The Restraint Mechanism of High-Strength Rectangular Spiral Stirrup Confined Fiber Reinforced Concrete
Abstract
1. Introduction
2. Test Overview
2.1. Specimen Design
2.2. Material Property Testing
2.2.1. Concrete
2.2.2. Steel Reinforcement
2.3. Test Setup and Loading Protocol
- (1)
- Geometric Alignment: The specimen was positioned to ensure its longitudinal axis coincided precisely with the loading direction;
- (2)
- Physical Alignment: Instrumentation (e.g., displacement transducers) was calibrated to eliminate initial measurement biases.
2.4. Test Observations
- (1)
- Stage 1: Elastic Stage
- (2)
- Stage 2: Yielding Stage
- (3)
- Stage 3: Peak Load and Cover Spalling
- (4)
- Stage 4: Post-Peak Ductility and Failure
2.5. Test Results
- (1)
- HRSS Effectiveness: Specimen L-13 achieved a strength enhancement ratio of 2.033, while L-14 exhibited a ductility ratio of 2.588, demonstrating that HRSS significantly improves both peak strength and deformability by providing effective lateral confinement to fiber-reinforced concrete columns;
- (2)
- Impact of Stirrup Spacing: For specimens L-1, L-6, L-7, and L-8 (with identical parameters), smaller stirrup spacings resulted in higher strength enhancement ratios but lower ductility ratios;
- (3)
- Effect of Stirrup Diameter and Spacing: Specimens L-9, L-17, and L-18 (with equal volumetric stirrup ratios) showed that finer stirrups with closer spacing provided superior performance, yielding higher strength enhancement and ductility ratios;
- (4)
- Influence of Concrete Strength: Comparisons among specimens L-11, L-12, L-13; L-1, L-9, L-10; and L-14, L-15, L-16 revealed that higher concrete strength grades led to lower strength enhancement ratios, indicating an inverse relationship between base concrete strength and confinement effectiveness.
| Specimen Number | fcc/MPa | fco/MPa | εcc | ε65 | ε85 | fcc/fco | ε85/εcc |
|---|---|---|---|---|---|---|---|
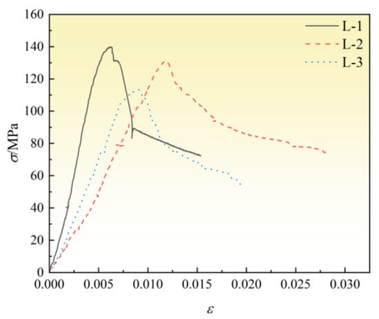
| L-1 | 140.14 | 78.84 | 0.0063 | 0.0084 | 0.0076 | 1.777 | 1.199 |
| L-2 | 126.41 | 78.84 | 0.0118 | 0.0202 | 0.0136 | 1.663 | 1.153 |
| L-3 | 113.62 | 78.84 | 0.0091 | 0.0132 | 0.0102 | 1.441 | 1.124 |
| L-4 | 138.27 | 78.84 | 0.0077 | 0.0124 | 0.0105 | 1.754 | 1.360 |
| L-5 | 143.44 | 78.84 | 0.0078 | 0.0114 | 0.0100 | 1.614 | 1.277 |
| L-6 | 140.81 | 78.84 | 0.0082 | 0.0246 | 0.0091 | 1.786 | 1.109 |
| L-7 | 134.43 | 78.84 | 0.0062 | 0.0070 | 0.0059 | 1.705 | 1.212 |
| L-8 | 131.59 | 78.84 | 0.0049 | 0.0124 | 0.0081 | 1.669 | 1.300 |
| L-9 | 135.20 | 78.84 | 0.0057 | 0.0070 | 0.0089 | 1.715 | 1.555 |
| L-10 | 142.43 | 78.84 | 0.0067 | 0.0200 | 0.0130 | 1.807 | 1.945 |
| L-11 | 127.79 | 65.19 | 0.0053 | 0.0188 | 0.0086 | 1.960 | 1.629 |
| L-12 | 114.58 | 65.19 | 0.0077 | 0.0184 | 0.0093 | 1.758 | 1.210 |
| L-13 | 132.51 | 65.19 | 0.0092 | 0.0245 | 0.0118 | 2.033 | 1.278 |
| L-14 | 133.88 | 88.69 | 0.0080 | 0.0114 | 0.0207 | 1.510 | 2.588 |
| L-15 | 123.94 | 88.69 | 0.0074 | 0.0096 | 0.0084 | 1.397 | 1.141 |
| L-16 | 147.11 | 88.69 | 0.0065 | 0.0184 | 0.0082 | 1.659 | 1.259 |
| L-17 | 137.49 | 78.84 | 0.0071 | 0.0121 | 0.0090 | 1.744 | 1.265 |
| L-18 | 131.22 | 78.84 | 0.0056 | 0.0080 | 0.0065 | 1.664 | 1.165 |
| L-19 | 120.37 | 78.84 | 0.0066 | 0.0138 | 0.0092 | 1.527 | 1.401 |
| L-20 | 140.14 | 78.84 | 0.0142 | 0.0279 | 0.0166 | 1.778 | 1.167 |
2.6. Parametric Analysis
- (1)
- Cross-Section Aspect Ratio
- (2)
- Stirrup Spacing
- (3)
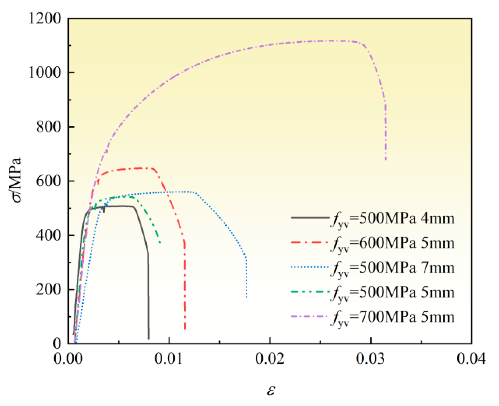
- Stirrup Strength
- (4)
- Concrete Strength
3. Theoretical Analysis
3.1. Lateral Confinement Stress
3.2. Effective Confinement Zone (Ae) and Coefficient (ke)
3.3. Peak Parameters
3.3.1. Peak Parameters for Square Cross-Section Columns
3.3.2. Peak Parameters for Rectangular Cross-Sections
4. Stress-Strain Constitutive Model
5. Conclusions
- (1)
- Superiority of Spiral Stirrups:
- (2)
- Enhanced Confinement with Small-Diameter, Closely Spaced Stirrups:
- (3)
- Material Compatibility Principles:
- (4)
- Proposed Constitutive Model:
Author Contributions
Funding
Data Availability Statement
Conflicts of Interest
References
- Yang, M.-Z.; Ma, H.-Q.; Luo, G.-F.; Xu, X.-Q. Research on the seismic strain field before strong earthquakes above M6 in Chinese mainland. Chin. J. Geophys. 2017, 60, 3804–3814. (In Chinese) [Google Scholar]
- Sezen, H.; Goksu, C. Failure Mechanisms of RC Columns in the 2023 Türkiye Earthquakes: Role of Hoop Confinement. Eng. Struct. 2023, 1, 141–296. [Google Scholar]
- Vuran, E.; Serhatoğlu, C.; Timurağaoğlu, M.Ö.; Smyrou, E. Collapse of RC Buildings in the 2023 Türkiye Earthquakes: Lessons from Plastic Hinge Detailing. J. Earthq. Eng. 2023, Accepted.
- Aoyama, H.; Noguchi, T. Seismic Performance of RC Columns with High-Strength Spiral Stirrups. J. Adv. Concr. Technol. 2015, 13, 437–448. [Google Scholar]
- Naaman, A.E.; Reinhardt, H.W. High-Performance Fiber-Reinforced Cement Composites: A Review. Cem. Concr. Res. 2003, 33, 853–859. [Google Scholar]
- Xu, S.; Li, Q. Mechanical Properties of Polypropylene Fiber-Reinforced Concrete. Constr. Build. Mater. 2018, 18, 342–350. [Google Scholar]
- Shi, Q.; Kun, Y.; Bai, L.; Zhang, X.; Jiang, W. Experiments on seismic behavior of high-strength concrete columns confined with high-strength stirrups. China Civ. Eng. J. 2011, 44, 9–17. (In Chinese) [Google Scholar]
- Scott, B.D.; Park, R.; Priestley, M.J.N. Stress-strain Behavior of Concrete Confined by Overlapping Hoops at Low and High Strain Rates. ACI J. 1982, 79, 13–27. [Google Scholar]
- Sheikh, S.A.; Toklucu, M.T. Reinforced concrete columns confined by circular spirals and hoops. ACI Struct. J. 1993, 9, 542–553. [Google Scholar]
- Sheikh, S.A.; Uzumeri, S.M. Analytical model for concrete confinement in tied columns. J. Struct. Div. 1982, 108, 2703–2722. [Google Scholar] [CrossRef]
- Mander, J.B.; Priestley, M.J.N.; Park, R. Theoretical stress strain model for confined concrete. J. Struct. Eng. 1988, 114, 1804–1826. [Google Scholar] [CrossRef]
- Cusson, D.; Paultre, P. Stress-strain model for confined high-strength concrete. J. Struct. Eng. 1995, 121, 468–477. [Google Scholar] [CrossRef]
- Aoyama, H. Modern High-Rise Reinforced Concrete Structural Design; Chongqing University Press: Chongqing, China, 2006. [Google Scholar]
- Yang, K.; Shi, Q.; Zhao, J.; Guo, Y. Axial Compression Performance of High-Strength Concrete Columns Confined by High-Strength Stirrups. Ind. Constr. 2013, 43, 9–13, 28. [Google Scholar]
- Deng, Z.-C.; Yao, J.-S. Research Progress on Compressive Behavior of Stirrup-confined Ultra-high Performance Concrete Columns. J. Archit. Civ. Eng. 2020, 37, 14–25. [Google Scholar]
- Yan, S.; Xiao, X.; Zhang, Y.; Kan, L. Seismic Performances of Square HSC Columns Confined with High-Strength PC Rebar. J. Shenyang Jianzhu Univ. 2006, 22, 7–10. [Google Scholar]
- Sun, Z.; Si, B.; Wang, D.; Guo, X.; Yu, D.H. Research on the seismic performance of high-strength concrete columns with high-strength stirrups. Eng. Mech. 2010, 27, 128–136. [Google Scholar]
- Shen, H.; Zhang, X.; Wei, H.; Jiang, Y.; Huang, W. Study on mechanical behavior of high strength stirrup confined concrete under axial compression. Build. Sci. 2024, 40, 151–159. [Google Scholar]
- Guo, Z.; Wang, C. Investigation of strength and failure criterion of concrete under multi-axial stresses. China Civ. Eng. J. 1991, 24, 1–14. [Google Scholar]
- Zheng, W.; Zhang, J.; Wang, G.; Wang, Y. Experimental study on axial compression behavior of high-strength concrete columns confined by spiral stirrups. China J. Highw. Transp. 2022, 35, 22–35. [Google Scholar]
- Jesus, M.; Lobo, P.S. Accuracy of models of confined concrete in rectangular columns using different proposals for the prediction of failure of the FRP. Procedia Struct. Integr. 2022, 1, 2452–3216. [Google Scholar] [CrossRef]
- Guo, S.; Zheng, D.; Zhao, L.; Lu, Q.; Liu, X. Mechanical test and constitutive model of recycled plastic fiber reinforced recycled concrete. Constr. Build. Mater. 2022, 19, 128578. [Google Scholar] [CrossRef]
- Zheng, B.T.; Teng, J.G. A plasticity constitutive model for concrete under multiaxial compression. Eng. Struct. 2022, 15, 0141–0296. [Google Scholar] [CrossRef]
- Bai, Z.; Liu, Y.; Yang, J.; He, S. A constitutive model for concrete subjected to extreme dynamic loadings. Int. J. Impact Eng. 2020, 183, 103483. [Google Scholar] [CrossRef]
- GB 50010-2002; Code for Design of Concrete Structures. China Architecture & Building Press: Beijing, China, 2002; pp. 5–6. (In Chinese)
- Popovics, S. A numerical approach to the complete stress strain curve of concrete. Cem. Concr. Res. 1973, 3, 583–599. [Google Scholar] [CrossRef]
- Fatifis, A.; Shah, S.P. Lateral reinforcement for high-strength concrete columns. ACI Spec. Publ. 1985, 87, 213–232. [Google Scholar]

















| Specimen Number | L × W × H/ mm × mm × mm | Stirrup | ρv/% | Concrete Grade | |||
|---|---|---|---|---|---|---|---|
| Type | Strength/MPa | S/mm | D/mm | ||||
| L-1 | 150 × 150 × 450 | A | 611.5 | 40 | 5 | 1.1 | CL100 |
| L-2 | 170 × 170 × 510 | A | 611.5 | 35 | 5 | 1.1 | CL100 |
| L-3 | 200 × 200 × 600 | A | 611.5 | 30 | 5 | 1.1 | CL100 |
| L-4 | 250 × 150 × 750 | B | 611.5 | 40 | 5 | 1.2 | CL100 |
| L-5 | 300 × 150 × 900 | B | 611.5 | 40 | 5 | 1.1 | CL100 |
| L-6 | 150 × 150 × 450 | A | 611.5 | 20 | 5 | 2.1 | CL100 |
| L-7 | 150 × 150 × 450 | A | 611.5 | 60 | 5 | 0.7 | CL100 |
| L-8 | 150 × 150 × 450 | A | 611.5 | 80 | 5 | 0.5 | CL100 |
| L-9 | 150 × 150 × 450 | A | 511.1 | 40 | 5 | 1.1 | CL100 |
| L-10 | 150 × 150 × 450 | A | 691.4 | 40 | 5 | 1.1 | CL100 |
| L-11 | 150 × 150 × 450 | A | 511.1 | 40 | 5 | 1.1 | CL80 |
| L-12 | 150 × 150 × 450 | A | 611.5 | 40 | 5 | 1.1 | CL80 |
| L-13 | 150 × 150 × 450 | A | 691.4 | 40 | 5 | 1.1 | CL80 |
| L-14 | 150 × 150 × 450 | A | 511.1 | 40 | 5 | 1.1 | CL110 |
| L-15 | 150 × 150 × 450 | A | 611.5 | 40 | 5 | 1.1 | CL110 |
| L-16 | 150 × 150 × 450 | A | 691.4 | 40 | 5 | 1.1 | CL110 |
| L-17 | 150 × 150 × 450 | A | 495.5 | 30 | 4 | 1.1 | CL100 |
| L-18 | 150 × 150 × 450 | A | 497.0 | 75 | 7 | 1.1 | CL100 |
| L-19 | 150 × 150 × 600 | A | 611.5 | 40 | 5 | 1.1 | CL100 |
| L-20 | 150 × 150 × 750 | A | 611.5 | 40 | 5 | 1.1 | CL100 |
| Raw Materials | Cement kg/m3 | Silica Fume kg/m3 | Sand kg/m3 | Water kg/m3 | Water Reducer kg/m3 | Steel Fiber Volume Fraction/% | Water- to-Binder Ratio | |
|---|---|---|---|---|---|---|---|---|
| Strength Grade | ||||||||
| CL80 | 1033 | 258 | 697 | 362 | 6.46 | 1 | 0.28 | |
| CL100 | 1074 | 269 | 725 | 282 | 6.71 | 1 | 0.21 | |
| CL110 | 990 | 330 | 713 | 317 | 6.60 | 1 | 0.24 | |
| Strength Grade | CL80 | CL100 | CL110 | ||||||
|---|---|---|---|---|---|---|---|---|---|
| 1 | 2 | 3 | 1 | 2 | 3 | 1 | 2 | 3 | |
| 7-Day Compressive Strength/MPa | 75.9 | 66.4 | 77.3 | 73.4 | 76.5 | 79.3 | 86.1 | 79.1 | 89.4 |
| 28-Day Compressive Strength/MPa | 88.3 | 84.0 | 84.9 | 111.1 | 98.4 | 98.2 | 112.2 | 111.2 | 109.3 |
| Steel Reinforcement Grade | d/mm | fyv/MPa | Es/MPa | |
|---|---|---|---|---|
| HRB400 | 16 | 440.34 | 2.0 × 105 | |
| High-Strength Steel Wire | 500 | 4 | 495.5 | 2.0 × 105 |
| 500 | 5 | 511.1 | 2.0 × 105 | |
| 500 | 7 | 497.0 | 2.0 × 105 | |
| 600 | 5 | 611.5 | 2.0 × 105 | |
| 700 | 5 | 691.4 | 2.0 × 105 | |
Disclaimer/Publisher’s Note: The statements, opinions and data contained in all publications are solely those of the individual author(s) and contributor(s) and not of MDPI and/or the editor(s). MDPI and/or the editor(s) disclaim responsibility for any injury to people or property resulting from any ideas, methods, instructions or products referred to in the content. |
© 2025 by the authors. Licensee MDPI, Basel, Switzerland. This article is an open access article distributed under the terms and conditions of the Creative Commons Attribution (CC BY) license (https://creativecommons.org/licenses/by/4.0/).
Share and Cite
Fan, P.; Zhao, H.; Liu, W. The Restraint Mechanism of High-Strength Rectangular Spiral Stirrup Confined Fiber Reinforced Concrete. Buildings 2025, 15, 1345. https://doi.org/10.3390/buildings15081345
Fan P, Zhao H, Liu W. The Restraint Mechanism of High-Strength Rectangular Spiral Stirrup Confined Fiber Reinforced Concrete. Buildings. 2025; 15(8):1345. https://doi.org/10.3390/buildings15081345
Chicago/Turabian StyleFan, Pengyu, Huajing Zhao, and Weitong Liu. 2025. "The Restraint Mechanism of High-Strength Rectangular Spiral Stirrup Confined Fiber Reinforced Concrete" Buildings 15, no. 8: 1345. https://doi.org/10.3390/buildings15081345
APA StyleFan, P., Zhao, H., & Liu, W. (2025). The Restraint Mechanism of High-Strength Rectangular Spiral Stirrup Confined Fiber Reinforced Concrete. Buildings, 15(8), 1345. https://doi.org/10.3390/buildings15081345

