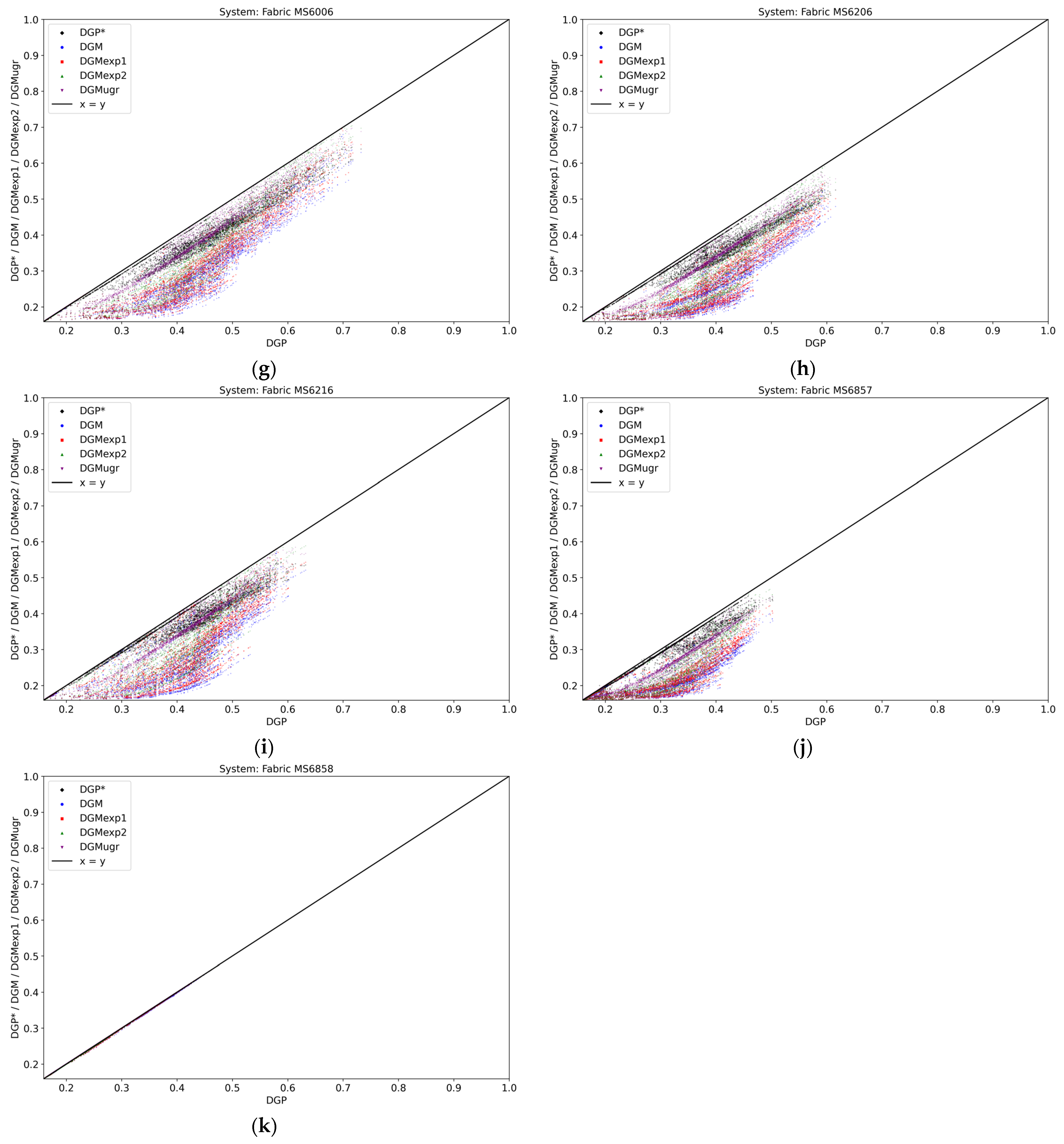
The selected 103,632 HDR images with direct sun in the field of view for the 153 situations (three locations, three views, 17 systems) were evaluated using the six different glare metrics, as reported in Table 5. Figure 15 shows a scatterplot with all results, including all three viewpoints and all 17 window systems, subdivided per location. The adjusted DGP* (DGP with blur filter), the new DGM, and its variations (DGMexp1, DGMexp2, and DGMugr) are plotted against the original metric DGP. Figure 16 shows the same data but now subdivided by viewpoint. Finally, Figure 17 shows examples of the plots, now including all three locations and three viewpoints, but with data selected according to the window systems. The full collection of these plots per window system is included in Appendix A in Figure A1 for all six tint states of the EC glazing system, and in Figure A2 for all 11 fabric shade systems.
With the exception of a few outliers, it can be seen that the adjusted/new metrics either leave the original DGP unchanged or reduce it to a greater or lesser extent. The individual outliers were checked. In only 3 of the 103,632 cases, the adapted DGP* metric was more than 2% higher than the original metric. These cases are attributed to situations in which the glare source was near 90° from the viewing direction (i.e., at the edge of the fisheye image) or very close to the window frame.
The scatterplots in Figure 15, Figure 16 and Figure 17 not only show that adjusting the DGP metric for the sun in the field of view leads to a general reduction in the values but also qualitatively how the individual adjustments affect the results. In general, the greater the solid angle is, over which the glare source is averaged, the smaller the result. This is obviously clear from the definition of the glare metric in Equation (2). After an offset in the lower range (the greater the offset, the stronger the blurring of the glare source), the results of all metrics then stabilize again almost linearly for higher glare values, parallel to the increase in DGP.

3.2.2. Analysis of Mean and Median Differences in Alternate Metrics

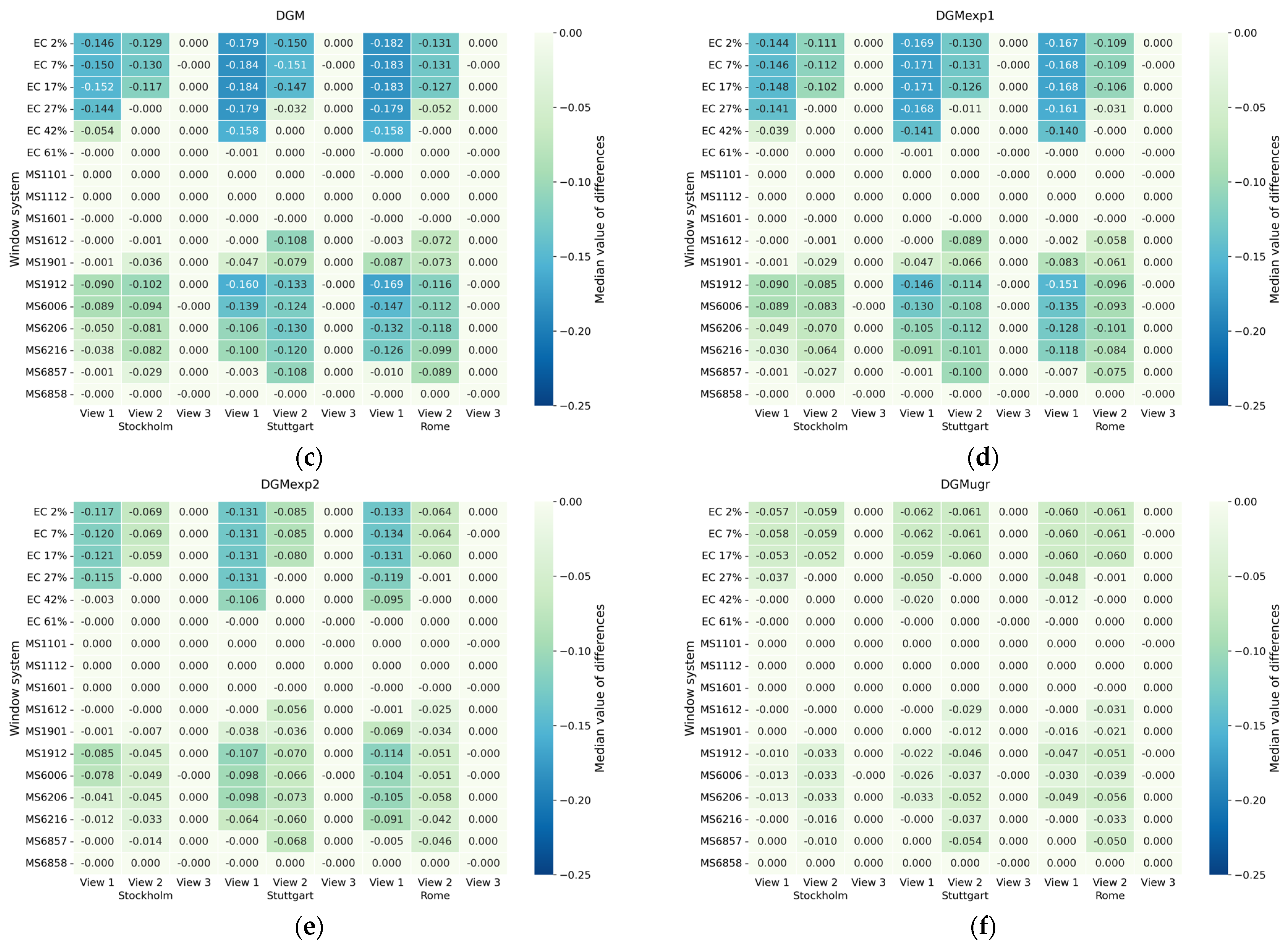
To determine the magnitude of this offset for individual situations, we looked at the mean and the median values of the results. Figure 18a shows the mean values of the DGP for each combination of system/location/view. The results in Figure 18b–f, show the mean of the differences in each respective metric from the DGP result. Figure 19a shows the median values of the DGP for each combination of system/location/view. The results in Figure 19b–f show the median of the differences in each respective metric from the DGP result.
Depending on the combinations (system/location/view) and the associated conditions, such as how often the glare source is enlarged or how often the DGP metric remains unchanged, the mean and median values also behave accordingly. For the EC window, in which a small glare source is always present when the sun is in the field of view, this occurs significantly more often compared to the different fabric shades. Furthermore, for View 1 (cf. Figure 5), where the sun always appears in the periphery when it is in the field of view, the difference is more pronounced. For View 3 (cf. Figure 7), which is perpendicular to the façade and where the sun is more often in the central field of view, it occurs less frequently. Another contributing factor to the differences being less pronounced for View 3 is the following: The weather data is filtered for direct normal irradiance values greater than zero. However, this value can be small, which means that the sun is not extracted in evalglare as a glare source in such situations. This is also evident from the numerous points along the diagonal in the scatter plots (cf. Figure 15, Figure 16 and Figure 17). These low direct normal irradiances also occur more frequently at the beginning and end of the day. View 1 never sees these (cf. Figure 5), and View 2 (cf. Figure 6) less than View 3 (cf. Figure 7)—and this is reflected in the results in Figure 18 and Figure 19. With deviations in the mean value of up to −0.137 and in the median value of up to −0.184 for the DGM, the metric with the most extreme averaged glare sources, it is clear that the rating scale for glare limits needs to be significantly revised.

3.2.3. Analysis of Annual Frequency Exceeding the Glare Threshold

As described above, for glare assessment according to EN 17037, the decisive factor is the annual frequency with which a glare limit is exceeded. The specified threshold may be reached for a maximum of 5% of the 4380 daylight hours, which corresponds to 219 h per year. The value DGP = 0.40 is commonly used as the boundary between glare and no glare. We thus examine how many hours per year the threshold value of 0.40 is exceeded in the individual situations (system/location/view) and how the different metrics perform in this regard. Figure 20 shows the number of hours where each of the metrics (DGP, DGP*, DGM, DGMexp1, DGMexp2, and DGMugr) exceed the threshold of 0.40. The color scale is set so that all values up to 219 (corresponding to 5%) are kept in shades of green, with everything above that in shades ranging from light yellow to red. In numerous situations, it is apparent that the classic DGP would not meet the standard (and therefore the respective system should not be used in this setting). However, with appropriate consideration of the glare effect of small light sources in the periphery of the field of view, this would be entirely possible for some situations and combinations.

4. Discussion

4.1. Laboratory Study

The comparison of the subjective glare assessments with the predictions of DGP and the DGM reveals systematic discrepancies that highlight both the strengths and limitations of the two metrics. For the centered SIT01–SIT04 with azimuths of 0° and 20°, the results show that the DGP clearly overestimates the perceived discomfort. Participants rated SIT01 as significantly less glaring than SIT02, despite the DGP predicting the opposite. In this range, subjective ratings aligned more closely with the DGM, which anticipates similar glare levels across SIT01–SIT04. This pattern indicates that DGP is more sensitive to small changes in luminance and geometry than test subjects perceive.
A similar trend is visible in the 45° azimuth group (SIT05–SIT08). Although DGP predicts a slightly higher glare for SIT06 compared to SIT05, participants did not report a meaningful difference. Moreover, the extremely low glare ratings for SIT07 demonstrate another case where DGM correctly identifies a near-glare-free condition, while DGP again overestimates discomfort. Only for SIT08 do the subjective evaluations follow the expected ordering, with a higher glare than SIT05 and SIT06. However, the magnitude of differences does not reflect the stronger contrast predicted by DGP.
In the 70° azimuth situations (SIT09–SIT12), DGP predicts a steep increase in discomfort across situations, while DGM assumes constant glare. The participants’ ratings showed no significant differences between these conditions, clearly contradicting the DGP and supporting the stability predicted by the DGM. This confirms that the DGP becomes increasingly inaccurate for glare sources located further from the central field of view, whereas the DGM handles these geometries more robustly. The exceptionally high ratings for SIT16, despite identical visual-field positioning to SIT09–SIT12, underscore the strong influence of the higher vertical illuminance.
For the high-glare situations (SIT14–SIT16), the evaluations similarly reveal misalignments between predicted and perceived glare. For SIT14 and SIT15, which both the DGP and the DGM assume to differ meaningfully, the difference in the participants’ ratings is not significant. By contrast, SIT16 produced significantly higher discomfort than SIT15, although DGM predicts comparable levels and the DGP for SIT15 is greater. This finding indicates that both metrics may not perfectly model the difference between glare sources with smaller azimuth values and at the lateral periphery (SIT16 with azimuth 70°).
The experimental setup employed controlled, static visual scenes and thus did not capture the full dynamics of real-world glare, where head and gaze movements, temporal adaptation, and variations in background luminance are influential. While this laboratory approach maximizes internal validity, it may constrain the generalizability of the findings. This is further discussed below in the limitations in Section 4.3.
Overall, the results of the laboratory study demonstrate that the DGM generally reflects subjective responses more accurately across a wide range of situations, particularly for off-axis glare. DGP frequently overestimates discomfort, especially for smaller glare sources in the lateral periphery of the visual field. Both metrics are based on the same basic mathematical model and appear to have problems mapping some of the phenomena observed in the experiments. This is especially striking for centered glare sources (azimuths of 0° and 20°) and when comparing these sources to sources with large azimuth angles (azimuth 70°).

4.2. Simulation Study

The comprehensive simulation study has shown that in practical situations (typical workplace conditions), it has a significant influence whether the glare assessment is carried out taking into account the peripheral field of view. The evaluation of various glare metrics was based on 103,632 HDR images from a total of 153 situations (three locations, three viewing angles, and 17 window systems). The analysis focuses on the performance of the original DGP metric, the version DGP* (DGP with blur filter), the modified version DGM, and its adapted variants, including DGMexp1 and DGMexp2 (scaling factors according to results of experiments 1 and 2 in [16]), and DGMugr (fixed solid angle similar to the approach in the UGR). The results highlight the influence of these metrics on glare assessment, particularly in scenarios where direct sunlight is present in the field of view.
The most important finding is that the adjusted metrics that account for the lower sensitivity in the peripheral visual field generally significantly reduce the original DGP values when a small, bright glare source such as the sun is in the field of view. The data illustrate how the various adjustments affect the glare values and show a general reduction in DGP as the solid angle over which the glare source is averaged increases. This is consistent with the definition of glare metrics, where larger averaging areas result in smaller glare values. The results stabilize linearly at higher glare values, indicating consistent behavior across all metrics.
As described and explained in the results, the deviation is more frequent for viewing directions View 1 and View 2 than for View 3. However, looking directly at the façade (View 3) is generally not recommended, especially for working on VDUs. Thus, it is precisely the two positions, View 1 and View 2, with a viewing direction parallel to the façade, that must be considered typical workplace situations. This underlines the practical relevance of adjusting the glare metric to take greater account of small glare sources in the peripheral visual field.
The study examines the mean and median values of DGP and the differences between the adjusted metrics and the original DGP. The findings reveal that the behavior of these values depends on the system, location, and viewpoint. For example, the EC window, which always features small glare sources when the sun is in the field of view, shows more frequent reductions in the glare assessment compared to fabric shade systems. The most extreme metric, DGM, demonstrates significant reductions in the mean and median values, with deviations of up to −0.137 and −0.184, respectively. These results suggest that the glare rating scale may need revision to account for the impact of averaged glare sources.
The study also evaluates the annual frequency with which the commonly used glare/no-glare threshold of DGP = 0.40 is exceeded. The results indicate that with the classic DGP metric, many situations fail to meet the EN 17037 5% limit. However, the adjusted metrics, which account for the glare effect of small light sources in the periphery, show improved performance in meeting the standard in some cases. This highlights the importance of refining glare metrics to better represent real-world conditions and ensure compliance with glare limits.

4.3. Limitations

Several limitations of this study must be acknowledged when interpreting the findings.

4.3.1. Laboratory Study

First, the experimental setup relies on controlled, static visual scenes that cannot fully represent the complexity of real-world glare conditions, where factors such as head movements, temporal adaptation processes, and varying background luminance play a substantial role. Although the laboratory design ensures high internal validity, it may limit ecological validity and generalizability.
Second, the study relies on subjective glare ratings using a single-item measure (Q4) as the primary behavioral indicator. While widely used in glare research, single-item assessments may be influenced by individual interpretation, response styles, or non-visual factors such as expectations and perceived task difficulty. This may partially explain the discrepancies observed between subjective ratings and the predictions of the glare metrics.
Third, the evaluation focused on DGP and the modified DGM without including additional glare models or intermediate physiological indicators (e.g., eye-tracking–based pupil data or luminance mapping of the visual field). The comparison between metric predictions and user experience is therefore limited to these two models, leaving open whether other metrics might align more closely with subjective perception.
Finally, although the angular variations in the glare source were systematically manipulated, the study used a fixed background luminance distribution and a single type of glare source. Different source geometries, contrasts, or spectral characteristics could yield different relationships between metric predictions and perceived glare.

4.3.2. Simulation Study

First, the scope is limited to situations with direct sunlight in the field of view. This means that other daylight conditions with small glare sources, particularly reflections from the sun, are not considered. This can considerably increase the number of hours per year during which critical glare occurs.
Second, the study was limited to a single room with the proposed reference geometry, three locations, a single facade orientation, and three fixed viewing positions in order to reflect real-life situations. A change in any of these individual aspects would influence the absolute values of the results.
Third, while applying the 5PM using PE for the direct contribution improves the representation of direct solar radiation, the approach still includes matrix method approximations, sky subdivisions, and BSDF data processing, which can lead to residual errors in the luminance distributions.
Fourth, the weather data used are IWEC reference data that are based on data sets from the 1980s, 1990s, and 2000s. Due to climate change, weather conditions are changing significantly. Mardaljevic et al. [31], for example, have shown that this data can differ significantly from actual meteorological years based on site measurements. The use of other weather data would change the absolute values (annual hours) of our simulation results, but this does not change the general statement that significant deviations occur when direct sunlight is in the field of view.

4.4. General Insights and Outlook

When describing the preliminary tests in the laboratory study, the important role of the different fields of view of the participants has already been mentioned. In the study, the positions of the glare sources were chosen far within the field of view that is typically assumed. This has been done to guarantee that all the glare sources are fully effective for a broad range of test subjects. The field of view is typically ignored in glare calculations and not mentioned in the EN 17037 standard. The software evalglare [29] offers the option of including this in the evaluation, but by default the field of view is not taken into account. Currently, there are no recommendations on how to deal with this problem in standard-compliant calculations and measurements of daylight glare.
Another relevant finding from the evaluation is the number of hours with direct sunlight in the field of view. This finding is based on the results of the present study, but is completely independent of the underlying metric (DGP or DGM). The hours reported in Table 4 clearly show that, for example, the viewpoint close to the wall only has a few hours of direct sunlight per year. For Stuttgart and Rome, this amounts to 227 and 250 h, respectively, which corresponds to 5.2% and 5.7% of the 4380 daylight hours per year (50% of all 8760 h). This also highlights a criticism of the current threshold in EN 17037: if 5% glare per year is considered acceptable, this means that 219 h of glare may be recorded. In this example, one would only need to prevent glare from reflections (e.g., through dark, diffuse walls) and provide geometric shading for a few hours to achieve the target. However, this means that glare would still occur for over 200 h per year. We are convinced, however, that this would be unacceptable in the case of an office workplace without additional glare protection measures, as in this example. Therefore, this should be critically reviewed and adjusted in future revisions of the standard. It is important to point out once again that this issue of acceptable glare hours needs to be considered independently of the correction of the daylight glare metric for small glare sources.
Current daylight glare metrics such as DGP primarily address visual discomfort. In this work, we target an improvement for specific situations rather than proposing a fundamental shift toward a multidimensional glare metric. At the same time, however, we would like to emphasize that work on such a comprehensive metric that—besides discomfort—would also encompass items such as performance, health, and behavior would be of the utmost interest and great relevance. Such future studies should also explicitly record and analyze inter-individual factors (e.g., eye color or general light sensitivity) in order to assess whether these characteristics systematically influence glare reactions.

5. Conclusions

The two evaluation studies on the adapted DGM provide valuable insights into the assessment of glare perception and the performance of glare metrics. The results underscore the need for improved metrics and that further research could be based on the DGM. A key advantage of the adjustment with the DGM is that the rating is only changed for situations with small glare sources, while in all other cases the DGP remains unchanged. This ensures consistency with previous ratings using the well-established DGP method for these general cases.
The laboratory study indicates that the DGM more accurately reflects subjective glare perception across a broad range of conditions with small glare sources in the field of view. In contrast, the DGP systematically overestimates discomfort, which is especially evident in the 45° and 70° azimuth groups, where subjective ratings remain stable despite differences predicted by the DGP. These ratings align instead with the increased robustness of the DGM to glare sources in the peripheral visual field. The results suggest that future glare assessments should pay particular attention to the influence of small, very bright glare sources, especially in the periphery.
The simulation study evaluated 103,632 HDR images across different systems, locations, and viewing angles using the original DGP metric (with and without blur filter), as well as the adapted DGM and its variations (scaling factors). The results show that, compared to the original DGP, the modified metrics all reduce glare predictions, especially for small glare sources, most for those in the peripheral field of view. The DGM metric, which averages glare sources over a larger solid angle, showed the most significant reductions. The evaluation based on a realistic office environment with real weather data shows that the practical implications are highly relevant and are thus of great importance for architectural design and daylight planning. Furthermore, the results show that the glare rating scales should be revised. The current thresholds (e.g., DGP = 0.40) are based on results from studies mostly without direct sunlight and on the classic DGP and may not adequately reflect the effects of small or peripheral glare sources. Future glare studies should take into account situations with small glare sources in order to obtain more data. With this and the new DGM, the original workflow for deriving threshold values should be repeated to assess whether the target criteria and limit values need to be changed. Open questions include how glare limits can be standardized across different metrics and how these results can be integrated into practical applications, such as compliance with EN 17037 standards.
Overall, the two studies, on the one hand, highlight the limitations of the original daylight glare metric DGP and the potential of modified approaches such as the DGM to achieve better alignment with subjective experiences. On the other hand, they clearly show the practical relevance and implications of adjusting the metric. Future research should focus on refining these metrics, considering procedural influences, and establishing updated glare limits for practical use.

Author Contributions

Conceptualization, D.G.-M. and C.K.; methodology, D.G.-M. and C.K.; software, D.G.-M. and C.K.; validation, D.G.-M., C.K., M.D. and S.H.; formal analysis, D.G.-M., C.K., M.D. and S.H.; investigation, D.G.-M. and C.K.; resources, D.G.-M., C.K. and J.W.; data curation, D.G.-M., C.K., M.D. and J.W.; writing—original draft preparation, D.G.-M. and C.K.; writing—review and editing, D.G.-M., C.K., M.D., S.H., J.W. and R.P.; visualization, D.G.-M. and C.K.; supervision, J.W. and R.P.; project administration, D.G.-M. and J.W.; funding acquisition, D.G.-M., J.W. and R.P. All authors have read and agreed to the published version of the manuscript.

Funding

This research was funded by the Austrian Research Promotion Agency (FFG) in the program “City of the Future” through the project “See-It” under grant number FO999893523. “City of the Future” is a research and technology program of the Federal Ministry of Innovation, Mobility and Infrastructure (BMIMI). On behalf of the BMIMI, the program is administered jointly by FFG, Austria Wirtschaftsservice Gesellschaft mbH (AWS), and the Austrian Society for Environment and Technology (ÖGUT).

Institutional Review Board Statement

Ethical review and approval were waived for this study based on the Austrian and European legal frameworks, which do not mandate ethics committee approval for non-interventional, minimal-risk questionnaire-based perceptual studies involving humans (note: the Austrian Medicines Act and EU Regulation 536/2014 apply solely to drug-related clinical and non-interventional studies, not to non-medical perceptual research). The study adhered to the Declaration of Helsinki. All participants gave written informed consent and could withdraw at any time without consequence. Even in drug-related studies, reporting for non-interventional studies is not required. This is stated in the Austrian “Bundesgesetzblatt Nr. BGBl. II Nr. 374/2022”. The European Legislation Identifier (ELI) for the text is https://www.ris.bka.gv.at/eli/bgbl/II/2022/374/20221007 (accessed on 22 December 2025).

Informed Consent Statement

Informed consent was obtained from all subjects involved in the study.

Data Availability Statement

Data will be made available on request.

Acknowledgments

We would like to thank Taoning Wang from Lawrence Berkeley National Laboratory (LBNL), California, USA, for providing the BSDF data for the fabric shades. During the preparation of this manuscript, the authors used DeepL, AcademicAI (GPT-4o), and ScienceOS for the purposes of translation and linguistic formulations, for the search for current literature, as well as for the generation of Python templates for the creation of data plots. The authors have reviewed and edited the output and take full responsibility for the content of this publication.

Conflicts of Interest

C.K., M.D., and J.W. are employed at Bartenbach GmbH, a lighting design and lighting R&D service company. The other authors declare no conflicts of interest.

Abbreviations

The following abbreviations are used in this manuscript:
3PMThree-Phase Method
5PMFive-Phase Method
BSDFBidirectional Scattering Distribution Function
DGIDaylight Glare Index
DGMDaylight Glare Metric
DGPDaylight Glare Probability
EvVertical Illuminance
Ev,indIndirect Vertical Illuminance (from environment, without glare source contribution)
GSGlare Source
OFOpenness Factor
PEPeak Extraction
UGRUnified Glare Rating
WMOWorld Meteorological Organization

Appendix A

In Figure 17, example plots are presented for selected window systems. Here we include the full set of images. Figure A1 shows the plots including all three locations and three viewpoints with data selected for each of the six tint states of the EC glazing system. Figure A2 shows the plots including all three locations and three viewpoints with data selected for each of the 11 fabric shade systems.
Figure A1. All results for the six EC window tint states with different visual transmittance: (a) 2%; (b) 7%; (c) 17%; (d) 27%; (e) 42%; (f) 61%.
Figure A1. All results for the six EC window tint states with different visual transmittance: (a) 2%; (b) 7%; (c) 17%; (d) 27%; (e) 42%; (f) 61%.
Buildings 16 00249 g0a1
Figure A2. All results for the 11 fabric shades: (a) MS1101; (b) MS1112; (c) MS1601; (d) MS1612; (e) MS1901; (f) MS1912; (g) MS6006; (h) MS6206; (i) MS6216; (j) MS6857; (k) MS6858.
Figure A2. All results for the 11 fabric shades: (a) MS1101; (b) MS1112; (c) MS1601; (d) MS1612; (e) MS1901; (f) MS1912; (g) MS6006; (h) MS6206; (i) MS6216; (j) MS6857; (k) MS6858.
Buildings 16 00249 g0a2aBuildings 16 00249 g0a2b

References

  1. Hopkinson, R.G. Glare from daylighting in buildings. Appl. Ergon. 1972, 3, 206–215. [Google Scholar] [CrossRef] [PubMed]
  2. Wienold, J.; Iwata, T.; Sarey Khanie, M.; Erell, E.; Kaftan, E.; Rodriguez, R.G.; Yamin Garreton, J.A.; Tzempelikos, T.; Konstantzos, I.; Christoffersen, J.; et al. Cross-validation and robustness of daylight glare metrics. Light. Res. Technol. 2019, 51, 983–1013. [Google Scholar] [CrossRef]
  3. EN 12464-1:2021; Light and Lighting—Lighting of Work Places—Part 1: Indoor Work Places. European Committee for Standardization: Brussels, Belgium, 2021.
  4. CIE 232:2019; Discomfort Caused by Glare from Luminaires with a Non-Uniform Source Luminance. International Commission on Illumination (CIE): Vienna, Austria, 2019.
  5. Wienold, J.; Christoffersen, J. Evaluation methods and development of a new glare prediction model for daylight environments with the use of CCD cameras. Energy Build. 2006, 38, 743–757. [Google Scholar] [CrossRef]
  6. Jakubiec, J.; Reinhart, C. The ‘adaptive zone’—A concept for assessing discomfort glare throughout daylit spaces. Light. Res. Technol. 2011, 44, 149–170. [Google Scholar] [CrossRef]
  7. Van Den Wymelenberg, K.; Inanici, M. A Critical Investigation of Common Lighting Design Metrics for Predicting Human Visual Comfort in Offices with Daylight. Leukos 2014, 10, 145–164. [Google Scholar] [CrossRef]
  8. Viula, R.; Hordijk, T. Testing the predictive power of visual discomfort from glare metrics in the near-window and near-wall zones of the daylit classroom environment. In Proceedings of the 29th CIE Session, Washington, DC, USA, 14–22 June 2019. [Google Scholar]
  9. CIE 252:2024; Assessment of Discomfort Glare from Daylight in Buildings. International Commission on Illumination (CIE): Vienna, Austria, 2024.
  10. EN 17037:2022; Daylight in Buildings. European Committee for Standardization: Brussels, Belgium, 2022.
  11. EN 14501:2021; Blinds and Shutters—Thermal and Visual Comfort—Performance Characteristics and Classification. European Committee for Standardization: Brussels, Belgium, 2021.
  12. Lu, S.; Tzempelikos, A. Comparison of Simulation Methods for Glare Risk Assessment with Roller Shades. Buildings 2024, 14, 1773. [Google Scholar] [CrossRef]
  13. Jain, S.; Wienold, J.; Lagier, M.; Schueler, A.; Andersen, M. Perceived glare from the sun behind tinted glazing: Comparing blue vs. color-neutral tints. Build. Environ. 2023, 234, 110146. [Google Scholar] [CrossRef]
  14. Viula, R.; Bokel, R.; Tenpierik, M. Prediction of discomfort from glare from daylight in classrooms. Light. Res. Technol. 2023, 55, 712–729. [Google Scholar] [CrossRef]
  15. Karmann, C.; Wienold, J.; Garreton, J.A.Y.; Villalba, A.M.; Pattini, A.E.; Andersen, M. User evaluations of fabric shades with sun in the field of view: Glare model performance and implications for EN14501 Classification. Build. Environ. 2025, 282, 113259. [Google Scholar] [CrossRef]
  16. Geisler-Moroder, D.; Knoflach, C. Critical review of the daylight glare probability and proposal for modification for improved evaluation of small glare sources. Light. Res. Technol. 2025, 57, 604–631. [Google Scholar] [CrossRef]
  17. Jain, S.; Wienold, J.; Eandi, C.; Gisselbaek, S.; Kawasaki, A.; Andersen, M. Influence of macular pigment on the sensitivity to discomfort glare from daylight. Sci. Rep. 2023, 13, 18551. [Google Scholar] [CrossRef] [PubMed]
  18. Ward, G.; Mistrick, R.; Lee, E.S.; McNeil, A.; Jonsson, J. Simulating the Daylight Performance of Complex Fenestration Systems Using Bidirectional Scattering Distribution Functions within Radiance. Leukos 2011, 7, 241–261. [Google Scholar] [CrossRef]
  19. Subramaniam, S. Daylighting Simulations with Radiance Using Matrix-Based Methods. Report. 2017. Available online: https://www.radiance-online.org/learning/tutorials/matrix-based-methods (accessed on 31 December 2025).
  20. Lee, E.S.; Geisler-Moroder, D.; Ward, G. Modeling the direct sun contribution in buildings using matrix algebraic approaches: Methods and validation. Sol. Energy 2018, 160, 380–395. [Google Scholar] [CrossRef]
  21. McNeil, A. The Five-Phase Method for Simulating Complex Fenestration with Radiance. Report. 2013. Available online: https://buildings.lbl.gov/publications/five-phase-method-simulating-complex (accessed on 31 December 2025).
  22. Geisler-Moroder, D.; Lee, E.S.; Ward, G. Validation of the Five-Phase Method for Simulating Complex Fenestration Systems with Radiance against Field Measurements. In Proceedings of the Building Simulation 2017, San Francisco, CA, USA, 7–9 August 2017. [Google Scholar] [CrossRef]
  23. Geisler-Moroder, D.; Ward, G.J.; Wang, T.; Lee, E.S. Peak extraction in daylight simulations using BSDF data. In Proceedings of the Building Simulation 2021, Bruges, Belgium, 1–3 September 2021. [Google Scholar] [CrossRef]
  24. Ward, G.J.; Wang, T.; Geisler-Moroder, D.; Lee, E.S.; Grobe, L.O.; Wienold, J.; Jonsson, J. Modeling specular transmission of complex fenestration systems with data-driven BSDFs. Build. Environ. 2021, 196, 107774. [Google Scholar] [CrossRef]
  25. D’Antoni, M.; Bonato, P.; Fedrizzi, R.; Geisler-Moroder, D.; Loonen, R.C.G.M.; Magni, M.; Ochs, F.E.; de Vries, S. Definition of a Reference Office Building for Simulation Based Evaluation of Solar Envelope Systems. In Proceedings of the EuroSun 2018, Rapperswill, Switzerland, 10–13 September 2018. [Google Scholar] [CrossRef]
  26. Ward, G. genBSDF.pl. Available online: https://www.radiance-online.org/cgi-bin/viewcvs.cgi/ray/src/util/genBSDF.pl (accessed on 7 November 2025).
  27. Wang, T.; Lee, E.S.; Ward, G.J.; Yu, T. Field validation of data-driven BSDF and peak extraction models for light-scattering fabric shades. Energy Build. 2022, 262, 112002. [Google Scholar] [CrossRef]
  28. Ward, G. m_bsdf.c. Available online: https://www.radiance-online.org/cgi-bin/viewcvs.cgi/ray/src/rt/m_bsdf.c (accessed on 7 November 2025).
  29. Wienold, J. evalglare.c. Available online: https://www.radiance-online.org/cgi-bin/viewcvs.cgi/ray/src/util/evalglare.c (accessed on 7 November 2025).
  30. Wienold, J. What’s new with Evalglare. In Proceedings of the 22nd International Radiance Workshop, Salt Lake City, UT, USA, 26–28 August 2024. [Google Scholar]
  31. Mardaljevic, J.; Brembilla, E.; Eames, M. Daylight solar radiation AMY data derived from satellite remote sensing: Validation against ground measurements and comparison with TMYs. Build. Serv. Eng. Res. Technol. 2025, 46, 653–691. [Google Scholar] [CrossRef]
Figure 1. Person participating in study under the artificial sky: (a) view into the sky dome hemisphere with glare source at 0° azimuth, 40° elevation; (b) view of schematic design with artificial sun, viewpoint, and direction; (c) close-up with chin-headrest (tilted 10° from normal); (d) side view of schematic design.
Figure 1. Person participating in study under the artificial sky: (a) view into the sky dome hemisphere with glare source at 0° azimuth, 40° elevation; (b) view of schematic design with artificial sun, viewpoint, and direction; (c) close-up with chin-headrest (tilted 10° from normal); (d) side view of schematic design.
Buildings 16 00249 g001
Figure 2. Glare source positions, sizes, and luminance values for main glare situations SIT01–SIT12.
Figure 2. Glare source positions, sizes, and luminance values for main glare situations SIT01–SIT12.
Buildings 16 00249 g002
Figure 3. Glare source positions, sizes, and luminance values for additional, high-glare situations SIT13–SIT16.
Figure 3. Glare source positions, sizes, and luminance values for additional, high-glare situations SIT13–SIT16.
Buildings 16 00249 g003
Figure 4. Three-dimensional model used for the annual daylight simulations: (a) perspective view, (b) floor plan.
Figure 4. Three-dimensional model used for the annual daylight simulations: (a) perspective view, (b) floor plan.
Buildings 16 00249 g004
Figure 5. Location and view from viewpoint 1. This view represents a typical view at the workplace next to the wall with view direction parallel to the façade for a sitting person (view height = 1.20 m): (a) location of viewpoint 1 in the room floor plan; (b) view with solar paths for location Stockholm; (c) view with solar paths for location Stuttgart; (d) view with solar paths for location Rome.
Figure 5. Location and view from viewpoint 1. This view represents a typical view at the workplace next to the wall with view direction parallel to the façade for a sitting person (view height = 1.20 m): (a) location of viewpoint 1 in the room floor plan; (b) view with solar paths for location Stockholm; (c) view with solar paths for location Stuttgart; (d) view with solar paths for location Rome.
Buildings 16 00249 g005
Figure 6. Location and view from viewpoint 2. This view represents a typical view at the workplace in the middle of the room with view direction parallel to the façade for a sitting person (view height = 1.20 m): (a) location of viewpoint 2 in the room floor plan; (b) view with solar paths for location Stockholm; (c) view with solar paths for location Stuttgart; (d) view with solar paths for location Rome.
Figure 6. Location and view from viewpoint 2. This view represents a typical view at the workplace in the middle of the room with view direction parallel to the façade for a sitting person (view height = 1.20 m): (a) location of viewpoint 2 in the room floor plan; (b) view with solar paths for location Stockholm; (c) view with solar paths for location Stuttgart; (d) view with solar paths for location Rome.
Buildings 16 00249 g006
Figure 7. Location and view from viewpoint 3. This view represents a view from the workplace in the middle of the room with view direction perpendicular to the façade for a sitting person (view height = 1.20 m): (a) location of viewpoint 3 in the room floor plan; (b) view with solar paths for location Stockholm; (c) view with solar paths for location Stuttgart; (d) view with solar paths for location Rome.
Figure 7. Location and view from viewpoint 3. This view represents a view from the workplace in the middle of the room with view direction perpendicular to the façade for a sitting person (view height = 1.20 m): (a) location of viewpoint 3 in the room floor plan; (b) view with solar paths for location Stockholm; (c) view with solar paths for location Stuttgart; (d) view with solar paths for location Rome.
Buildings 16 00249 g007
Figure 8. Distribution of self-reported sensitivity to bright light (11-point Likert Scale).
Figure 8. Distribution of self-reported sensitivity to bright light (11-point Likert Scale).
Buildings 16 00249 g008
Figure 9. High-glare situation SIT14 compared to reference glare situation SIT13.
Figure 9. High-glare situation SIT14 compared to reference glare situation SIT13.
Buildings 16 00249 g009
Figure 10. Situations where the subjects’ assessment contradicts the DGP evaluations: (a) SIT02 causing significantly higher glare than SIT01, while DGP predicts the opposite; (b) DGP predicts higher glare for SIT04 than for SIT03, while user assessments show no significant difference in perceived glare.
Figure 10. Situations where the subjects’ assessment contradicts the DGP evaluations: (a) SIT02 causing significantly higher glare than SIT01, while DGP predicts the opposite; (b) DGP predicts higher glare for SIT04 than for SIT03, while user assessments show no significant difference in perceived glare.
Buildings 16 00249 g010
Figure 11. Situation where the subjects’ assessment contradicts the DGP evaluations: DGP predicts higher glare for SIT06 than for SIT05, while user assessments show lower mean and median values even if this result is not significant.
Figure 11. Situation where the subjects’ assessment contradicts the DGP evaluations: DGP predicts higher glare for SIT06 than for SIT05, while user assessments show lower mean and median values even if this result is not significant.
Buildings 16 00249 g011
Figure 12. Situations where the subjects’ assessment matches the DGP and DGM evaluations: (a) slightly higher glare reported for SIT08 compared to SIT05 (not significant); (b) higher glare reported for SIT08 compared to SIT06.
Figure 12. Situations where the subjects’ assessment matches the DGP and DGM evaluations: (a) slightly higher glare reported for SIT08 compared to SIT05 (not significant); (b) higher glare reported for SIT08 compared to SIT06.
Buildings 16 00249 g012
Figure 13. Histograms showing responses to question Q4 comparing SIT09 with the situations SIT10, SIT11, SIT12, and SIT16; (a) SIT09 compared to SIT10; (b) SIT09 compared to SIT11; (c) SIT09 compared to SIT12; (d) SIT09 compared to SIT16.
Figure 13. Histograms showing responses to question Q4 comparing SIT09 with the situations SIT10, SIT11, SIT12, and SIT16; (a) SIT09 compared to SIT10; (b) SIT09 compared to SIT11; (c) SIT09 compared to SIT12; (d) SIT09 compared to SIT16.
Buildings 16 00249 g013
Figure 14. Results for two high-glare situations: (a) subjects’ assessments follow the tendency predicted by the DGP (no significant difference); (b) glare metrics predict similar glare for SIT15 and SIT16, while test subjects report significantly higher glare for SIT16.
Figure 14. Results for two high-glare situations: (a) subjects’ assessments follow the tendency predicted by the DGP (no significant difference); (b) glare metrics predict similar glare for SIT15 and SIT16, while test subjects report significantly higher glare for SIT16.
Buildings 16 00249 g014
Figure 15. Results including all three viewpoints and all 17 window systems, subdivided by location: (a) Stockholm; (b) Stuttgart; (c) Rome.
Figure 15. Results including all three viewpoints and all 17 window systems, subdivided by location: (a) Stockholm; (b) Stuttgart; (c) Rome.
Buildings 16 00249 g015
Figure 16. Results including all three locations and 17 window systems, subdivided by viewpoint: (a) View 1; (b) View 2; (c) View 3.
Figure 16. Results including all three locations and 17 window systems, subdivided by viewpoint: (a) View 1; (b) View 2; (c) View 3.
Buildings 16 00249 g016
Figure 17. Selected results including all three locations and three viewpoints, subdivided by window system: (a) EC window, τn-n = 0.02; (b) EC window, τn-n = 0.27; (c) Fabric MS1112, OF 1%, τn-h = 0.010; (d) Fabric MS1901, OF 5%, τn-h = 0.052.
Figure 17. Selected results including all three locations and three viewpoints, subdivided by window system: (a) EC window, τn-n = 0.02; (b) EC window, τn-n = 0.27; (c) Fabric MS1112, OF 1%, τn-h = 0.010; (d) Fabric MS1901, OF 5%, τn-h = 0.052.
Buildings 16 00249 g017
Figure 18. Mean DGP values and mean value of differences from DGP for modified metrics: (a) mean DGP for all system/location/view combinations; (b) mean difference for DGP* (with blur); (c) mean difference for DGM; (d) mean difference for DGMexp1; (e) mean difference for DGMexp2; (f) mean difference for DGMugr.
Figure 18. Mean DGP values and mean value of differences from DGP for modified metrics: (a) mean DGP for all system/location/view combinations; (b) mean difference for DGP* (with blur); (c) mean difference for DGM; (d) mean difference for DGMexp1; (e) mean difference for DGMexp2; (f) mean difference for DGMugr.
Buildings 16 00249 g018aBuildings 16 00249 g018b
Figure 19. Median DGP values and median value of differences from DGP value for modified metrics: (a) median DGP for all system/location/view combinations; (b) median difference for DGP* (with blur); (c) median difference for DGM; (d) median difference for DGMexp1; (e) median difference for DGMexp2; (f) median difference for DGMugr.
Figure 19. Median DGP values and median value of differences from DGP value for modified metrics: (a) median DGP for all system/location/view combinations; (b) median difference for DGP* (with blur); (c) median difference for DGM; (d) median difference for DGMexp1; (e) median difference for DGMexp2; (f) median difference for DGMugr.
Buildings 16 00249 g019aBuildings 16 00249 g019b
Figure 20. Number of hours where the respective metric exceeds the threshold of 0.40: (a) DGP; (b) DGP* (with blur); (c) DGM; (d) DGMexp1; (e) DGMexp2; (f) DGMugr.
Figure 20. Number of hours where the respective metric exceeds the threshold of 0.40: (a) DGP; (b) DGP* (with blur); (c) DGM; (d) DGMexp1; (e) DGMexp2; (f) DGMugr.
Buildings 16 00249 g020
Table 1. Categorization of DGP levels according to EN 17037.
Table 1. Categorization of DGP levels according to EN 17037.
Criterion Categorization EN 17037
Glare is mostly not perceivedDGP ≤ 0.35
Glare is perceived but mostly not disturbing0.35 < DGP ≤ 0.40
Glare is perceived and often disturbing0.40 < DGP ≤ 0.45
Glare is perceived and mostly intolerable0.45 < DGP
Table 2. Glare source (GS) situations evaluated in the laboratory study; the reference situation SIT13 is marked as gray, the “low-glare” situation SIT07 is marked as light green, the “high-glare” situations SIT14 to SIT16 are marked as light red; the color coding of the values is scaled for each column (green is the lowest DGP/DGM rating, red is the highest rating; influencing factors in order of importance: green for low L/large opening angle/low Ev, red for high L/small opening angle/high Ev).
Table 2. Glare source (GS) situations evaluated in the laboratory study; the reference situation SIT13 is marked as gray, the “low-glare” situation SIT07 is marked as light green, the “high-glare” situations SIT14 to SIT16 are marked as light red; the color coding of the values is scaled for each column (green is the lowest DGP/DGM rating, red is the highest rating; influencing factors in order of importance: green for low L/large opening angle/low Ev, red for high L/small opening angle/high Ev).
SituationAzimuth GS [°]Elevation GS [°]L [kcd/m2]Opening Angle [°]Ev [lx]DGPDGM
SIT0104030001.0534180.5350.468
SIT020403752.9634050.4550.455
SIT0320403753.0033280.4510.451
SIT04204030001.0633400.5310.456
SIT05453515001.5028660.4700.402
SIT06453530001.0628730.4980.403
SIT0745307501.4719550.4060.350
SIT08453030001.0429180.5150.429
SIT0970207502.8929310.4480.404
SIT10702015002.0529400.4750.405
SIT11702030001.4529340.5010.404
SIT12702060001.0329410.5290.405
SIT1304060001.0558360.6920.624
SIT14204030001.5056630.6560.607
SIT15453560001.0647470.6250.528
SIT16702030002.0548790.6060.533
Table 3. Information about the locations used for the simulation study: EPW weather data file, latitude, number of “sun hours” with non-zero direct normal irradiance in the EPW file, and number of sunshine hours according to WMO (direct normal irradiance ≥ 120 W/m2).
Table 3. Information about the locations used for the simulation study: EPW weather data file, latitude, number of “sun hours” with non-zero direct normal irradiance in the EPW file, and number of sunshine hours according to WMO (direct normal irradiance ≥ 120 W/m2).
LocationWeather DataLatitude EPW Sun HoursWMO Sunshine Hours
StockholmSWE_STOCKHOLM-BROMMA_024640_IW2.epw59.37° N45992726
StuttgartDEU_Stuttgart.107380_IWEC.epw48.68° N30051605
RomeITA_ROMA-FIUMICINO_162420_IW2.epw41.80° N46513424
Table 4. Number of hours with direct radiation reported in weather file and sun seen from view positions 1, 2, and 3.
Table 4. Number of hours with direct radiation reported in weather file and sun seen from view positions 1, 2, and 3.
LocationView 1View 2View 3
Stockholm4217401354
Stuttgart227468849
Rome2506681119
Table 5. Glare metrics with parameters and description as used for the evaluation of the simulated images.
Table 5. Glare metrics with parameters and description as used for the evaluation of the simulated images.
Metric Parameter for Equation (2) Description
DGPMetric as in [5]
DGP*Blur filter as in [24]
DGMscalethreshold = 2.346Metric as in [16]
DGMexp1scalethreshold = 1.780Matching experiment 1 in [16]
DGMexp2scalethreshold = 1.0Matching experiment 2 in [16]
DGMugr ωi* = 0.0003 srUGR threshold for minimum solid angle
Table 6. Glare ratings and mean values of subjects’ responses to questions Q1 to Q7; color coding scaled for each column (green denotes the lowest ratings in the column, while red denotes the highest ratings in the column; Q6 not color-coded because the previous question was always different).
Table 6. Glare ratings and mean values of subjects’ responses to questions Q1 to Q7; color coding scaled for each column (green denotes the lowest ratings in the column, while red denotes the highest ratings in the column; Q6 not color-coded because the previous question was always different).
SituationDGPDGMQ1 AvQ2 AvQ3 AvQ4 AvQ5 AvQ6 AvQ7 Av
SIT010.5350.4681.970.111.311.913.431.801.17
SIT020.4550.4552.170.341.573.003.112.291.31
SIT030.4510.4512.030.231.432.443.261.891.23
SIT040.5310.4561.940.261.511.973.341.741.23
SIT050.4700.4021.860.231.372.403.371.911.17
SIT060.4980.4031.970.141.342.173.601.831.06
SIT070.4060.3501.890.201.371.823.511.461.14
SIT080.5150.4292.200.311.632.693.172.291.23
SIT090.4480.4042.240.211.473.003.212.241.15
SIT100.4750.4052.410.291.503.302.911.791.29
SIT110.5010.4042.340.341.542.972.892.201.34
SIT120.5290.4052.400.231.573.002.892.061.23
SIT130.6920.6241.890.141.371.383.601.03
SIT140.6560.6072.490.291.803.892.742.691.26
SIT150.6250.5282.340.371.713.342.912.631.34
SIT160.6060.5332.710.491.804.772.462.801.46
Table 7. Glare ratings and median values of subjects’ responses to questions Q1 to Q7; color coding scaled for each column (green denotes the lowest rating in the column, while red denotes the highest rating in the column; Q6 not color-coded because the previous question was always different).
Table 7. Glare ratings and median values of subjects’ responses to questions Q1 to Q7; color coding scaled for each column (green denotes the lowest rating in the column, while red denotes the highest rating in the column; Q6 not color-coded because the previous question was always different).
SituationDGPDGMQ1 MedQ2 MedQ3 MedQ4 MedQ5 MedQ6 MedQ7 Med
SIT010.5350.4682.00.01.02.04.02.01.0
SIT020.4550.4552.00.01.03.03.03.01.0
SIT030.4510.4512.00.01.02.54.02.01.0
SIT040.5310.4562.00.01.02.04.02.01.0
SIT050.4700.4022.00.01.03.03.02.01.0
SIT060.4980.4032.00.01.02.04.02.01.0
SIT070.4060.3502.00.01.02.04.01.01.0
SIT080.5150.4292.00.01.03.03.03.01.0
SIT090.4480.4042.00.01.03.03.02.51.0
SIT100.4750.4052.00.01.03.03.02.01.0
SIT110.5010.4042.00.02.03.03.02.01.0
SIT120.5290.4052.00.01.03.03.02.01.0
SIT130.6920.6242.00.01.01.04.0 -1.0
SIT140.6560.6073.00.01.04.03.03.01.0
SIT150.6250.5282.00.02.03.03.03.01.0
SIT160.6060.5333.00.02.05.02.03.01.0
Table 8. Glare ratings and subjects’ responses for SIT01-04, where the azimuth of the glare source was close to the viewing direction (0° and 20°); color coding scaled for each column (green denotes the lowest rating in the column, while red denotes the highest rating in the column).
Table 8. Glare ratings and subjects’ responses for SIT01-04, where the azimuth of the glare source was close to the viewing direction (0° and 20°); color coding scaled for each column (green denotes the lowest rating in the column, while red denotes the highest rating in the column).
SituationDGPDGP*DGMDGM 1.78DGM 1.00Q4 AverageQ4 Median
SIT010.5350.5120.4680.4880.5331.9092.0
SIT020.4550.4510.4550.4550.4553.0003.0
SIT030.4510.4470.4510.4510.4512.4382.5
SIT040.5310.5080.4560.4760.5211.9692.0
Table 9. Glare ratings and subjects’ responses for SIT05-08, where the azimuth of the glare source is 45° (elevation 35° and 30°); color coding scaled for each column (green denotes the lowest rating in the column, while red denotes the highest rating in the column).
Table 9. Glare ratings and subjects’ responses for SIT05-08, where the azimuth of the glare source is 45° (elevation 35° and 30°); color coding scaled for each column (green denotes the lowest rating in the column, while red denotes the highest rating in the column).
SituationDGPDGP*DGMDGM 1.78DGM 1.00Q4 AverageQ4 Median
SIT050.4700.4590.4020.4220.4652.4003.0
SIT060.4980.4750.4030.4220.4652.1712.0
SIT070.4060.3980.3500.3700.4061.8182.0
SIT080.5150.4920.4290.4500.4952.6883.0
Table 10. Glare ratings and subjects’ responses for SIT09-12 and 16, where the azimuth of the glare source is 70° and the elevation is 20°; color coding scaled for each column (green denotes the lowest rating in the column, while red denotes the highest rating in the column).
Table 10. Glare ratings and subjects’ responses for SIT09-12 and 16, where the azimuth of the glare source is 70° and the elevation is 20°; color coding scaled for each column (green denotes the lowest rating in the column, while red denotes the highest rating in the column).
SituationDGPDGP*DGMDGM 1.78DGM 1.00Q4 AverageQ4 Median
SIT090.4480.4430.4040.4230.4483.0003.0
SIT100.4750.4660.4050.4240.4673.3033.0
SIT110.5010.4840.4040.4230.4662.9673.0
SIT120.5290.5010.4050.4240.4673.0003.0
SIT160.6060.5920.5330.5540.5984.7715.0
Table 11. Glare ratings and subjects’ responses for SIT07 and 14–16, the situations with the smallest DGP (0.4) and the largest DGP (>0.6); color coding scaled for each column (green denotes the lowest rating in the column, while red denotes the highest rating in the column).
Table 11. Glare ratings and subjects’ responses for SIT07 and 14–16, the situations with the smallest DGP (0.4) and the largest DGP (>0.6); color coding scaled for each column (green denotes the lowest rating in the column, while red denotes the highest rating in the column).
SituationDGPDGP*DGMDGM 1.78DGM 1.00Q4 AverageQ4 Median
SIT070.4060.3980.3500.3700.4061.8182.0
SIT140.6560.6390.6070.6280.6563.8864.0
SIT150.6250.5950.5280.5490.5933.3433.0
SIT160.6060.5920.5330.5540.5984.7715.0
Disclaimer/Publisher’s Note: The statements, opinions and data contained in all publications are solely those of the individual author(s) and contributor(s) and not of MDPI and/or the editor(s). MDPI and/or the editor(s) disclaim responsibility for any injury to people or property resulting from any ideas, methods, instructions or products referred to in the content.

Share and Cite

MDPI and ACS Style

Geisler-Moroder, D.; Knoflach, C.; Dick, M.; Hammes, S.; Weninger, J.; Pfluger, R. Daylight Glare with the Sun in the Field of View: An Evaluation of the Daylight Glare Metric Through a Laboratory Study Under an Artificial Sky Dome and an Extensive Simulation Study. Buildings 2026, 16, 249. https://doi.org/10.3390/buildings16020249

AMA Style

Geisler-Moroder D, Knoflach C, Dick M, Hammes S, Weninger J, Pfluger R. Daylight Glare with the Sun in the Field of View: An Evaluation of the Daylight Glare Metric Through a Laboratory Study Under an Artificial Sky Dome and an Extensive Simulation Study. Buildings. 2026; 16(2):249. https://doi.org/10.3390/buildings16020249

Chicago/Turabian Style

Geisler-Moroder, David, Christian Knoflach, Maximilian Dick, Sascha Hammes, Johannes Weninger, and Rainer Pfluger. 2026. "Daylight Glare with the Sun in the Field of View: An Evaluation of the Daylight Glare Metric Through a Laboratory Study Under an Artificial Sky Dome and an Extensive Simulation Study" Buildings 16, no. 2: 249. https://doi.org/10.3390/buildings16020249

APA Style

Geisler-Moroder, D., Knoflach, C., Dick, M., Hammes, S., Weninger, J., & Pfluger, R. (2026). Daylight Glare with the Sun in the Field of View: An Evaluation of the Daylight Glare Metric Through a Laboratory Study Under an Artificial Sky Dome and an Extensive Simulation Study. Buildings, 16(2), 249. https://doi.org/10.3390/buildings16020249

Note that from the first issue of 2016, this journal uses article numbers instead of page numbers. See further details here.

Article Metrics

Back to TopTop